Distribution of composition across the interface in binary alloys
- Authors: Gapontsev V.L.1, Gapontsev A.V.2, Gapontsev V.V.2
-
Affiliations:
- Russian State Professional and Pedagogical University
- M.N. Miheev Institute of Metal Physics of Ural Branch of Russian Academy of Sciences
- Issue: Vol 125, No 9 (2024)
- Pages: 1171-1179
- Section: СТРУКТУРА, ФАЗОВЫЕ ПРЕВРАЩЕНИЯ И ДИФФУЗИЯ
- URL: https://journal-vniispk.ru/0015-3230/article/view/281263
- DOI: https://doi.org/10.31857/S0015323024090112
- EDN: https://elibrary.ru/KEJQXF
- ID: 281263
Cite item
Full Text
Abstract
For one-dimensional case of binary substitution alloys, the parameters of the diffuse interface and the distribution of the composition within it are calculated using the thermodynamic approach. It is shown that the estimate of the equilibrium solubility limits in the quasi-regular solution model coincides with the results of the Gibbs construction and the results obtained using the Cahn–Hilliard approach. It is found that the interface width weakly depends on the chosen approximation. A strong dependence on the employed approximation is characteristic of the equilibrium solubility limits. It is also demonstrated that approaches that are different from the quasi-regular solution model lead to a violation of Maxwell’s equal area rule. It is shown that the parameters determining the shape of the distribution curve of the composition along the interface have substantially different behavior within the quasi-regular solution model and in the case of regular calculations.
Full Text
ВВЕДЕНИЕ
Для определения параметров, характеризующих равновесное состояние двойных сплавов замещения, обычно используют подход Гиббса [1–3]. В его рамках могут быть определены положения бинодали и спинодали, и поэтому подход Гиббса используется при построении равновесных фазовых диаграмм [4–7]. Более детальное описание двойных сплавов замещения дают модели, предложенные Каном и Хиллардом [8–10] и независимо от них Хартом [11]. Они позволяют провести расчет поверхностного натяжения, ширины межфазной границы и описать распределения состава поперек межфазной границы твёрдого раствора. Уравнения нелинейной диффузии типа уравнений Кана и Хилларда были использованы недавно для описания спинодального распада сплава с сильной концентрационной зависимостью коэффициента взаимной диффузии [12]. В данной работе мы ограничиваемся термодинамическим описанием сплавов и поэтому исключаем из обзора как работы, опирающиеся на статистические подходы, так и работы, использующие методы молекулярной динамики.
Модель Кана и Хилларда позволяет определить как положение бинодали, так и другие параметры межфазной границы: поверхностное натяжение, ее толщину и форму. Однако в рамках этой модели возникает проблема замкнутости, связанная с неопределенностью зависимости от концентрации компонентов коэффициента при градиентном вкладе в плотность свободной энергии. Эта проблема решается в предложенном нами ранее подходе [13], который для полноты картины приведем здесь в несколько переформулированном виде. Вслед за Каном и Хиллардом мы расширяем число аргументов плотности свободной энергии. Но, в отличие от их подхода, в качестве дополнительных независимых аргументов выберем не набор градиентов концентрации, а средневзвешенную концентрацию, которую обозначим как Фс. Таким образом, мы полагаем, что двумя независимыми аргументами плотности свободной энергии являются локальная концентрация и средневзвешенная концентрация одного из компонент двойного сплава. Средневзвешенную концентрацию определим как функционал от локальной концентрации. В отсутствие выделенного направления в одномерном случае (у Харта этому соответствует приближение плоской границы) для средневзвешенной концентрации примем:
(1)
Здесь ядро функционала – нормированная на единицу быстро убывающая функция. Концентрационные возмущения на трех межатомных расстояниях в трехмерной решетке убывают на порядок, что приводит к оценке R ~ 3a, где a – межатомное расстояние, R – радиус убывания ядра функционала (1) и Λ ~ R. Правая часть выражения (1) получена разложением подынтегральной функции по радиусу ядра. Вводя этот дополнительный аргумент, мы учитываем нелокальный характер зависимости плотности свободной энергии от состава. С этой нелокальностью связаны корреляционные эффекты в распределении частиц и, как следствие, возможность распада твердого раствора на фазы при определенных условиях. В состоянии химического равновесия неидеального однородного раствора (гомогенная фаза) его химический потенциал одинаков во всех точках:
Здесь μ = μA − μB – величина, равная разности химических потенциалов компонентов, c ≡ CA и 1 − c ≡ CB, CA,B – числовые концентрации компонентов. Концентрацию вакансий мы полагаем пренебрежимо малой. Для удобства будем рассматривать μ как “химический потенциал бинарного сплава”. Он разбит на две части: μid – химический потенциал идеального раствора, связанный с конфигурационной энтропией, и μxs – избыточный химический потенциал, учитывающий эффекты неидеальности, возникающие из-за взаимодействия частиц. Обобщим условие химического равновесия на случай неоднородного твердого раствора, полагая:
. (2)
Мы исключаем зависимость μid от Фс, поскольку в отсутствие взаимодействия частиц, т.е. в идеальном растворе распад на фазы невозможен. Для простоты мы не учитываем возможность прямой зависимости μxs от локальной концентрации. Принятие выражения (2) обеспечивает правильную связь вида получаемых уравнений с моделями регулярного и квазирегулярного растворов.
