Optical resonators based on vanadium dioxide gradient films
- Authors: Syrov A.A.1, Lyashko S.D.1, Kudryashov A.L.1, Nauhatsky I.A.1, Berzhansky V.N.1, Tomilin S.V.1
-
Affiliations:
- V. I. Vernadsky Crimean Federal University
- Issue: Vol 125, No 12 (2024)
- Pages: 1494-1500
- Section: ЭЛЕКТРИЧЕСКИЕ И МАГНИТНЫЕ СВОЙСТВА
- URL: https://journal-vniispk.ru/0015-3230/article/view/283741
- DOI: https://doi.org/10.31857/S0015323024120049
- EDN: https://elibrary.ru/IJLPFM
- ID: 283741
Cite item
Abstract
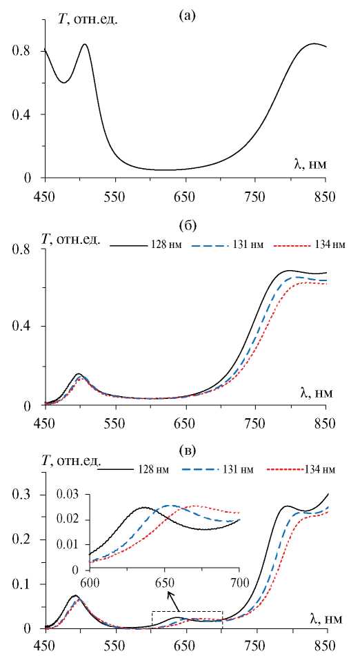
The article presents experimental results of the synthesis and study of thin films of polycrystalline vanadium dioxide (VO2), as well as multilayer optoresonance structures based on them. The role of the influence of thermal annealing on the structural, electrical and optical properties of VO2 films is shown. Based on these films, photonic crystal heterostructures were fabricated, in which excitation of optical resonance modes of the Fabry–Perot type is observed. A study of the optical transmission of such a structure showed that the spectral position of the Fabry–Perot mode can be controlled by varying the thickness of the VO2 gradient optical layer. It is shown that the first-order semiconductor-metal phase transition, which occurs in VO2 films and is accompanied by a change in their electrical conductivity by 3–5 orders of magnitude, leads to a change in the optical parameters of both the films themselves and multilayer optoresonance structures.
Full Text
About the authors
A. A. Syrov
V. I. Vernadsky Crimean Federal University
Author for correspondence.
Email: anatoly199824@rambler.ru
Russian Federation, Simferopol
S. D. Lyashko
V. I. Vernadsky Crimean Federal University
Email: anatoly199824@rambler.ru
Russian Federation, Simferopol
A. L. Kudryashov
V. I. Vernadsky Crimean Federal University
Email: anatoly199824@rambler.ru
Russian Federation, Simferopol
I. A. Nauhatsky
V. I. Vernadsky Crimean Federal University
Email: anatoly199824@rambler.ru
Russian Federation, Simferopol
V. N. Berzhansky
V. I. Vernadsky Crimean Federal University
Email: anatoly199824@rambler.ru
Russian Federation, Simferopol
S. V. Tomilin
V. I. Vernadsky Crimean Federal University
Email: anatoly199824@rambler.ru
Russian Federation, Simferopol
References
- Силантьев А.В. Влияние деформации на энергетический спектр и оптические свойства фуллерена C20 в модели Хаббарда // ФММ. 2018. Т. 119. Вып. 6. С. 541–549.
- Махнев А.А., Номерованная Л.В. Анизотропия оптических свойств гексагональных манганитов RMnO3 (R = Ho, Er, Tm, Yb) // ФММ. 2013. Т. 114. Вып. 11. С. 988–996.
- Кодесс Б.Н., Сидоренко Ф.А. Анизотропия магнитной восприимчивости силицида V3Si // Физика металлов и металловедение. 2021. Т. 122. Вып. 4. С. 370–376.
- Старостенко С.Н., Розанов К.Н., Лагарьков А.Н. Электрические и магнитные свойства “модели смешения бинарных гетерогенных систем” // ФММ. 2021. Т. 122. Вып. 4. С. 347–369.
