Simulation of the growth of an ensemble of austenite grains considering the inhibition by particles of the second phases

Cover Page

Cite item

Full Text

Abstract

Methods to simulate the grain growth in alloys considering the inhibition of this growth by second-phases particles have been proposed. The presented approaches are primarily focused on low-alloyed steels with carbonitride strengthening. The calculation results have been compared with the experimental data available in the literature and their satisfactory agreement has been shown.

Full Text

Введение

Теоретические подходы к описанию роста зёрен в металлах начали появляться уже довольно давно. В качестве примера первых таких исследований можно отметить [1, 2], а одной из самых известных работ в данной области является статья Хиллерта [3], которая по праву считается классической. В ней предложена как базовая модель роста зерен, так и модель, учитывающая сдерживание роста зерен со стороны частиц вторых фаз. Впоследствии подходы, аналогичные предложенному в [3], стали называть как модели, основанные на среднем поле, так как в них не учитывается геометрическое расположение конкретных отдельных зерен, а рассматривается эволюция всего набора зерен целиком.

Как правило, попытки учесть торможение роста зерен выделениями вторых фаз приводят к значительному усложнению моделей и вносят диссонанс в относительно лаконичные выражения для описания роста зерен без учета данного фактора. По этой причине вплоть до настоящего времени в ряде работ практикуются подходы к описанию укрупнения зерен для случая, когда частицы вторых фаз отсутствуют. К примеру, в [4, 5] рост зерен моделируется на основе метода фазовых полей в кубике с размерами 2923 и 25603 элементов соответственно. В [6] анализируются различные способы трехмерного моделирования (3D) роста зерен в сравнении с аналитическим решением и экспериментальными данными. В [7] представлено обобщение выражений, использованных Хиллертом [3], а также в рамках теории Лившица–Слезова–Вагнера [8], и предложены методы расчета стационарных функций распределения по размерам для различных случаев. Для моделирования эволюции зеренной структуры также популярен метод клеточных автоматов. Этот метод активно развивается и в настоящее время используется не только для описания роста зерна [9, 10], но и для более сложных задач, к примеру, для описания рекристаллизационных процессов [11]. Метод клеточных автоматов – довольно мощное средство, которое имеет большой потенциал. Как и в методе фазовых полей, в нем есть привлекательная возможность визуализации моделируемой структуры в 2D и 3D. Однако плата за это – очень большие вычислительные затраты. Поэтому в некоторых работах [5, 12] сообщается о проведении расчетов на суперкомпьютерах или мощных графических процессорах. Вероятно, по указанной выше причине – усложнение модели и, как следствие, еще большее увеличение вычислительных затрат – в подавляющем большинстве моделей на основе метода клеточных автоматов и фазовых полей сдерживание роста зерна выделениями вторых фаз не учитывается.

Чаще всего в основе моделей для описания роста зерна используются выражения, подобные тем, что приводятся в [3]:

  D ˙ i =ασM 1 D cr 1 D i , MathType@MTEF@5@5@+= feaahGart1ev3aqatCvAUfeBSjuyZL2yd9gzLbvyNv2Caerbov2D09 MBdbqedmvETj2BSbqeduuDJXwAKbYu51MyVXgarqqr1ngBPrgifHhD YfgasaacHOWxg9qrFfeu0dXdh9vqqj=hEeeu0xXdbba9frFj0=OqFf ea0dXdd9vspGe9FjuP0=fs0xXdbba9pGe9xq=Jbba9suk9fr=xfr=x frpeWZqaaeaabiGaaiaadaqabeaabeqacqaaaOqaaabaaaaaaaaape Gabmira8aagaGaamaaBaaaleaapeGaamyAaaWdaeqaaOWdbiabg2da 9iabeg7aHjabeo8aZjaad2eadaqadaWdaeaapeWaaSaaa8aabaWdbi aaigdaa8aabaWdbiaadseapaWaaSbaaSqaa8qacaqGJbGaaeOCaaWd aeqaaaaak8qacqGHsisldaWcaaWdaeaapeGaaGymaaWdaeaapeGaam ira8aadaWgaaWcbaWdbiaadMgaa8aabeaaaaaak8qacaGLOaGaayzk aaGaaiilaaaa@4A5D@      (1)

где D i MathType@MTEF@5@5@+= feaahGart1ev3aaatCvAUfeBSjuyZL2yd9gzLbvyNv2Caerbov2D09 MBdbqedmvETj2BSbqeduuDJXwAKbYu51MyVXgarqqr1ngBPrgifHhD YfgasaacHOWxg9qrFfeu0dXdh9vqqj=hEeeu0xXdbba9frFj0=OqFf ea0dXdd9vspGe9FjuP0=fs0xXdbba9pGe9xq=Jbba9suk9fr=xfr=x frpeWZqaaeaabiGaaiaadaqabeaabeqacqaaaOqaaabaaaaaaaaape Gaamira8aadaWgaaWcbaWdbiaadMgaa8aabeaaaaa@3A65@  – размер i MathType@MTEF@5@5@+= feaahGart1ev3aaatCvAUfeBSjuyZL2yd9gzLbvyNv2Caerbov2D09 MBdbqedmvETj2BSbqeduuDJXwAKbYu51MyVXgarqqr1ngBPrgifHhD YfgasaacHOWxg9qrFfeu0dXdh9vqqj=hEeeu0xXdbba9frFj0=OqFf ea0dXdd9vspGe9FjuP0=fs0xXdbba9pGe9xq=Jbba9suk9fr=xfr=x frpeWZqaaeaabiGaaiaadaqabeaabeqacqaaaOqaaabaaaaaaaaape GaamyAaaaa@3942@  -го зерна, D cr MathType@MTEF@5@5@+= feaahGart1ev3aqatCvAUfeBSjuyZL2yd9gzLbvyNv2Caerbov2D09 MBdbqedmvETj2BSbqeduuDJXwAKbYu51MyVXgarqqr1ngBPrgifHhD YfgasaacHOWxg9qrFfeu0dXdh9vqqj=hEeeu0xXdbba9frFj0=OqFf ea0dXdd9vspGe9FjuP0=fs0xXdbba9pGe9xq=Jbba9suk9fr=xfr=x frpeWZqaaeaabiGaaiaadaqabeaabeqacqaaaOqaaabaaaaaaaaape Gaamira8aadaWgaaWcbaWdbiaabogacaqGYbaapaqabaaaaa@3B53@  – критический размер зерна, σ MathType@MTEF@5@5@+= feaahGart1ev3aqatCvAUfeBSjuyZL2yd9gzLbvyNv2Caerbov2D09 MBdbqedmvETj2BSbqeduuDJXwAKbYu51MyVXgarqqr1ngBPrgifHhD YfgasaacHOWxg9qrFfeu0dXdh9vqqj=hEeeu0xXdbba9frFj0=OqFf ea0dXdd9vspGe9FjuP0=fs0xXdbba9pGe9xq=Jbba9suk9fr=xfr=x frpeWZqaaeaabiGaaiaadaqabeaabeqacqaaaOqaaabaaaaaaaaape Gaaq+Wdaaa@3A01@ – энергия границы зерна, α – безразмерная геометрическая постоянная (≈ 1, согласно [3]), M MathType@MTEF@5@5@+= feaahGart1ev3aaatCvAUfeBSjuyZL2yd9gzLbvyNv2Caerbov2D09 MBdbqedmvETj2BSbqeduuDJXwAKbYu51MyVXgarqqr1ngBPrgifHhD YfgasaacHOWxg9qrFfeu0dXdh9vqqj=hEeeu0xXdbba9frFj0=OqFf ea0dXdd9vspGe9FjuP0=fs0xXdbba9pGe9xq=Jbba9suk9fr=xfr=x frpeWZqaaeaabiGaaiaadaqabeaabeqacqaaaOqaaabaaaaaaaaape Gaamytaaaa@3926@  – подвижность границы зерна. Здесь и далее точкой сверху обозначена производная по времени.

При переходе к относительному размеру зерна u= D D cr MathType@MTEF@5@5@+= feaahGart1ev3aqatCvAUfeBSjuyZL2yd9gzLbvyNv2Caerbov2D09 MBdbqedmvETj2BSbqeduuDJXwAKbYu51MyVXgarqqr1ngBPrgifHhD YfgasaacHOWxg9qrFfeu0dXdh9vqqj=hEeeu0xXdbba9frFj0=OqFf ea0dXdd9vspGe9FjuP0=fs0xXdbba9pGe9xq=Jbba9suk9fr=xfr=x frpeWZqaaeaabiGaaiaadaqabeaabeqacqaaaOqaaabaaaaaaaaape GaamyDaiabg2da9maalaaapaqaa8qacaWGebaapaqaa8qacaWGebWd amaaBaaaleaapeGaae4yaiaabkhaa8aabeaaaaaaaa@3E6A@  выражение (1) преобразуется к виду:

  D ˙ i 2 =2Mασ u i 1 , MathType@MTEF@5@5@+= feaahGart1ev3aqatCvAUfeBSjuyZL2yd9gzLbvyNv2Caerbov2D09 MBdbqedmvETj2BSbqeduuDJXwAKbYu51MyVXgarqqr1ngBPrgifHhD YfgasaacHOWxg9qrFfeu0dXdh9vqqj=hEeeu0xXdbba9frFj0=OqFf ea0dXdd9vspGe9FjuP0=fs0xXdbba9pGe9xq=Jbba9suk9fr=xfr=x frpeWZqaaeaabiGaaiaadaqabeaabeqacqaaaOqaaabaaaaaaaaape Gabmira8aagaGaamaaDaaaleaapeGaamyAaaWdaeaapeGaaGOmaaaa kiabg2da9iaaikdacaWGnbGaeqySdeMaeq4Wdm3aaeWaa8aabaWdbi aadwhapaWaaSbaaSqaa8qacaWGPbaapaqabaGcpeGaeyOeI0IaaGym aaGaayjkaiaawMcaaiaacYcaaaa@4798@          (2)

что соответствует часто наблюдаемому экспериментально параболическому росту зерна, или собирательной рекристаллизации.

С учетом условия постоянства объема V MathType@MTEF@5@5@+= feaahGart1ev3aaatCvAUfeBSjuyZL2yd9gzLbvyNv2Caerbov2D09 MBdbqedmvETj2BSbqeduuDJXwAKbYu51MyVXgarqqr1ngBPrgifHhD YfgasaacHOWxg9qrFfeu0dXdh9vqqj=hEeeu0xXdbba9frFj0=OqFf ea0dXdd9vspGe9FjuP0=fs0xXdbba9pGe9xq=Jbba9suk9fr=xfr=x frpeWZqaaeaabiGaaiaadaqabeaabeqacqaaaOqaaabaaaaaaaaape GaamOvaaaa@392F@  (в приближении сферической формы зерен) для N MathType@MTEF@5@5@+= feaahGart1ev3aaatCvAUfeBSjuyZL2yd9gzLbvyNv2Caerbov2D09 MBdbqedmvETj2BSbqeduuDJXwAKbYu51MyVXgarqqr1ngBPrgifHhD YfgasaacHOWxg9qrFfeu0dXdh9vqqj=hEeeu0xXdbba9frFj0=OqFf ea0dXdd9vspGe9FjuP0=fs0xXdbba9pGe9xq=Jbba9suk9fr=xfr=x frpeWZqaaeaabiGaaiaadaqabeaabeqacqaaaOqaaabaaaaaaaaape GaamOtaaaa@3927@  зерен:

  V= i=1 N π D i 3 6 =const, MathType@MTEF@5@5@+= feaahGart1ev3aqatCvAUfeBSjuyZL2yd9gzLbvyNv2Caerbov2D09 MBdbqedmvETj2BSbqeduuDJXwAKbYu51MyVXgarqqr1ngBPrgifHhD YfgasaacHOWxg9qrFfeu0dXdh9vqqj=hEeeu0xXdbba9frFj0=OqFf ea0dXdd9vspGe9FjuP0=fs0xXdbba9pGe9xq=Jbba9suk9fr=xfr=x frpeWZqaaeaabiGaaiaadaqabeaabeqacqaaaOqaaabaaaaaaaaape GaamOvaiabg2da9maawahabeWcpaqaa8qacaWGPbGaeyypa0JaaGym aaWdaeaapeGaamOtaaqdpaqaa8qacqGHris5aaGcdaWcaaWdaeaape GaeqiWdaNaamira8aadaWgaaWcbaWdbiaadMgaa8aabeaakmaaCaaa leqabaWdbiaaiodaaaaak8aabaWdbiaaiAdaaaGaeyypa0Jaae4yai aab+gacaqGUbGaae4CaiaabshacaGGSaaaaa@4CBF@        (3)

  V ˙ = i=1 N π D i 2 D ˙ i 2 =0 , MathType@MTEF@5@5@+= feaahGart1ev3aqatCvAUfeBSjuyZL2yd9gzLbvyNv2Caerbov2D09 MBdbqedmvETj2BSbqeduuDJXwAKbYu51MyVXgarqqr1ngBPrgifHhD YfgasaacHOWxg9qrFfeu0dXdh9vqqj=hEeeu0xXdbba9frFj0=OqFf ea0dXdd9vspGe9FjuP0=fs0xXdbba9pGe9xq=Jbba9suk9fr=xfr=x frpeWZqaaeaabiGaaiaadaqabeaabeqacqaaaOqaaabaaaaaaaaape GabmOva8aagaGaa8qacqGH9aqpdaqfWaqabSWdaeaapeGaiaiGC5p2 amyAaiadacix+Jnag2da9iacacix+Jnaigdaa8aabaWdbiacaciV+t 5=d6eaa0WdaeaapeGaeyyeIuoaaOWaiaiGm6paaSaaa8aabGaGaYO= aaWdbiadaciJ+daaec8aWjacaciJ+daadseapaWaiaiGm6paaSbaaS qaiaiGm6paa8qacGaGaYO=aaWGPbaapaqajaiGm6paaaGcdGaGaYO= aaahaaWcbKaGaYO=aaqaiaiGm6paa8qacGaGaYO=aaaIYaaaaOGaja iGm6paamira8aagGaGaYO=aaGaamacaciJ+daaBaaaleacaciJ+daa peGaiaiGm6paamyAaaWdaeqcaciJ+daaaaGcbGaGaYO=aaWdbiacac iJ+daaikdaaaGamaiGm6paayypa0JaiaiGm6paaGimaiacaciJ+daa KdkacGaGaYO=aaGGSaaaaa@97F3@           (4)

легко можно вывести выражение для определения критического размера зерна:

D cr = i=1 N D i 2 i=1 N D i . MathType@MTEF@5@5@+= feaahGart1ev3aqatCvAUfeBSjuyZL2yd9gzLbvyNv2Caerbov2D09 MBdbqedmvETj2BSbqeduuDJXwAKbYu51MyVXgarqqr1ngBPrgifHhD YfgasaacHOWxg9qrFfeu0dXdh9vqqj=hEeeu0xXdbba9frFj0=OqFf ea0dXdd9vspGe9FjuP0=fs0xXdbba9pGe9xq=Jbba9suk9fr=xfr=x frpeWZqaaeaabiGaaiaadaqabeaabeqacqaaaOqaaabaaaaaaaaape Gaamira8aadaWgaaWcbaWdbiaabogacaqGYbaapaqabaGcpeGaeyyp a0ZaaSaaa8aabaWdbmaavadabeWcpaqaa8qacaWGPbGaeyypa0JaaG ymaaWdaeaapeGaiGg1d6eaa0WdaeaapeGaeyyeIuoaaOGaamira8aa daqhaaWcbaWdbiaadMgaa8aabaWdbiaaikdaaaaak8aabaWdbmaava dabeWcpaqaa8qacaWGPbGaeyypa0JaaGymaaWdaeaapeGaiGg4d6ea a0WdaeaapeGaeyyeIuoaaOGaamira8aadaWgaaWcbaWdbiaadMgaa8 aabeaaaaGcpeGaaiOlaaaa@50FE@                    (5)

Однако в [3] данное выражение почему-то не приводится. Для стационарного состояния там используется оценка среднего размера зерна D : MathType@MTEF@5@5@+= feaahGart1ev3aqatCvAUfeBSjuyZL2yd9gzLbvyNv2Caerbov2D09 MBdbqedmvETj2BSbqeduuDJXwAKbYu51MyVXgarqqr1ngBPrgifHhD YfgasaacHOWxg9qrFfeu0dXdh9vqqj=hEeeu0xXdbba9frFj0=OqFf ea0dXdd9vspGe9FjuP0=fs0xXdbba9pGe9xq=Jbba9suk9fr=xfr=x frpeWZqaaeaabiGaaiaadaqabeaabeqacqaaaOqaaabaaaaaaaaape WaaaWaa8aabaWdbiaadseaaiaawMYicaGLQmcacaGG6aaaaa@3BCB@

  D  = 8 9 D cr . MathType@MTEF@5@5@+= feaahGart1ev3aqatCvAUfeBSjuyZL2yd9gzLbvyNv2Caerbov2D09 MBdbqedmvETj2BSbqeduuDJXwAKbYu51MyVXgarqqr1ngBPrgifHhD YfgasaacHOWxg9qrFfeu0dXdh9vqqj=hEeeu0xXdbba9frFj0=OqFf ea0dXdd9vspGe9FjuP0=fs0xXdbba9pGe9xq=Jbba9suk9fr=xfr=x frpeWZqaaeaabiGaaiaadaqabeaabeqacqaaaOqaaabaaaaaaaaape WaaaWaa8aabaWdbiaadseaaiaawMYicaGLQmcacaa5GcGaeyypa0Za aSaaa8aabaWdbiaaiIdaa8aabaWdbiaaiMdaaaGaamira8aadaWgaa WcbaWdbiaabogacaqGYbaapaqabaGcpeGaaiOlaaaa@4336@                           (6)

В [13] для описания роста зерен предложен подход на основе принципа термодинамического экстремума (ПТЭ) [14, 15]. Согласно этому принципу система эволюционирует путём максимального производства энтропии. И хотя в итоге авторы [13] приходят ровно к тому же самому выражению (1), (с учетом (5)), нельзя не отметить красоту этого подхода, которая вдохновляет на то, чтобы развивать и использовать его в более широком спектре задач. Сами авторы [13] так и поступают – в этой же работе данный подход применяется для вывода выражений, описывающих эволюцию выделений вторых фаз. В других работах они применяют его для моделирования пластической деформации, а в [16] – для расчета укрупнения зерен с учетом торможения роста за счет сегрегации растворенных элементов на границах зерен.