В работе Кана [9] подчеркнута важная особенность его подхода. Она заключается в том, что используемые им и Хиллардом величины, в частности величины, имеющие размерность химического потенциала, относятся к трем типам: а) величины, характеризующие однородный раствор, б) величины, связанные с градиентным вкладом в плотность свободной энергии и в) величина, играющая роль неопределенного множителя Лагранжа, которая возникает в связи с учетом постоянства состава (у нас это μL). Для обозначения величин первого типа Кан использует нижний индекс. В нашем подходе нет необходимости введения специального нижнего индекса. У нас величины, характеризующие однородный раствор, возникают автоматически при использовании правой части выражения (1) и последующего разложения соответствующей величины по малой добавке ~Λ2. Например:
.
Действительно, с учетом этого соотношения выражение (2) можно записать в виде:
.
В последнем выражении, как и у Кана, фигурируют три величины размерности химического потенциала: μ(c) – химический потенциал однородного раствора, – градиентная часть химического потенциала и постоянная μL. Появление μL, как неопределенного множителя Лагранжа, связано с процедурой минимизации полной свободной энергии системы при условии постоянства ее состава. Отметим, что μ(c) и его слагаемые μid(c) и μxs(c) связаны с плотностью свободной энергии твердого раствора обычными соотношениями , и . Из приведенного выше разложения ясно, что зависимость этой величины от ее аргумента, повторяет зависимость от концентрации и, следовательно, однозначно определена видом концентрационной зависимости плотности свободной энергии однородного твердого раствора. В рамках данной работы примем для последней:
(3)
где
(4)
. (5)
Вклад связан с конфигурационной энтропией, характеризующей идеальный твердый раствор. f0 – величина, не зависящая от состава сплава. В рамках настоящей работы эта величина принимается равной нулю. Выражение (5) имеет достаточно общий характер, позволяющий моделировать все варианты, приведённые в работах [4–7]. Конкретный вид концентрационной зависимости определяется выбором постоянных .
При определенных значениях постоянных и температуры график зависимости имеет два минимума и один максимум. Это позволяет выполнить построение Гиббса для определения равновесных пределов растворимости двухфазного твердого раствора. Оно сводится к построению графика и прямой , касающейся его в двух точках. Точкам касания соответствуют значения концентраций c1,2, принимаемые за равновесные пределы растворимости компонентов в гомогенных фазах.
Кан и Хиллард в своих построениях вводят допущение, что аргументами удельной свободной энергии являются не только локальные значения концентраций, но и производные от них по координатам. Далее, исходя из требования минимума поверхностного натяжения в равновесии, строится уравнение Эйлера–Лагранжа, решением которого является распределение состава по нормали к межфазной границе. В одномерном случае это уравнение можно записать в виде:
. (6)
Здесь величина K – параметр теории, который в общем случае зависит от концентрации, E и μL – постоянные, значения которых требуется определить из условий, обеспечивающих существование решения. Для регулярного двухкомпонентного раствора Кан и Хиллард рассматривают K как отрицательную постоянную величину и выражают ее через параметры межатомного взаимодействия [10].
