Исследование остаточных напряжений в стальных пластинах после дробеударной обработки методом дифракции нейтронов высокого пространственного разрешения
- Авторы: Карпов И.Д.1, Эм В.Т.1, Николаева Е.П.2, Сергеичев И.В.3, Волосков Б.С.3, Микула П.4
-
Учреждения:
- Национальный исследовательский центр “Курчатовский институт”
- Иркутский национальный исследовательский технический университет
- Сколковский институт науки и технологий, Центр технологий материалов
- Nuclear Physics Institute CAS
- Выпуск: Том 125, № 12 (2024)
- Страницы: 1675-1684
- Раздел: ПРОЧНОСТЬ И ПЛАСТИЧНОСТЬ
- URL: https://journal-vniispk.ru/0015-3230/article/view/283850
- DOI: https://doi.org/10.31857/S0015323024120208
- EDN: https://elibrary.ru/IHKWTC
- ID: 283850
Цитировать
Полный текст
Аннотация
Методом дифракции нейтронов с высоким пространственным разрешением (~0.2 мм) исследованы остаточные напряжения в пластинах из конструкционной легированной (Cr, Si, Mn) стали толщиной 5 мм после дробеударной обработки. Показано, что остаточные напряжения образуются не только вблизи обработанной поверхности, а по всей толщине пластины. Зоны сжимающих напряжений образуются вблизи обработанной и необработанной поверхностей пластин, а зона растягивающих напряжений — в средней части. Интенсивность дробеударной обработки влияет на ширину зон и величину максимальных напряжений. Проведены нейтронные эксперименты по измерению напряжений вблизи обработанной поверхности пластин с использованием метода sin2ѱ. Результаты согласуются с результатами, полученными традиционным методом измерения трех компонент деформации. Нейтронный метод sin2ѱ может быть использован для измерения напряжений вблизи поверхности образцов большой толщины, поскольку в отличие от традиционного метода не имеет принципиальных ограничений по толщине образца.
Ключевые слова
Полный текст
ВВЕДЕНИЕ
В результате дробеударной обработки на поверхности металлической детали образуются остаточные сжимающие напряжения, которые повышают прочность, коррозионную стойкость и стойкость к образованию трещин. Сжимающие напряжения вблизи поверхности должны компенсироваться растягивающими напряжениями на глубине в объеме материала. Надежная количественная информация о напряженно-деформированном состоянии в этих системах необходима для понимания процессов формирования остаточных напряжений в них, оптимизации параметров технологических процессов поверхностной обработки, верификации различных теоретических моделей формирования остаточных напряжений.
Рентгеновские исследования пластин после дробеударной обработки [1–3] показали, что сжимающие напряжения вблизи обработанной поверхности пластины резко уменьшаются с глубиной и переходят в растягивающие напряжения на глубине несколько сотен микрометров. Из-за слабой проникающей способности рентгеновских лучей в сталях рентгеновский метод позволяет измерить напряжения на поверхности и в приповерхностных слоях на глубине ~ 10 мкм [2]. Для измерения напряжений на больших глубинах используется рентгеновский метод с удалением слоев [2–4]. В этом методе для определения напряжений в каждом слое по глубине делается поправка на релаксацию напряжений, связанную с удалением предыдущего слоя [5]. Точность этого метода ухудшается с глубиной (с увеличением числа поправок), поэтому он не подходит для измерения распределения напряжений в объеме под слоем металла с сжимающими напряжениями.
По сравнению с рентгеновскими лучами нейтроны имеют гораздо большую проникающую способность в большинстве металлов (~40 мм в стали). Поэтому нейтронный метод, в принципе, позволяет напрямую измерить все три главные компоненты тензора деформации и рассчитать главные компоненты тензора напряжений в глубине образца [6]. В нейтронном методе две щели, установленные на падающем (ЩП) и отраженном (ЩО) нейтронных пучках, выделяют в образце сравнительно маленький пробный объем (ПО), от которого измеряется дифракция (рис. 1).
Рис. 1. Положение пробного объема (ПО) при: (а) полном и (б) частичном погружении в материал образца.
В работе [7] нейтронным методом изучали распределение напряжений в пластинах из разных материалов толщиной более 5 мм после дробеударной обработки разной интенсивности с использованием щелей шириной 1 мм (ПО = 1×1×25 мм3). Измерения на глубине 0.1–2.5 мм показали, что форма профиля распределения напряжений по глубине не зависит от материала и интенсивности обработки. Сжимающие напряжения вблизи обработанной поверхности уравновешиваются растягивающими напряжениями в более глубоких слоях. Максимальные растягивающие напряжения расположены на глубине 0.4–0.6 мм. Далее по глубине растягивающие напряжения уменьшаются и становятся близкими к нулю на глубине 2–2.5 мм. На глубине более 2.5 мм напряжения не измеряли.