Как для моделей, основанных на среднем поле, так и для более сложных подходов при учете тормозящего влияния частиц вторых фаз характерна отсылка к работе Хиллерта [3], согласно которой

  D ˙ i = M P d i P z  äëÿ  P d > P z   M P d i + P z  äëÿ  P d < P z   0 äëÿ  P z < P d < P z  , MathType@MTEF@5@5@+= feaahGart1ev3aaatCvAUfeBSjuyZL2yd9gzLbvyNv2Caerbov2D09 MBdbqedmvETj2BSbqeduuDJXwAKbYu51MyVXgarqqr1ngBPrgifHhD YfgasaacHOWxg9qrFfeu0dXdh9vqqj=hEeeu0xXdbba9frFj0=OqFf ea0dXdd9vspGe9FjuP0=fs0xXdbba9pGe9xq=Jbba9suk9fr=xfr=x frpeWZqaaeaabiGaaiaadaqabeaabeqacqaaaOqaaabaaaaaaaaape Gabmira8aagaGaamaaBaaaleaapeGaamyAaaWdaeqaaOWdbiabg2da 9maaceaapaqaauaabeqadeaaaeaapeGaamytamaabmaapaqaa8qaca WGqbWdamaaDaaaleaapeGaamizaaWdaeaapeGaamyAaaaakiabgkHi TiaadcfapaWaaSbaaSqaa8qacaWG6baapaqabaaak8qacaGLOaGaay zkaaGaaqoOaiacWcyGKdGaialGbUoacGaSag4=aiacSdi5GcGaiWoG dcfapaWaiWoGBaaaleacSd4dbiacSd4GKbaapaqajWoGaOWdbiadSd OH+aGpcGa7aoiua8aadGa7aUbaaSqaiWoGpeGaiWoGdQhaa8aabKa7 acaakeaafaqabeGabaaabaWdbiaaKdkaa8aabaWdbiaad2eadaqada WdaeaapeGaamiua8aadaqhaaWcbaWdbiaadsgaa8aabaWdbiaadMga aaGccqGHRaWkcaWGqbWdamaaBaaaleaapeGaamOEaaWdaeqaaaGcpe GaayjkaiaawMcaaiaabckacaqGKdGaae46aiaab+pacaa5GcGaiqnG dcfapaWaiqnGBaaaleacud4dbiacud4GKbaapaqajqnGaOWdbiadud OH8aapcWa1aAOeI0IaiqnGdcfapaWaiqnGBaaaleacud4dbiacud4G 6baapaqajqnGaaaaaOqaauaabeqaceaaaeaapeGaaqoOaaWdaeaape GaiaiGO8paaGimaiaaKdkacGaoagi5aiac4ayGRdGaiGdGb+pacaa5 GcGaeyOeI0IaiqnGdcfapaWaiqnGBaaaleacud4dbiacud4G6baapa qajqnGaOWdbiadudOH8aapcGa1aoiua8aadGa1aUbaaSqaiqnGpeGa iqnGdsgaa8aabKa1acGcpeGamqnGgYda8iacud4GqbWdamacud4gaa WcbGa1a+qacGa1aoOEaaWdaeqcudiaaaaaaaGcpeGaay5EaaGaaqoO aiaacYcaaaa@C11C@                                  (7)

где P d MathType@MTEF@5@5@+= feaahGart1ev3aqatCvAUfeBSjuyZL2yd9gzLbvyNv2Caerbov2D09 MBdbqedmvETj2BSbqeduuDJXwAKbYu51MyVXgarqqr1ngBPrgifHhD YfgasaacHOWxg9qrFfeu0dXdh9vqqj=hEeeu0xXdbba9frFj0=OqFf ea0dXdd9vspGe9FjuP0=fs0xXdbba9pGe9xq=Jbba9suk9fr=xfr=x frpeWZqaaeaabiGaaiaadaqabeaabeqacqaaaOqaaabaaaaaaaaape Gaamiua8aadaWgaaWcbaWdbiaadsgaa8aabeaaaaa@3A6D@  и P z MathType@MTEF@5@5@+= feaahGart1ev3aqatCvAUfeBSjuyZL2yd9gzLbvyNv2Caerbov2D09 MBdbqedmvETj2BSbqeduuDJXwAKbYu51MyVXgarqqr1ngBPrgifHhD YfgasaacHOWxg9qrFfeu0dXdh9vqqj=hEeeu0xXdbba9frFj0=OqFf ea0dXdd9vspGe9FjuP0=fs0xXdbba9pGe9xq=Jbba9suk9fr=xfr=x frpeWZqaaeaabiGaaiaadaqabeaabeqacqaaaOqaaabaaaaaaaaape Gaamiua8aadaWgaaWcbaWdbiaadQhaa8aabeaaaaa@3A83@  – движущая сила роста зерен и тормозящая сила со стороны частиц вторых фаз соответственно.

  P d i =ασ 1 D cr 1 D i . MathType@MTEF@5@5@+= feaahGart1ev3aqatCvAUfeBSjuyZL2yd9gzLbvyNv2Caerbov2D09 MBdbqedmvETj2BSbqeduuDJXwAKbYu51MyVXgarqqr1ngBPrgifHhD YfgasaacHOWxg9qrFfeu0dXdh9vqqj=hEeeu0xXdbba9frFj0=OqFf ea0dXdd9vspGe9FjuP0=fs0xXdbba9pGe9xq=Jbba9suk9fr=xfr=x frpeWZqaaeaabiGaaiaadaqabeaabeqacqaaaOqaaabaaaaaaaaape Gaamiua8aadaqhaaWcbaWdbiaadsgaa8aabaWdbiaadMgaaaGccqGH 9aqpcqaHXoqycqaHdpWCdaqadaWdaeaapeWaaSaaa8aabaWdbiaaig daa8aabaWdbiaadseapaWaaSbaaSqaa8qacaqGJbGaaeOCaaWdaeqa aaaak8qacqGHsisldaWcaaWdaeaapeGaaGymaaWdaeaapeGaamira8 aadaWgaaWcbaWdbiaadMgaa8aabeaaaaaak8qacaGLOaGaayzkaaGa aiOlaaaa@4A7A@           (8)

Тормозящая сила, как правило, учитывается на основе выражений зинеровского [17] типа:

  P z =βσ f w r , MathType@MTEF@5@5@+= feaahGart1ev3aqatCvAUfeBSjuyZL2yd9gzLbvyNv2Caerbov2D09 MBdbqedmvETj2BSbqeduuDJXwAKbYu51MyVXgarqqr1ngBPrgifHhD YfgasaacHOWxg9qrFfeu0dXdh9vqqj=hEeeu0xXdbba9frFj0=OqFf ea0dXdd9vspGe9FjuP0=fs0xXdbba9pGe9xq=Jbba9suk9fr=xfr=x frpeWZqaaeaabiGaaiaadaqabeaabeqacqaaaOqaaabaaaaaaaaape Gaamiua8aadaWgaaWcbaWdbiaadQhaa8aabeaak8qacqGH9aqpcqaH YoGycqaHdpWCdaWcaaWdaeaapeGaamOza8aadaahaaWcbeqaa8qaca WG3baaaaGcpaqaa8qadaaadaWdaeaapeGaamOCaaGaayzkJiaawQYi aaaacaGGSaaaaa@4528@                         (9)

где b и w MathType@MTEF@5@5@+= feaahGart1ev3aaatCvAUfeBSjuyZL2yd9gzLbvyNv2Caerbov2D09 MBdbqedmvETj2BSbqeduuDJXwAKbYu51MyVXgarqqr1ngBPrgifHhD YfgasaacHOWxg9qrFfeu0dXdh9vqqj=hEeeu0xXdbba9frFj0=OqFf ea0dXdd9vspGe9FjuP0=fs0xXdbba9pGe9xq=Jbba9suk9fr=xfr=x frpeWZqaaeaabiGaaiaadaqabeaabeqacqaaaOqaaabaaaaaaaaape Gaam4Daaaa@3950@  – безразмерные константы, f MathType@MTEF@5@5@+= feaahGart1ev3aaatCvAUfeBSjuyZL2yd9gzLbvyNv2Caerbov2D09 MBdbqedmvETj2BSbqeduuDJXwAKbYu51MyVXgarqqr1ngBPrgifHhD YfgasaacHOWxg9qrFfeu0dXdh9vqqj=hEeeu0xXdbba9frFj0=OqFf ea0dXdd9vspGe9FjuP0=fs0xXdbba9pGe9xq=Jbba9suk9fr=xfr=x frpeWZqaaeaabiGaaiaadaqabeaabeqacqaaaOqaaabaaaaaaaaape GaamOzaaaa@393F@  и r MathType@MTEF@5@5@+= feaahGart1ev3aqatCvAUfeBSjuyZL2yd9gzLbvyNv2Caerbov2D09 MBdbqedmvETj2BSbqeduuDJXwAKbYu51MyVXgarqqr1ngBPrgifHhD YfgasaacHOWxg9qrFfeu0dXdh9vqqj=hEeeu0xXdbba9frFj0=OqFf ea0dXdd9vspGe9FjuP0=fs0xXdbba9pGe9xq=Jbba9suk9fr=xfr=x frpeWZqaaeaabiGaaiaadaqabeaabeqacqaaaOqaaabaaaaaaaaape WaaaWaa8aabaWdbiaadkhaaiaawMYicaGLQmcaaaa@3B3B@  – объемная доля и средний размер выделений.

Довольно распространен подход к описанию поведения среднего размера зерна, который считается близким к D cr MathType@MTEF@5@5@+= feaahGart1ev3aqatCvAUfeBSjuyZL2yd9gzLbvyNv2Caerbov2D09 MBdbqedmvETj2BSbqeduuDJXwAKbYu51MyVXgarqqr1ngBPrgifHhD YfgasaacHOWxg9qrFfeu0dXdh9vqqj=hEeeu0xXdbba9frFj0=OqFf ea0dXdd9vspGe9FjuP0=fs0xXdbba9pGe9xq=Jbba9suk9fr=xfr=x frpeWZqaaeaabiGaaiaadaqabeaabeqacqaaaOqaaabaaaaaaaaape Gaamira8aadaWgaaWcbaWdbiaabogacaqGYbaapaqabaaaaa@3B53@ . Особенно это характерно для экспериментальных исследований, в которых эксперимент дополняется теоретической обработкой (см., напр., [18–21]). В этом случае предполагается, что

  D =M ασ D P z . MathType@MTEF@5@5@+= feaahGart1ev3aqatCvAUfeBSjuyZL2yd9gzLbvyNv2Caerbov2D09 MBdbqedmvETj2BSbqeduuDJXwAKbYu51MyVXgarqqr1ngBPrgifHhD YfgasaacHOWxg9qrFfeu0dXdh9vqqj=hEeeu0xXdbba9frFj0=OqFf ea0dXdd9vspGe9FjuP0=fs0xXdbba9pGe9xq=Jbba9suk9fr=xfr=x frpeWZqaaeaabiGaaiaadaqabeaabeqacqaaaOqaamaaxacabaaeaa aaaaaaa8qadaaadaWdaeaapeGaamiraaGaayzkJiaawQYiaaWcpaqa beaacWaMSByXICnaaOWdbiabg2da9iaad2eadaqadaWdaeaapeWaaS aaa8aabaWdbiabeg7aHjabeo8aZbWdaeaapeWaaaWaa8aabaWdbiaa dseaaiaawMYicaGLQmcaaaGaeyOeI0Iaamiua8aadaWgaaWcbaWdbi aadQhaa8aabeaaaOWdbiaawIcacaGLPaaacaGGUaaaaa@4D24@         (10)

Этот же подход (с учетом или без учета P z MathType@MTEF@5@5@+= feaahGart1ev3aqatCvAUfeBSjuyZL2yd9gzLbvyNv2Caerbov2D09 MBdbqedmvETj2BSbqeduuDJXwAKbYu51MyVXgarqqr1ngBPrgifHhD YfgasaacHOWxg9qrFfeu0dXdh9vqqj=hEeeu0xXdbba9frFj0=OqFf ea0dXdd9vspGe9FjuP0=fs0xXdbba9pGe9xq=Jbba9suk9fr=xfr=x frpeWZqaaeaabiGaaiaadaqabeaabeqacqaaaOqaaabaaaaaaaaape Gaamiua8aadaWgaaWcbaWdbiaadQhaa8aabeaaaaa@3A83@  ) часто практикуется и в более сложных моделях, где рост зерна является частным случаем более сложного набора процессов в рамках данной модели [22–24]. В наших предыдущих работах [25–30] модели тоже строились на основе описания поведения среднего размера зерна, так как это позволяет делать вполне удовлетворительные качественные и количественные прогнозы развития фазовых и структурных превращений при относительно небольших вычислительных затратах. С другой стороны, это является существенным упрощением и ограничивает развитие новых, более реалистичных физических моделей. Поэтому в данной работе сделана попытка предложить подход, свободный от указанного ограничения, но сохраняющий такие преимущества, как простота, понятный физический смысл и приемлемые вычислительные затраты.

Как было отмечено выше, в подавляющем большинстве предложенных на сегодняшний день моделей для описания роста зерен уделяется весьма слабое влияние реалистичному описанию эволюции выделений вторых фаз. Обычно используются очень упрощенные модели. В этом аспекте [25, 28] выглядят более предпочтительно, так как опираются на развитые в [31, 32] подходы для моделирования эволюции выделений, которые учитывают сразу несколько важных для данной задачи факторов: полидисперсность ансамбля выделений, зарождение новых частиц, конечную объемную долю выделений, взаимовлияние диффузионных потоков разных элементов, возможность эволюции выделений сложного состава.

Построение модели

Модель роста зерен на основе принципа термодинамического экстремума

К сожалению, при попытке нативно учесть торможение со стороны выделений вторых фаз на основе ПТЭ [13] возникают значительные сложности. Пройти по пути вывода выражений, аналогично тому, как это делали авторы [13], не получается – вся красота подхода разрушается, выражения в процессе вывода становятся очень громоздкими и, по-видимому, не разрешимыми в аналитическом виде. Тем не менее можно предложить способ с одной стороны, воспользоваться наработками [13], чтобы моделировать эволюцию именно ансамбля зерен (а не среднего размера) и, с другой стороны, учесть сдерживание роста зерен выделениями. Этот способ представлен ниже.

Чтобы сократить вычислительные затраты, предлагается учитывать не отдельные зерна, а описывать зеренную структуру гистограммой. Т. е. интервалу размеров зерен D i MathType@MTEF@5@5@+= feaahGart1ev3aaatCvAUfeBSjuyZL2yd9gzLbvyNv2Caerbov2D09 MBdbqedmvETj2BSbqeduuDJXwAKbYu51MyVXgarqqr1ngBPrgifHhD YfgasaacHOWxg9qrFfeu0dXdh9vqqj=hEeeu0xXdbba9frFj0=OqFf ea0dXdd9vspGe9FjuP0=fs0xXdbba9pGe9xq=Jbba9suk9fr=xfr=x frpeWZqaaeaabiGaaiaadaqabeaabeqacqaaaOqaaabaaaaaaaaape Gaamira8aadaWgaaWcbaWdbiaadMgaa8aabeaaaaa@3A65@  ставится в соответствие величина H i , MathType@MTEF@5@5@+= feaahGart1ev3aaatCvAUfeBSjuyZL2yd9gzLbvyNv2Caerbov2D09 MBdbqedmvETj2BSbqeduuDJXwAKbYu51MyVXgarqqr1ngBPrgifHhD YfgasaacHOWxg9qrFfeu0dXdh9vqqj=hEeeu0xXdbba9frFj0=OqFf ea0dXdd9vspGe9FjuP0=fs0xXdbba9pGe9xq=Jbba9suk9fr=xfr=x frpeWZqaaeaabiGaaiaadaqabeaabeqacqaaaOqaaabaaaaaaaaape Gaamisa8aadaWgaaWcbaWdbiaadMgaa8aabeaak8qacaGGSaaaaa@3B33@  которая равна количественной доле зерен с размерами D i ±ΔD MathType@MTEF@5@5@+= feaahGart1ev3aaatCvAUfeBSjuyZL2yd9gzLbvyNv2Caerbov2D09 MBdbqedmvETj2BSbqeduuDJXwAKbYu51MyVXgarqqr1ngBPrgifHhD YfgasaacHOWxg9qrFfeu0dXdh9vqqj=hEeeu0xXdbba9frFj0=OqFf ea0dXdd9vspGe9FjuP0=fs0xXdbba9pGe9xq=Jbba9suk9fr=xfr=x frpeWZqaaeaabiGaaiaadaqabeaabeqacqaaaOqaaabaaaaaaaaape Gaamira8aadaWgaaWcbaWdbiaadMgaa8aabeaak8qacqGHXcqScqqH uoarcaWGebaaaa@3E9C@ :

  H i = N i N . MathType@MTEF@5@5@+= feaahGart1ev3aqatCvAUfeBSjuyZL2yd9gzLbvyNv2Caerbov2D09 MBdbqedmvETj2BSbqeduuDJXwAKbYu51MyVXgarqqr1ngBPrgifHhD YfgasaacHOWxg9qrFfeu0dXdh9vqqj=hEeeu0xXdbba9frFj0=OqFf ea0dXdd9vspGe9FjuP0=fs0xXdbba9pGe9xq=Jbba9suk9fr=xfr=x frpeWZqaaeaabiGaaiaadaqabeaabeqacqaaaOqaaabaaaaaaaaape Gaamisa8aadaWgaaWcbaWdbiaadMgaa8aabeaak8qacqGH9aqpdaWc aaWdaeaapeGaamOta8aadaWgaaWcbaWdbiaadMgaa8aabeaaaOqaa8 qacaWGobaaaiaac6caaaa@3F73@                             (11)

В рамках модели предполагается, что внутри каждого интервала размеры зерен распределены равномерно. Для текущего состояния ансамбля зерен, заданного гистограммой, общее число зерен N (в приближении сферической формы зерен) можно рассчитать следующим образом:

  N= 6 π i=1 m H i D i 3 , MathType@MTEF@5@5@+= feaahGart1ev3aqatCvAUfeBSjuyZL2yd9gzLbvyNv2Caerbov2D09 MBdbqedmvETj2BSbqeduuDJXwAKbYu51MyVXgarqqr1ngBPrgifHhD YfgasaacHOWxg9qrFfeu0dXdh9vqqj=hEeeu0xXdbba9frFj0=OqFf ea0dXdd9vspGe9FjuP0=fs0xXdbba9pGe9xq=Jbba9suk9fr=xfr=x frpeWZqaaeaabiGaaiaadaqabeaabeqacqaaaOqaaabaaaaaaaaape GaamOtaiabg2da9maalaaapaqaa8qacaaI2aaapaqaa8qacqaHapaC daqfWaqabSWdaeaapeGaamyAaiabg2da9iaaigdaa8aabaWdbiaad2 gaa0WdaeaapeGaeyyeIuoaaOGaamisa8aadaWgaaWcbaWdbiaadMga a8aabeaak8qacaWGebWdamaaDaaaleaapeGaamyAaaWdaeaapeGaaG 4maaaaaaGccaGGSaaaaa@48D2@             (12)

где m – количество интервалов гистограммы.