- Sangwook L., Kedar H., Fan Y., Jiawang H., Changhyun K., Joonki S., Kai L., Kevin W., Jeffrey U.J. Anomalously low electronic thermal conductivity in metallic vanadium dioxide // Science. 2017. V. 355. P. 371–374.
- Мутилин С.В., Гайдук А.Е., Яковкина Л.В., Комонов А.И., Соотс Р.А., Капогузов К.Е., Голод С.В., Принц В.Я. Электрические и оптические переключения в наноструктурах диоксида ванадия, декорированных наночастицами золота // Сибирский физич. журнал. 2023. Т. 18. Вып. 3. С. 71–82.
- Ilinskiy A.V., Nikulin E.I., Shadrin E.B. Comparative analysis of semiconductor-metal phase transition mechanisms in vanadium oxides (V2O3 and VO2) // Physics of Complex Systems. 2020. V. 1 (3). Р. 113–122.
- Неустроев И.Д., Легкова Т.К., Цымбалюк А.А., Комлев А.Е. Тонкие пленки диоксида ванадия для применения в СВЧ-ключах с электрическим управлением // Изв. вузов. Радиоэлектроника. 2023. T. 26. Вып. 3. С. 48–57.
- Кузьмин Д.А., Усик М.О., Бычков И.В., Вахитов М.Г., Клыгач Д.С. Отражение СВЧ-волн от слоя композита VO2–SiO2 в окрестности фазового перехода // Челябинский физико-математический журнал. 2023. T. 8. Вып. 2. С. 271–279.
- Cueff S., John J., Zhang Zh., Parra J., Sun J., Orobtchouk R., Ramanathan Sh., Sanchis P. VO2 nanophotonics // APL Photon. 2020. V. 5. P. 110901.
- Cakir M.C., Kocer H., Durna Y., Yildirim D.U., Ghobadi A., Hajian H., Aydin K., Kurt H., Saglam N., Ozbay E. Unveiling the optical parameters of vanadium dioxide in the phase transition region: a hybrid modeling approach // RSC Advances. 2020. V. 10. P. 29945.
- Grandi F., Amaricci A., Fabrizio M. Unraveling the Mott-Peierls intrigue in vanadium dioxide // Phys. Rev. Research. 2020. V. 2. P. 013298.
- Алиев Р.А., Андреев В.Н., Капралова В.М., Климов В.А., Соболев А.И., Шадрин Е.Б. Влияние размера зерен на фазовый переход металл–полупроводник в тонких поликристаллических пленках диоксида ванадия // ФТТ. 2006. Т. 48. Вып. 5. С. 874–879.
- Gnawali R., Haus J.W., Reshetnyak V., Banerjee P.P., Evans D.R. Optical properties of titanium dioxide — vanadium dioxide multilayer thin-film structures // IEEE Research and Applications of Photonics In Defense Conference. 2018. Р. 91–92.
- Певцов А.Б., Грудинкин С.А., Поддубный А.Н., Каплан С.Ф., Курдюков Д.А., Голубев В.Г. Переключение фотонной запрещенной зоны в трехмерных пленочных фотонных кристаллах на основе композитов опал − VO2 в спектральной области 1.3 − 1.6 мкм // Физика и техника полупроводников. 2010. Т. 44. Вып. 12. С. 1585–1590.
- Scotognella F. Vanadium oxide metal-insulator phase transition in different types of one-dimensional photonic microcavities // Front. Photonics. 2023. V. 4. Р. 1081521.
- Bruckner W., Opperman H., Reichelt W.F., Terukov E.I., Tschudnovskii F.A. Vanadium Dioxide. Berlin: Akademie-Verlag, 1994. V. 1983. 252 p.
- Ho D.J., Seob H.S., Hee K.K., Woo J.P., Hosun L. Electrical and optical properties of VO2 thin films grown on various sapphire substrates by using RF sputtering deposition // Journal of the Korean Physical Society. 2016. V. 69 (12). Р. 1787–1797.
- Tomilin S.V., Berzhansky V.N., Yanovsky A.S., Tomilina O.A. Features of the Electrical Conductivity of Fe, Ni, Ti, and Pt Nanoisland Films: Hysteresis and Ion-Field Processes // J. Surf. Investigation: X-ray, Synchrotron and Neutron Techniques. 2016. V. 10 (4). P. 868.
Supplementary files