При нейтронном исследовании остаточных напряжений вблизи поверхности с использованием широких (~1 мм) щелей необходимо вносить поправки, связанные с частичным погружением ПО в материал образца [8–9] (рис. 1). Были разработаны экспериментальные [8–10] и аналитические [11–12] методы учета таких поправок.
Другим методом измерения напряжений вблизи поверхности является использование узких щелей и измерение при полном погружении ПО в объем материала. В этом методе нет необходимости делать поправку на частичное погружение ПО, и высокое пространственное разрешение сохраняется по всей глубине. Недостаток в том, что все точки необходимо мерить с одним и тем же большим временем измерения. Так, в работе [13] c использованием узких (0.25 мм) щелей (пространственное разрешение ~0.25 мм) исследовалось распределение напряжений в пластине толщиной 2 мм из стали AISI 4140 после дробеударной обработки одновременно с двух сторон. Каждая точка измерялась примерно 1 час. Использование щелей 0.15 мм улучшило пространственное разрешение (~ 0.15 мм), но значительно увеличило время измерения.
Согласно [14], на специализированных нейтронных стресс-дифрактометрах нового поколения SALSA [15], STRESS-SPEC [16] и KOWARI [17] интенсивность нейтронного пучка достаточна для измерений со щелями шириной 0.1–0.2 мм при времени измерения 5–30 мин в зависимости от материала и размера ПО. С использованием щелей 0.1–0.2 мм были успешно исследованы распределения напряжений в покрытиях различной толщины из различных материалов на различных подложках [14, 18, 19].
При использовании узких щелей необходимо, чтобы щели были как можно ближе к ПО, чтобы уменьшить увеличение ПО, связанное с расходимостью нейтронных пучков, падающих на и отраженных от ПО [20]. Для щелей шириной 0.2 мм допустимое увеличение размеров пробного объема на 20% [20] достигается при расстоянии между ПО и щелями ~ 10 мм. Толщина образца, в котором можно измерить напряжения при таких расстояниях между ПО и щелями, ограничена (~7 мм). Использование радиальных коллиматоров позволяет увеличить расстояние между ПО и коллиматорами, однако при ПО ~0.2 мм потеря в интенсивности становится недопустимо высокой [20, 21].
Цель настоящей работы — исследовать распределение напряжений в сравнительно толстых пластинах (5 мм) из стали 30ХГСА после дробеударной обработки с высоким (~0.2 мм) пространственным разрешением по всей толщине от обработанной до необработанной поверхности.
При измерении вблизи поверхности (~0.2 мм) объем металла, отражающий нейтронный пучок, мал (менее 1 мм3), следовательно, интенсивность дифракционного пика мала. Поэтому независимо от ширины щелей или использования радиальных коллиматоров имеется другое ограничение по максимальной толщине образца (~10 мм), связанное с ослаблением интенсивности дифракционного пика при измерении компонент деформации в геометрии пропускания, когда нейтронный пучок проходит всю толщину образца.
Поэтому другой целью работы было исследовать возможность измерения остаточных напряжений вблизи поверхности после дробеударной обработки методом sin2ѱ, который применяется при измерении напряжений рентгеновским методом [1–3, 22, 23] и при измерении напряжений вблизи поверхности, не имеет принципиальных ограничений на толщину образца.
ОБРАЗЦЫ И МЕТОДИКА ЭКСПЕРИМЕНТА
Приготовление образцов. Образцы были приготовлены в Иркутском национальном исследовательском техническом университете по технологии, описанной в [3]. Две пластины размерами 110×55 мм и толщиной 5 мм из стали 30ХГСА (рис. 2) были обработаны на дробеметной установке контактного типа УДФ-4 шариками из стали ШХ15 диаметром 3.5 мм. Химический состав стали 30ХГСА представлен в табл. 1 (ГОСТ 4543–2016).
Таблица 1. Химический состав стали 30ХГСА (в мас. %)
С | Si | Mn | Ni | S | P | Cr | Cu | Fe |
0.28 — 0.34 | 0.9 — 1.2 | 0.8 — 1.1 | ≤ 0.3 | ≤ 0.025 | ≤ 0.025 | 0.8 — 1.1 | ≤ 0.3 | ~ 96 |
Обработку осуществляли с частотой вращения дробеметного колеса ω = 1000 об/мин (Пластина 1) и ω = 1200 об/мин (Пластина 2), время обработки 50 секунд. От пластин электроэрозионной резкой были отрезаны полоски шириной 10 мм (рис. 2) для приготовления d0-образца без напряжений. В пластинах размерами 100×55×5 мм3 нейтронным методом исследовали распределение напряжений по глубине в центре пластины.