Как отмечается в [16], диффузионные процессы в объеме, сопутствующие эволюции выделений вторых фаз, идут значительно медленнее, чем трансформация зеренной структуры, поэтому диссипацией энергии в объеме можно пренебречь. Таким образом, учитывается диссипация энергии Q MathType@MTEF@5@5@+= feaahGart1ev3aaatCvAUfeBSjuyZL2yd9gzLbvyNv2Caerbov2D09 MBdbqedmvETj2BSbqeduuDJXwAKbYu51MyVXgarqqr1ngBPrgifHhD YfgasaacHOWxg9qrFfeu0dXdh9vqqj=hEeeu0xXdbba9frFj0=OqFf ea0dXdd9vspGe9FjuP0=fs0xXdbba9pGe9xq=Jbba9suk9fr=xfr=x frpeWZqaaeaabiGaaiaadaqabeaabeqacqaaaOqaaabaaaaaaaaape Gaamyuaaaa@392A@  только за счет изменения общей площади S границ зерен при изменении размеров зерен:

  Q= S J GB F GB dS, MathType@MTEF@5@5@+= feaahGart1ev3aqatCvAUfeBSjuyZL2yd9gzLbvyNv2Caerbov2D09 MBdbqedmvETj2BSbqeduuDJXwAKbYu51MyVXgarqqr1ngBPrgifHhD YfgasaacHOWxg9qrFfeu0dXdh9vqqj=hEeeu0xXdbba9frFj0=OqFf ea0dXdd9vspGe9FjuP0=fs0xXdbba9pGe9xq=Jbba9suk9fr=xfr=x frpeWZqaaeaabiGaaiaadaqabeaabeqacqaaaOqaaabaaaaaaaaape Gaamyuaiabg2da9maavadabeWcpaqaa8qacaWGtbaapaqaaaqdbaWd biabgUIiYdaakmaabmaapaqaa8qacaWHkbWdamaaBaaaleaapeGaaC 4raiaahkeaa8aabeaakiabgwSix=qacaWHgbWdamaaBaaaleaapeGa aC4raiaahkeaa8aabeaaaOWdbiaawIcacaGLPaaacaqGKbGaam4uai aacYcaaaa@49A2@      (13)

где F GB MathType@MTEF@5@5@+= feaahGart1ev3aqatCvAUfeBSjuyZL2yd9gzLbvyNv2Caerbov2D09 MBdbqedmvETj2BSbqeduuDJXwAKbYu51MyVXgarqqr1ngBPrgifHhD YfgasaacHOWxg9qrFfeu0dXdh9vqqj=hEeeu0xXdbba9frFj0=OqFf ea0dXdd9vspGe9FjuP0=fs0xXdbba9pGe9xq=Jbba9suk9fr=xfr=x frpeWZqaaeaabiGaaiaadaqabeaabeqacqaaaOqaaabaaaaaaaaape GaaCOra8aadaWgaaWcbaWdbiaahEeacaWHcbaapaqabaaaaa@3B19@  – термодинамическая сила, соответствующая стремлению системы понизить зернограничную энергию, J GB MathType@MTEF@5@5@+= feaahGart1ev3aqatCvAUfeBSjuyZL2yd9gzLbvyNv2Caerbov2D09 MBdbqedmvETj2BSbqeduuDJXwAKbYu51MyVXgarqqr1ngBPrgifHhD YfgasaacHOWxg9qrFfeu0dXdh9vqqj=hEeeu0xXdbba9frFj0=OqFf ea0dXdd9vspGe9FjuP0=fs0xXdbba9pGe9xq=Jbba9suk9fr=xfr=x frpeWZqaaeaabiGaaiaadaqabeaabeqacqaaaOqaaabaaaaaaaaape GaaCOsa8aadaWgaaWcbaWdbiaahEeacaWHcbaapaqabaaaaa@3B1D@  – поток свойства, за счет которого это стремление реализуется.

Поток свойства – это производная по времени параметра состояния. В данном случае, параметр состояния – размеры зерен, то есть, J GB MathType@MTEF@5@5@+= feaahGart1ev3aqatCvAUfeBSjuyZL2yd9gzLbvyNv2Caerbov2D09 MBdbqedmvETj2BSbqeduuDJXwAKbYu51MyVXgarqqr1ngBPrgifHhD YfgasaacHOWxg9qrFfeu0dXdh9vqqj=hEeeu0xXdbba9frFj0=OqFf ea0dXdd9vspGe9FjuP0=fs0xXdbba9pGe9xq=Jbba9suk9fr=xfr=x frpeWZqaaeaabiGaaiaadaqabeaabeqacqaaaOqaaabaaaaaaaaape GaaCOsa8aadaWgaaWcbaWdbiaahEeacaWHcbaapaqabaaaaa@3B1D@  – это вектор с координатами D ˙ i MathType@MTEF@5@5@+= feaahGart1ev3aqatCvAUfeBSjuyZL2yd9gzLbvyNv2Caerbov2D09 MBdbqedmvETj2BSbqeduuDJXwAKbYu51MyVXgarqqr1ngBPrgifHhD YfgasaacHOWxg9qrFfeu0dXdh9vqqj=hEeeu0xXdbba9frFj0=OqFf ea0dXdd9vspGe9FjuP0=fs0xXdbba9pGe9xq=Jbba9suk9fr=xfr=x frpeWZqaaeaabiGaaiaadaqabeaabeqacqaaaOqaaabaaaaaaaaape Gabmira8aagaGaamaaBaaaleaapeGaamyAaaWdaeqaaaaa@3A6F@ .

Произведение в (13) обозначает скалярное произведение векторов. Таким образом,

  Q= 1 2 S i=1 m J i F i dS. MathType@MTEF@5@5@+= feaahGart1ev3aqatCvAUfeBSjuyZL2yd9gzLbvyNv2Caerbov2D09 MBdbqedmvETj2BSbqeduuDJXwAKbYu51MyVXgarqqr1ngBPrgifHhD YfgasaacHOWxg9qrFfeu0dXdh9vqqj=hEeeu0xXdbba9frFj0=OqFf ea0dXdd9vspGe9FjuP0=fs0xXdbba9pGe9xq=Jbba9suk9fr=xfr=x frpeWZqaaeaabiGaaiaadaqabeaabeqacqaaaOqaaabaaaaaaaaape Gaamyuaiabg2da9maalaaapaqaa8qacaaIXaaapaqaa8qacaaIYaaa amaavadabeWcpaqaa8qacaWGtbaapaqaaaqdbaWdbiabgUIiYdaakm aawahabeWcpaqaa8qacaWGPbGaeyypa0JaaGymaaWdaeaapeGaamyB aaqdpaqaa8qacqGHris5aaGccaWGkbWdamaaBaaaleaapeGaamyAaa WdaeqaaOWdbiaadAeapaWaaSbaaSqaa8qacaWGPbaapaqabaGcpeGa amizaiaadofacaGGUaaaaa@4C69@          (14)

Одна вторая появляется, поскольку одну границу делят два зерна.

Согласно [3, 13]:

  D ˙ i = M i F GB i    F GB i = D ˙ i M i . MathType@MTEF@5@5@+= feaahGart1ev3aaatCvAUfeBSjuyZL2yd9gzLbvyNv2Caerbov2D09 MBdbqedmvETj2BSbqeduuDJXwAKbYu51MyVXgarqqr1ngBPrgifHhD YfgasaacHOWxg9qrFfeu0dXdh9vqqj=hEeeu0xXdbba9frFj0=OqFf ea0dXdd9vspGe9FjuP0=fs0xXdbba9pGe9xq=Jbba9suk9fr=xfr=x frpeWZqaaeaabiGaaiaadaqabeaabeqacqaaaOqaaabaaaaaaaaape Gabmira8aagaGaamaaBaaaleaapeGaamyAaaWdaeqaaOWdbiabg2da 9iaad2eapaWaaSbaaSqaa8qacaWGPbaapaqabaGcpeGaamOra8aada WgaaWcbaWdbiaabEeacaqGcbaapaqabaGcdaWgaaWcbaWdbiaadMga a8aabeaak8qacGa+asoOaiad8cOHsgIRcGa+asoOaiac4d4GgbWdam ac4d4gaaWcbGa+a+qacGa+ag4raiac4dyGcbaapaqajGpGaOWaiGpG Baaaleac4d4dbiac4d4GPbaapaqajGpGaOWdbiad4dOH9aqpdGa+aU aaa8aabGa+a+qacKa+aoira8aagGa+akaadGa+aUbaaSqaiGpGpeGa iGpGdMgaa8aabKa+acaakeac4d4dbiac4d4GnbWdamac4d4gaaWcbG a+a+qacGa+aoyAaaWdaeqc4diaaaGcpeGaiGpGc6caaaa@7C70@                                          (15)

Следовательно, принимая, что форма зерна сферическая,

  Q= 1 2 S i=1 m D ˙ i D ˙ i M i dS= π 2 i=1 m N i D i 2 D ˙ i 2 M i . MathType@MTEF@5@5@+= feaahGart1ev3aqatCvAUfeBSjuyZL2yd9gzLbvyNv2Caerbov2D09 MBdbqedmvETj2BSbqeduuDJXwAKbYu51MyVXgarqqr1ngBPrgifHhD YfgasaacHOWxg9qrFfeu0dXdh9vqqj=hEeeu0xXdbba9frFj0=OqFf ea0dXdd9vspGe9FjuP0=fs0xXdbba9pGe9xq=Jbba9suk9fr=xfr=x frpeWZqaaeaabiGaaiaadaqabeaabeqacqaaaOqaaabaaaaaaaaape Gaamyuaiabg2da9maalaaapaqaa8qacaaIXaaapaqaa8qacaaIYaaa amaavadabeWcpaqaa8qacaWGtbaapaqaaaqdbaWdbiabgUIiYdaakm aawahabeWcpaqaa8qacaWGPbGaeyypa0JaaGymaaWdaeaapeGaamyB aaqdpaqaa8qacqGHris5aaGcceWGebWdayaacaWaaSbaaSqaa8qaca WGPbaapaqabaGcpeWaaSaaa8aabaWdbiqadseapaGbaiaadaWgaaWc baWdbiaadMgaa8aabeaaaOqaa8qacaWGnbWdamaaBaaaleaapeGaam yAaaWdaeqaaaaak8qacaWGKbGaam4uaiabg2da9maalaaapaqaa8qa cqaHapaCa8aabaWdbiaaikdaaaWaaybCaeqal8aabaWdbiaadMgacq GH9aqpcaaIXaaapaqaa8qacaWGTbaan8aabaWdbiabggHiLdaakiaa d6eapaWaaSbaaSqaa8qacaWGPbaapaqabaGcpeGaamira8aadaqhaa WcbaWdbiaadMgaa8aabaWdbiaaikdaaaGcdaWcaaWdaeaapeGabmir a8aagaGaamaaDaaaleaapeGaamyAaaWdaeaapeGaaGOmaaaaaOWdae aapeGaamyta8aadaWgaaWcbaWdbiaadMgaa8aabeaaaaGcpeGaaiOl aaaa@6385@                    (16)

Поскольку процесс реализуется путем максимального производства энтропии, задача соответствует отысканию экстремума диссипативной функции Q D ˙ i MathType@MTEF@5@5@+= feaahGart1ev3aqatCvAUfeBSjuyZL2yd9gzLbvyNv2Caerbov2D09 MBdbqedmvETj2BSbqeduuDJXwAKbYu51MyVXgarqqr1ngBPrgifHhD YfgasaacHOWxg9qrFfeu0dXdh9vqqj=hEeeu0xXdbba9frFj0=OqFf ea0dXdd9vspGe9FjuP0=fs0xXdbba9pGe9xq=Jbba9suk9fr=xfr=x frpeWZqaaeaabiGaaiaadaqabeaabeqacqaaaOqaaabaaaaaaaaape Gaamyuamaabmaapaqaa8qaceWGebWdayaacaWaaSbaaSqaa8qacaWG Pbaapaqabaaak8qacaGLOaGaayzkaaaaaa@3D07@  при условиях постоянства объема (4) и равенства диссипации энергии скорости изменения свободной энергии системы G MathType@MTEF@5@5@+= feaahGart1ev3aaatCvAUfeBSjuyZL2yd9gzLbvyNv2Caerbov2D09 MBdbqedmvETj2BSbqeduuDJXwAKbYu51MyVXgarqqr1ngBPrgifHhD YfgasaacHOWxg9qrFfeu0dXdh9vqqj=hEeeu0xXdbba9frFj0=OqFf ea0dXdd9vspGe9FjuP0=fs0xXdbba9pGe9xq=Jbba9suk9fr=xfr=x frpeWZqaaeaabiGaaiaadaqabeaabeqacqaaaOqaaabaaaaaaaaape Gaam4raaaa@3920@ :

  D ˙ i Q+λ Q+ G ˙ +μ V ˙ =0. MathType@MTEF@5@5@+= feaahGart1ev3aqatCvAUfeBSjuyZL2yd9gzLbvyNv2Caerbov2D09 MBdbqedmvETj2BSbqeduuDJXwAKbYu51MyVXgarqqr1ngBPrgifHhD YfgasaacHOWxg9qrFfeu0dXdh9vqqj=hEeeu0xXdbba9frFj0=OqFf ea0dXdd9vspGe9FjuP0=fs0xXdbba9pGe9xq=Jbba9suk9fr=xfr=x frpeWZqaaeaabiGaaiaadaqabeaabeqacqaaaOqaaabaaaaaaaaape WaaSaaa8aabaWdbiabgkGi2cWdaeaapeGaeyOaIyRabmira8aagaGa amaaBaaaleaapeGaamyAaaWdaeqaaaaak8qadaqadaWdaeaapeGaam yuaiabgUcaRiabeU7aSnaabmaapaqaa8qacaWGrbGaey4kaSIabm4r a8aagaGaaaWdbiaawIcacaGLPaaacqGHRaWkcqaH8oqBceWGwbWday aacaaapeGaayjkaiaawMcaaiabg2da9iaaicdacaGGUaaaaa@4D18@                                    (17)

Для свободной энергии системы рассматривается только зернограничный вклад:

  G=  G surf = π 2 σ i=1 m N i D i 2 . MathType@MTEF@5@5@+= feaahGart1ev3aqatCvAUfeBSjuyZL2yd9gzLbvyNv2Caerbov2D09 MBdbqedmvETj2BSbqeduuDJXwAKbYu51MyVXgarqqr1ngBPrgifHhD YfgasaacHOWxg9qrFfeu0dXdh9vqqj=hEeeu0xXdbba9frFj0=OqFf ea0dXdd9vspGe9FjuP0=fs0xXdbba9pGe9xq=Jbba9suk9fr=xfr=x frpeWZqaaeaabiGaaiaadaqabeaabeqacqaaaOqaaabaaaaaaaaape Gaam4raiabg2da9iaaKdkacaWGhbWdamaaBaaaleaapeGaae4Caiaa bwhacaqGYbGaaeOzaaWdaeqaaOWdbiabg2da9maalaaapaqaa8qacq aHapaCa8aabaWdbiaaikdaaaGaeq4Wdm3aaybCaeqal8aabaWdbiaa dMgacqGH9aqpcaaIXaaapaqaa8qacaWGTbaan8aabaWdbiabggHiLd aakiaad6eapaWaaSbaaSqaa8qacaWGPbaapaqabaGcpeGaamira8aa daqhaaWcbaWdbiaadMgaa8aabaWdbiaaikdaaaGccaGGUaaaaa@526A@   (18)

Привнесение в выражения (16), (18) количества зерен N i MathType@MTEF@5@5@+= feaahGart1ev3aqatCvAUfeBSjuyZL2yd9gzLbvyNv2Caerbov2D09 MBdbqedmvETj2BSbqeduuDJXwAKbYu51MyVXgarqqr1ngBPrgifHhD YfgasaacHOWxg9qrFfeu0dXdh9vqqj=hEeeu0xXdbba9frFj0=OqFf ea0dXdd9vspGe9FjuP0=fs0xXdbba9pGe9xq=Jbba9suk9fr=xfr=x frpeWZqaaeaabiGaaiaadaqabeaabeqacqaaaOqaaabaaaaaaaaape GaamOta8aadaWgaaWcbaWdbiaadMgaa8aabeaaaaa@3A70@  не меняет логики вывода формул, проделанного в [13]. В целом, повторяя этот вывод и принимая, что подвижности границ всех зерен одинаковы, можно прийти к

  D ˙ i =4σM j=1 m N j D j j=1 m N j D j 2 1 D i . MathType@MTEF@5@5@+= feaahGart1ev3aqatCvAUfeBSjuyZL2yd9gzLbvyNv2Caerbov2D09 MBdbqedmvETj2BSbqeduuDJXwAKbYu51MyVXgarqqr1ngBPrgifHhD YfgasaacHOWxg9qrFfeu0dXdh9vqqj=hEeeu0xXdbba9frFj0=OqFf ea0dXdd9vspGe9FjuP0=fs0xXdbba9pGe9xq=Jbba9suk9fr=xfr=x frpeWZqaaeaabiGaaiaadaqabeaabeqacqaaaOqaaabaaaaaaaaape Gabmira8aagaGaamaaBaaaleaapeGaamyAaaWdaeqaaOWdbiabg2da 9iaaisdacqaHdpWCcaWGnbWaaeWaa8aabaWdbmaalaaapaqaa8qada qfWaqabSWdaeaapeGaamOAaiabg2da9iaaigdaa8aabaWdbiaad2ga a0WdaeaapeGaeyyeIuoaaOGaamOta8aadaWgaaWcbaWdbiaadQgaa8 aabeaak8qacaWGebWdamaaBaaaleaapeGaamOAaaWdaeqaaaGcbaWd bmaavadabeWcpaqaa8qacaWGQbGaeyypa0JaaGymaaWdaeaapeGaam yBaaqdpaqaa8qacqGHris5aaGccaWGobWdamaaBaaaleaapeGaamOA aaWdaeqaaOWdbiaadseapaWaa0baaSqaa8qacaWGQbaapaqaa8qaca aIYaaaaaaakiabgkHiTmaalaaapaqaa8qacaaIXaaapaqaa8qacaWG ebWdamaaBaaaleaapeGaamyAaaWdaeqaaaaaaOWdbiaawIcacaGLPa aacaGGUaaaaa@5B31@                                      (19)

Как видно, с помощью выражения (19) легко рассчитать скорость изменения размеров зерен каждого размерного интервала, а сложность вычислений составляет O 2m MathType@MTEF@5@5@+= feaahGart1ev3aqatCvAUfeBSjuyZL2yd9gzLbvyNv2Caerbov2D09 MBdbqedmvETj2BSbqeduuDJXwAKbYu51MyVXgarqqr1ngBPrgifHhD YfgasaacHOWxg9qrFfeu0dXdh9vqqj=hEeeu0xXdbba9frFj0=OqFf ea0dXdd9vspGe9FjuP0=fs0xXdbba9pGe9xq=Jbba9suk9fr=xfr=x frpeWZqaaeaabiGaaiaadaqabeaabeqacqaaaOqaaabaaaaaaaaape Gaam4tamaabmaapaqaa8qacaaIYaGaamyBaaGaayjkaiaawMcaaaaa @3C7F@ . Причем m MathType@MTEF@5@5@+= feaahGart1ev3aaatCvAUfeBSjuyZL2yd9gzLbvyNv2Caerbov2D09 MBdbqedmvETj2BSbqeduuDJXwAKbYu51MyVXgarqqr1ngBPrgifHhD YfgasaacHOWxg9qrFfeu0dXdh9vqqj=hEeeu0xXdbba9frFj0=OqFf ea0dXdd9vspGe9FjuP0=fs0xXdbba9pGe9xq=Jbba9suk9fr=xfr=x frpeWZqaaeaabiGaaiaadaqabeaabeqacqaaaOqaaabaaaaaaaaape GaamyBaaaa@3946@  может быть относительно небольшим, например, 1000, то есть, от 0 до 1000 мкм с шагом 1 мкм.