Уравнение (6) имеет вид уравнения нелинейных колебаний материальной точки. Концентрация играет роль пространственной координаты, а пространственная координата играет роль времени. При отрицательных значениях величины K условие существования нетривиальных решений уравнения (6) имеет вид . Равенству в этом выражении соответствует касание прямой и графика кривой в двух точках. В точках касания выполняется условие при этом при . Асимптотическое приближение концентрации c к значениям c1,2 означает, что эти величины следует рассматривать как равновесные пределы растворимости. Таким образом, подход Кана и Хилларда согласуется с построением Гиббса. В рамках подхода Кана–Хилларда не ставится проблема согласования вида и характера зависимости коэффициента K от концентрации. Для регулярного раствора они полагают K = const, но не обсуждают его связь с энергией смешения EA = EB.
Данная непоследовательность устранена в нашем подходе [13]. В нем мы ограничиваемся введением единственного параметра, характеризующего атомную структуру – Λ, что позволяет в замкнутой форме, оставаясь в рамках термодинамики, описать свойства двойных сплавов замещения через задание концентрационной зависимости плотности их свободной энергии в однородном состоянии.
ОСНОВНЫЕ РАСЧЕТНЫЕ ФОРМУЛЫ
Используя правую часть выражения (1) и последующее разложение по , получаем уравнение . Поделив его на , умножив на и проинтегрировав по координате, в предположении, что параметр Λ не зависит от состава, приходим к уравнению:
(7)
где введена потенциальная функция U(c), W – аналог энергии E с точностью до множителя. Для регулярного раствора и , и уравнение (7) приводится к виду:
(8)
Это уравнение повторяет результат Кана–Хилларда (6) с двумя уточнениями: 1) как и должно быть для модели регулярного раствора, коэффициент при производной – постоянная величина, выраженная через энергию смешения EA, и 2) плотность свободной энергии имеет тот вид, который она должна иметь для регулярного раствора.
Полное совпадение вида уравнения (7) с вариантом Кана и Хилларда (6) возникает для случая, который мы назовем “моделью квазирегулярного раствора”. Этой модели соответствует замена в знаменателе подынтегрального выражения для U(c) величины на ее среднее по интервалу концентраций . Тогда для распределения состава вместо (7) получаем уравнение:
(9)
совпадающее с уравнением Кана и Хилларда (6) с точностью до обозначений. Отличие заключается в том, что установлена связь коэффициента при квадрате производной с видом f(c) и единственным микроскопическим параметром теории Λ. Как и уравнение (6), это соотношение согласуется с подходом Гиббса к определению равновесных пределов растворимости.
Предложенный в [13] подход был использован нами для описания механизма распада диффузной межфазной границы под воздействием потока вакансий и интерпретации экспериментальных данных [14–16], полученных при механосплавлении порошков чистых металлов. Также на его основе было проведено сравнение равновесных пределов растворимости и параметров межфазной границы, рассчитанных в модели квазирегулярного раствора и в произвольной термодинамической модели [17, 18]. В настоящей работе подход [13] использован для построения распределения состава по глубине межфазной границы двойных сплавов замещения.
При определенных значениях постоянных EA,B и температуры график потенциальной функции U(c) имеет три экстремума – два максимума и один минимум. В этом случае могут реализоваться три возможных типа решений уравнения (7). Характер решения зависит от выбора значений постоянных μL и W.
Возможный вид решений уравнения такого типа рассмотрел Хачатурян при анализе концентрационных волн в сплавах [19]. Его анализ повторен при описании механизма распада диффузной межфазной границы [13] и расчете параметров бинодали [17].
Могут существовать: 1) периодические пространственные волны – при значениях μL и W, когда прямая W = const пересекает график U(c) в двух точках, 2) решения в форме уединенного солитона – при касании прямой W = const графика U(c) в точке максимума и пересечении ей графика U(c) в другой точке и 3) решение в виде сглаженной ступени – при μL = μе, когда в точках максимумов потенциальной функции выполнено условие и при , когда прямая W = const касается графика U(c) в точках максимумов.
