Phase transitions in the four-component Potts model on a triangular lattice
- Autores: Babaev A.B.1, Murtazaev A.K.1
-
Afiliações:
- Amirkhanov Institute of Physics Dagestan Federal Research Center, Russian Academy of Sciences
- Edição: Volume 125, Nº 7 (2024)
- Páginas: 790-794
- Seção: ЭЛЕКТРИЧЕСКИЕ И МАГНИТНЫЕ СВОЙСТВА
- URL: https://journal-vniispk.ru/0015-3230/article/view/279657
- DOI: https://doi.org/10.31857/S0015323024070027
- EDN: https://elibrary.ru/JSCIEV
- ID: 279657
Citar
Texto integral
Resumo
The Monte Carlo method is used to perform the simulation of four-component Potts model on a triangular lattice. Systems with linear dimensions of L × L = N and L = 10–160 are considered. Phase transitions in terms of the considered Potts model are studied using fourth-order Binder cumulants and histogram analysis of data. It is shown that, in the four-component Potts model on a triangular lattice, second-order transitions are observed.
Palavras-chave
Texto integral
ВВЕДЕНИЕ
Большое значение в теоретическом исследовании фазовых переходов (ФП) имеет изучение точно решаемых моделей, которые обладают нетривиальным поведением, претерпевая фазовый переход I или II рода, и в то же время позволяют рассчитать точную статистическую сумму. Такие модели обычно редко дают возможность непосредственного сравнения с экспериментом, но очень полезны для понимания физики фазового перехода [1]. К настоящему времени имеются несколько точно решаемых моделей, среди которых двумерная модель Изинга на квадратной решетке [2]. Модель Поттса при q=2 изоморфна модели Изинга, для которой точное аналитическое решение также было получено на треугольной и гексагональной решетках в работе [3] и на решетке Кагоме [4]. В то же время при попытках рассчитать критические параметры для моделей Поттса с числом состояний спина q>2 на различных решетках аналитические методы сталкиваются с непреодолимыми трудностями. Это привело к разработке гипотез, позволяющих оценить с некоторой степенью точности значения критических точек [5, 6].
Для моделей Поттса при q>2 на различных 2D- и 3D-решетках не имеется ни одного точного решения до сегодняшнего дня. Изучение магнитных и тепловых свойств этих моделей имеет важное фундаментальное и прикладное значение. Это связано с тем, что многие объекты и явления, наблюдаемые в физике конденсированных сред, в частности адсорбция инертных газов на адсорбентах типа графита, могут описываться моделями решеточного газа Поттса [6, 7].
В случае адсорбции криптона на графите, центры адсорбции образуют треугольную решетку на базисной грани кристалла графита (см. рис. 1а). При этом адатомы криптона взаимодействуют попарно, и потенциал взаимодействия положителен для ближайших соседей и отрицателен для остальных. Такие свойства потенциала приводят к исключению ближайших соседей. Таким образом элементарный треугольник, состоящий из трех узлов криптонного решеточного газа, можно рассматривать как единое целое. Этот треугольник может находиться в одном из четырех состояний: он может не содержать ни одного адатома криптона или содержать один атом в положении a, b, c (см. рис. 1б). Узлы решеточного газа Поттса также образуют треугольную решетку. Фазовые переходы в таких адсорбированных структурах описываются классом универсальности четырехкомпонентной модели Поттса на треугольной решетке [1].
Рис. 1. Четырехкомпонентная модель Поттса на треугольной решетке (а); описание адсорбции на основе модели Поттса (б).
Кроме того, следует отметить, что значение q=4 для модели Поттса является граничным, выше которого наблюдается ФП I рода, ниже — ФП II рода. Поэтому изучение особенностей фазовых переходов и термодинамических свойств четырехкомпонентной модели Поттса на треугольной решетке в зависимости от линейных размеров исследуемых систем имеет отдельный практический интерес.
ЧЕТЫРЕХКОМПОНЕНТНАЯ МОДЕЛЬ ПОТТСА НА ТРЕУГОЛЬНОЙ РЕШЕТКЕ
Приведем здесь формулировку четырехкомпонентной стандартной модели Поттса на треугольной решетке, используемой для описания различных объектов и явлений в физике конденсированных сред. При построении такой модели необходимо иметь в виду следующие особенности:
- В узлах треугольной решетки расположены спины Si, которые могут ориентироваться в 4-х симметричных направлениях гипертетраэдра в пространстве размерности q−1, так что углы между любыми двумя направлениями спинов равны (рис. 1a).
- Энергия связи между двумя узлами равна нулю, если они находятся в разных состояниях (безразлично, в каких именно) и равна J, если взаимодействующие узлы находятся в одинаковых состояниях (опять же, все равно, в каких именно).