Рис. 2. Схема образца и главные направления: X — продольное (Прод.), Y — поперечное (Попер.), Z –нормальное (Нор.). Размеры даны в миллиметрах.
Измерение напряжений нейтронным методом. В настоящее время нейтронной метод является рутинным методом измерения напряжений в массивных материалах, имеющих кристаллическую структуру [6], и имеет международный стандарт ISO 21432:2019 [24]. Метод основан на точном определении разницы положений дифракционного пика для напряженного и ненапряженного материала.
Деформация может быть определена следующим образом:
(1)
где d и d0 — межплоскостные расстояния, θ и θ0 – брэгговские углы дифракции для напряженного и ненапряженного материала соответственно. В результате измерений определяются деформации/напряжения, усредненные по ПО. Перемещая образец и совмещая точку, в которой нужно измерить напряжения, с центром пробного объема, можно измерить распределение напряжений в объеме образца.
В каждой экспериментальной точке проводится измерение трех компонент деформации вдоль трех взаимно перпендикулярных главных направлений X, Y, Z в образце (рис. 2). Затем с помощью обобщенного закона Гука рассчитываются компоненты напряжения [6]:
, (2)
где i = X, Y, Z. Отметим, что для расчетов нужно использовать дифракционные упругие постоянные Ehkl и νhkl для тех плоскостей (hkl), которые использовались при измерении деформаций.
Измерения остаточных напряжений c щелями шириной 0.2 мм проводили на нейтронном дифрактометре “СТРЕСС”, установленном на горизонтальном канале исследовательского реактора ИР-8 (Pмакс = 8 МВт) в НИЦ “Курчатовский институт” [25, 26] при мощности реактора Р = 5 МВт. В дифрактометре используется двойной монохроматор PG002/Si220 [25], который выводит интенсивный монохроматический пучок нейтронов с длиной волны λ = 1.55 Å.
Измеряли наименее чувствительный к микронапряжениям, рекомендованный для измерения напряжений [6] дифракционный пик (211) объемно-центрированной кубической решетки стали 30ХГСА на угле дифракции 2θ ~ 82.8°. Для измерения дифракционного пика использовали позиционно-чувствительный детектор (ПЧД) с ценой деления одного канала 0.02613° = 4.55×10−4 рад.
Щели шириной 0.2 мм в падающем и отраженном пучках нейтронов формировались клинообразными коллиматорами с боковыми стенками из кадмия толщиной 1 мм (рис. 3).
Рис. 3. Схема коллиматора с щелью 0.2 мм.
Расчеты показали, что при ширине зазора между кромками кадмиевых пластин 0.2 мм (рис. 3), эквивалентная ширина щели лежит в интервале 0.20–0.22 мм. Измерение зависимости интенсивности дифракционного пика от глубины погружения пробного объема в пластине из ферритной стали показали, что точность позиционирования образца равна ± 0.01 мм, а ширина щели 0.20 ± 0.01 мм. Пространственное разрешение, соответствующее 80% интенсивности пика, полученного с ПО [20], было 0.22 ± 0.01 мм. Для увеличения интенсивности дифракционного пика использовали щели высотой 10 мм, так что пробный объем составлял 0.2×0.2×10 = 0.4 мм3. Для увеличения количества зерен, дающих вклад в дифракционный пик, использовалась осцилляция образца [6]: в каждой точке измерения образец поворачивался на угол ± 1.25° с шагом 0.25°. Эффективный пробный объем был 4.4 мм3. При расчете напряжений использовали значения модуля Юнга и коэффициента Пуассона стали 30ХГСА [3]: E = 215 ГПа, ν = 0.3.