Однако торможение роста зерен со стороны выделений вторых фаз здесь никак не учитывается. Чтобы исправить этот недостаток, в настоящей модели предлагается гибридный подход – описывать с помощью (19) поведение ансамбля зерен, а торможение роста учитывать через подвижность всех границ зерен, отслеживая поведение среднего размера зерна. При этом, чтобы сгладить переход от свободного роста зерен к заторможенному состоянию, подвижности M, MathType@MTEF@5@5@+= feaahGart1ev3aaatCvAUfeBSjuyZL2yd9gzLbvyNv2Caerbov2D09 MBdbqedmvETj2BSbqeduuDJXwAKbYu51MyVXgarqqr1ngBPrgifHhD YfgasaacHOWxg9qrFfeu0dXdh9vqqj=hEeeu0xXdbba9frFj0=OqFf ea0dXdd9vspGe9FjuP0=fs0xXdbba9pGe9xq=Jbba9suk9fr=xfr=x frpeWZqaaeaabiGaaiaadaqabeaabeqacqaaaOqaaabaaaaaaaaape GaamytaiaacYcaaaa@39D6@  аналогично [33], брались взвешенными между подвижностью свободной M Free MathType@MTEF@5@5@+= feaahGart1ev3aqatCvAUfeBSjuyZL2yd9gzLbvyNv2Caerbov2D09 MBdbqedmvETj2BSbqeduuDJXwAKbYu51MyVXgarqqr1ngBPrgifHhD YfgasaacHOWxg9qrFfeu0dXdh9vqqj=hEeeu0xXdbba9frFj0=OqFf ea0dXdd9vspGe9FjuP0=fs0xXdbba9pGe9xq=Jbba9suk9fr=xfr=x frpeWZqaaeaabiGaaiaadaqabeaabeqacqaaaOqaaabaaaaaaaaape Gaamyta8aadaWgaaWcbaWdbiaabAeacaqGYbGaaeyzaiaabwgaa8aa beaaaaa@3D0F@  и заторможенной границы M Pinned MathType@MTEF@5@5@+= feaahGart1ev3aqatCvAUfeBSjuyZL2yd9gzLbvyNv2Caerbov2D09 MBdbqedmvETj2BSbqeduuDJXwAKbYu51MyVXgarqqr1ngBPrgifHhD YfgasaacHOWxg9qrFfeu0dXdh9vqqj=hEeeu0xXdbba9frFj0=OqFf ea0dXdd9vspGe9FjuP0=fs0xXdbba9pGe9xq=Jbba9suk9fr=xfr=x frpeWZqaaeaabiGaaiaadaqabeaabeqacqaaaOqaaabaaaaaaaaape Gaamyta8aadaWgaaWcbaWdbiaabcfacaqGPbGaaeOBaiaab6gacaqG LbGaaeizaaWdaeqaaaaa@3EF1@ :

  M= P d ' M Free + 1 P d ' M Pinned ,  P d > P Z M Pinned ,   P d P Z , MathType@MTEF@5@5@+= feaahGart1ev3aqatCvAUfeBSjuyZL2yd9gzLbvyNv2Caerbov2D09 MBdbqedmvETj2BSbqeduuDJXwAKbYu51MyVXgarqqr1ngBPrgifHhD YfgasaacHOWxg9qrFfeu0dXdh9vqqj=hEeeu0xXdbba9frFj0=OqFf ea0dXdd9vspGe9FjuP0=fs0xXdbba9pGe9xq=Jbba9suk9fr=xfr=x frpeWZqaaeaabiGaaiaadaqabeaabeqacqaaaOqaaabaaaaaaaaape Gaamytaiabg2da9maaceaapaqaauaabeqaceaaaeaapeGaamiua8aa daqhaaWcbaWdbiaadsgaa8aabaWdbiaacEcaaaGccaWGnbWdamaaBa aaleaapeGaaeOraiaabkhacaqGLbGaaeyzaaWdaeqaaOWdbiabgUca Rmaabmaapaqaa8qacaaIXaGaeyOeI0Iaamiua8aadaqhaaWcbaWdbi aadsgaa8aabaWdbiaacEcaaaaakiaawIcacaGLPaaacaWGnbWdamaa BaaaleaapeGaaeiuaiaabMgacaqGUbGaaeOBaiaabwgacaqGKbaapa qabaGcpeGaaiilaiaaKdkacaWGqbWdamaaBaaaleaapeGaamizaaWd aeqaaOWdbiabg6da+iaadcfapaWaaSbaaSqaa8qacaWGAbaapaqaba aakeaapeGaamyta8aadaWgaaWcbaWdbiaabcfacaqGPbGaaeOBaiaa b6gacaqGLbGaaeizaaWdaeqaaOWdbiaacYcacaa5GcGaaqoOaiaadc fapaWaaSbaaSqaa8qacaWGKbaapaqabaGcpeGaeyizImQaamiua8aa daWgaaWcbaWdbiaadQfaa8aabeaaaaaak8qacaGL7baacaGGSaaaaa@69B4@                 (20)

где

  P d ' = P d P Z P d , MathType@MTEF@5@5@+= feaahGart1ev3aqatCvAUfeBSjuyZL2yd9gzLbvyNv2Caerbov2D09 MBdbqedmvETj2BSbqeduuDJXwAKbYu51MyVXgarqqr1ngBPrgifHhD YfgasaacHOWxg9qrFfeu0dXdh9vqqj=hEeeu0xXdbba9frFj0=OqFf ea0dXdd9vspGe9FjuP0=fs0xXdbba9pGe9xq=Jbba9suk9fr=xfr=x frpeWZqaaeaabiGaaiaadaqabeaabeqacqaaaOqaaabaaaaaaaaape Gaamiua8aadaqhaaWcbaWdbiaadsgaa8aabaWdbiaacEcaaaGccqGH 9aqpdaWcaaWdaeaapeGaamiua8aadaWgaaWcbaWdbiaadsgaa8aabe aak8qacqGHsislcaWGqbWdamaaBaaaleaapeGaamOwaaWdaeqaaaGc baWdbiaadcfapaWaaSbaaSqaa8qacaWGKbaapaqabaaaaOWdbiaacY caaaa@4491@                    (21)

  M Pinned = η Pinned M Free . MathType@MTEF@5@5@+= feaahGart1ev3aqatCvAUfeBSjuyZL2yd9gzLbvyNv2Caerbov2D09 MBdbqedmvETj2BSbqeduuDJXwAKbYu51MyVXgarqqr1ngBPrgifHhD YfgasaacHOWxg9qrFfeu0dXdh9vqqj=hEeeu0xXdbba9frFj0=OqFf ea0dXdd9vspGe9FjuP0=fs0xXdbba9pGe9xq=Jbba9suk9fr=xfr=x frpeWZqaaeaabiGaaiaadaqabeaabeqacqaaaOqaaabaaaaaaaaape Gaamyta8aadaWgaaWcbaWdbiaabcfacaqGPbGaaeOBaiaab6gacaqG LbGaaeizaaWdaeqaaOWdbiabg2da9iabeE7aO9aadaWgaaWcbaWdbi aabcfacaqGPbGaaeOBaiaab6gacaqGLbGaaeizaaWdaeqaaOWdbiaa d2eapaWaaSbaaSqaa8qacaqGgbGaaeOCaiaabwgacaqGLbaapaqaba GcpeGaaiOlaaaa@4D27@       (22)

Коэффициент ηPinned подразумевает, что максимально заторможенная граница все же движется с некоторой ненулевой скоростью.

Предполагается, что движущая сила P d MathType@MTEF@5@5@+= feaahGart1ev3aqatCvAUfeBSjuyZL2yd9gzLbvyNv2Caerbov2D09 MBdbqedmvETj2BSbqeduuDJXwAKbYu51MyVXgarqqr1ngBPrgifHhD YfgasaacHOWxg9qrFfeu0dXdh9vqqj=hEeeu0xXdbba9frFj0=OqFf ea0dXdd9vspGe9FjuP0=fs0xXdbba9pGe9xq=Jbba9suk9fr=xfr=x frpeWZqaaeaabiGaaiaadaqabeaabeqacqaaaOqaaabaaaaaaaaape Gaamiua8aadaWgaaWcbaWdbiaadsgaa8aabeaaaaa@3A6D@  соответствует выражению (10) для среднего размера зерна, т. е.

  P d = ασ D . MathType@MTEF@5@5@+= feaahGart1ev3aqatCvAUfeBSjuyZL2yd9gzLbvyNv2Caerbov2D09 MBdbqedmvETj2BSbqeduuDJXwAKbYu51MyVXgarqqr1ngBPrgifHhD YfgasaacHOWxg9qrFfeu0dXdh9vqqj=hEeeu0xXdbba9frFj0=OqFf ea0dXdd9vspGe9FjuP0=fs0xXdbba9pGe9xq=Jbba9suk9fr=xfr=x frpeWZqaaeaabiGaaiaadaqabeaabeqacqaaaOqaaabaaaaaaaaape Gaamiua8aadaWgaaWcbaWdbiaadsgaa8aabeaak8qacqGH9aqpdaWc aaWdaeaapeGaeqySdeMaeq4Wdmhapaqaa8qadaaadaWdaeaapeGaam iraaGaayzkJiaawQYiaaaacaGGUaaaaa@42A7@                            (23)

Аналогично [25, 28] для описания поведения выделений вторых фаз использовалась модель, подробно описанная в [31, 32]. Эта модель учитывает полидсперсность и конечную объемную долю ансамбля выделений, диффузионное взаимодействие элементов в растворе, зарождение новых частиц, комплексный состав выделений и наличие в системе выделений разного состава. Учет полидисперсности позволяет для оценки P z MathType@MTEF@5@5@+= feaahGart1ev3aaatCvAUfeBSjuyZL2yd9gzLbvyNv2Caerbov2D09 MBdbqedmvETj2BSbqeduuDJXwAKbYu51MyVXgarqqr1ngBPrgifHhD YfgasaacHOWxg9qrFfeu0dXdh9vqqj=hEeeu0xXdbba9frFj0=OqFf ea0dXdd9vspGe9FjuP0=fs0xXdbba9pGe9xq=Jbba9suk9fr=xfr=x frpeWZqaaeaabiGaaiaadaqabeaabeqacqaaaOqaaabaaaaaaaaape Gaamiua8aadaWgaaWcbaWdbiaadQhaa8aabeaaaaa@3A82@ , аналогично тому, как это делалось в [26, 29], вместо (9) использовать выражение:

  P z =βσ i f i w r i , MathType@MTEF@5@5@+= feaahGart1ev3aqatCvAUfeBSjuyZL2yd9gzLbvyNv2Caerbov2D09 MBdbqedmvETj2BSbqeduuDJXwAKbYu51MyVXgarqqr1ngBPrgifHhD YfgasaacHOWxg9qrFfeu0dXdh9vqqj=hEeeu0xXdbba9frFj0=OqFf ea0dXdd9vspGe9FjuP0=fs0xXdbba9pGe9xq=Jbba9suk9fr=xfr=x frpeWZqaaeaabiGaaiaadaqabeaabeqacqaaaOqaaabaaaaaaaaape Gaamiua8aadaWgaaWcbaWdbiaadQhaa8aabeaak8qacqGH9aqpcqaH YoGycqaHdpWCdaWadaWdaeaapeWaaybuaeqal8aabaWdbiaadMgaae qan8aabaWdbiabggHiLdaakmaabmaapaqaa8qadaWcaaWdaeaapeGa amOza8aadaqhaaWcbaWdbiaadMgaa8aabaWdbiaadEhaaaaak8aaba WdbiaadkhapaWaaSbaaSqaa8qacaWGPbaapaqabaaaaaGcpeGaayjk aiaawMcaaaGaay5waiaaw2faaiaacYcaaaa@4CC2@             (24)

где f i MathType@MTEF@5@5@+= feaahGart1ev3aaatCvAUfeBSjuyZL2yd9gzLbvyNv2Caerbov2D09 MBdbqedmvETj2BSbqeduuDJXwAKbYu51MyVXgarqqr1ngBPrgifHhD YfgasaacHOWxg9qrFfeu0dXdh9vqqj=hEeeu0xXdbba9frFj0=OqFf ea0dXdd9vspGe9FjuP0=fs0xXdbba9pGe9xq=Jbba9suk9fr=xfr=x frpeWZqaaeaabiGaaiaadaqabeaabeqacqaaaOqaaabaaaaaaaaape GaamOza8aadaWgaaWcbaWdbiaadMgaa8aabeaaaaa@3A87@  и r i MathType@MTEF@5@5@+= feaahGart1ev3aaatCvAUfeBSjuyZL2yd9gzLbvyNv2Caerbov2D09 MBdbqedmvETj2BSbqeduuDJXwAKbYu51MyVXgarqqr1ngBPrgifHhD YfgasaacHOWxg9qrFfeu0dXdh9vqqj=hEeeu0xXdbba9frFj0=OqFf ea0dXdd9vspGe9FjuP0=fs0xXdbba9pGe9xq=Jbba9suk9fr=xfr=x frpeWZqaaeaabiGaaiaadaqabeaabeqacqaaaOqaaabaaaaaaaaape GaamOCa8aadaWgaaWcbaWdbiaadMgaa8aabeaaaaa@3A93@  – объемная доля и радиус выделений определенного размерного класса и состава.

В расчетах для данной модели были использованы параметры β= 9/8 MathType@MTEF@5@5@+= feaahGart1ev3aaatCvAUfeBSjuyZL2yd9gzLbvyNv2Caerbov2D09 MBdbqedmvETj2BSbqeduuDJXwAKbYu51MyVXgarqqr1ngBPrgifHhD YfgasaacHOWxg9qrFfeu0dXdh9vqqj=hEeeu0xXdbba9frFj0=OqFf ea0dXdd9vspGe9FjuP0=fs0xXdbba9pGe9xq=Jbba9suk9fr=xfr=x frpeWZqaaeaabiGaaiaadaqabeaabeqacqaaaOqaaabaaaaaaaaape GaeqOSdiMaeyypa0JaaeiiaiaaiMdacaGGVaGaaGioaaaa@3DD6@  и w MathType@MTEF@5@5@+= feaahGart1ev3aaatCvAUfeBSjuyZL2yd9gzLbvyNv2Caerbov2D09 MBdbqedmvETj2BSbqeduuDJXwAKbYu51MyVXgarqqr1ngBPrgifHhD YfgasaacHOWxg9qrFfeu0dXdh9vqqj=hEeeu0xXdbba9frFj0=OqFf ea0dXdd9vspGe9FjuP0=fs0xXdbba9pGe9xq=Jbba9suk9fr=xfr=x frpeWZqaaeaabiGaaiaadaqabeaabeqacqaaaOqaaabaaaaaaaaape Gaam4Daaaa@3950@  = 0.93 [34].

Таким образом, алгоритм расчета для одного временного шага, в соответствии с описанной выше моделью, выглядит следующим образом:

    1. На основе модели [31, 32] рассчитываются характеристики ансамбля выделений вторых фаз (их распределения по размерам и объемные доли).

    2. По (12) рассчитывается общее число зерен в единице объема.

    3. Согласно (19), рассчитываются скорости изменения размеров зерен для каждого i MathType@MTEF@5@5@+= feaahGart1ev3aaatCvAUfeBSjuyZL2yd9gzLbvyNv2Caerbov2D09 MBdbqedmvETj2BSbqeduuDJXwAKbYu51MyVXgarqqr1ngBPrgifHhD YfgasaacHOWxg9qrFfeu0dXdh9vqqj=hEeeu0xXdbba9frFj0=OqFf ea0dXdd9vspGe9FjuP0=fs0xXdbba9pGe9xq=Jbba9suk9fr=xfr=x frpeWZqaaeaabiGaaiaadaqabeaabeqacqaaaOqaaabaaaaaaaaape GaamyAaaaa@3942@  -го размерного интервала гистограммы и новые размеры зерен Di' для каждого интервала:

  D i ' = D i + D ˙ i Δt. MathType@MTEF@5@5@+= feaahGart1ev3aqatCvAUfeBSjuyZL2yd9gzLbvyNv2Caerbov2D09 MBdbqedmvETj2BSbqeduuDJXwAKbYu51MyVXgarqqr1ngBPrgifHhD YfgasaacHOWxg9qrFfeu0dXdh9vqqj=hEeeu0xXdbba9frFj0=OqFf ea0dXdd9vspGe9FjuP0=fs0xXdbba9pGe9xq=Jbba9suk9fr=xfr=x frpeWZqaaeaabiGaaiaadaqabeaabeqacqaaaOqaaabaaaaaaaaape Gaamira8aadaqhaaWcbaWdbiaadMgaa8aabaWdbiaacEcaaaGccqGH 9aqpcaWGebWdamaaBaaaleaapeGaamyAaaWdaeqaaOWdbiabgUcaRi qadseapaGbaiaadaWgaaWcbaWdbiaadMgaa8aabeaakiabfs5ae9qa caWG0bGaaiOlaaaa@4484@                 (25)

    4.С учетом приближения, что внутри каждого интервала размеры зерен распределены равномерно, рассчитывается изменение долей H i : MathType@MTEF@5@5@+= feaahGart1ev3aaatCvAUfeBSjuyZL2yd9gzLbvyNv2Caerbov2D09 MBdbqedmvETj2BSbqeduuDJXwAKbYu51MyVXgarqqr1ngBPrgifHhD YfgasaacHOWxg9qrFfeu0dXdh9vqqj=hEeeu0xXdbba9frFj0=OqFf ea0dXdd9vspGe9FjuP0=fs0xXdbba9pGe9xq=Jbba9suk9fr=xfr=x frpeWZqaaeaabiGaaiaadaqabeaabeqacqaaaOqaaabaaaaaaaaape Gaamisa8aadaWgaaWcbaWdbiaadMgaa8aabeaakiaabQdaaaa@3B30@

  H i t+Δt = j H j ω i j ΔD , MathType@MTEF@5@5@+= feaahGart1ev3aqatCvAUfeBSjuyZL2yd9gzLbvyNv2Caerbov2D09 MBdbqedmvETj2BSbqeduuDJXwAKbYu51MyVXgarqqr1ngBPrgifHhD YfgasaacHOWxg9qrFfeu0dXdh9vqqj=hEeeu0xXdbba9frFj0=OqFf ea0dXdd9vspGe9FjuP0=fs0xXdbba9pGe9xq=Jbba9suk9fr=xfr=x frpeWZqaaeaabiGaaiaadaqabeaabeqacqaaaOqaaabaaaaaaaaape Gaamisa8aadaWgaaWcbaWdbiaadMgaa8aabeaak8qadaqadaWdaeaa peGaamiDaiabgUcaRiabfs5aejaadshaaiaawIcacaGLPaaacqGH9a qpdaGfqbqabSWdaeaapeGaamOAaaqab0WdaeaapeGaeyyeIuoaaOGa amisa8aadaWgaaWcbaWdbiaadQgaa8aabeaak8qadaWcaaWdaeaacq aHjpWDdaqhaaWcbaWdbiaadMgaa8aabaWdbiaadQgaaaaak8aabaWd biabfs5aejaadseaaaGaaiilaaaa@4E2B@   (26)