Нас интересует только последний тип решений, поскольку именно ему соответствует наличие межфазной границы. Вид потенциальной функции и отвечающее ему распределение состава для этого случая схематически показаны на рис. 1.
Рис. 1. Вверху график потенциальной функции для равновесного распределения состава внизу распределение состава (μL = μе), U(c1) = U(c2) по нормали к межфазной границе c(x).
Значения концентраций в точках касания c1,2 – это значения равновесных пределов растворимости, cinf – значение концентрации в точке перегиба профиля c(x), которой соответствует минимум потенциальной функции U(c).
Из равенства и вида потенциальной функции (7) нетрудно получить значение μL, соответствующее равновесию двух фаз в бесконечном в обе стороны от границы образце:
. (10)
Точки экстремумов потенциальной функции U(c) определены условием , поэтому значения c1,2 и cinf должны удовлетворять уравнению:
. (11)
Уравнения (10) и (11) позволяют определить c1,2, cinf и μе.
Принимая модель квазирегулярного раствора находим:
. (12)
Верхний индекс G указывает на то, что именно в случае квазирегулярного раствора выполняется построение Гиббса для определения равновесных пределов растворимости. Отметим, что соотношение (12) – это запись правила равных площадей Максвелла, для бинарного твердого раствора. Оно выражено как разность свободных энергий гомогенных фаз, отнесенная к разности значений равновесных концентраций в фазах сплава, то есть, как “удельная” свободная энергия. Теперь соотношение (10), можно интерпретировать как средневзвешенную “удельную” свободную энергию, вычисленную с весом .
Отклонение от правила равных площадей Максвелла и отклонение равновесных пределов растворимости от их значений по Гиббсу оказываются тесно связанными между собой. Эти отклонения удобно охарактеризовать величиной:
(13)
Форму распределения состава (рис. 2) можно охарактеризовать двумя параметрами: шириной межфазной границы H и степенью асимметрии As.
Рис. 2. Распределение состава по нормали к межфазной границе.
Для регулярного раствора вид кривой U(c) симметричен относительно c = 0.5, а у соответствующей кривой c(x) точка перегиба – это точка инверсии графика. В результате, для него площадь между кривой c(x) и прямой c2 до точки перегиба равна площади между кривой c(x) и прямой c1 после точки перегиба. Соответственно, равны и площади треугольников S2 = S1. В случае квазирегулярного раствора, и в общем случае форма межфазной границы деформируется. Для характеристики степени деформации можно использовать выражение:
, (14)
где S1,2 – площади прямоугольных треугольников, образуемых касательной в точке перегиба и прямыми, параллельными осям координат (рис. 2). Площади треугольников S1,2 вычисляются по значениям c1,2,inf и наклону касательной к графику кривой c(x) в точке перегиба.
В качестве второй характеристики формы межфазной границы используем ее ширину, оцениваемую параметром H (см. рис. 2), который определяется наклоном касательной в точке перегиба профиля концентрации. Это приведет к некоторому отличию результатов от значений ширины межфазной границы, рассчитанных в работе [18], где наклон касательной к графику c(x) оценивался не в точке перегиба графика, а в точке с концентрацией, равной . Градиент в точке перегиба задает величину тангенса угла между касательной к графику c(x) и осью Ox. Его можно найти из выражений (7). Для обратной величины получаем:
(15)
При выводе этого выражения учтено, что равновесное распределение состава реализуется когда прямая W = const касается графика U(c) в точках двух максимумов и, следовательно, . Для ширины межфазной границы получаем:
(16)
Для регулярного раствора , и . Выражение (14) может применяться для описания степени деформации профиля распределения состава как в общем случае, так и для модели квазирегулярного раствора.
ЗАВИСИМОСТЬ ПАРАМЕТРОВ МЕЖФАЗНОЙ ГРАНИЦЫ ОТ EA/EB
В качестве основы для анализа влияния параметров концентрационной зависимости объемной плотности свободной энергии возьмем сплав Fe–Cu с ГЦК-решеткой. Коэффициенты концентрационной зависимости для этого сплава EA = 54 124 Дж/моль и EB = 42 288 Дж/моль приведены в работе [5].