С учетом этих особенностей микроскопический гамильтониан такой системы может быть, представлен в виде [12]:
(1)
где J — параметр обменного ферромагнитного взаимодействия ближайших соседей (в дальнейшем считаем |J|/kB=1 и работаем с безразмерной температурой), Pi — обозначение состояния спина с номером i, суммирование в выражении (1) производится по ближайшим соседям:
МЕТОДИКА МОДЕЛИРОВАНИЯ
Алгоритм Вольфа один из наиболее эффективных кластерных алгоритмов метода Монте-Карло на сегодняшний день [8]. Методика ее реализация подробно рассмотрена в работах [9–11]. Основная суть алгоритма заключается в следующем:
- Два случайных числа задают координаты i, j спина Si и в дальнейшем рассматривается началом роста кластера, к которому присоединяются ближайшие соседние спины с вероятностью
, (2)
где K=J/kBT, kB — постоянная Больцмана, Т — температура, если оба спина находятся в одинаковых состояниях при J>0. Рост кластера продолжается до тех пор, пока список непроверенных спинов исчерпывается.
- Переворот кластера в случае модели Поттса означает присвоение всем спинам, вошедшим в кластер, новое значение спина , с равной вероятностью среди всех его состояний q, которое отлично от старого значения Si.
По вышеописанному алгоритму Вольфа [8] реализовали марковский процесс для систем с периодическими граничными условиями (ПГУ). Расчеты проведены для систем с линейными размерами L=10–160, и числом спинов N=L×L, где L измеряется в единицах межатомной длины. Изначально конфигурации задавали таким образом, чтобы все спины находились в одном состоянии. Для вывода системы в равновесное состояние вычисляли время релаксации τ0 для всех систем с линейными размерами L. Этот неравновесный участок отбрасывали. Затем усреднение проводили по участку марковской цепи длиной τ = 450τ0, где τ0 = 2.1×104 МК шагов/спин.
РЕЗУЛЬТАТЫ КОМПЬЮТЕРНОГО МОДЕЛИРОВАНИЯ
Для наблюдения за температурным ходом поведения энергии E использовано выражение:
, (3)
угловые скобки означают термодинамическое усреднение. Температурные зависимости энергии E на один узел приведены на рис. 2. Как видно из рисунка, температурная зависимость энергии E для четырехкомпонентной модели Поттса при L=160 демонстрирует слабо выраженный скачок энергии. Это обусловлено тем, что для модели Поттса число состояний спина q=4 является граничным, и для конечных L может наблюдаться фазовый переход II рода, близкий к фазовому переходу I рода. Для полного выяснения особенностей рода фазового перехода в решеточных моделях Поттса следует комплексно исследовать температурные зависимости всех термодинамических параметров.
Рис. 2. Зависимость удельной энергии E от температуры для четырехкомпонентной модели Поттса на треугольной решетке.
В рассматриваемой работе численно исследованы теплоемкость и магнитная восприимчивость с применением следующих флуктуационных соотношений [12]:
, (4)
, (5)
где K=J/kBT, , Ni — число спинов в состоянии с Pi, N=L2 — число магнитных узлов, угловые скобки означают термодинамическое усреднение, нормированное на N2, — спонтанная намагниченность рассматриваемой системы с линейным размером L. В частности, с увеличением линейного размера системы L максимум теплоемкости и магнитной восприимчивости достаточно хорошо приближается к критическому значению и для температурных зависимостей рассматриваемых параметров наблюдаются ярко выраженные максимумы (см. рис. 3 и рис. 4).
Рис. 3. Зависимость удельной теплоемкости С от температуры для четырехкомпонентной модели Поттса на треугольной решетке.
Рис. 4. Зависимость удельной магнитной восприимчивости χ от температуры для четырехкомпонентной модели Поттса на треугольной решетке.
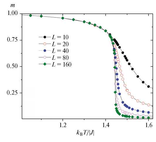
Температурная зависимость спонтанной намагниченности m приведена на рис. 5. Как видно из рисунка, для всех рассмотренных систем наблюдается поведение, характерное для ФП II рода.
Рис. 5. Зависимость спонтанной намагниченности m от температуры для четырехкомпонентной модели Поттса на треугольной решетке.
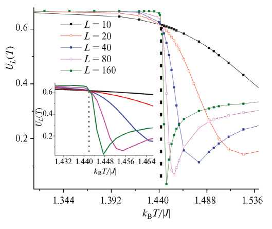
Исследование температурных зависимостей кумулянтов Биндера четвертого порядка UL(T) [13]:
, (6)
выявило ярко выраженную точку пересечения для решеток разных размеров L (см. рис. 6). Как видно из рисунка, эта точка соответствует критической температуре Tc=1.442(2).
Рис. 6. Зависимость кумулянтов Биндера UL(T) от температуры для четырехкомпонентной модели Поттса на треугольной решетке.
Вычисленное значение Tc находится в хорошем соответствии со значением Tc=1/ln2, которое получено из аналитического выражения [6]:
, (7)
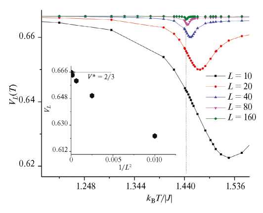
где . Кроме того, значения кумулянтов Биндера, рассчитанные по энергии E:
, (8)
для разных размеров решетки в зависимости от температуры T приведены на рис. 7. Как видно из вставки к рис. 7, значения VL(T) при T=Tc и L→∞ стремятся к тривиальному значению V *=2/3:
, (9)
что свойственно для фазового перехода II рода (см. рис. 7).