где ΔD MathType@MTEF@5@5@+= feaahGart1ev3aqatCvAUfeBSjuyZL2yd9gzLbvyNv2Caerbov2D09 MBdbqedmvETj2BSbqeduuDJXwAKbYu51MyVXgarqqr1ngBPrgifHhD YfgasaacHOWxg9qrFfeu0dXdh9vqqj=hEeeu0xXdbba9frFj0=OqFf ea0dXdd9vspGe9FjuP0=fs0xXdbba9pGe9xq=Jbba9suk9fr=xfr=x frpeWZqaaeaabiGaaiaadaqabeaabeqacqaaaOqaaabaaaaaaaaape GaeuiLdqKaamiraaaa@3A84@  – шаг гистограммы, ω i j MathType@MTEF@5@5@+= feaahGart1ev3aqatCvAUfeBSjuyZL2yd9gzLbvyNv2Caerbov2D09 MBdbqedmvETj2BSbqeduuDJXwAKbYu51MyVXgarqqr1ngBPrgifHhD YfgasaacHOWxg9qrFfeu0dXdh9vqqj=hEeeu0xXdbba9frFj0=OqFf ea0dXdd9vspGe9FjuP0=fs0xXdbba9pGe9xq=Jbba9suk9fr=xfr=x frpeWZqaaeaabiGaaiaadaqabeaabeqacqaaaOqaaabaaaaaaaaape GaeqyYdC3damaaDaaaleaapeGaamyAaaWdaeaapeGaamOAaaaaaaa@3C6A@  – длина пересечения i MathType@MTEF@5@5@+= feaahGart1ev3aaatCvAUfeBSjuyZL2yd9gzLbvyNv2Caerbov2D09 MBdbqedmvETj2BSbqeduuDJXwAKbYu51MyVXgarqqr1ngBPrgifHhD YfgasaacHOWxg9qrFfeu0dXdh9vqqj=hEeeu0xXdbba9frFj0=OqFf ea0dXdd9vspGe9FjuP0=fs0xXdbba9pGe9xq=Jbba9suk9fr=xfr=x frpeWZqaaeaabiGaaiaadaqabeaabeqacqaaaOqaaabaaaaaaaaape GaamyAaaaa@3942@  -го и j MathType@MTEF@5@5@+= feaahGart1ev3aaatCvAUfeBSjuyZL2yd9gzLbvyNv2Caerbov2D09 MBdbqedmvETj2BSbqeduuDJXwAKbYu51MyVXgarqqr1ngBPrgifHhD YfgasaacHOWxg9qrFfeu0dXdh9vqqj=hEeeu0xXdbba9frFj0=OqFf ea0dXdd9vspGe9FjuP0=fs0xXdbba9pGe9xq=Jbba9suk9fr=xfr=x frpeWZqaaeaabiGaaiaadaqabeaabeqacqaaaOqaaabaaaaaaaaape GaamOAaaaa@3943@  -го интервалов. Здесь i MathType@MTEF@5@5@+= feaahGart1ev3aaatCvAUfeBSjuyZL2yd9gzLbvyNv2Caerbov2D09 MBdbqedmvETj2BSbqeduuDJXwAKbYu51MyVXgarqqr1ngBPrgifHhD YfgasaacHOWxg9qrFfeu0dXdh9vqqj=hEeeu0xXdbba9frFj0=OqFf ea0dXdd9vspGe9FjuP0=fs0xXdbba9pGe9xq=Jbba9suk9fr=xfr=x frpeWZqaaeaabiGaaiaadaqabeaabeqacqaaaOqaaabaaaaaaaaape GaamyAaaaa@3942@  соответствует номерам интервалов на исходной гистограмме, j MathType@MTEF@5@5@+= feaahGart1ev3aaatCvAUfeBSjuyZL2yd9gzLbvyNv2Caerbov2D09 MBdbqedmvETj2BSbqeduuDJXwAKbYu51MyVXgarqqr1ngBPrgifHhD YfgasaacHOWxg9qrFfeu0dXdh9vqqj=hEeeu0xXdbba9frFj0=OqFf ea0dXdd9vspGe9FjuP0=fs0xXdbba9pGe9xq=Jbba9suk9fr=xfr=x frpeWZqaaeaabiGaaiaadaqabeaabeqacqaaaOqaaabaaaaaaaaape GaamOAaaaa@3943@  – номерам интервалов на новой гистограмме (после их смещения).

  ω i j = D i ΔD,  D i +ΔD D j ' ΔD,  D j ' +ΔD . MathType@MTEF@5@5@+= feaahGart1ev3aqatCvAUfeBSjuyZL2yd9gzLbvyNv2Caerbov2D09 MBdbqedmvETj2BSbqeduuDJXwAKbYu51MyVXgarqqr1ngBPrgifHhD YfgasaacHOWxg9qrFfeu0dXdh9vqqj=hEeeu0xXdbba9frFj0=OqFf ea0dXdd9vspGe9FjuP0=fs0xXdbba9pGe9xq=Jbba9suk9fr=xfr=x frpeWZqaaeaabiGaaiaadaqabeaabeqacqaaaOqaaabaaaaaaaaape GaeqyYdC3damaaDaaaleaapeGaamyAaaWdaeaapeGaamOAaaaakiab g2da9maadmaapaqaa8qacaWGebWdamaaBaaaleaapeGaamyAaaWdae qaaOWdbiabgkHiTiabfs5aejaadseacaGGSaGaaqoOaiaadseapaWa aSbaaSqaa8qacaWGPbaapaqabaGcpeGaey4kaSIaeuiLdqKaamiram aajmcapaqaa8qacqGHPiYXaiaaw2facaGLBbaacaWGebWdamaaDaaa leaapeGaamOAaaWdaeaapeGaai4jaaaakiabgkHiTiabfs5aejaads eacaGGSaGaaqoOaiaadseapaWaa0baaSqaa8qacaWGQbaapaqaa8qa caGGNaaaaOGaey4kaSIaeuiLdqKaamiraaGaay5waiaaw2faaiaac6 caaaa@5EDE@  (27)

    5. Гистограмма перенормируется на единицу.

Результаты расчета, полученные для данного временного шага, служат исходными данными для следующего.

Забегая вперед, можно сказать, что результаты работы такого алгоритма показывают согласие с экспериментом не хуже, чем моделирование только на основе среднего размера зерна, выполненное в [28]. Но данный алгоритм дополнительно позволяет отслеживать изменение распределения зерен по размерам. Тем не менее как описание зеренной структуры через гистограмму, так и учет сдерживающего фактора со стороны выделений только через средний размер зерна в каких-то случаях могут являться существенным упрощением и ограничивать дальнейшее развитие модели. Поэтому далее приведен еще один – альтернативный – алгоритм для рассматриваемой задачи.

Модель для описания поведения массива отдельных зерен

Модель, предложенная в [3], была достаточно глубоко проанализирована Хиллертом. Однако проблема в том, что этот анализ был проведен аналитически, и его результаты нельзя в полной мере использовать при моделировании ансамбля отдельных зерен. Так, например, даже для свободного роста зерен при использовании (5) либо (6) вследствие накопления погрешности машинных вычислений суммарный объем всех зерен потихоньку изменяется. Кроме того, оба эти выражения не учитывают того, что при конечном временном шаге новый размер зерна (25) может получиться меньше нуля. И, наконец, учет тормозящей силы со стороны выделений на основе (7)–(9) делает вообще невозможным аналитический расчет D cr . MathType@MTEF@5@5@+= feaahGart1ev3aaatCvAUfeBSjuyZL2yd9gzLbvyNv2Caerbov2D09 MBdbqedmvETj2BSbqeduuDJXwAKbYu51MyVXgarqqr1ngBPrgifHhD YfgasaacHOWxg9qrFfeu0dXdh9vqqj=hEeeu0xXdbba9frFj0=OqFf ea0dXdd9vspGe9FjuP0=fs0xXdbba9pGe9xq=Jbba9suk9fr=xfr=x frpeWZqaaeaabiGaaiaadaqabeaabeqacqaaaOqaaabaaaaaaaaape Gaamira8aadaWgaaWcbaWdbiaabogacaqGYbaapaqabaGcpeGaaeOl aaaa@3C1D@

В настоящей работе предлагается разом решить все указанные выше проблемы с помощью численного нахождения D cr MathType@MTEF@5@5@+= feaahGart1ev3aaatCvAUfeBSjuyZL2yd9gzLbvyNv2Caerbov2D09 MBdbqedmvETj2BSbqeduuDJXwAKbYu51MyVXgarqqr1ngBPrgifHhD YfgasaacHOWxg9qrFfeu0dXdh9vqqj=hEeeu0xXdbba9frFj0=OqFf ea0dXdd9vspGe9FjuP0=fs0xXdbba9pGe9xq=Jbba9suk9fr=xfr=x frpeWZqaaeaabiGaaiaadaqabeaabeqacqaaaOqaaabaaaaaaaaape Gaamira8aadaWgaaWcbaWdbiaabogacaqGYbaapaqabaaaaa@3B52@  (например, методом Ньютона) из условия сохранения объема:

  V t+Δt = i=1 m π D i ' 3 6 V 0 =0, MathType@MTEF@5@5@+= feaahGart1ev3aqatCvAUfeBSjuyZL2yd9gzLbvyNv2Caerbov2D09 MBdbqedmvETj2BSbqeduuDJXwAKbYu51MyVXgarqqr1ngBPrgifHhD YfgasaacHOWxg9qrFfeu0dXdh9vqqj=hEeeu0xXdbba9frFj0=OqFf ea0dXdd9vspGe9FjuP0=fs0xXdbba9pGe9xq=Jbba9suk9fr=xfr=x frpeWZqaaeaabiGaaiaadaqabeaabeqacqaaaOqaaabaaaaaaaaape GaamOvamaabmaapaqaa8qacaWG0bGaey4kaSIaeuiLdqKaamiDaaGa ayjkaiaawMcaaiabg2da9maawahabeWcpaqaa8qacaWGPbGaeyypa0 JaaGymaaWdaeaapeGaamyBaaqdpaqaa8qacqGHris5aaGcdaWcaaWd aeaapeGaeqiWdaNaamira8aadaqhaaWcbaWdbiaadMgaa8aabaWdbi aacEcaaaGcpaWaaWbaaSqabeaapeGaaG4maaaaaOWdaeaapeGaaGOn aaaacqGHsislcaWGwbWdamaaBaaaleaapeGaaGimaaWdaeqaaOWdbi abg2da9iaaicdacaGGSaaaaa@5285@                                     (28)

где V 0 MathType@MTEF@5@5@+= feaahGart1ev3aaatCvAUfeBSjuyZL2yd9gzLbvyNv2Caerbov2D09 MBdbqedmvETj2BSbqeduuDJXwAKbYu51MyVXgarqqr1ngBPrgifHhD YfgasaacHOWxg9qrFfeu0dXdh9vqqj=hEeeu0xXdbba9frFj0=OqFf ea0dXdd9vspGe9FjuP0=fs0xXdbba9pGe9xq=Jbba9suk9fr=xfr=x frpeWZqaaeaabiGaaiaadaqabeaabeqacqaaaOqaaabaaaaaaaaape GaamOva8aadaWgaaWcbaWdbiaaicdaa8aabeaaaaa@3A43@  – исходный суммарный объем всех зерен; D i MathType@MTEF@5@5@+= feaahGart1ev3aqatCvAUfeBSjuyZL2yd9gzLbvyNv2Caerbov2D09 MBdbqedmvETj2BSbqeduuDJXwAKbYu51MyVXgarqqr1ngBPrgifHhD YfgasaacHOWxg9qrFfeu0dXdh9vqqj=hEeeu0xXdbba9frFj0=OqFf ea0dXdd9vspGe9FjuP0=fs0xXdbba9pGe9xq=Jbba9suk9fr=xfr=x frpeWZqaaeaabiGaaiaadaqabeaabeqacqaaaOqaaabaaaaaaaaape Gaamira8aadaWgaaWcbaWdbiaadMgaa8aabeaaaaa@3A66@  в данном разделе подразумевает размер конкретного зерна, а не средний размер соответствующего интервала гистограммы.

Чтобы заложить основу для дальнейшего развития данной модели (например, для описания процессов, протекающих при деформации), зеренная структура задавалась в виде массива отдельных зерен, а не гистограммой. В качестве параметра алгоритма может выступать начальное количество зерен или моделируемый объем. В модели поведения массива отдельных зерен в качестве начального состояния необходимо сгенерировать массив размеров зерен, с некоторым распределением по размерам так, чтобы их суммарный объем равнялся заданному. Сам же моделируемый объем необходимо выбирать, исходя из предполагаемого изменения размеров зерен в процессе моделирования.

Нетрудно заметить, что использование (8) для расчета движущей силы приводит к очень большой (в пределе – бесконечной) скорости уменьшения размера для очень маленьких зерен. Это может приводить к проблемам при автоматическом контроле временного шага, поскольку очевидно, быстрее всего изменяется размер либо самых больших, либо самых маленьких зерен. Временной шаг желательно выбирать таким, чтобы изменения размеров зерен за этот шаг не были слишком резкими. Поэтому выражение для скорости роста зерна лучше использовать в виде, аналогичном (2):

  D ˙ i 2 =2M ασ D i D cr 1 ± P Z D i , MathType@MTEF@5@5@+= feaahGart1ev3aqatCvAUfeBSjuyZL2yd9gzLbvyNv2Caerbov2D09 MBdbqedmvETj2BSbqeduuDJXwAKbYu51MyVXgarqqr1ngBPrgifHhD YfgasaacHOWxg9qrFfeu0dXdh9vqqj=hEeeu0xXdbba9frFj0=OqFf ea0dXdd9vspGe9FjuP0=fs0xXdbba9pGe9xq=Jbba9suk9fr=xfr=x frpeWZqaaeaabiGaaiaadaqabeaabeqacqaaaOqaaabaaaaaaaaape Gabmira8aagaGaamaaDaaaleaapeGaamyAaaWdaeaapeGaaGOmaaaa kiabg2da9iaaikdacaWGnbWaaeWaa8aabaWdbiabeg7aHjabeo8aZn aabmaapaqaa8qadaWcaaWdaeaapeGaamira8aadaWgaaWcbaWdbiaa dMgaa8aabeaaaOqaa8qacaWGebWdamaaBaaaleaapeGaae4yaiaabk haa8aabeaaaaGcpeGaeyOeI0IaaGymaaGaayjkaiaawMcaaiabggla XkaadcfapaWaaSbaaSqaa8qacaWGAbaapaqabaGcpeGaamira8aada WgaaWcbaWdbiaadMgaa8aabeaaaOWdbiaawIcacaGLPaaacaGGSaaa aa@5297@                                  (29)

где знак перед последним слагаемым определятся аналогично (7).

Таким образом, можно предложить следующий алгоритм расчета (для одного временного шага):

    1. На основе модели [31, 32] рассчитываются характеристики ансамбля выделений вторых фаз.

    2. Методом Ньютона уравнение (28) решается относительно D cr . MathType@MTEF@5@5@+= feaahGart1ev3aaatCvAUfeBSjuyZL2yd9gzLbvyNv2Caerbov2D09 MBdbqedmvETj2BSbqeduuDJXwAKbYu51MyVXgarqqr1ngBPrgifHhD YfgasaacHOWxg9qrFfeu0dXdh9vqqj=hEeeu0xXdbba9frFj0=OqFf ea0dXdd9vspGe9FjuP0=fs0xXdbba9pGe9xq=Jbba9suk9fr=xfr=x frpeWZqaaeaabiGaaiaadaqabeaabeqacqaaaOqaaabaaaaaaaaape Gaamira8aadaWgaaWcbaWdbiaabogacaqGYbaapaqabaGcpeGaaiOl aaaa@3C1E@  При этом D i ' MathType@MTEF@5@5@+= feaahGart1ev3aqatCvAUfeBSjuyZL2yd9gzLbvyNv2Caerbov2D09 MBdbqedmvETj2BSbqeduuDJXwAKbYu51MyVXgarqqr1ngBPrgifHhD YfgasaacHOWxg9qrFfeu0dXdh9vqqj=hEeeu0xXdbba9frFj0=OqFf ea0dXdd9vspGe9FjuP0=fs0xXdbba9pGe9xq=Jbba9suk9fr=xfr=x frpeWZqaaeaabiGaaiaadaqabeaabeqacqaaaOqaaabaaaaaaaaape Gaamira8aadaqhaaWcbaWdbiaadMgaa8aabaWdbiaacEcaaaaaaa@3B22@  вычисляются с помощью (29) и

  D i ' = D i 2 + D ˙ i 2 Δt . MathType@MTEF@5@5@+= feaahGart1ev3aqatCvAUfeBSjuyZL2yd9gzLbvyNv2Caerbov2D09 MBdbqedmvETj2BSbqeduuDJXwAKbYu51MyVXgarqqr1ngBPrgifHhD YfgasaacHOWxg9qrFfeu0dXdh9vqqj=hEeeu0xXdbba9frFj0=OqFf ea0dXdd9vspGe9FjuP0=fs0xXdbba9pGe9xq=Jbba9suk9fr=xfr=x frpeWZqaaeaabiGaaiaadaqabeaabeqacqaaaOqaaabaaaaaaaaape Gaamira8aadaqhaaWcbaWdbiaadMgaa8aabaWdbiaacEcaaaGccqGH 9aqpdaGcaaWdaeaapeGaamira8aadaqhaaWcbaWdbiaadMgaa8aaba WdbiaaikdaaaGccqGHRaWkceWGebWdayaacaWaa0baaSqaa8qacaWG Pbaapaqaa8qacaaIYaaaaOWdaiabfs5ae9qacaWG0baaleqaaOGaai Olaaaa@4661@            (30)

    3. Для найденного D cr MathType@MTEF@5@5@+= feaahGart1ev3aaatCvAUfeBSjuyZL2yd9gzLbvyNv2Caerbov2D09 MBdbqedmvETj2BSbqeduuDJXwAKbYu51MyVXgarqqr1ngBPrgifHhD YfgasaacHOWxg9qrFfeu0dXdh9vqqj=hEeeu0xXdbba9frFj0=OqFf ea0dXdd9vspGe9FjuP0=fs0xXdbba9pGe9xq=Jbba9suk9fr=xfr=x frpeWZqaaeaabiGaaiaadaqabeaabeqacqaaaOqaaabaaaaaaaaape Gaamira8aadaWgaaWcbaWdbiaabogacaqGYbaapaqabaaaaa@3B52@  рассчитываются итоговые скорости изменения квадратов размеров зерен (29) и размеры зерен (30).

   

    4. Зерна с отрицательным значением под корнем (30) удаляются, причем это должно быть учтено уже на этапе расчета D cr MathType@MTEF@5@5@+= feaahGart1ev3aaatCvAUfeBSjuyZL2yd9gzLbvyNv2Caerbov2D09 MBdbqedmvETj2BSbqeduuDJXwAKbYu51MyVXgarqqr1ngBPrgifHhD YfgasaacHOWxg9qrFfeu0dXdh9vqqj=hEeeu0xXdbba9frFj0=OqFf ea0dXdd9vspGe9FjuP0=fs0xXdbba9pGe9xq=Jbba9suk9fr=xfr=x frpeWZqaaeaabiGaaiaadaqabeaabeqacqaaaOqaaabaaaaaaaaape Gaamira8aadaWgaaWcbaWdbiaabogacaqGYbaapaqabaaaaa@3B52@  в п. 2.

В данном варианте алгоритма все подвижности границ зерен были приняты одинаковыми, в отличие от варианта, рассмотренного выше.

Казалось бы, объем вычислений можно несколько сократить, если условие сохранения объема использовать в виде (4). Однако в этом случае из-за накапливающейся погрешностей машинных вычислений суммарный объем с каждым шагом будет постепенно изменяться.

