Modification of the structure and magnetic properties of Gd films doped with Co
- Authors: Nizaev A.N.1, Kudyukov E.V.1, Gorkovenko A.N.1, Semkin M.A.1,2, Kravtsov E.A.1,2, Lepalovskiy V.N.1, Svalov A.V.1, Vaskovskiy V.O.1,2
-
Affiliations:
- Ural Federal University named after the First President of Russia B. N. Yeltsin
- Mikheev Institute of Metal Physics, Ural Branch, Russian Academy of Sciences
- Issue: Vol 126, No 1 (2025)
- Pages: 3-10
- Section: ЭЛЕКТРИЧЕСКИЕ И МАГНИТНЫЕ СВОЙСТВА
- URL: https://journal-vniispk.ru/0015-3230/article/view/288506
- DOI: https://doi.org/10.31857/S0015323025010017
- EDN: https://elibrary.ru/CALLCX
- ID: 288506
Cite item
Abstract
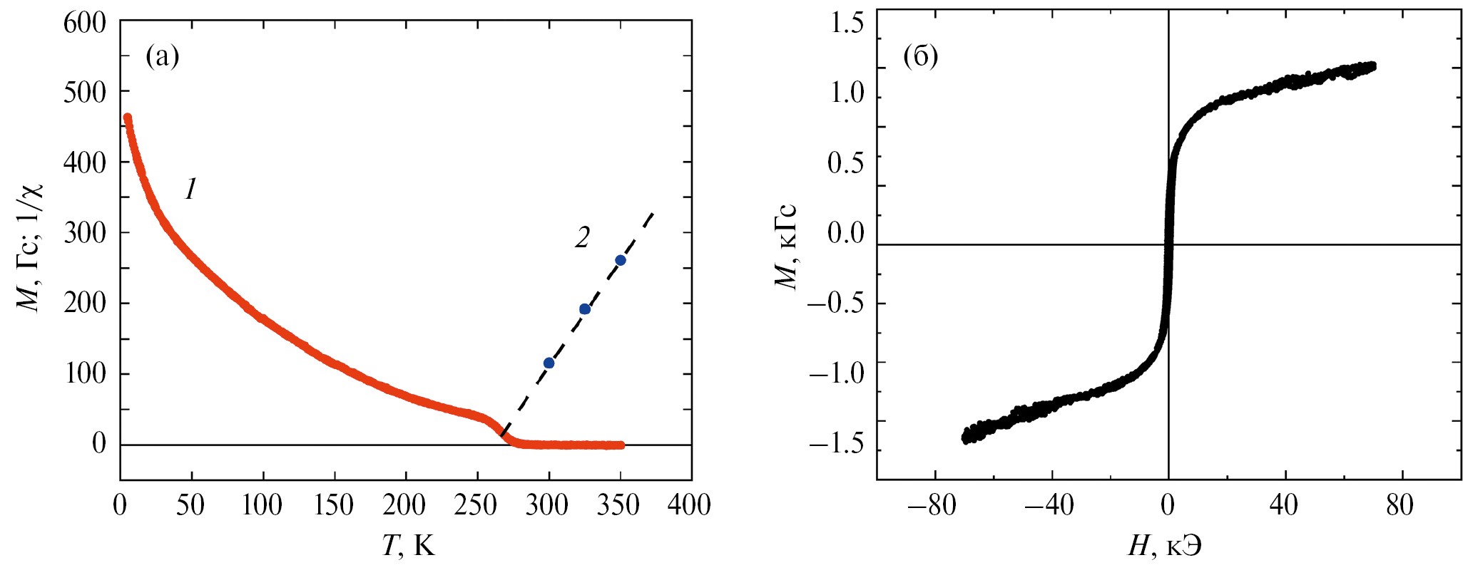
The article presents experimental data on the structure and magnetic properties of films of the Gd–Co system with a low Co content (up to 20 at%) obtained by magnetron sputtering. It was found that the films of pure Gd differ in structural heterogeneity, expressed in the presence of crystalline hcp and fcc phases and presumably an X-ray amorphous phase with a large dispersion in the size of nanocrystallites. The ferromagnetism of the crystalline state and the metabolic frustration of the nanocrystalline phase ensure the asperomagnetic state of the films. Amorphization, which increases with an increase in the Co content, leads to the formation of a more homogeneous distribution of Gd atoms in the medium and provides a gradual transition to a ferromagnetic state, but with a reduced Curie temperature.