Нашей задачей является изучение зависимости параметров межфазной границы от вариации коэффициентов эффективной энергии смешения EA,B. Изменение их величины приводит к вариации интервала значений и отклонению поведения сплава от модели квазирегулярного раствора. При , что соответствует модели регулярного раствора. При увеличении разницы между EA и EB сплав отклоняется от модели регулярного раствора и одновременно растет различие значений параметров межфазной границы, рассчитанных в рамках модели квазирегулярного раствора (9) и в общем случае согласно уравнению (7).
При варьировании величин EA и EB необходимо учитывать, что при определенном соотношении их значений производная обращается в ноль, что не позволяет использовать выражение для потенциальной функции (7). Мы ограничимся интервалами значений EA и EB, для которых не меняет знак во всем диапазоне концентраций. Будем рассматривать два варианта: а) зафиксируем величину EA = 54 124 Дж/моль и проварьируем значение второго коэффициента EB в пределах от 27 062 Дж/моль до 54 124 Дж/моль с шагом 1804 Дж/моль и б) зафиксируем величину EB = 27 062 Дж/моль и проварьируем значение второго коэффициента EA в пределах от 27 062 Дж/моль до 54 124 Дж/моль с шагом 1804 Дж/моль. В первом случае максимальному значению параметра EB = 54 124 Дж/моль соответствует модель регулярного раствора, а при его минимальном значении 27 062 Дж/моль обеспечивается максимальное отличие параметров межфазной границы при расчете на основе модели квазирегулярного раствора от их величин при расчете на основе уравнения (7). Во втором случае минимальному значению параметра EA = 27 062 Дж/моль соответствует модель регулярного раствора, а при его наибольшем значении 54 124 Дж/моль свойства сплава максимально отличаются при расчете для модели квазирегулярного раствора от расчета на основе уравнения (7).
На рис. 3 приведена зависимость разности равновесных значений величин химических потенциалов , рассчитанных для общего случая (2) – μe и в модели квазирегулярного раствора – от отношения EB / EA.
Рис. 3. Зависимость разности Δμ = μe − равновесных значений химических потенциалов, рассчитанных для общего случая (7) и в модели квазирегулярного раствора (9), от отношения EB /EA при постоянном ЕА=54 124 Дж/моль.
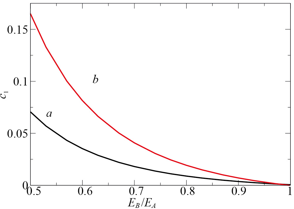
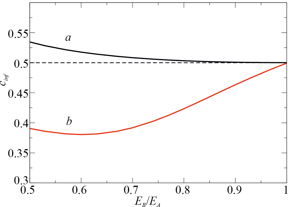
На рис. 4–7 приведены зависимости от отношения EA/EB величин, характеризующих межфазную границу при постоянном значении ЕА=54 124 Дж/моль, рассчитанные в модели квазирегулярного раствора и согласно общему подходу, опирающемуся на уравнения (7). На всех рисунках кривые a рассчитаны в модели квазирегулярного раствора (9), кривые b – для общего случая, описываемого уравнением (7).
Рис. 4. Зависимость равновесного предела растворимости компонента A от отношения EB /EA. Кривая a – расчет в модели квазирегулярного раствора (9), кривая b – расчет по уравнению (7).
Рис. 5. Зависимость ширины межфазной границы H от отношения EB /EA. Кривая a – расчет в модели квазирегулярного раствора (9), кривая b – расчет по уравнению (7).
Рис. 6. Зависимость положения точки перегиба профиля CA(x) от отношения EB /EA. Кривая a –расчет в модели квазирегулярного раствора (9), кривая b – расчет по уравнению (7).
Рис. 7. Зависимость степени деформации межфазной границы As от отношения EB / EA. Кривая a – расчет в модели квазирегулярного раствора (9), кривая b – расчет по уравнению (7).
В табл. 1 приведены зависимости тех же величин, что и на рис. 3–7, от отношения EA /EB, но при фиксированном EB=27 063 Дж/моль и варьируемой величине EA.