В качестве начального приближения для нахождения D cr MathType@MTEF@5@5@+= feaahGart1ev3aaatCvAUfeBSjuyZL2yd9gzLbvyNv2Caerbov2D09 MBdbqedmvETj2BSbqeduuDJXwAKbYu51MyVXgarqqr1ngBPrgifHhD YfgasaacHOWxg9qrFfeu0dXdh9vqqj=hEeeu0xXdbba9frFj0=OqFf ea0dXdd9vspGe9FjuP0=fs0xXdbba9pGe9xq=Jbba9suk9fr=xfr=x frpeWZqaaeaabiGaaiaadaqabeaabeqacqaaaOqaaabaaaaaaaaape Gaamira8aadaWgaaWcbaWdbiaabogacaqGYbaapaqabaaaaa@3B52@  на первом шаге может служить D MathType@MTEF@5@5@+= feaahGart1ev3aqatCvAUfeBSjuyZL2yd9gzLbvyNv2Caerbov2D09 MBdbqedmvETj2BSbqeduuDJXwAKbYu51MyVXgarqqr1ngBPrgifHhD YfgasaacHOWxg9qrFfeu0dXdh9vqqj=hEeeu0xXdbba9frFj0=OqFf ea0dXdd9vspGe9FjuP0=fs0xXdbba9pGe9xq=Jbba9suk9fr=xfr=x frpeWZqaaeaabiGaaiaadaqabeaabeqacqaaaOqaaabaaaaaaaaape WaaaWaa8aabaWdbiaadseaaiaawMYicaGLQmcaaaa@3B0D@ , а далее – значение, полученное на предыдущем шаге. В этом случае новый D cr MathType@MTEF@5@5@+= feaahGart1ev3aaatCvAUfeBSjuyZL2yd9gzLbvyNv2Caerbov2D09 MBdbqedmvETj2BSbqeduuDJXwAKbYu51MyVXgarqqr1ngBPrgifHhD YfgasaacHOWxg9qrFfeu0dXdh9vqqj=hEeeu0xXdbba9frFj0=OqFf ea0dXdd9vspGe9FjuP0=fs0xXdbba9pGe9xq=Jbba9suk9fr=xfr=x frpeWZqaaeaabiGaaiaadaqabeaabeqacqaaaOqaaabaaaaaaaaape Gaamira8aadaWgaaWcbaWdbiaabogacaqGYbaapaqabaaaaa@3B52@  находится буквально за пару итераций метода Ньютона, что обеспечивает приемлемые вычислительные затраты.

Параметры модели

Термодинамические параметры и коэффициенты диффузии, необходимые для моделирования поведения карбонитридных выделений, можно найти в [31, 32, 35]. Остальные параметры приведены в табл. 1.

 

Таблица 1. Значения параметров, использованные при моделировании

Переменная

Значение

Источник

α

1

[3]

β

3 (для первого алгоритма)

[36]

β

9/8 (для второго алгоритма)

[34]

ηPinned

0.005

Эта работа

σ

1.3111 – 0.0005T Дж/м2

[33]

M

120exp350000RT

[20], [37]

MFree

M

 

w

1 (для первого алгоритма)

[36]

w

0.93 (для второго алгоритма)

[34]

 

Параметры β и w для двух моделей, представленных выше, использованы разные. Их можно было бы взять одинаковыми для обоих случаев. Но часть данных из эксперимента, с которыми выполнялось сравнение в рамках тестирования моделей (см. следующий раздел и [28]), в [18, 19] были не измерены экспериментально, а оценены на основе (10) с параметрами β MathType@MTEF@5@5@+= feaahGart1ev3aaatCvAUfeBSjuyZL2yd9gzLbvyNv2Caerbov2D09 MBdbqedmvETj2BSbqeduuDJXwAKbYu51MyVXgarqqr1ngBPrgifHhD YfgasaacHOWxg9qrFfeu0dXdh9vqqj=hEeeu0xXdbba9frFj0=OqFf ea0dXdd9vspGe9FjuP0=fs0xXdbba9pGe9xq=Jbba9suk9fr=xfr=x frpeWZqaaeaabiGaaiaadaqabeaabeqacqaaaOqaaabaaaaaaaaape GaeqOSdigaaa@39F5@  = 3 и w MathType@MTEF@5@5@+= feaahGart1ev3aaatCvAUfeBSjuyZL2yd9gzLbvyNv2Caerbov2D09 MBdbqedmvETj2BSbqeduuDJXwAKbYu51MyVXgarqqr1ngBPrgifHhD YfgasaacHOWxg9qrFfeu0dXdh9vqqj=hEeeu0xXdbba9frFj0=OqFf ea0dXdd9vspGe9FjuP0=fs0xXdbba9pGe9xq=Jbba9suk9fr=xfr=x frpeWZqaaeaabiGaaiaadaqabeaabeqacqaaaOqaaabaaaaaaaaape Gaam4Daaaa@3950@  = 1 (точнее, в этих работах приводится значение β MathType@MTEF@5@5@+= feaahGart1ev3aaatCvAUfeBSjuyZL2yd9gzLbvyNv2Caerbov2D09 MBdbqedmvETj2BSbqeduuDJXwAKbYu51MyVXgarqqr1ngBPrgifHhD YfgasaacHOWxg9qrFfeu0dXdh9vqqj=hEeeu0xXdbba9frFj0=OqFf ea0dXdd9vspGe9FjuP0=fs0xXdbba9pGe9xq=Jbba9suk9fr=xfr=x frpeWZqaaeaabiGaaiaadaqabeaabeqacqaaaOqaaabaaaaaaaaape GaeqOSdigaaa@39F5@  = 12, но для α MathType@MTEF@5@5@+= feaahGart1ev3aaatCvAUfeBSjuyZL2yd9gzLbvyNv2Caerbov2D09 MBdbqedmvETj2BSbqeduuDJXwAKbYu51MyVXgarqqr1ngBPrgifHhD YfgasaacHOWxg9qrFfeu0dXdh9vqqj=hEeeu0xXdbba9frFj0=OqFf ea0dXdd9vspGe9FjuP0=fs0xXdbba9pGe9xq=Jbba9suk9fr=xfr=x frpeWZqaaeaabiGaaiaadaqabeaabeqacqaaaOqaaabaaaaaaaaape GaeqySdegaaa@39F3@  = 4, а касательно торможения частицами вторых фаз важно именно соотношение β/σ MathType@MTEF@5@5@+= feaahGart1ev3aaatCvAUfeBSjuyZL2yd9gzLbvyNv2Caerbov2D09 MBdbqedmvETj2BSbqeduuDJXwAKbYu51MyVXgarqqr1ngBPrgifHhD YfgasaacHOWxg9qrFfeu0dXdh9vqqj=hEeeu0xXdbba9frFj0=OqFf ea0dXdd9vspGe9FjuP0=fs0xXdbba9pGe9xq=Jbba9suk9fr=xfr=x frpeWZqaaeaabiGaaiaadaqabeaabeqacqaaaOqaaabaaaaaaaaape GaeqOSdiMaai4laiabeo8aZbaa@3C6B@  ). Первый из предложенных выше методов как раз ближе к этому подходу, поэтому при сравнении с данными из работ [18, 19] и были использованы те же самые параметры, что и там. Второй алгоритм основан на идеях Хиллерта [3], поэтому закономерно использовать предложенные им же в [34] значения β MathType@MTEF@5@5@+= feaahGart1ev3aaatCvAUfeBSjuyZL2yd9gzLbvyNv2Caerbov2D09 MBdbqedmvETj2BSbqeduuDJXwAKbYu51MyVXgarqqr1ngBPrgifHhD YfgasaacHOWxg9qrFfeu0dXdh9vqqj=hEeeu0xXdbba9frFj0=OqFf ea0dXdd9vspGe9FjuP0=fs0xXdbba9pGe9xq=Jbba9suk9fr=xfr=x frpeWZqaaeaabiGaaiaadaqabeaabeqacqaaaOqaaabaaaaaaaaape GaeqOSdigaaa@39F5@  и w MathType@MTEF@5@5@+= feaahGart1ev3aaatCvAUfeBSjuyZL2yd9gzLbvyNv2Caerbov2D09 MBdbqedmvETj2BSbqeduuDJXwAKbYu51MyVXgarqqr1ngBPrgifHhD YfgasaacHOWxg9qrFfeu0dXdh9vqqj=hEeeu0xXdbba9frFj0=OqFf ea0dXdd9vspGe9FjuP0=fs0xXdbba9pGe9xq=Jbba9suk9fr=xfr=x frpeWZqaaeaabiGaaiaadaqabeaabeqacqaaaOqaaabaaaaaaaaape Gaam4Daaaa@3950@  для расчета P z . MathType@MTEF@5@5@+= feaahGart1ev3aaatCvAUfeBSjuyZL2yd9gzLbvyNv2Caerbov2D09 MBdbqedmvETj2BSbqeduuDJXwAKbYu51MyVXgarqqr1ngBPrgifHhD YfgasaacHOWxg9qrFfeu0dXdh9vqqj=hEeeu0xXdbba9frFj0=OqFf ea0dXdd9vspGe9FjuP0=fs0xXdbba9pGe9xq=Jbba9suk9fr=xfr=x frpeWZqaaeaabiGaaiaadaqabeaabeqacqaaaOqaaabaaaaaaaaape Gaamiua8aadaWgaaWcbaWdbiaadQhaa8aabeaak8qacaGGUaaaaa@3B4E@

В [33] предложено значение η Pinned =0.03 MathType@MTEF@5@5@+= feaahGart1ev3aqatCvAUfeBSjuyZL2yd9gzLbvyNv2Caerbov2D09 MBdbqedmvETj2BSbqeduuDJXwAKbYu51MyVXgarqqr1ngBPrgifHhD YfgasaacHOWxg9qrFfeu0dXdh9vqqj=hEeeu0xXdbba9frFj0=OqFf ea0dXdd9vspGe9FjuP0=fs0xXdbba9pGe9xq=Jbba9suk9fr=xfr=x frpeWZqaaeaabiGaaiaadaqabeaabeqacqaaaOqaaabaaaaaaaaape Gaeq4TdG2damaaBaaaleaapeGaaeiuaiaabMgacaqGUbGaaeOBaiaa bwgacaqGKbaapaqabaGcpeGaeyypa0JaaGimaiaac6cacaaIWaGaaG 4maaaa@43CE@ , но ряд расчетов (выполненных не только в рамках данной работы, но и для других условий) показывает завышенный рост заторможенных зерен. Поэтому было использовано значение 0.005, которое показало лучшее согласие при сравнении с [18, 19].

Тестирование модели

Хотя представленные выше методы моделирования роста зёрен не привязаны к конкретной системе, наши прошлые работы [25–32, 35] ориентированы на стали, легированные V, Nb MathType@MTEF@5@5@+= feaahGart1ev3aaatCvAUfeBSjuyZL2yd9gzLbvyNv2Caerbov2D09 MBdbqedmvETj2BSbqeduuDJXwAKbYu51MyVXgarqqr1ngBPrgifHhD YfgasaacHOWxg9qrFfeu0dXdh9vqqj=hEeeu0xXdbba9frFj0=OqFf ea0dXdd9vspGe9FjuP0=fs0xXdbba9pGe9xq=Jbba9suk9fr=xfr=x frpeWZqaaeaabiGaaiaadaqabeaabeqacqaaaOqaaabaaaaaaaaape GaaeOvaiaabYcacaqGGaGaaeOtaiaabkgaaaa@3C35@  и Ti. MathType@MTEF@5@5@+= feaahGart1ev3aaatCvAUfeBSjuyZL2yd9gzLbvyNv2Caerbov2D09 MBdbqedmvETj2BSbqeduuDJXwAKbYu51MyVXgarqqr1ngBPrgifHhD YfgasaacHOWxg9qrFfeu0dXdh9vqqj=hEeeu0xXdbba9frFj0=OqFf ea0dXdd9vspGe9FjuP0=fs0xXdbba9pGe9xq=Jbba9suk9fr=xfr=x frpeWZqaaeaabiGaaiaadaqabeaabeqacqaaaOqaaabaaaaaaaaape GaaeivaiaabMgacaqGUaaaaa@3AC8@  Настоящая работа во многом является логическим продолжением этих исследований, поэтому программная реализация описанных выше алгоритмов тоже была выполнена применительно к таким сталям.

В литературе можно найти несколько работ, где приводятся экспериментальные данные по росту зерен в сталях при термической обработке в условиях наличия сдерживающего фактора со стороны карбонитридных выделений. К сожалению, в большинстве таких работ измерения размеров аустенитного зерна были выполнены для квазистационарного состояния – то есть, для той стадии процесса, когда зерна уже выросли до максимального размера, ограниченного выделениями. Сравнивать с данными результатами большого смысла нет, так как для этого случая достаточно расчета на основе простой формулы (10). Однако есть два исследования [18, 19], где размер зерна измерялся в процессе роста. Причем в [18], помимо металлографических измерений, оценка размера зерна проводилась с помощью ультразвука в реальном времени.

Исходный размер зерна и в том и в другом эксперименте составлял примерно 3 мкм. Поскольку в ряде статей (в том числе [3]) отмечается, что распределение зерен по размерам обычно соответствует логнормальному, для моделирования был задан начальный набор размеров зерен с распределением этого вида с параметрами μ MathType@MTEF@5@5@+= feaahGart1ev3aaatCvAUfeBSjuyZL2yd9gzLbvyNv2Caerbov2D09 MBdbqedmvETj2BSbqeduuDJXwAKbYu51MyVXgarqqr1ngBPrgifHhD YfgasaacHOWxg9qrFfeu0dXdh9vqqj=hEeeu0xXdbba9frFj0=OqFf ea0dXdd9vspGe9FjuP0=fs0xXdbba9pGe9xq=Jbba9suk9fr=xfr=x frpeWZqaaeaabiGaaiaadaqabeaabeqacqaaaOqaaiabeY7aTbaa@39EA@  = 1.176 и σ MathType@MTEF@5@5@+= feaahGart1ev3aaatCvAUfeBSjuyZL2yd9gzLbvyNv2Caerbov2D09 MBdbqedmvETj2BSbqeduuDJXwAKbYu51MyVXgarqqr1ngBPrgifHhD YfgasaacHOWxg9qrFfeu0dXdh9vqqj=hEeeu0xXdbba9frFj0=OqFf ea0dXdd9vspGe9FjuP0=fs0xXdbba9pGe9xq=Jbba9suk9fr=xfr=x frpeWZqaaeaabiGaaiaadaqabeaabeqacqaaaOqaaiabeo8aZbaa@39F7@  = 0.392 [мкм] (здесь μ MathType@MTEF@5@5@+= feaahGart1ev3aaatCvAUfeBSjuyZL2yd9gzLbvyNv2Caerbov2D09 MBdbqedmvETj2BSbqeduuDJXwAKbYu51MyVXgarqqr1ngBPrgifHhD YfgasaacHOWxg9qrFfeu0dXdh9vqqj=hEeeu0xXdbba9frFj0=OqFf ea0dXdd9vspGe9FjuP0=fs0xXdbba9pGe9xq=Jbba9suk9fr=xfr=x frpeWZqaaeaabiGaaiaadaqabeaabeqacqaaaOqaaiabeY7aTbaa@39EA@  и σ MathType@MTEF@5@5@+= feaahGart1ev3aaatCvAUfeBSjuyZL2yd9gzLbvyNv2Caerbov2D09 MBdbqedmvETj2BSbqeduuDJXwAKbYu51MyVXgarqqr1ngBPrgifHhD YfgasaacHOWxg9qrFfeu0dXdh9vqqj=hEeeu0xXdbba9frFj0=OqFf ea0dXdd9vspGe9FjuP0=fs0xXdbba9pGe9xq=Jbba9suk9fr=xfr=x frpeWZqaaeaabiGaaiaadaqabeaabeqacqaaaOqaaiabeo8aZbaa@39F7@  имеют смысл, обычный для формулы, описывающей плотность вероятности логнормального распределения), что и соответствует среднему размеру зерна 3 мкм. Согласно приведенным в [18, 19] результатам, размер зерна в конце обработки приближается к 100 мкм. Исходя из этого, моделируемый объем для второго алгоритма был задан равным 1 мм3, при этом начальное число зерен составило около 28 млн.

