Закономерности и особенности поведения электрических и магнитных свойств полуметаллических ферромагнитных сплавов гейслера Co2FeZ (Z = Al, Si, Ga, Ge, Sn, Sb)
- Авторы: Перевозчикова Ю.А.1, Ирхин В.Ю.1, Семянникова А.А.1, Марченков В.В.1
-
Учреждения:
- Институт физики металлов им. М.Н. Михеева УрО РАН
- Выпуск: Том 125, № 12 (2024)
- Страницы: 1589-1598
- Раздел: ЭЛЕКТРИЧЕСКИЕ И МАГНИТНЫЕ СВОЙСТВА
- URL: https://journal-vniispk.ru/0015-3230/article/view/283811
- DOI: https://doi.org/10.31857/S0015323024120111
- EDN: https://elibrary.ru/IIHLPS
- ID: 283811
Цитировать
Аннотация
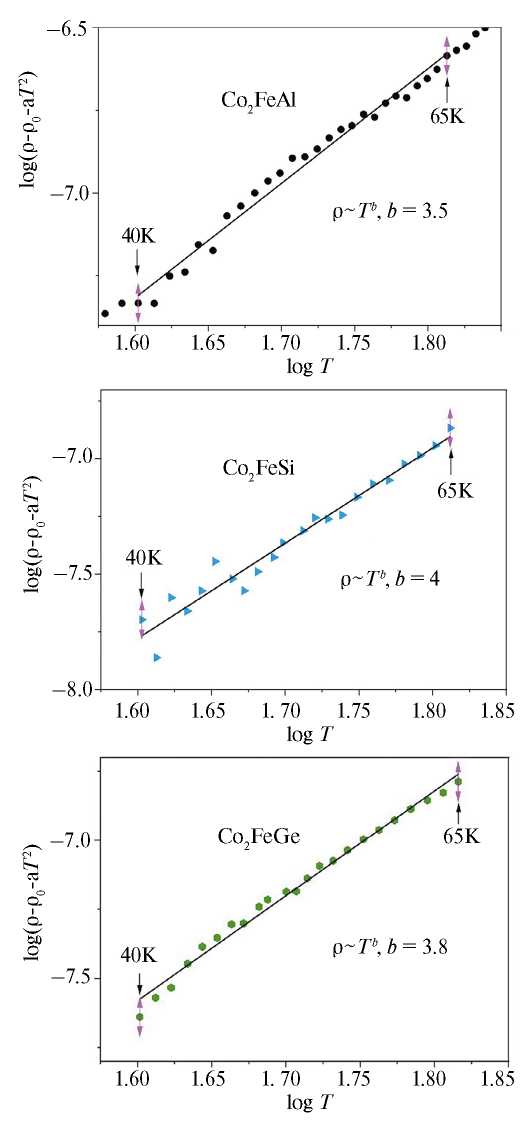
Исследованы электросопротивление, намагниченность и эффект Холла в ферромагнитных сплавах Гейслера Co2FeZ (Z = Al, Si, Ga, Ge, Sn, Sb). Выявлено, что между электронными и магнитными характеристиками изученных сплавов существует ряд корреляций, проявляющихся при изменении атомного номера Z-компоненты. Для сплавов Co2FeAl и Co2FeSi, которые являются полуметаллическими ферромагнетиками, величина намагниченности согласуется с правилом Слэтера–Полинга. Для соединений Co2FeAl, Co2FeSi и Co2FeGe имеет место квадратичная температурная зависимость электросопротивления при температурах ниже 30 K и выше 65 К, а в области промежуточных температур (от 40 K до 65 K) наблюдается степенная зависимость ~T b с показателем 3.5 ≤ b ≤ 4, что может быть обусловлено двухмагнонными процессами рассеяния.
Полный текст
Об авторах
Ю. А. Перевозчикова
Институт физики металлов им. М.Н. Михеева УрО РАН
Автор, ответственный за переписку.
Email: yu.perevozchikova@imp.uran.ru
Россия, Екатеринбург
В. Ю. Ирхин
Институт физики металлов им. М.Н. Михеева УрО РАН
Email: yu.perevozchikova@imp.uran.ru
Россия, Екатеринбург
А. А. Семянникова
Институт физики металлов им. М.Н. Михеева УрО РАН
Email: yu.perevozchikova@imp.uran.ru
Россия, Екатеринбург
В. В. Марченков
Институт физики металлов им. М.Н. Михеева УрО РАН
Email: march@imp.uran.ru
Россия, Екатеринбург
Список литературы
- Марченков В.В., Ирхин В.Ю. Полуметаллические ферромагнетики, спиновые бесщелевые полупроводники и топологические полуметаллы на основе сплавов Гейслера: теория и эксперимент // ФММ. 2021. Т. 122. № 12. С. 1221–1246.