Таблица 1. Зависимость параметров, характеризующих межфазную границу, от отношения EA/EB при постоянном значении EB=27 063 Дж/моль
EA/BE | μe, Дж/моль | μe−μeG, Дж/моль | c1G | c1 | cinfG | cinf | c2G | c2 | HG, нм | H, нм | ASG | AS |
1.00 | 0 | 0 | 0.051 | 0.051 | 0.500 | 0.500 | 0.949 | 0.949 | 3.992 | 3.992 | 0.000 | 0.000 |
1.07 | 700 | 400 | 0.052 | 0.056 | 0.507 | 0.489 | 0.962 | 0.964 | 3.867 | 3.872 | −0.031 | 0.026 |
1.13 | 1400 | 800 | 0.053 | 0.061 | 0.512 | 0.479 | 0.972 | 0.975 | 3.742 | 3.779 | −0.061 | 0.048 |
1.20 | 2200 | 1300 | 0.054 | 0.067 | 0.517 | 0.467 | 0.979 | 0.982 | 3.637 | 3.713 | −0.088 | 0.074 |
1.27 | 3000 | 1800 | 0.055 | 0.074 | 0.521 | 0.456 | 0.984 | 0.987 | 3.544 | 3.666 | −0.113 | 0.100 |
1.33 | 3800 | 2200 | 0.057 | 0.081 | 0.521 | 0.445 | 0.988 | 0.991 | 3.468 | 3.632 | −0.130 | 0.125 |
1.40 | 4600 | 2700 | 0.058 | 0.089 | 0.525 | 0.436 | 0.991 | 0.994 | 3.395 | 3.609 | −0.151 | 0.150 |
1.47 | 5300 | 3000 | 0.060 | 0.096 | 0.525 | 0.430 | 0.993 | 0.995 | 3.337 | 3.578 | −0.165 | 0.168 |
1.53 | 6100 | 3500 | 0.061 | 0.105 | 0.528 | 0.421 | 0.995 | 0.997 | 3.284 | 3.571 | −0.182 | 0.194 |
1.60 | 6800 | 3900 | 0.061 | 0.112 | 0.530 | 0.416 | 0.996 | 0.998 | 3.224 | 3.550 | −0.198 | 0.213 |
1.67 | 7500 | 4200 | 0.063 | 0.119 | 0.530 | 0.411 | 0.997 | 0.998 | 3.183 | 3.534 | −0.208 | 0.232 |
1.73 | 8200 | 4600 | 0.064 | 0.126 | 0.532 | 0.407 | 0.998 | 0.999 | 3.138 | 3.521 | −0.220 | 0.252 |
1.80 | 8900 | 4900 | 0.066 | 0.133 | 0.532 | 0.402 | 0.998 | 0.999 | 3.105 | 3.512 | −0.228 | 0.272 |
1.87 | 9600 | 5300 | 0.066 | 0.140 | 0.534 | 0.398 | 0.999 | 0.999 | 3.072 | 3.506 | −0.239 | 0.293 |
1.93 | 10300 | 5600 | 0.068 | 0.147 | 0.533 | 0.394 | 0.999 | 0.999 | 3.039 | 3.503 | −0.245 | 0.313 |
2.00 | 11000 | 6000 | 0.069 | 0.155 | 0.535 | 0.390 | 0.999 | 1.000 | 3.006 | 3.505 | −0.254 | 0.334 |
ОБСУЖДЕНИЕ РЕЗУЛЬТАТОВ
Из приведенной на рис. 3 зависимости следует, что при EA = const изменение отношения EB / EA от единицы до двух приводит к монотонному росту от нуля до 6000 Дж/моль разности равновесных значений химических потенциалов , рассчитанных для общего случая (7) и в модели квазирегулярного раствора (9). При этом во всем интервале отношений EB / EA равновесный химический потенциал для общего случая более чем в два раза превышает его значение, рассчитанное в модели квазирегулярного раствора. По-видимому, эта закономерность имеет общий характер, что следует из данных о зависимости Δμ от отношения EA / EB при EB = const приведенных в табл. 1. Таким образом, использование модели квазирегулярного раствора приводит к занижению энергии образования межфазной границы.