В [18] исследовался рост аустенитного зерна при отжиге стали Х80, химический состав которой приведен в табл. 2. Эксперименты были выполнены для температурного диапазона 950¸1250°С. В исходном состоянии в исследуемой стали присутствовали две карбонитридные фазы: фаза, близкая по составу к нитриду титана, и фаза, близкая по составу к карбиду ниобия. В качестве начального состояния была задана объемная доля TiN( f TiN ) MathType@MTEF@5@5@+= feaahGart1ev3aaatCvAUfeBSjuyZL2yd9gzLbvyNv2Caerbov2D09 MBdbqedmvETj2BSbqeduuDJXwAKbYu51MyVXgarqqr1ngBPrgifHhD YfgasaacHOWxg9qrFfeu0dXdh9vqqj=hEeeu0xXdbba9frFj0=OqFf ea0dXdd9vspGe9FjuP0=fs0xXdbba9pGe9xq=Jbba9suk9fr=xfr=x frpeWZqaaeaabiGaaiaadaqabeaabeqacqaaaOqaaabaaaaaaaaape GaaeivaiaabMgacaqGobWdaiaacIcapeGaamOza8aadaWgaaWcbaWd biaabsfacaqGPbGaaeOtaaWdaeqaaOGaaiykaaaa@4043@  0.00022, распределение – нормальное с параметрами μ MathType@MTEF@5@5@+= feaahGart1ev3aaatCvAUfeBSjuyZL2yd9gzLbvyNv2Caerbov2D09 MBdbqedmvETj2BSbqeduuDJXwAKbYu51MyVXgarqqr1ngBPrgifHhD YfgasaacHOWxg9qrFfeu0dXdh9vqqj=hEeeu0xXdbba9frFj0=OqFf ea0dXdd9vspGe9FjuP0=fs0xXdbba9pGe9xq=Jbba9suk9fr=xfr=x frpeWZqaaeaabiGaaiaadaqabeaabeqacqaaaOqaaiabeY7aTbaa@39EA@  = 29.5 и σ MathType@MTEF@5@5@+= feaahGart1ev3aaatCvAUfeBSjuyZL2yd9gzLbvyNv2Caerbov2D09 MBdbqedmvETj2BSbqeduuDJXwAKbYu51MyVXgarqqr1ngBPrgifHhD YfgasaacHOWxg9qrFfeu0dXdh9vqqj=hEeeu0xXdbba9frFj0=OqFf ea0dXdd9vspGe9FjuP0=fs0xXdbba9pGe9xq=Jbba9suk9fr=xfr=x frpeWZqaaeaabiGaaiaadaqabeaabeqacqaaaOqaaiabeo8aZbaa@39F7@  = 5 [нм]. Для второй фазы f NbC MathType@MTEF@5@5@+= feaahGart1ev3aaatCvAUfeBSjuyZL2yd9gzLbvyNv2Caerbov2D09 MBdbqedmvETj2BSbqeduuDJXwAKbYu51MyVXgarqqr1ngBPrgifHhD YfgasaacHOWxg9qrFfeu0dXdh9vqqj=hEeeu0xXdbba9frFj0=OqFf ea0dXdd9vspGe9FjuP0=fs0xXdbba9pGe9xq=Jbba9suk9fr=xfr=x frpeWZqaaeaabiGaaiaadaqabeaabeqacqaaaOqaaabaaaaaaaaape GaamOza8aadaWgaaWcbaWdbiaab6eacaqGIbGaae4qaaWdaeqaaaaa @3C15@  = 0.00038, распределение по размерам – бимодальное, состоящее из суммы двух нормальных: с μ 1 MathType@MTEF@5@5@+= feaahGart1ev3aaatCvAUfeBSjuyZL2yd9gzLbvyNv2Caerbov2D09 MBdbqedmvETj2BSbqeduuDJXwAKbYu51MyVXgarqqr1ngBPrgifHhD YfgasaacHOWxg9qrFfeu0dXdh9vqqj=hEeeu0xXdbba9frFj0=OqFf ea0dXdd9vspGe9FjuP0=fs0xXdbba9pGe9xq=Jbba9suk9fr=xfr=x frpeWZqaaeaabiGaaiaadaqabeaabeqacqaaaOqaaabaaaaaaaaape GaeqiVd02damaaBaaaleaapeGaaGymaaWdaeqaaaaa@3B1F@  = 3.5 и σ 1 MathType@MTEF@5@5@+= feaahGart1ev3aaatCvAUfeBSjuyZL2yd9gzLbvyNv2Caerbov2D09 MBdbqedmvETj2BSbqeduuDJXwAKbYu51MyVXgarqqr1ngBPrgifHhD YfgasaacHOWxg9qrFfeu0dXdh9vqqj=hEeeu0xXdbba9frFj0=OqFf ea0dXdd9vspGe9FjuP0=fs0xXdbba9pGe9xq=Jbba9suk9fr=xfr=x frpeWZqaaeaabiGaaiaadaqabeaabeqacqaaaOqaaabaaaaaaaaape Gaeq4Wdm3damaaBaaaleaapeGaaGymaaWdaeqaaaaa@3B2C@  = 2 [нм] и μ 2 MathType@MTEF@5@5@+= feaahGart1ev3aaatCvAUfeBSjuyZL2yd9gzLbvyNv2Caerbov2D09 MBdbqedmvETj2BSbqeduuDJXwAKbYu51MyVXgarqqr1ngBPrgifHhD YfgasaacHOWxg9qrFfeu0dXdh9vqqj=hEeeu0xXdbba9frFj0=OqFf ea0dXdd9vspGe9FjuP0=fs0xXdbba9pGe9xq=Jbba9suk9fr=xfr=x frpeWZqaaeaabiGaaiaadaqabeaabeqacqaaaOqaaabaaaaaaaaape GaeqiVd02damaaBaaaleaapeGaaGOmaaWdaeqaaaaa@3B20@  = 24 и σ 2 MathType@MTEF@5@5@+= feaahGart1ev3aaatCvAUfeBSjuyZL2yd9gzLbvyNv2Caerbov2D09 MBdbqedmvETj2BSbqeduuDJXwAKbYu51MyVXgarqqr1ngBPrgifHhD YfgasaacHOWxg9qrFfeu0dXdh9vqqj=hEeeu0xXdbba9frFj0=OqFf ea0dXdd9vspGe9FjuP0=fs0xXdbba9pGe9xq=Jbba9suk9fr=xfr=x frpeWZqaaeaabiGaaiaadaqabeaabeqacqaaaOqaaabaaaaaaaaape Gaeq4Wdm3damaaBaaaleaapeGaaGOmaaWdaeqaaaaa@3B2D@  = 8 [нм]. Соотношение мод в объемном выражении составляло 1:2.8. Все эти данные частично получены на основе прямых измерений в [18], частично – на основе некоторой оценки. Мотивация выбора такого исходного состояния изложена в [28].

 

Таблица 2. Химический состав стали Х80, исследованной в работе [18] (мас. %)

C

Mn

Nb

Ti

N

Mo

Fe

0.06

1.65

0.034

0.012

0.005

0.24

Осн.

 

В [19] исследование роста зерен проводилось для стали Х70, химический состав которой представлен в табл. 3. Исследования были проведены для температур 950¸1350°С. В исходном состоянии этой стали тоже присутствовали две карбонитридные фазы: фаза, близкая по составу к TiN, и фаза, близкая по составу к NbC. В [19] приводится значение f TiN MathType@MTEF@5@5@+= feaahGart1ev3aaatCvAUfeBSjuyZL2yd9gzLbvyNv2Caerbov2D09 MBdbqedmvETj2BSbqeduuDJXwAKbYu51MyVXgarqqr1ngBPrgifHhD YfgasaacHOWxg9qrFfeu0dXdh9vqqj=hEeeu0xXdbba9frFj0=OqFf ea0dXdd9vspGe9FjuP0=fs0xXdbba9pGe9xq=Jbba9suk9fr=xfr=x frpeWZqaaeaabiGaaiaadaqabeaabeqacqaaaOqaaabaaaaaaaaape GaamOza8aadaWgaaWcbaWdbiaabsfacaqGPbGaaeOtaaWdaeqaaaaa @3C2D@  = 0.00037, но это явно какая-то ошибка, поскольку оно значительно превышает максимально возможную долю – 0.000255 – для данного состава сплава. Поэтому f TiN MathType@MTEF@5@5@+= feaahGart1ev3aaatCvAUfeBSjuyZL2yd9gzLbvyNv2Caerbov2D09 MBdbqedmvETj2BSbqeduuDJXwAKbYu51MyVXgarqqr1ngBPrgifHhD YfgasaacHOWxg9qrFfeu0dXdh9vqqj=hEeeu0xXdbba9frFj0=OqFf ea0dXdd9vspGe9FjuP0=fs0xXdbba9pGe9xq=Jbba9suk9fr=xfr=x frpeWZqaaeaabiGaaiaadaqabeaabeqacqaaaOqaaabaaaaaaaaape GaamOza8aadaWgaaWcbaWdbiaabsfacaqGPbGaaeOtaaWdaeqaaaaa @3C2D@  была задана равной 0.000255. Параметры распределения по размерам для этой фазы были оценены аналогично тому, как это делалось для [18]. Были заданы значения μ MathType@MTEF@5@5@+= feaahGart1ev3aaatCvAUfeBSjuyZL2yd9gzLbvyNv2Caerbov2D09 MBdbqedmvETj2BSbqeduuDJXwAKbYu51MyVXgarqqr1ngBPrgifHhD YfgasaacHOWxg9qrFfeu0dXdh9vqqj=hEeeu0xXdbba9frFj0=OqFf ea0dXdd9vspGe9FjuP0=fs0xXdbba9pGe9xq=Jbba9suk9fr=xfr=x frpeWZqaaeaabiGaaiaadaqabeaabeqacqaaaOqaaiabeY7aTbaa@39EA@  = 29 и σ MathType@MTEF@5@5@+= feaahGart1ev3aaatCvAUfeBSjuyZL2yd9gzLbvyNv2Caerbov2D09 MBdbqedmvETj2BSbqeduuDJXwAKbYu51MyVXgarqqr1ngBPrgifHhD YfgasaacHOWxg9qrFfeu0dXdh9vqqj=hEeeu0xXdbba9frFj0=OqFf ea0dXdd9vspGe9FjuP0=fs0xXdbba9pGe9xq=Jbba9suk9fr=xfr=x frpeWZqaaeaabiGaaiaadaqabeaabeqacqaaaOqaaiabeo8aZbaa@39F7@  = 5 [нм]. Для второй фазы: f NbC MathType@MTEF@5@5@+= feaahGart1ev3aaatCvAUfeBSjuyZL2yd9gzLbvyNv2Caerbov2D09 MBdbqedmvETj2BSbqeduuDJXwAKbYu51MyVXgarqqr1ngBPrgifHhD YfgasaacHOWxg9qrFfeu0dXdh9vqqj=hEeeu0xXdbba9frFj0=OqFf ea0dXdd9vspGe9FjuP0=fs0xXdbba9pGe9xq=Jbba9suk9fr=xfr=x frpeWZqaaeaabiGaaiaadaqabeaabeqacqaaaOqaaabaaaaaaaaape GaamOza8aadaWgaaWcbaWdbiaab6eacaqGIbGaae4qaaWdaeqaaaaa @3C15@  = 0.00042, распределение по размерам – бимодальное, состоящее из суммы двух нормальных: с μ 1 MathType@MTEF@5@5@+= feaahGart1ev3aaatCvAUfeBSjuyZL2yd9gzLbvyNv2Caerbov2D09 MBdbqedmvETj2BSbqeduuDJXwAKbYu51MyVXgarqqr1ngBPrgifHhD YfgasaacHOWxg9qrFfeu0dXdh9vqqj=hEeeu0xXdbba9frFj0=OqFf ea0dXdd9vspGe9FjuP0=fs0xXdbba9pGe9xq=Jbba9suk9fr=xfr=x frpeWZqaaeaabiGaaiaadaqabeaabeqacqaaaOqaaiabeY7aTnaaBa aaleaaqaaaaaaaaaWdbiaaigdaa8aabeaaaaa@3B00@  = 3.5 и σ 1 MathType@MTEF@5@5@+= feaahGart1ev3aaatCvAUfeBSjuyZL2yd9gzLbvyNv2Caerbov2D09 MBdbqedmvETj2BSbqeduuDJXwAKbYu51MyVXgarqqr1ngBPrgifHhD YfgasaacHOWxg9qrFfeu0dXdh9vqqj=hEeeu0xXdbba9frFj0=OqFf ea0dXdd9vspGe9FjuP0=fs0xXdbba9pGe9xq=Jbba9suk9fr=xfr=x frpeWZqaaeaabiGaaiaadaqabeaabeqacqaaaOqaaiabeo8aZnaaBa aaleaaqaaaaaaaaaWdbiaaigdaa8aabeaaaaa@3B0D@  = 1.17 [нм] и μ 2 MathType@MTEF@5@5@+= feaahGart1ev3aaatCvAUfeBSjuyZL2yd9gzLbvyNv2Caerbov2D09 MBdbqedmvETj2BSbqeduuDJXwAKbYu51MyVXgarqqr1ngBPrgifHhD YfgasaacHOWxg9qrFfeu0dXdh9vqqj=hEeeu0xXdbba9frFj0=OqFf ea0dXdd9vspGe9FjuP0=fs0xXdbba9pGe9xq=Jbba9suk9fr=xfr=x frpeWZqaaeaabiGaaiaadaqabeaabeqacqaaaOqaaiabeY7aTnaaBa aaleaaqaaaaaaaaaWdbiaaikdaa8aabeaaaaa@3B01@  = 31 и σ 2 MathType@MTEF@5@5@+= feaahGart1ev3aaatCvAUfeBSjuyZL2yd9gzLbvyNv2Caerbov2D09 MBdbqedmvETj2BSbqeduuDJXwAKbYu51MyVXgarqqr1ngBPrgifHhD YfgasaacHOWxg9qrFfeu0dXdh9vqqj=hEeeu0xXdbba9frFj0=OqFf ea0dXdd9vspGe9FjuP0=fs0xXdbba9pGe9xq=Jbba9suk9fr=xfr=x frpeWZqaaeaabiGaaiaadaqabeaabeqacqaaaOqaaiabeo8aZnaaBa aaleaaqaaaaaaaaaWdbiaaikdaa8aabeaaaaa@3B0E@  = 10.3 [нм]. Соотношение мод в объемном выражении составляло 1.6:2.6 (в соответствии с данными [19]).

 

Таблица 3. Химический состав стали Х70, исследованной в работе [19] (мас. %)

C

Mn

V

Nb

Ti

N

Mo

Si

Fe

0.0878

1.61

0.0013

0.0363

0.018

0.0038

0.009

0.3035

Осн.

 

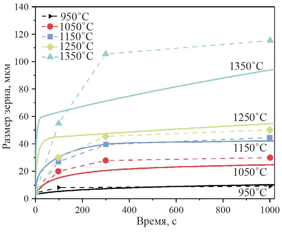
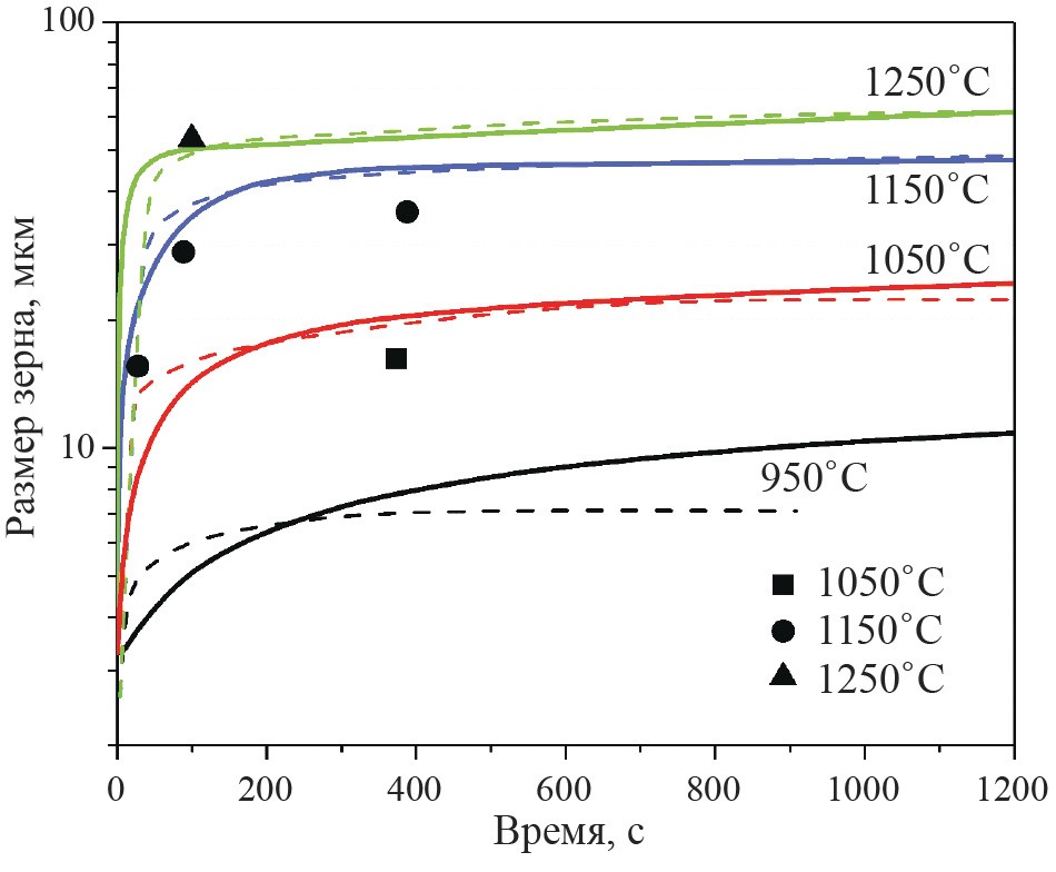
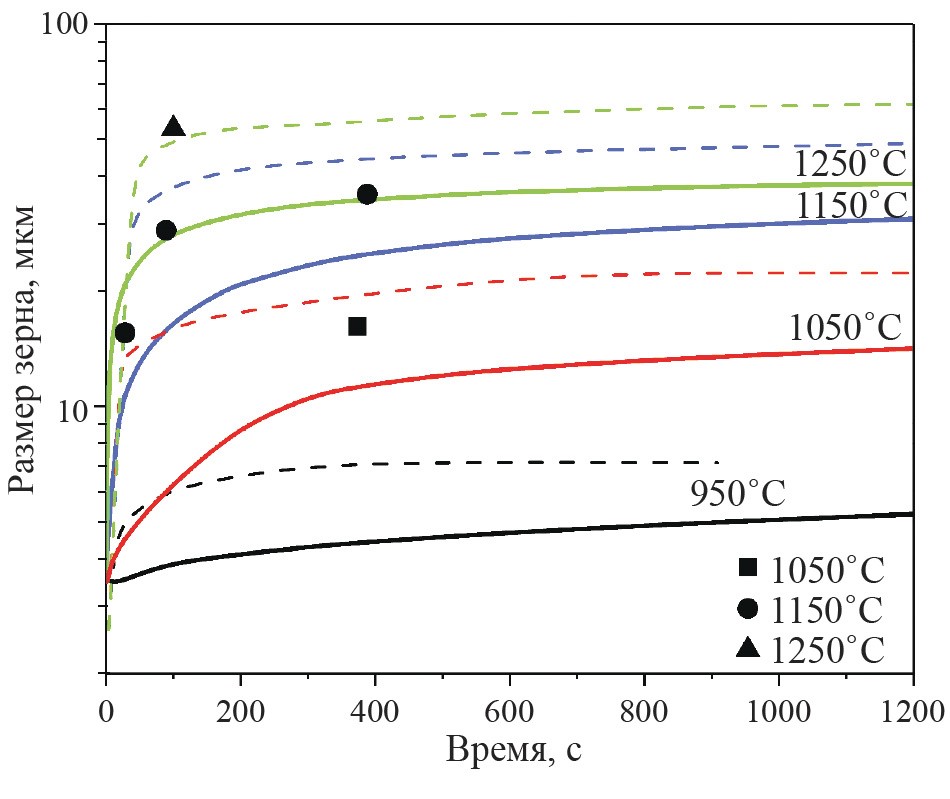
Зависимости изменения среднего размера зерна от времени для разных температур, построенные по данным [18] и [19], а также по результатам моделирования на основе ПТЭ (первый алгоритм) приведены на рис. 1, 2. На рис. 3 в качестве примера работы этого же алгоритма показано смоделированное изменение распределения зерен по размерам со временем в ходе выдержки при 1150°С по данным [18].

 

Рис. 1. Изменение размера аустенитного зерна в процессе отжига по данным [18]. Символы – экспериментальные данные на основе металлографических измерений; пунктир – результаты ультразвуковых измерений; сплошные линии – результаты моделирования на основе ПТЭ.

 

Рис. 2. Изменение размера аустенитного зерна в процессе отжига по данным [19]. Символы и пунктир – экспериментальные данные; сплошные линии – результаты моделирования на основе ПТЭ.

 

Результаты моделирования поведения массива отдельных зерен (второй алгоритм) в сравнении с экспериментом [18] демонстрирует рис. 4, а на рис. 5 на основе этого же алгоритма показано изменение распределения зерен по размерам со временем для тех же условий, что и на рис. 3.

 

Рис. 3. Изменение распределения зерен по размерам в ходе отжига при 1150°С (результаты моделирования на основе ПТЭ, соответствующие данным [18]).

 

Рис. 4. Изменение размера аустенитного зерна в процессе отжига по данным [18]. Символы – экспериментальные данные на основе металлографических измерений; пунктир – результаты ультразвуковых измерений; сплошные линии – результаты моделирования поведения массива отдельных зерен.

 

Рис. 5. Изменение распределения зерен по размерам в ходе отжига при 1150°С (результаты моделирования для массива отдельных зерен, соответствующие данным [18]).