- Marchenkov V.V., Irkhin V.Yu., Semiannikova A.A. Unusual kinetic properties of usual Heusler alloys // J. Supercond. Novel Magn. 2022. V. 35. P. 2153–2168.
- Hirohata A., Lloyd D.C. Heusler alloys for metal spintronics // MRS Bulletin. 2022. V. 47. P. 593–599.
- Elphick K., Frost W., Samiepour M., Kubota T., Takanashi K., Sukegawa H., Mitani S., Hirohata A. Heusler alloys for spintronic devices: review on recent development and future perspectives // STAM. 2021. V. 22. № 1. P. 235–271.
- Marchenkov V.V., Irkhin V.Yu. Magnetic states and electronic properties of manganese-based intermetallic compounds Mn2YAl and Mn3Z (Y = V, Cr, Fe, Co, Ni; Z = Al, Ge, Sn, Si, Pt) // Materials. 2023. V. 16. № 19. P. 6351.
- Semiannikova A.A., Perevozchikova Yu.A., Irkhin V.Yu., Marchenkova E.B., Korenistov P.S., Marchenkov V.V. Electronic, magnetic and galvanomagnetic properties of Co-based Heusler alloys: possible states of a half-metallic ferromagnet and spin gapless semiconductor // AIP Adv. 2021. V. 11. P. 015139.
- Sunmonu R.S., Akinlami J.O., Dare E.O., Adebayo G.A. Effects of Y atom substitution on the structural, magnetic, electronic, elastic, mechanical, thermodynamic and thermoelectric properties of Co2YAl (Y = Cr, Mn) full Heusler alloys from first principles investigations // Comp. Condensed Matter. 2019. V. 21. P. e00412.
- Fadila B., Ameri M., Bensaid D., Noureddine M., Ameri I., Mesbah S., Al-Douri Y. Structural, magnetic, electronic and mechanical properties of full-Heusler alloys Co2YAl (Y = Fe, Ti): First principles calculations with different exchange-correlation potentials // JMMM. 2018. V. 448. P. 208–220.
- Amari S., Dahmane F., Bin Omran S., Doumi B., Yahiaoui I.E., Tadjer A., Khenata R. Theoretical investigation of the structural, magnetic and band structure characteristics of Co2FeGe1-xSix (x = 0, 0.5, 1) full-Heusler alloys // J. Korean Phys. Society. 2016. V. 69. № 9. P. 1462–1468.
- Siakeng L., Mikhailov G.M., Rai D.P. Electronic, elastic and X-ray spectroscopic properties of direct and inverse full Heusler compounds Co2FeAl and Fe2CoAl, promising materials for spintronic applications: a DFT+U approach // J. Mater. Chem. C. 2018. V. 6. P. 10341–10349.
- Irkhin V., Katsnelson M. Temperature dependences of resistivity and magnetoresistivity for half-metallic ferromagnets // Eur. Phys. J. B. 2002. V. 30. P. 481–486.
- Srinivas K., Raja M.M., Kamat S.V. Effect of partial substitution of silicon by other sp-valent elements on structure, magnetic properties and electrical resistivity of Co2FeSi Heusler alloys // J. Alloys Compd. 2015. V. 619. P. 177.
- Marchenkov V.V., Kourov N.I., Irkhin V.Yu. Half-metallic ferromagnets and spin gapless semiconductors // Phys. Met. Metallogr. 2018. V. 119. P. 1321.
- Bombor D., Blum C.G.F., Volkonskiy O., Rodan S., Wurmehl S., Hess C., Buchner B. Half-metallic ferromagnetism with unexpectedly small spin splitting in the Heusler compound Co2FeSi // PRL. 2013. V. 110. P. 066601.
- Umetsu R.Y., Okubo A., Fujita A., Kanomata T., Ishida K., Kainuma R. Spin wave-stiffness constants of half-metallic ferromagnets Co2YZ (Y = Cr, Mn, and Fe, Z = Ga, Al, and Si) Heusler alloys // IEEE Trans. Magn. 2011. V. 47. № 10. P. 2451–2454.
- Ram S., Kanchana V. Fermi surface studies of Co-based Heusler alloys: Ab-initio study // AIP Conf. Proceed. 2013. V. 1512. P. 1102–1103.