Различие в энергетических характеристиках между моделью квазирегулярного раствора (9) и расчетами в рамках общей модели уравнения (7) приводит к соответствующему отклонению физических характеристик межфазной границы. Так, из рис. 4 видно, что равновесный предел растворимости компонента A, полученный с учетом зависимости от состава величины , приблизительно вдвое больше соответственного значения, определенного в модели квазирегулярного раствора. Такое же поведение наблюдается у равновесного предела растворимости второго компонента, но диапазон его изменения значительно уже, и различие полученных в разных моделях величин невелико. Аналогичный вывод относительно поведения равновесных пределов растворимости следует из данных табл. 1, полученных при EB = const. Напомним, значения пределов растворимости в модели квазирегулярного раствора совпадают с величинами, получаемыми в подходе Гиббса.
Существенно меньшая зависимость от выбора модели наблюдается у параметра, характеризующего ширину межфазной границы: отношение ширины границы, рассчитанной в общем случае, к ее ширине в модели квазирегулярного раствора, не превышает 1.163 (см. рис. 6 и табл. 1).
Качественное и количественное различие в описании межфазной границы возникает при вычислении положения точки перегиба профиля c(x) в зависимости от отношения EA / EB, опосредованно задающего величину разности химических потенциалов . Для обеих моделей увеличение этой разности приводит к увеличению отклонения положения на оси концентраций точки перегиба профиля c(x) от ее положения для регулярного раствора . При этом отклонение в модели квазирегулярного раствора заключается в увеличении cinf, а при расчете в рамках общей модели наблюдается противоположный эффект – уменьшение значения cinf (см. рис. 6 и таблицу 1). Еще более контрастно этот эффект зависимости искажения формы профиля от выбора модели проявляется для параметра, характеризующего асимметрию распределения состава As. Этот параметр имеет разные знаки: в модели квазирегулярного раствора он отрицателен, а в общей модели положителен. Его величина при отклонении от модели регулярного раствора в первом случае монотонно меняется от нуля до As = −0.254, а во втором – от нуля до As = 0.334 (см. рис. 7 и табл. 1).
ВЫВОДЫ
На основе предложенного ранее в работах [13, 17, 18] термодинамического подхода и модели квазирегулярного раствора показано следующее.
Смещение положения бинодали от ее положения, определенного в подходе Гиббса или согласно модели квазирегулярного раствора, прямо связано с отклонением от правила равных площадей Максвелла. При этом изменение равновесных пределов растворимости могут быть одного с ними порядка. Применение модели Кана–Хилларда и подхода Гиббса приводит к систематическому занижению равновесных пределов растворимости.
Оценки ширины межфазной границы на базе модели квазирегулярного раствора и на основе более общего подхода, учитывающего зависимость избыточного химического потенциала от состава, близки (их отношение не превосходит 1.17). При этом качественная зависимость ширины границы от параметров свободной энергии сплава одинакова для общей модели и модели квазирегулярного раствора.
Зависимости положения точки перегиба кривой распределения состава внутри межфазной границы, а также степени ее асимметрии от параметров свободной энергии качественно различны для модели квазирегулярного раствора и общей модели. На примере модельного сплава получено, что для квазирегулярного раствора максимальная степень асимметрии доходит до –0.25, а в общей модели она имеет другой знак и величину до +0.33.
Качественный вид кривой распределения состава поперек межфазной границы в двойном сплаве замещения может быть основой для экспериментального решения вопроса о выборе термодинамической модели при использовании предложенного в данной работе подхода.
Работа выполнена в рамках государственного задания МИНОБРНАУКИ России (тема “Квант”, регистрационный №122021000038-7).
Авторы данной работы заявляют, что у них нет конфликта интересов.
About the authors
V. L. Gapontsev
Russian State Professional and Pedagogical University
Author for correspondence.