Рис. 7. Зависимость кумулянтов Биндера VL(T) от температуры для четырехкомпонентной модели Поттса на треугольной решетке.
Аналогичную картину наблюдали для четырехкомпонентной модели Поттса на гексагональной решетке в работах [15, 16]. Гистограммный анализ данных, проведенный для четырехкомпонентной модели Поттса на треугольной решетке, также свидетельствует о наличии ФП II рода. Это продемонстрировано на рис. 8 для спиновой системы с L=160. В зависимости вероятности P от энергии E для всех трех различных значений температуры вблизи Tc наблюдается один хорошо выраженный максимум, что характерно для ФП II рода.
Рис. 8. Гистограмма распределения энергии для четырехкомпонентной модели Поттса на треугольной решетке.
ЗАКЛЮЧЕНИЕ
Численные данные нашей статьи, полученные моделированием четырехкомпонентной модели Поттса на треугольной решетке, показали, что в рассматриваемой модели наблюдается фазовый переход II рода.
С применением метода кумулянтов Биндера четвертого порядка определена критическая температура Tc. Показано, что полученное значение критической температуры находится в хорошем соответствии с аналитическим значением, полученным Поттсом (см. [6]).
Авторы данной работы заявляют, что у них нет конфликта интересов.
Sobre autores
A. Babaev
Amirkhanov Institute of Physics Dagestan Federal Research Center, Russian Academy of Sciences
Autor responsável pela correspondência
Email: b_albert78@mail.ru
Rússia, Makhachkala, 367030
A. Murtazaev
Amirkhanov Institute of Physics Dagestan Federal Research Center, Russian Academy of Sciences
Email: b_albert78@mail.ru
Rússia, Makhachkala, 367030
Bibliografia
- Бэкстер Р. Точно решаемые модели в статистической механике / Пер. с англ. Е.П. Вольского, Л.И. Дайхина; Под ред. А.М. Бродского. М.: Мир, 1985. 486 с.
- Onsager L. Crystal statistics. 1: A two- dimensional model with an order-disorder transitions // Phys. Rev. 1944. V. 65. P. 117–149.
- Houtappel R.M.F. Order-disorder in hexagonal lattices // Physica. 1950. V. 16. P. 425.
- Kanô K., Naya S. Antiferromagnetism. The Kagome Ising Net // Prog. Theor. Phys. 1953. V. 10. P. 158.
- Wu F.Y. The Potts model // Rev. Mod. Phys. 1982. V. 54. № 1. P. 235–268.
- Wu F.Y. Exactly Solved Models: A Journey in Statistical Mechanics. London: World Scientific, 2009.
- Ермилов А.Н. Аналитический метод исследования стохастической модели Поттса // Физика элементарных частиц и атомного ядра. 1989. Т. 20. № 6. С. 1479.
- Wolff U. Collective Monte Carlo Updating for spin systems // Phys. Lett. 1989. V. 62. P. 361.
- Муртазаев А.К., Бабаев А.Б., Атаева Г.Я., Бабаев М.А. Фазовые переходы в разбавленной модели Поттса с числом состояний спина q=3 на квадратной решетке // ФТТ. 2022. Т. 64. С. 639.
- Муртазаев А.К., Бабаев А.Б. Вычислительная физика и проблемы фазовых переходов. М.: Физматлит, 2023. 184 с.
- Бабаев А.Б., Муртазаев А.К. Моделирование трехкомпонентной модели Поттса на гексагональной решетке методом Монте-Карло // ФММ. 2023. Т. 124. № 7. С. 577–583.
- Peczac P., Ferrenberg A.M., Landau D.P. High-accuracy Monte Carlo study of the three-dimensional classical Heisenberg ferromagnet // Phys. Rev. B. 1991. V. 43. P. 6087.
- Eichhorn K., Binder K. Monte Carlo investigation of the three-dimensional random-field three-state Potts model // J. Phys.: Condens. Matter. 1996. V. 8. Р. 5209.
- Loison D., Schotte K.D. First and second order transition in frustrated XY systems // Eur. Phys. J. B. 1998. V. 5. P. 735.
- Муртазаев А.К., Бабаев А.Б. Фазовые переходы в двумерных моделях Поттса на гексагональной решетке // Журнал экспериментальной и теоретической физики. 2022. Т. 161. № 6. С. 847–852.
- Фадеева М.А., Щур Л.Н. Моделирование четырехкомпонентной модели Поттса на гексагональной решетке методом Ванга–Ландау с контролируемой точностью // Журнал экспериментальной и теоретич. физики. 2022. Т. 162. С. 909–916.
Arquivos suplementares