Keywords
Full Text
About the authors
A. N. Nizaev
Ural Federal University named after the First President of Russia B. N. Yeltsin
Email: vladimir.vaskovskiy@urfu.ru
Russian Federation, Ekaterinburg, 620002
E. V. Kudyukov
Ural Federal University named after the First President of Russia B. N. Yeltsin
Email: vladimir.vaskovskiy@urfu.ru
Russian Federation, Ekaterinburg, 620002
A. N. Gorkovenko
Ural Federal University named after the First President of Russia B. N. Yeltsin
Email: vladimir.vaskovskiy@urfu.ru
Russian Federation, Ekaterinburg, 620002
M. A. Semkin
Ural Federal University named after the First President of Russia B. N. Yeltsin; Mikheev Institute of Metal Physics, Ural Branch, Russian Academy of Sciences
Email: vladimir.vaskovskiy@urfu.ru
Russian Federation, Ekaterinburg, 620002; Ekaterinburg, 620108
E. A. Kravtsov
Ural Federal University named after the First President of Russia B. N. Yeltsin; Mikheev Institute of Metal Physics, Ural Branch, Russian Academy of Sciences
Email: vladimir.vaskovskiy@urfu.ru
Russian Federation, Ekaterinburg, 620002; Ekaterinburg, 620108
V. N. Lepalovskiy
Ural Federal University named after the First President of Russia B. N. Yeltsin
Email: vladimir.vaskovskiy@urfu.ru
Russian Federation, Ekaterinburg, 620002
A. V. Svalov
Ural Federal University named after the First President of Russia B. N. Yeltsin
Email: vladimir.vaskovskiy@urfu.ru
Russian Federation, Ekaterinburg, 620002
V. O. Vaskovskiy
Ural Federal University named after the First President of Russia B. N. Yeltsin; Mikheev Institute of Metal Physics, Ural Branch, Russian Academy of Sciences
Author for correspondence.
Email: vladimir.vaskovskiy@urfu.ru
Russian Federation, Ekaterinburg, 620002; Ekaterinburg, 620108
References
- Buravikhin V.A., Bochkarev V.F., Egorov V.A., Shelkovnikov V.N., Odnokurtsev A.D., Sukhomlin V.T. Magnetic compensation in iron-gadolinium and iron-terbium films // Soviet Physics Journal. 1971. V. 14. P. 1530–1533.
- González J., Andrés J., Lopez Anton R. Applied Trends in Magnetic Rare Earth/Transition Metal Alloys and Multilayers // Sensors. 2021. V. 21. P. 5615.
- Bellouard C., George B., Marchal G., Maloufi N., Eugène J. Influence of the thickness of the CoFe layer on the negative spin-valve effect in CoFe/Ag/CoFeGd trilayers // J. Magn. Magn. Mater. 1997. V. 165. P. 312–315.
- Lai C.H., Lin C.C., Chen B.M., Shieh H.P.D., Chang C.R. Positive giant magnetoresistance in ferrimagnetic/Cu/ferrimagnetic films // J. Appl. Phys. 2001. V. 89. P. 7124–7126.
- Svalov A.V., Savin P.A., Kurlyandskaya G.V., Gutiérrez J., Barandiarán J.M., Vas'kovskiy V.O. Spin-Valve Structures with Co–Tb-Based Multilayers // IEEE Trans. Magn. 2002. V. 38. P. 2782–2784.
- Jiang X., Gao L., Sun J.Z., Parkin S.S.P. Temperature dependence of current-induced magnetization switching in spin valves with a ferrimagnetic CoGd free layer // Phys. Rev. Lett. 2006. V. 97. P. 217202.
- Yang D.Z., You B., Zhang X.X., Gao T.R., Zhou S.M., Du J. Inverse giant magnetoresistance in FeCuGd1-xCox spin-valves // Phys. Rev. B-Condens. Matter Mater. Phys. 2006. V. 74. P. 024411.
- Bai X.J., Du J., Zhang J., You B., Sun L., Zhang W., Hu A., Zhou S.M. Influence of the thickness of the FeCoGd layer on the magnetoresistance in FeCoGd-based spin valves and magnetic tunnel junctions // J. Phys. D: Appl. Phys. 2008. V. 41. P. 215008.
- Stanciu A.E., Schinteie G., Kuncser A., Iacob N., Trupina L., Ionita I., Crisan O., Kuncser V. Unexpected magneto-functionalities of amorphous Fe-Gd thin films crossing the magnetization compensation point // J. Magn. Magn. Mater. 2020. V. 498. P. 166173.
- Mandru A., Yildirim O., Marioni M., Rohrmann H., Heigl M., Ciubotariu O., Penedo M., Zhao X., Albrecht M., Hug H. Pervasive artifacts revealed from magnetometry measurements of rare earth-transition metal thin films // J. Vac. Sci. Technol. 2020. V. 38. P. 023409.
- Hussain R. Sperimagnetism in perpendicularly magnetized Co-Tb alloy-based thin films // J. Supercond. Nov. Magn. 2019. V. 32. P. 4027–4031.
- Luzgin N.I., Domyshev V.A. Magnetoelastic properties of RCo2 films // Soviet Physics Journal. 1975. V. 18. P. 1374–1378.
- Bochkarev V.F., Buravikhin V.A., Sukhomlin V.T., Egorov V.A. The hall effect and electrical properties of films of DyCo5 // Soviet Physics Journal. 1973. V. 16. P. 1753–1755.