Sin2ψ метод с использованием нейтронов. Если в измеряемой точке в образце известно одно из главных направлений, например, Z, то для деформации в направлении, определяемым направляющими углами φ и ψ, справедливо следующее выражение [22, 24]:
(3)
где обозначение символов дано в подписи к рис. 4. В эксперименте измеряются углы дифракции, поэтому от межплоскостных расстояний удобнее перейти к углам дифракции. Поскольку , выражение (3) можно записать:
(4)
Из выражения (4) следует, что линейно зависит от sin2ψ, и угловой коэффициент этой зависимости :
. (5)
Следовательно, измерив для заданного φ при различных значениях ψ углы рассеяния и определив угловой коэффициент линейной зависимости , можно определить
Рис. 4. Деформации и напряжения в точке измерения (x, y, z) в системе координат образца (X, Y, Z): εxx, εyy, εzz — деформации в направлениях X, Y, Z; σxx, σyy, σzz — напряжения в направлениях X, Y, Z; φ, ѱ — направляющие углы; εφψ — деформация в направлении, задаваемом углами φ, ѱ; σφψ — напряжение в направлении, задаваемом углами φ, ѱ; εφ — деформация в направлении, задаваемым углом φ при ѱ = 90°; σφ — напряжение в направлении, задаваемым углом φ при ѱ = 90°; (0, 0, 0) — начало координат координатной системы (X, Y, Z).
В плоской пластине одним из главных направлений является направление Z нормальное к поверхности пластины, а два других (X, Y) находятся в плоскости, параллельной поверхности пластины (рис. 2). Вблизи поверхности и в тонких пластинах нормальные напряжения σzz малы, и с точностью до σzz можно определить компоненты напряжений вдоль главных направлений в плоскости пластины σxx(φ = 0°) и σyy (φ = 90°). Очевидно, что измерение методом sin2ѱ возможно только при полном погружении ПО в материал. В рентгеновском методе напряжения измеряются на поверхности, где выполняется условие σzz = 0.
Если образец имеет сильную текстуру или направление нормали Z не является главным направлением, то зависимость d/θ от sin2ѱ становится нелинейной. Измерение при различных углах ѱ необходимо для установления линейности d/θ как функции sin2ѱ для подтверждения возможности измерения напряжений методом sin2ѱ [2].
Чем больше угол ѱ, при котором проводятся измерения, тем меньше погрешность в определении напряжений [2, 22]. В нейтронном эксперименте используются узкие высокие щели, расположенные вблизи поверхности. Поскольку изменение/качание угла ѱ происходит в плоскости дифракции, доступный в эксперименте интервал углов ѱ ограничен. Для его увеличения необходимо увеличить угол рассеяния 2θ, который в нейтронных экспериментах не должен сильно отличаться от 90° [6]. При угле рассеяния 2θ = 100°, измерения можно проводить при максимальном угле ѱмакс = 45° (sin2ѱмакс = 0.5) как в обычных рентгеновских экспериментах [1, 2, 22, 23]. В дифрактометрах с переменной длиной волны нейтронов необходимый угол рассеяния 2θ ≈ 100° можно легко получить путем подбора соответствующей длины волны (~1.8 Å для ферритной/мартенситной стали).
Для фиксированной длины волны нейтронов λ=1.55 Å в дифрактометре “СТРЕСС” измерения дифракционного пика (211) были возможны в интервале 0 ≤ sin2ѱ ≤ 0.3 (0 ≤ ѱ ≤ 33.21°). В указанном интервале sin2ѱ измерения проводили в 7 точках от sin2ѱ = 0 до sin2ѱ = 0.3 с шагом 0.05. Для оценки возможности определения напряжений по измерениям в таком сравнительно узком интервале значений sin2ѱ измерялась также восьмая точка sin2ѱ8 = 1 (ѱ8 = 90°) в геометрии пропускания, что было возможно для толщины пластины 5 мм.
Эксперименты методом sin2ѱ проводили в Пластине 2 для продольной и поперечной компонент напряжений на глубинах 0.15–0.2–0.25–0.3–0.4–0.5–0.75–1 мм. Для измерения на глубине 0.15 — 0.4 мм использовали щели шириной 0.2 мм, а на глубине 0.5 — 1 мм шириной 0.5 мм.
РЕЗУЛЬТАТЫ ЭКСПЕРИМЕНТОВ И ОБСУЖДЕНИЕ
Распределение напряжений по глубине, полученное методом измерения трех компонент деформации. На рис. 5 приведены результаты измерений в Пластинах 1 и 2. Из зависимостей положения дифракционных пиков в ПЧД от глубины (рис. 5, 1а, 2а) видно, что на определенных глубинах положения пиков для различных компонент в пределах погрешности эксперимента становятся одинаковыми. Следовательно, в этих точках межплоскостные расстояния для всех компонент одинаковы. Это означает, что напряжения в этих точках равны нулю, и положение пиков в этих точках соответствует межплоскостному расстоянию в ненапряженном состоянии d0.