Email: vlgap@mail.ru
Russian Federation, Ekaterinburg, 620143
A. V. Gapontsev
M.N. Miheev Institute of Metal Physics of Ural Branch of Russian Academy of Sciences
Email: vlgap@mail.ru
Russian Federation, Ekaterinburg, 620108
V. V. Gapontsev
M.N. Miheev Institute of Metal Physics of Ural Branch of Russian Academy of Sciences
Email: vlgap@mail.ru
Russian Federation, Ekaterinburg, 620108
References
- Гиббс Дж. В. Термодинамические работы / Пер. с англ. М., Л.: Гостехиздат, 1950. 492 с.
- Кристиан Дж. Теория превращений в металлах и сплавах. М.: Мир, 1978. 806 с.
- Лоренц Г.А. Лекции по термодинамике. Ижевск: НИЦ “Регулярная и хаотическая динамика”, 2001. 176 с.
- Kaufman L., Nesor H. Coupled phase diagrams and thermochemical data for transition metal binary systems. Ch. I // CALPHAD. 1978. V. 2. № 1. P. 55–80.
- Kaufman L., Nesor H. Coupled phase diagrams and thermochemical data for transition metal binary systems. Ch. II // CALPHAD. 1978. V. 2. № 1. P. 81–108.
- Kaufman L., Nesor H. Coupled phase diagrams and thermochemical data for transition metal binary systems. Ch. III // CALPHAD. 1978. V. 1, 2. № 2. P. 117–146.
- Kaufman L., Nesor H. Coupled phase diagrams and thermochemical data for transition metal binary systems. Ch. IV // CALPHAD. 1978. V. 2. № 4. P. 295–318.
- Cahn J.W., Hillard J.E. Free Energy of a Nonuniform System. I. Interfacial Free Energy // J. Chem. Phys. 1958. V. 28. № 2. P. 1121–1124.
- Cahn J.W. Free Energy of a Nonuniform System. II. Thermodynamic Basis // J. Chem. Phys. 1959. V. 30. № 5. P. 258–267.
- Cahn J.W., Hillard J.E. Free Energy of a Nonuniform System. III. Nucleation in a Two-Component Incompressible Fluid // J. Chem. Phys. 1959. V. 31. № 3. P. 688–699.
- Hart E.W. Thermodynamics of Inhomogeneous Systems // Phys. Rev. 1959. V. 113. № 2. P. 412–416.
- Разумов И.К. Спинодальный распад сплава с сильной концентрационной зависимостью коэффициента взаимной диффузии // ФТТ. 2022. T. 64. Вып. 1. C. 19–24.
- Гапонцев В.Л., Селезнев В.Д., Гапонцев А.В. Распад равновесной межфазной границы в сплавах замещения при механосплавлении // ФММ. 2017. Т. 118. № 7. С. 665–678.
- Czubayko U., Wanderka N., Naundorf V., Ivchenko V.A., Yermakov A. Ye., Uimin M.A., Wollenberg H. Characterization of nanoscaled heterogeneities in mechanically alloyed and compacted Cu–Fe // Mater. Sci. Forum. 2000. V. 343–346. P. 709–714.
- Ivchenko V.A., Uimin M.A., Yermakov A. Ye., Korobeinikov A. Yu. Atomic Structure and Magnetic Properties of Cu80Co20 Nanocrystalline Compounds Produced by Mechanical Alloying // Surf. Sci. 1999. V. 40. № 3. P. 420–428.
- Costa B.F.O., Le Caër G., Luyssaert B. Mőssbauer studies of phase separation in nanocrystalline alloys prepared by mechanical alloying // J. Alloys Compounds. 2003. V. 350. № 1. P. 36–46.
- Гапонцев В.Л., Гапонцев А.В., Кондратьев В.В. Определение положения бинодали бинарного сплава на основе гипотезы слабой нелокальности // ФММ. 2019. Т. 120. № 12. С. 1264–1270.
- Гапонцев В.Л., Гапонцев А.В., Гапонцев В.В., Кондратьев В.В. Определение параметров межфазной границы в гетерогенных бинарных сплавах на основе гипотезы слабой нелокальности // ФММ. 2021. Т. 122. № 1. С. 31–37.
- Хачатурян А.Г. Теория фазовых превращений и структура твердых растворов. М.: Наука, 1974. 384 с.
Supplementary files