- Buravikhin V.A., Egorov V.A., Sidorenko L.M., Apkhanov V.B. Structural transformations in the SmCo5 alloy films // Izvestiya Akademii Nauk SSSR, Metally. 1979. P. 188–192.
- Hu Z., Besbas J., Siewierska K., Smith R., Stamenov P., Coey J.M.D. Magnetism, transport, and atomic structure of amorphous binary YxCo1-x alloys // Phys. Rev. 2024. V. 109. P. 014409.
- Свалов А.В., Курляндская Г.В., Балымов К.Г., Васьковский В.О. Спиновые клапаны на основе аморфных ферримагнитных пленок Gd–Co // ФММ. 2016. Т. 117. № 9. С. 907–913.
- Balymov K.G., Kudyukov E.V., Vas'kovskiy V.O., Adanakova O.A., Kulesh N.A., Stepanova E.A., Rusalina A.S. Magnetism of amorphous Dy-Tb-Co-type films // J. Phys.: Conference Series. 2019. V. 1389. P. 012014.
- Коплак О.В., Кашин С.Н., Королев Д.В., Жидков М.В., Пискорский В.П., Валеев Р.А., Моргунов Р.Б. Магнитные свойства и магнитокалорический эффект в пленках и микропроводах Gd // ФТТ. 2023. Т. 65. № 3. С. 424–431.
- Zhang Y.Z., Zhang S.R., Yu D.B. Structural properties and crystal orientation of polycrystalline Gd films // Rare Met. 2023. V. 42. P. 1414–1419.
- Kashaev A.A., Ushchapovskii L.V., Il'in A.G. Electron diffraction and X-ray diffraction study of rare earth metal oxides in thin films // Kristallografiya. 1975. V. 20. P. 192–193.
- Scheunert G., Ward C., Hendren W.R., Lapicki A.A., Hardeman R., Mooney M., Bowman R.M. Influence of strain and polycrystalline ordering on magnetic properties of high moment rare earth metals and alloys // J. Phys. D: Appl. Phys. 2014. V. 47(41). P. 415005.
- Balli M., Jandl S., Fournier P., Kedous-Lebouc A. Advanced materials for magnetic cooling: Fundamentals and practical aspects // Appl. Phys. Rev. 2017. V. 4. P. 021305.
- Vas’kovskiy V.O., Svalov A.V., Gorbunov A.V., Schegoleva N.N., Zadvorkin S.M. Structure and magnetic properties of Gd/Si and Gd/Cu multilayered films // Physica B: Condensed Matter. 2002. V. 315. P. 143–149.
- Kudyukov E.V., Vas'kovskiy V.O., Svalov A.V., Balymov K.G., Maltseva V.E. Concentration features of the magnetism of Gd100-xCox films: Changing X from 0 to 100 // J. Magn. Magn. Mater. 2023. V. 565. P. 170254–170254.
- Döbrich F., Kohlbrecher J., Sharp M., Eckerlebe H., Birringer R., Michels A. Neutron scattering study of the magnetic microstructure of nanocrystalline gadolinium // Phys. Rev. B. 2012. V. 85. P. 094411.
- Michels A., Döbrich F., Elmas M., Ferdinand A., Markmann J., Sharp M., Eckerlebe H., Kohlbrecher J., Birringer R. Spin structure of nanocrystalline gadolinium // Europhysics Lett. 2008. V. 81. P. 66003.
- Mathew S.P., Kaul S.N. Magnetization processes in nanocrystalline gadolinium // J. Phys. Condens. Matter. 2012. V. 24. P. 256008.
- Русалина А.С., Лепаловский В.Н., Степанова Е.А., Юшков А.А., Горьковенко А.Н., Кудюков Е.В., Васьковский В.О., Курляндская Г.В., Свалов А.В. Спин-флоп-переход вблизи температуры магнитной компенсации в аморфных ферримагнитных пленках Dy–Co, полученных ионно-плазменным напылением // ФТТ. 2024. Т. 66. № 6. С. 827.
- Свалов А.В., Макарочкин И.А., Кудюков Е.В., Степанова Е.А., Васьковский В.О., Larrañaga А., Курляндская Г.В. Изменение магнитной структуры при варьировании толщины магнитных слоев в пленках [Tb–Co/Si]n // ФММ. 2021. Т. 122. № 2. С. 125–130.
- Hsu Chin-Jui, Prikhodko S.V., Wang Chiu-Yen, Chen Lih-Juann, Carman G. Magnetic anisotropy in nanostructured gadolinium // Journal of Applied Physics. 2012. V. 111. P. 053916.
- Chizhov P.E., Kostigov A.N., Petinov V.I. Structure and magnetic properties of rare earth small particles // Solid State Commun. 1982. V. 42. P. 323–326.
- Bertelli T.P., Passamani E.C., Larica C., Nascimento V.P., Takeuchi A.Y., Pessoa M.S. Ferromagnetic properties of fcc Gd thin films // J. Appl. Phys. 2015. V. 117. P. 203904.
Supplementary files