- Chico J., Keshavarz S., Kvashnin Y., Pereiro M., Di Marco I., Etz C., Eriksson O., Bergman A., Bergqvist L. First-principles studies of the Gilbert damping and exchange interactions for half-metallic Heuslers alloys // Phys. Rev. B. 2016. V. 93. P. 214439.
- Коуров Н.И., Марченков В.В., Перевозчикова Ю.А., Weber H.W. Роль особенностей электронной структуры в электросопротивлении зонных ферромагнетиков Co2FeZ (Z = Al, Si, Ga, Ge, In, Sn, Sb) // ФТТ. 2017. Т. 59. № 5. С. 878–882.
- Balke B., Wurmehl S., Fecher G.H., Felser C., Kübler J. Rational design of new materials for spintronics: Co2FeZ (Z=Al, Ga, Si, Ge) // STAM. 2008. V. 9. P. 014102.
- Kukusta D.A., Antonov V.N., Yaresko A.N. X-ray magnetic circular dichroism in Co2FeGa: First-principles calculations // Low Temp. Phys. 2011. V. 37. P. 684.
- Ahmadian F., Boochani A. Half-metallic properties of the Co2Ti1-xFexGa Heusler alloys and Co2Ti0.5Fe0.5Ga (001) surface // Physica B. 2011. V. 406. P. 2865–2870.
- Gao Q. Pressure-induced tunable magnetism and half-metallic stability in Co2FeGa Heusler alloy // Applied Mechanics and Materials. 2014. V. 477–478. P. 1303–1306.
- Varaprasad B.S.D.Ch.S., Srinivasan A., Takahashi Y.K., Hayashi M., Rajanikanth A., Hono K. Spin polarization and Gilbert damping of Co2Fe(GaxGe1-x) Heusler alloys // Acta Mater. 2012. V. 60. P. 6257–6265.
- Liu X.B., Altounian Z. Volume dependence of the exchange interaction and Curie temperature in Co2MGa (M = Ti and Fe): A first-principles study // J. Appl. Phys. 2011. V. 109. P. 07B108.
- Rai D.P., Shankar A., Sandeep, Ghimire M.P., Thapa R.K. A comparative study of a Heusler alloy Co2FeGe using LSDA and LSDA+U // Physica B. 2012. V. 407. P. 3689–3693.
- Kumar K.R., Bharathi K.K., Chelvane J.A., Venkatesh S., Markandeyulu G., Harishkumar N. First-principles calculation and experimental investigations on full-Heusler alloy Co2FeGe // IEEE Trans. Magn. 2009. V. 45. № 10. P. 3997–3999.
- Li T., Duan J., Yang C., Kou X. Synthesis, microstructure and magnetic properties of Heusler Co2FeSn nanoparticles // Micro and Nano Lett. 2013. V. 8. № 3. P. 143–146.
- Yadava E., Kumar S. Intrinsically dominated anomalous Hall effect in pulsed laser deposited epitaxial Co2MnGe ferromagnetic full Heusler alloy thin films // RSC Adv. 2023. V. 13. P. 30101.
- Zhang M., Bruck E., de Boer F.R., Li Z., Wu G. The magnetic and transport properties of the Co2FeGa Heusler alloy // J. Phys. D: Appl. Phys. 2004. V. 37. P. 2049–2053.
- Galanakis I. Slater–Pauling behavior in half-metallic Heusler compounds // Nanomaterials. 2023. V. 13. P. 2010.
- Ирхин В.Ю., Ирхин Ю.П. Электронная структура, физические свойства и корреляционные эффекты в d- и f-металлах и их соединениях. Екатеринбург: Изд-во УрО РАН, 2004. 472 с.
- Karthik S.V., Rajanikanth A., Nakatani T.M., Gercsi Z., Takahashi Y.K., Furubayashi T., Inomata K., Hono K. Effect of Cr substitution for Fe on the spin polarization of Co2CrxFe1-xSi Heusler alloys // J. Appl. Phys. 2007. V. 102. P. 043903.
- Makinistian L., Faiz M.M., Panguluri R.P., Balke B., Wurmehl S., Felser C., Albanesi E.A., Petukhov A.G., Nadgorny B. On the half-metallicity of Co2FeSi Heusler alloy: Point-contact Andreev reflection spectroscopy and ab initio study // Phys. Rev. B. 2013. V. 87. P. 220402(R).
Дополнительные файлы