При измерении продольной и поперечной компонент деформации длина пути нейтронов в материале, и, следовательно, интенсивность дифракционного пика не зависят от глубины. Поэтому небольшое различие в интенсивности в средней части толщины и вблизи поверхностей пластин (рис. 5, 1б, 2б) свидетельствует о наличии небольшой текстуры. Поскольку изменение интенсивности наблюдается вблизи обработанной и необработанной поверхности, текстура не связана с обработкой и была в необработанной пластине.
Рис. 5. Зависимость от глубины для пластин 1 и 2: положения дифракционного пика в ПЧД (1а, 2а); интенсивности дифракционного пика (1б, 2б); остаточных напряжений (1в, 2в).
Для расчета напряжений важным является определение межплоскостного расстояния d0 (или угла рассеяния θ0), соответствующего ненапряженному состоянию образца. В данной работе величину θ0 определяли следующими способами:
- По измерениям d0-образца и усреднению значений углов θ, измеренных для трех компонент деформации.
- По результатам измерений в точках, в которых углы рассеяния для всех трех компонент близки (рис. 5, 1а, 2а), и усреднению углов θ, измеренных для трех компонент деформации.
- Из условия, что в тонкой пластине нормальная компонента напряжений равна нулю в каждой точке измерения и усреднению углов θ0, полученных для всех измеренных точек.
Значения θ0, полученные разными способами, были близки и отличались на величину, соответствующую изменению деформации менее ± 40 με (1 µε = 10−6). Однако использование одного и того же значения θ0 для всех измеренных точек (глобальное θ0) приводило к тому, что нормальная компонента напряжения увеличивалась при приближении к обработанной поверхности до –80 МПа на глубине 0.15 мм. Это противоречит тому, что нормальная компонента напряжения должна уменьшаться при приближении к поверхности до нуля на поверхности. Поэтому в каждой точке измерения использовалось значение θ0, полученное из условия равенства нулю нормальной компоненты напряжения в этой точке.
На рис. 5, 1в, 2в видно, что формы кривых распределения напряжений по глубине в Пластинах 1 и 2 весьма сходны. Нормальная компонента напряжений близка к нулю. Продольная и поперечная компоненты напряжений очень близки. Максимальные сжимающие напряжения вблизи обработанной поверхности уменьшаются по глубине и на определенной глубине переходят в растягивающие напряжения. Эти растягивающие напряжения увеличиваются с глубиной, достигают максимума, а затем уменьшаются, переходя в сжимающие напряжения вблизи необработанной поверхности. Таким образом, вблизи обработанной и необработанной поверхности образуются зоны сжимающих напряжений, а в средней части толщины платины — зона растягивающих напряжений.
Увеличение интенсивности дробеударной обработки приводит к изменению величины максимумов и ширины зон растягивающих и сжимающих напряжений. Максимальные сжимающие напряжения вблизи обработанной поверхности в Пластине 2 (–315 МПа) больше, чем в Пластине 1 (–280 МПа). Зона сжимающих напряжений в Пластине 2 (0–0.7 мм) шире, чем в Пластине 1 (0–0.55 мм). Максимальные растягивающие напряжения в Пластине 2 (160 МПа) больше, чем в Пластине 1 (140 МПа). В Пластине 2 растягивающие напряжения переходят в сжимающие на большей глубине (3.8 мм), чем в пластине 2 (3.4 мм), так что зона сжимающих напряжений вблизи необработанной поверхности в Пластине 2 (3.8–5 мм) уже, чем в Пластине 1 (3.4–5 мм). Максимальное сжимающее напряжение вблизи необработанной поверхности в Пластине 2 (–90 МПа) меньше, чем в Пластине 1 (– 140 МПа). Таким образом, измерение с пространственным разрешением 0.2 мм позволило подробно изучить распределение напряжений и зафиксировать изменение границ зон напряжений по глубине 0.15 мм.
Отметим, что в рентгеновской работе [3] в аналогичных пластинах из стали 30ХГСА после дробеударной обработки также наблюдались сжимающие напряжения на необработанной поверхности.
После дробеударной обработки обе пластины были слегка изогнуты. Однако сжимающие напряжения вблизи необработанной поверхности не вызваны изгибом пластины, поскольку вблизи необработанной поверхности изгибные напряжения должны быть растягивающими.
Форма профилей распределения напряжений в исследованных образцах такая же, как в пластине из сплава Ti–6Al–4V толщиной 8.7 мм после лазерной обработки с одной стороны [9]. Таким образом, форма профилей распределения напряжений слабо зависит от материала, интенсивности и технологии обработки.