 

Обсуждение

Если обратиться к нашей прошлой работе [28], то видно, что моделирование на основе ПТЭ (рис. 1, 2) показывает примерно такое же согласие с экспериментом, как и расчеты для среднего размера зерна. Но, как уже отмечалось, преимуществом здесь выступает возможность отслеживать изменение распределения зерен по размерам, что и было продемонстрировано на рис. 3. На этом примере, в частности, можно увидеть, что, хотя средний размер зерен к концу обработки приближается к 50 мкм, в распределении есть и зерна в 2 раза больше. Это вполне нормально для стадии собирательной рекристаллизации, – когда среди зерен есть те, которые в два и более раза крупнее среднего размера. Но, судя по графику на рис. 1, эволюцию размеров зерен после выдержки ~ 500 с уже трудно отнести к собирательной рекристаллизации, так как средний размер зерен меняется мало. Поскольку в предложенном алгоритме принято, что по достижению ансамблем зерен максимального критического размера зерна

  D cr max = α β i f i w r i 1 , MathType@MTEF@5@5@+= feaahGart1ev3aqatCvAUfeBSjuyZL2yd9gzLbvyNv2Caerbov2D09 MBdbqedmvETj2BSbqeduuDJXwAKbYu51MyVXgarqqr1ngBPrgifHhD YfgasaacHOWxg9qrFfeu0dXdh9vqqj=hEeeu0xXdbba9frFj0=OqFf ea0dXdd9vspGe9FjuP0=fs0xXdbba9pGe9xq=Jbba9suk9fr=xfr=x frpeWZqaaeaabiGaaiaadaqabeaabeqacqaaaOqaaabaaaaaaaaape Gaamira8aadaqhaaWcbaWdbiaadogacaqGYbaapaqaa8qacaqGTbGa aeyyaiaabIhaaaGccqGH9aqpdaWcaaWdaeaacqaHXoqyaeaacqaHYo GyaaWdbmaadmaapaqaa8qadaGfqbqabSWdaeaapeGaamyAaaqab0Wd aeaapeGaeyyeIuoaaOWaaeWaa8aabaWdbmaalaaapaqaa8qacaWGMb WdamaaDaaaleaapeGaamyAaaWdaeaapeGaam4DaaaaaOWdaeaapeGa amOCa8aadaWgaaWcbaWdbiaadMgaa8aabeaaaaaak8qacaGLOaGaay zkaaaacaGLBbGaayzxaaWdamaaCaaaleqabaWdbiabgkHiTiaaigda aaGcpaGaaiilaaaa@527C@      (31)

подвижность границ зерен становится маленькой, но ненулевой, изменение размеров зерен продолжится. Таким образом, можно сказать, что это соответствует вторичной рекристаллизации – когда увеличение среднего размера зерен прекращается, но отдельные крупные зерна продолжают расти.

Из рис. 4 видно, что, вроде бы, алгоритм для описания поведения массива отдельных зерен показывает заметно худшее согласие с экспериментом, чем алгоритм на основе ПТЭ, – он предсказывает почти в два раза меньший максимальный размер зерна, чем это наблюдается в эксперименте. Однако нельзя не учитывать, что средний размер частиц TiN в [18] был определен не на основе прямых измерений, а исходя из оценки по (31) для температуры отжига 1250°С (когда все частицы NbC заведомо растворяются). Для предложенного здесь алгоритма тоже можно было бы аналогичным образом подобрать средний радиус частиц TiN, достигнув очень хорошего согласия с экспериментом. В то же время видно, что на качественном уровне модель демонстрирует вполне адекватные результаты.

Можно также отметить, что данная модель естественным образом описывает вторичную рекристаллизацию – если исходно были крупные зерна, или же какие-то из зерен успели вырасти до достаточно больших размеров до того, как ансамбль в целом дорос до критического среднего размера, то такие зерна будут способны преодолеть тормозящую силу со стороны выделений и продолжат рост. Это можно наблюдать на гистограммах, приведенных на рис. 5, к концу обработки среди зерен есть такие, которые более чем в 2¸3 раза больше среднего размера. Эти результаты вполне согласуются с анализом, сделанным в [3].

Видно, что распределения, которые получаются в ходе расчетов на основе двух алгоритмов, заметно отличаются друг от друга. Трудно сказать, что лучше соответствует экспериментальной картине, так как гистограммы распределения зерен по размерам в [18, 19] не приводятся.

Выводы

Предложено два метода моделирования роста ансамбля зерен с учетом тормозящего влияния частиц вторых фаз. Каждый из них имеет свои сильные и слабые стороны. Так, алгоритм расчетов на основе ПТЭ, с одной стороны, отличается относительно низкими вычислительными затратами, с другой стороны, его недостатком является учет сдерживающей силы со стороны выделений не для каждого размерного класса зерен, а только для среднего размера зерна. Алгоритм для моделирования роста отдельных зерен, наоборот, довольно ресурсоемкий, зато он более естественным образом описывает поведение каждого зерна, что создает хорошие возможности для создания более сложных моделей на его основе.

С учетом отношения реалистичности модели к вычислительным затратам оба алгоритма могут занять свою нишу между методами на основе расчетов для среднего размера зерна и алгоритмами, основанными на методе клеточных автоматов и фазовых полей.

Оба подхода можно использовать в качестве основы для развития более реалистичных моделей. Так, например, при построении более сложных моделей можно было бы учесть:

  • зависимость энергии границ зерен от состава сплава (твердого раствора)
  • уменьшение подвижности границы зерна за счёт сегрегации примесных атомов

Исследование выполнено за счет гранта Российского научного фонда (проект № 22-29-01106).

Авторы данной работы заявляют, что у них нет конфликта интересов.

×

About the authors

I. I. Gorbachev

Miheev Institute of Metal Physics, Ural Branch, Russian Academy, Sciences

Author for correspondence.
Email: gorbachev@imp.uran.ru
Russian Federation, 620108, Ekaterinburg

References

  1. Harker D., Parker E.R. Grain shape and grain growth // Trans. American Soc. Metals. 1945. V. 34. P. 156–195.
  2. Burke J.E. Some factors affecting the rate of grain growth in metals // Aime Trans. 1949. V. 180. V. 73–91.
  3. Hillert M. On the theory of normal and abnormal grain growth // Acta Metal. 1965. V. 13. № 3. P. 227–238.https://doi.org/10.1016/0001-6160(65)90200-2
  4. Maire L., Scholtes B., Moussa C., Bozzolo N., Muñoz D.P., Bernacki M. Improvement of 3D mean field models for capillarity-driven grain growth based on full field simulations // J. Mar. Sci. 2016. V. 51. № 24. P. 10970–10981. https://doi.org/10.1007/s10853-016-0309-6
  5. Miyoshi E., Takaki T., Ohno M., Shibuta Y., Sakane S., Shimokawabe T., Aoki T. Ultra-large-scale phase-field simulation study of ideal grain growth //npj Computational Materials. 2017. V. 3. № 1. Р. 25. https://doi.org/10.1038/s41524–017–0029–8
  6. Rios P.R., Dalpian T.G., Brandão V.S., Castro J.A., Oliveira A.C.L. Comparison of analytical grain size distributions with three-dimensional computer simulations and experimental data // Scripta Mater. 2006. V. 54. № 9. P. 1633–1637. https://doi.org/10.1016/j.scriptamat.2006.01.007
  7. Svoboda J., Zickler G.A., Kozeschnik E., Fischer F.D. Generalization of classical Hillert's grain growth and LSW theories to a wide family of kinetic evolution equations and stationary distribution functions // Acta Mater. 2022. V. 235. Р. 118085. https://doi.org/10.1016/j.actamat.2022.118085
  8. Lifshitz I.M., Slyozov V.V. The kinetics of precipitation from supersaturated solid solutions //J. Phys. Chem. Solids. 1961. V. 19. № 1–2. P. 35–50. https://doi.org/10.1016/0022-3697(61)90054-3
  9. Liu Y., Baudin T., Penelle R. Simulation of normal grain growth by cellular automata // Scripta Mater. 1996. V. 34. № 11. P. 1679–1683. https://doi.org/10.1016/1359-6462(96)00055-3
  10. Raghavan S., Sahay Satyam S. Modeling the grain growth kinetics by cellular automaton // Mater. Sci. Eng.: A. 2007. V. 445–446. P. 203–209. https://doi.org/10.1016/j.msea.2006.09.023
  11. Sieradzki L., Madej L. A perceptive comparison of the cellular automata and Monte Carlo techniques in application to static recrystallization modeling in polycrystalline materials // Comp. Mater. Sci. 2013. V. 67. P. 156–173. https://doi.org/10.1016/j.commatsci.2012.08.047
  12. Ogawa J., Natsume Y. Three-dimensional large-scale grain growth simulation using a cellular automaton model // Comp. Mater. Sci. 2021. V. 199. 110729. https://doi.org/10.1016/j.commatsci.2021.110729
  13. Fischer F.D., Svoboda J., Fratzl P. A thermodynamic approach to grain growth and coarsening // Philosoph. Magazine. 2003. V. 83. № 9. P. 1075–1093. https://doi.org/10.1080/0141861031000068966
  14. Onsager L. Reciprocal relations in irreversible processes. I // Phys. Rev. 1931. V. 37. № 4. P. 405–426. https://doi.org/10.1103/PhysRev.37.405
  15. Onsager L. Reciprocal relations in irreversible processes. II // Phys. Rev. 1931. V. 38. № 12. P. 2265–2279. https://doi.org/10.1103/PhysRev.38.2265
  16. Svoboda J., Fischer F.D. Abnormal grain growth: a non-equilibrium thermodynamic model for multi-grain binary systems // Model. Simulation Mater. Sci. Eng. 2013. V. 22. № 1. Р. 015013. https://dx.doi.org/10.1088/0965-0393/22/1/015013
  17. Zener C. цитируется по Gladman T. On the theory of the effect of precipitate particles on grain growth in metals // Proc. R. Soc. Lond. A. 1966. V. 294. P. 298–309. https://doi.org/10.1098/rspa.1966.0208
  18. Maalekian M., Radis R., Militzer M., Moreau A., Poole W.J. In situ measurement and modelling of austenite grain growth in a Ti/Nb microalloyed steel // Acta Mater. 2012. V. 60. P. 1015–1026. https://doi.org/10.1016/j.actamat.2011.11.016
  19. Khalaj G., Yoozbashizadeh H., Khodabandeh A., Tamizifar M. Austenite grain growth modelling in weld heat affected zone of Nb/Ti microalloyed linepipe Steel // Mater. Sci. Techn. 2014. V. 30. № 2. P. 424–433. https://doi.org/10.1179/1743284713Y.0000000364
  20. Banerjee K., Militzer M., Perez M., Wang X. Nonisothermal austenite grain growth kinetics in a microalloyed X80 linepipe steel // Metal. Mater. Trans. A. 2010. V. 41A. № 12. P. 3161–3172. https://doi.org/10.1007/s11661-010-0376-2
  21. Dépinoy S., Marini B., Toffolon-Masclet C., Roch F., Gourgues-Lorenzon A.-F. Austenite grain growth in a 2.25Cr-1Mo vanadium-free steel accounting for Zener pinning and solute drag: experimental study and modeling // Metal. Mater. Trans. A. 2017. V. 48. № 5. P. 2289–2300. https://doi.org/10.1007/s11661-017-4002-4
  22. Sandström R., Lagneborg R. A model for hot working occurring by recrystallization // Acta Metall. 1975. V. 23. P. 387–398. https://doi.org/10.1016/0001-6160(75)90132-7
  23. Roucoules C., Pietrzyk M., Hodgson P.D. Analysis of work hardening and recrystallization during the hot working of steel using a statistically based internal variable model // Mater. Sci. Eng. A. 2003. V. 339. № 1–2. P. 1–9. https://doi.org/10.1016/S0921-5093(02)00120-X
  24. Rath M., Kozeschnik E. Coupled grain growth and precipitation modeling in multi-phase systems // Mater. Sci. Forum. 2013. V. 753. P. 357–360. https://doi.org/10.4028/www.scientific.net/MSF.753.357
  25. Горбачёв И.И., Пасынков А.Ю., Попов В.В. Прогнозирование размера аустенитного зерна микролегированных сталей на основе моделирования эволюции карбонитридных выделений // ФММ. 2015. Т. 116. № 11. С. 1184–1191. https://doi.org/10.1134/S0031918X1511006X
  26. Горбачев И.И., Пасынков А.Ю., Попов В.В. Моделирование влияния горячей деформации на размер аустенитного зерна низколегированных сталей с карбонитридным упрочнением // ФММ. 2018. Т. 119. № 6. С. 582–589. https://doi.org/10.1134/S0031918X18060078
  27. Горбачев И.И., Пасынков А.Ю., Попов В.В. Моделирование эволюции карбонитридных частиц сложного состава при горячей деформации низколегированной стали // Физика металлов и металловедение. 2018. Т. 119. № 8. С. 817–826. https://doi.org/10.1134/S0031918X18080021
  28. Горбачев И.И., Корзунова Е.И., Попов В.В., Хабибулин Д.М., Урцев Н.В. Моделирование роста аустенитного зерна в низколегированных сталях при аустенитизации // ФММ. 2023. T. 124. № 3. С. 303–309. https://doi.org/10.1134/S0031918X23600100
  29. Горбачев И.И., Корзунова Е.И., Попов В.В., Хабибулин Д.М., Урцев Н.В. Модель для прогнозирования размера аустенитного зерна при горячей деформации низколегированных сталей с учётом эволюции дислокационной структуры // ФММ. 2023. T. 124. № 12. С. 1244–1252.
  30. Горбачев И.И., Корзунова Е.И., Попов В.В., Хабибулин Д.М., Урцев Н.В. Моделирование эволюции фазового состава и размера аустенитного зерна при многопроходной горячей деформации низколегированных сталей // ФММ. 2024. Т. 125. № 3. С. 293–305.
  31. Горбачев И.И., Попов В.В., Пасынков А.Ю. Моделирование эволюции выделений двух карбонитридных фаз в сталях с Nb и Ti при изотермическом отжиге // ФММ. 2013. Т. 114. № 9. С. 807–817. https://doi.org/10.1134/S0031918X13090068
  32. Popov V.V., Gorbachev I.I., Pasynkov A. Yu. Simulation of precipitates evolution in multiphase multicomponent systems with consideration of nucleation // Philosoph. Magazine. 2016. V. 96. № 35. P. 3632–3653. https://doi.org/10.1080/14786435.2016.1232867
  33. Buken H., Kozeschnik E. A model for static recrystallization with simultaneous precipitation and solute drag // Metal. Mater. Trans. A. 2017. V. 48. P. 2812–2818. https://doi.org/10.1007/s11661-016-3524-5
  34. Hillert M. Inhibition of grain growth by second-phase particles // Acta Metal. 1988. V. 36. № 12. P. 3177–3181. https://doi.org/10.1016/0001-6160(88)90053-3
  35. Горбачев И.И., Попов В.В., Пасынков А.Ю. Термодинамическое моделирование карбонитридообразования в сталях с Nb и Ti // ФММ. 2012. Т. 113. № 7. С. 727–735. https://doi.org/10.1134/S0031918X1207006X
  36. Rios P.R. Overview no. 62: A theory for grain boundary pinning by particles // Acta Metal. 1987. V. 35. № 12. P. 2805–2814. https://doi.org/10.1016/0001-6160(87)90280-X
  37. Uhm S., Moon J., Lee Ch., Yoon J., Lee B. Prediction model for the austenite grain size in the coarse grained heat affected zone of Fe–C–Mn steels: Considering theeffect of initial grain size on isothermal growth behavior // ISIJ International. 2004. V. 44. № 7. P. 1230–1237. https://doi.org/10.2355/isijinternational.44.1230

Supplementary files

Supplementary Files
Action
1. JATS XML
2. Fig. 1. Change in the size of austenitic grains during annealing according to data [18]. Symbols are experimental data based on metallographic measurements; dotted lines are the results of ultrasonic measurements; solid lines are the results of modeling based on PTE.

Download (87KB)
3. Fig. 2. Change in the size of austenitic grains during annealing according to data [19]. Symbols and dotted lines are experimental data; solid lines are the results of modeling based on PTE.

Download (103KB)
4. Fig. 3. Change in grain size distribution during annealing at 1150 °C (PTE-based simulation results corresponding to the data [18]).

Download (59KB)
5. Fig. 4. Change in the size of austenitic grains during annealing according to data [18]. Symbols are experimental data based on metallographic measurements; dotted lines are the results of ultrasonic measurements; solid lines are the results of modeling the behavior of an array of individual grains.

Download (93KB)
6. Fig. 5. Change in grain size distribution during annealing at 1150 °C (simulation results for an array of individual grains corresponding to the data [18]).

Download (213KB)


Согласие на обработку персональных данных с помощью сервиса «Яндекс.Метрика»

1. Я (далее – «Пользователь» или «Субъект персональных данных»), осуществляя использование сайта https://journals.rcsi.science/ (далее – «Сайт»), подтверждая свою полную дееспособность даю согласие на обработку персональных данных с использованием средств автоматизации Оператору - федеральному государственному бюджетному учреждению «Российский центр научной информации» (РЦНИ), далее – «Оператор», расположенному по адресу: 119991, г. Москва, Ленинский просп., д.32А, со следующими условиями.

2. Категории обрабатываемых данных: файлы «cookies» (куки-файлы). Файлы «cookie» – это небольшой текстовый файл, который веб-сервер может хранить в браузере Пользователя. Данные файлы веб-сервер загружает на устройство Пользователя при посещении им Сайта. При каждом следующем посещении Пользователем Сайта «cookie» файлы отправляются на Сайт Оператора. Данные файлы позволяют Сайту распознавать устройство Пользователя. Содержимое такого файла может как относиться, так и не относиться к персональным данным, в зависимости от того, содержит ли такой файл персональные данные или содержит обезличенные технические данные.

3. Цель обработки персональных данных: анализ пользовательской активности с помощью сервиса «Яндекс.Метрика».

4. Категории субъектов персональных данных: все Пользователи Сайта, которые дали согласие на обработку файлов «cookie».

5. Способы обработки: сбор, запись, систематизация, накопление, хранение, уточнение (обновление, изменение), извлечение, использование, передача (доступ, предоставление), блокирование, удаление, уничтожение персональных данных.

6. Срок обработки и хранения: до получения от Субъекта персональных данных требования о прекращении обработки/отзыва согласия.

7. Способ отзыва: заявление об отзыве в письменном виде путём его направления на адрес электронной почты Оператора: info@rcsi.science или путем письменного обращения по юридическому адресу: 119991, г. Москва, Ленинский просп., д.32А

8. Субъект персональных данных вправе запретить своему оборудованию прием этих данных или ограничить прием этих данных. При отказе от получения таких данных или при ограничении приема данных некоторые функции Сайта могут работать некорректно. Субъект персональных данных обязуется сам настроить свое оборудование таким способом, чтобы оно обеспечивало адекватный его желаниям режим работы и уровень защиты данных файлов «cookie», Оператор не предоставляет технологических и правовых консультаций на темы подобного характера.

9. Порядок уничтожения персональных данных при достижении цели их обработки или при наступлении иных законных оснований определяется Оператором в соответствии с законодательством Российской Федерации.

10. Я согласен/согласна квалифицировать в качестве своей простой электронной подписи под настоящим Согласием и под Политикой обработки персональных данных выполнение мною следующего действия на сайте: https://journals.rcsi.science/ нажатие мною на интерфейсе с текстом: «Сайт использует сервис «Яндекс.Метрика» (который использует файлы «cookie») на элемент с текстом «Принять и продолжить».