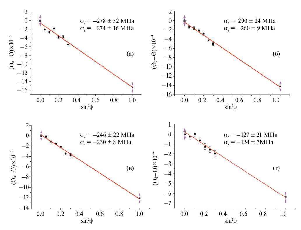
Результаты измерения напряжений вблизи обработанной поверхности пластин sin2ѱ методом. На рис. 6 представлена зависимость θ0 — θ от sin2ѱ для поперечной компоненты напряжений для некоторых глубин в диапазоне 0.15–0.4 мм. Видно, что зависимость линейная. Для каждой глубины указаны значения напряжений, полученные при измерениях в семи (σ7) и восьми (σ8) углах ѱ. Отметим, что измерение в восьмой точке при ѱ8 = 900 (sin2ѱ8 = 1) существенно уменьшает погрешность определения напряжений.
Рис. 6. Результаты определения поперечной компоненты напряжений на глубине: 0.15–0.4 мм в Пластине 2 методом sin2ψ по семи (σ7) и восьми (σ8) углам ψ (восьмой угол ψ = 90°) на глубине: 0.15 мм (а), 0.2 мм (б), 0.3 мм (в), 0.4 мм (г).
Напряжения σ7 в пределах погрешности эксперимента совпадают со значениями σ8. Аналогичные результаты были получены и для продольной компоненты напряжений. Например, на рис. 7 приведены результаты измерений на глубине 0.15 мм и 0.2 мм. Поперечная и продольная компоненты напряжений σ7 в пределах погрешности эксперимента совпадают с полученными традиционным методом измерения трех компонент деформации на рис. 5, 2в. Большая погрешность напряжений на глубине 0.15 мм, по сравнению с измерениями на больших глубинах, возможно, связана с текстурой на поверхности.
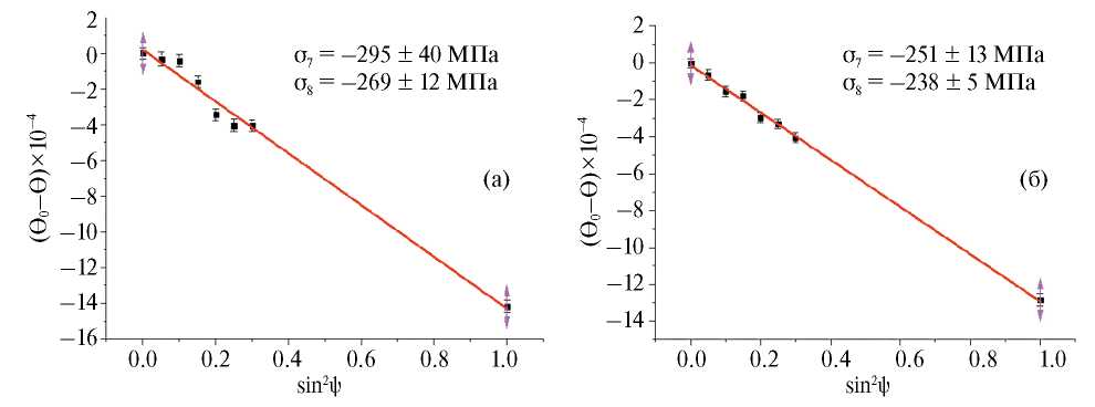
Рис. 7. Результаты определения продольной компоненты напряжений в Пластине 2 методом sin2ψ по семи (σ7) и восьми (σ8) углам ψ (восьмой угол ψ8 = 90°) на глубине: 0.15 мм (а) и 0.2 мм (б).
Из рис. 8 видно, что линейная зависимость сохраняется до глубины 1 мм. Измерение с помощью щелей шириной 0.5 мм (ПО = 0.5×0.5×17 мм3) заметно снижает погрешность измерения напряжений по сравнению со щелями шириной 0.2 мм. Это можно объяснить меньшим разбросом в измеренных положениях дифракционных пиков из-за улучшенной статистики: увеличения числа зерен, которые вносят вклад в дифракционный пик в большем ПО. Значения напряжений, полученные методом sin2ψ по семи (σ7) углам ψ, в пределах погрешности эксперимента согласуются со значениями, полученными методом измерения трех компонент деформации σ3комп.
Рис. 8. Результаты измерения поперечной компоненты напряжений методом sin2ψ по семи (σ7) углам ψ с использованием щелей шириной 0.5 мм (ПО = 0.5×0.5×17 мм3) на глубине: 0.5 мм (а), 0.75 мм (б), 1 мм (в). σ3комп — значения напряжений, полученные методом измерения трех компонент деформаций.
Погрешность измерения напряжений по 7 точкам примерно в 3 раза больше, чем по 8 точкам (рис. 6, 7). Следовательно, она может быть уменьшена путем увеличения максимального угла ψ. Она может быть также уменьшена путем увеличения пробного объема или времени измерения (рис. 8).
ВЫВОДЫ
Нейтронным методом с высоким пространственным разрешением (~0.2 мм) исследованы остаточные напряжения в пластинах из стали 30ХГСА толщиной 5 мм после дробеударной обработки с различной интенсивностью. Показано, что остаточные напряжения формируются не только вблизи обработанной поверхности, а по всей толщине пластины до необработанной поверхности. В пластинах образуются три зоны напряжений: две зоны сжимающих напряжений вблизи обработанной и необработанной поверхности и зона растягивающих напряжений в средней части. Ширина зон и максимальные значения напряжений зависят от режима обработки. При более интенсивной обработке максимальные сжимающие напряжения и ширина зоны сжимающих напряжений вблизи обработанной поверхности увеличиваются, а вблизи необработанной поверхности — уменьшаются.
Показано, что в пластинах из стали после дробеударной обработки напряжения можно измерить с помощью нейтронного метода sin2ψ.
Работа выполнена на оборудовании уникальной научной установки “Нейтронный исследовательский комплекс на базе реактора ИР-8” при поддержке гранта Российского научного фонда № 24-19-00484, https://rscf.ru/project/24-19-00484/.
Авторы заявляют, что у них нет конфликта интересов.
Об авторах
И. Д. Карпов
Национальный исследовательский центр “Курчатовский институт”
Email: vtem9@mail.ru
Россия, Москва
В. Т. Эм
Национальный исследовательский центр “Курчатовский институт”
Автор, ответственный за переписку.
Email: vtem9@mail.ru
Россия, Москва
Е. П. Николаева
Иркутский национальный исследовательский технический университет
Email: vtem9@mail.ru
Россия, Иркутск
И. В. Сергеичев
Сколковский институт науки и технологий, Центр технологий материалов
Email: vtem9@mail.ru
Россия, Москва
Б. С. Волосков
Сколковский институт науки и технологий, Центр технологий материалов
Email: vtem9@mail.ru
Россия, Москва
П. Микула
Nuclear Physics Institute CAS
Email: vtem9@mail.ru
Чехия, Řež
Список литературы
- Prevéy P.S. X-ray Diffraction Residual Stress Techniques // Metals Handbook. 10. Metals Park: American Society for Metals. 1986. P. 380–392.
- Prevey P.S. X-Ray Diffraction Characterization of Residual Stresses Produced by Shot Peening. Lambda Research Inc., 1111 Harrison Avenue, Cincinnati, OH 4.5214. 2001. P. 81–93.
- Николаева Е.П., Гридасова Е.В., Герасимов В.В. Применение рентгеноструктурного анализа и шумов Баркгаузена для исследования конструкционной стали 30ХГСА после дробеударной обработки // Изв. Самарского научного центра Российской академии наук. 2007. Т. 17. № 2. C. 125–132.
- Santana Y.Y., Renault P.O., Sebastiani M., La Barbera J.G., Lesage J., Bemporad E., Le Bourhis E., Puchi-Cabrera E.S., Stai M.H. Characterization and residual stresses of WC–Co thermally sprayed coatings // Surf. Coat. Technol. 2008. V. 202. P. 4560–4565.
- Moore M.C., Evans W.P. Mathematical Corrections for Stress in Removed Layers in X-ray Diffraction Residual Stress Analysis // SAE Trans. 1958. V. 66. P. 340–345.
- Hutchings M.T., Withers P.J., Holden T.M., Lorentzen N. Introduction to the characterization of residual stress by neutron diffraction. 1-st ed. Tailor and Francis. London, 2005. 434 p.
- Ezeilo A., Webster G., Webster P.J., Webster P.S. Comparison of shot peening residual stress distributions in selection of materials / in: D. Kirk (Ed.). International Conference on Shot Peening, Christ Church, Oxford University. UK, 1993. P. 274–281.
- Webster P.J., Mills G., Wang X.D., Kang W.P., Holden T.M. Impediments to efficient through-surface strain scanning // J. Neutron Research. 1996. V. 3. P. 223–240.
- Evans A.D., King A., Pirling T., Bruno G., Withers P.J. Near surface residual stress determination of laser shock peening by neutron diffraction // J. Neutron Research. 2003. V. 1. № 4. P. 229–233.
- Bruno G., Fanara C., Hughes D.J., Ratel N. Procedures for interface residual stress determination using neutron diffraction: Mo-coated steel gear wheel // Nuclear Instruments and Methods in Physics Research B. 2006. V. 246. P. 425–439.
- Šaroun J., Rebelo Kornmeier J., Hofmann M., Mikula P., Vrana M. Analytical model for neutron diffraction peak shifts due to the surface effect // J. Appl. Crystallogr. 2013. V. 46. P. 628–638.
- Rebelo Kornmeiera J., Hofmann M., Luzin V., Gibmeierd J., Saroune J. Fast neutron surface strain scanning with high spatial resolution // Mater. Characterization. 2019. V. 154. P. 53–60.
- Menig R., Pinsshovius L., Shulze V., Vohringer O. Depth profiles of macro residual stresses in thin shot peened steel plates determined by X-ray and neutron diffraction // Scripta Mater. 2001. V.45. P. 977–983.
- Luzin V., Vackel A., Valarezo A., Sampas S. Neutron Through-Thickness Stress Measurements in Coatings with High Spatial Resolution // Mater. Sci. Forum. 2017. V. 905. P. 165–173.
- Pirling T., Bruno G., Withers P.J. SALSA - A new instrument for strain imaging in engineering materials and components // Mater. Sci. Eng.: A. 2006. V. 437. P. 139–144.
- Hofmann M., Schneider R., Seidl G.A., Rebelo-Kornmeier J., Wimpory R.C., Garbe U., Brokmeier H.G. The new materials science diffractometer STRESS-SPEC at FRM-II // Physica B: Condensed Matter. 2006. V. 385–386. Part 2. P. 1035–1037.
- Kirstein O., Luzin V., Garbe U. The strain-scanning diffractometer Kowari // Neutron News. 2009. V. 20. P. 34–36.
- Luzin V., Spiridonov P., Spencer K., Gnaupel-Herold T. Neutron Diffraction Study of Macrostress and Microstress in Al–Al2O3-Based Corrosion Protection Coating Obtained by Cold Spray (Dynamic Metallization) // J. Therm. Spray Techn. 2020. V. 29. № 6. P. 1437–1454.
- Meghwal F., Berndt C.C., Luzin V., Schulz C., Crowe T., Gabel H. ASM Ang, Mechanical performance and residual stress of WC–Co coatings manufactured by Kinetic Metallization // Surf. Coat. Tech. 2021. V. 421. Р. 127359.
- Withers P.J., Johnson M.W., Wright J.S. Neutron strain scanning using a radially collimated diffracted beam // Phys. B. 2000. V. 292. P. 273–285. https://doi.org/10.1016/S0921-4526(00)00481-6
- Reid M., Olsen S., Luzin V., New M., Booth N., Clowes D., Nguyen T., Franceschini F., Ogrin A., Pangalis S., Paradowska A., Larkin N., Pan Z., Hoye N., Suzuki H. Neutron optics upgrades to the residual stress diffractometer, KOWARI // Mater. Research Proceedings. 2016. V. 2. P. 371–376.
- Noyan I.C., Cohen J.B. Residual Stress. Measurement by Diffraction and Interpretation, Springer-Verlag. New York, Berlin, Heidelberg, 1987. 276 p.
- Hauk V.M., Oudelhoven R.W.M., Vaessen G.J.H. The State of Residual Stress in the Near Surface Region of Homogeneous and Heterogeneous Materials after Grinding // Metal. Trans. 13A. 1982. P. 1239–1244.
- ISO 21432:2019 Non-destructive testing — Standard test method for determining residual stresses by neutron diffraction. ISO. Geneva. Switzerland. 2019. 45 p.
- Эм В.Т., Балагуров А.М., Глазков В.П., Карпов И.Д., Mikula P., Мирон Н.Ф., Соменков В.А., Сумин В.В., Saroun J., Шушунов М.Н. Двойной монохроматор для нейтронной стресс-дифрактометрии // ПТЭ. 2017. № 4. C. 75–81. [Em V.T., Balagurov A.M., Glazkov V.P., Karpov I.D., Mikula P., Miron N.F., Somenkov V.A., Sumin V.V., Šaroun J., Shushunov M.N. A double-crystal monochromator for neutron stress diffractometry // Instr. exper. techn. 2017. V. 60. № 4. P. 526–532.]
- Em V.T., Karpov I.D., Somenkov V.A., Glazkov V.P., Balagurov A.M., Sumin V.V., Mikula P., Šaroun J. Residual stress instrument with double-crystal monochromator at research reactor IR-8 // Physica B: Condensed Matter. 2018. V. 551. P. 413–416.
Дополнительные файлы










