Магнитные свойства ГЦК-железоникелевых сплавов при конечных температурах
- Авторы: Мельников Н.Б.1, Резер Б.И.2
-
Учреждения:
- Московский государственный университет им. М.В. Ломоносова
- Институт физики металлов им. М.Н. Михеева УрО РАН
- Выпуск: Том 126, № 1 (2025)
- Страницы: 30-37
- Раздел: ЭЛЕКТРИЧЕСКИЕ И МАГНИТНЫЕ СВОЙСТВА
- URL: https://journal-vniispk.ru/0015-3230/article/view/288520
- DOI: https://doi.org/10.31857/S0015323025010044
- EDN: https://elibrary.ru/BZYHOG
- ID: 288520
Цитировать
Аннотация
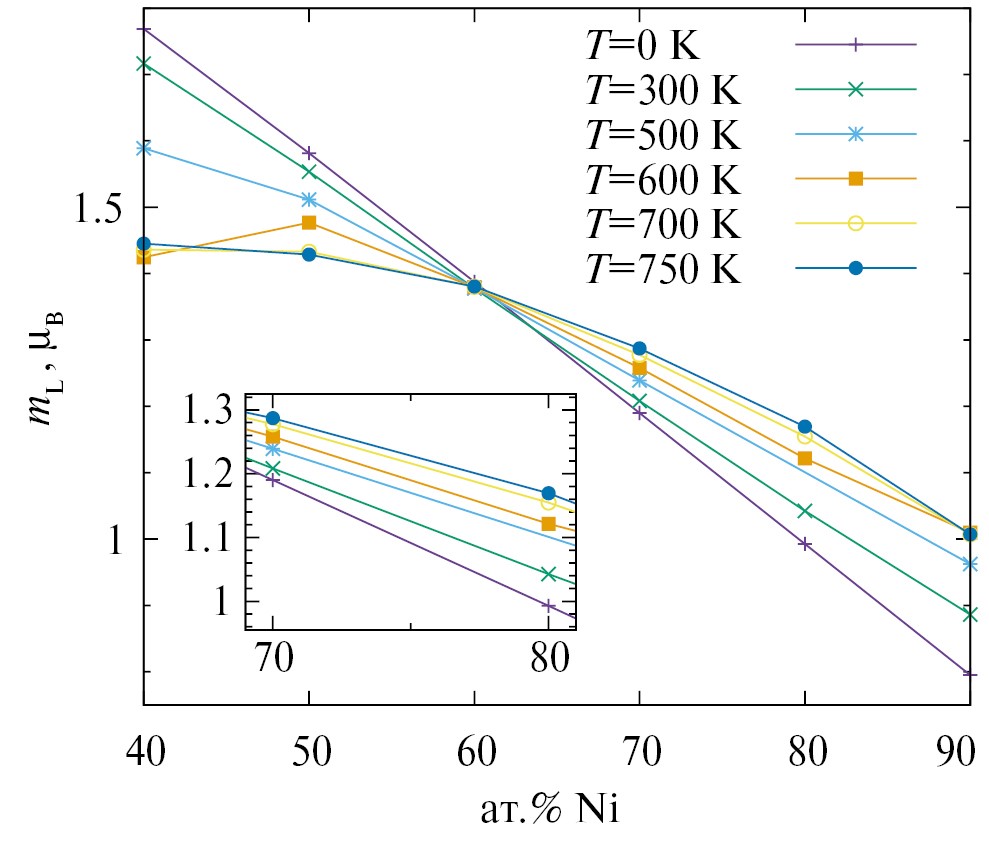
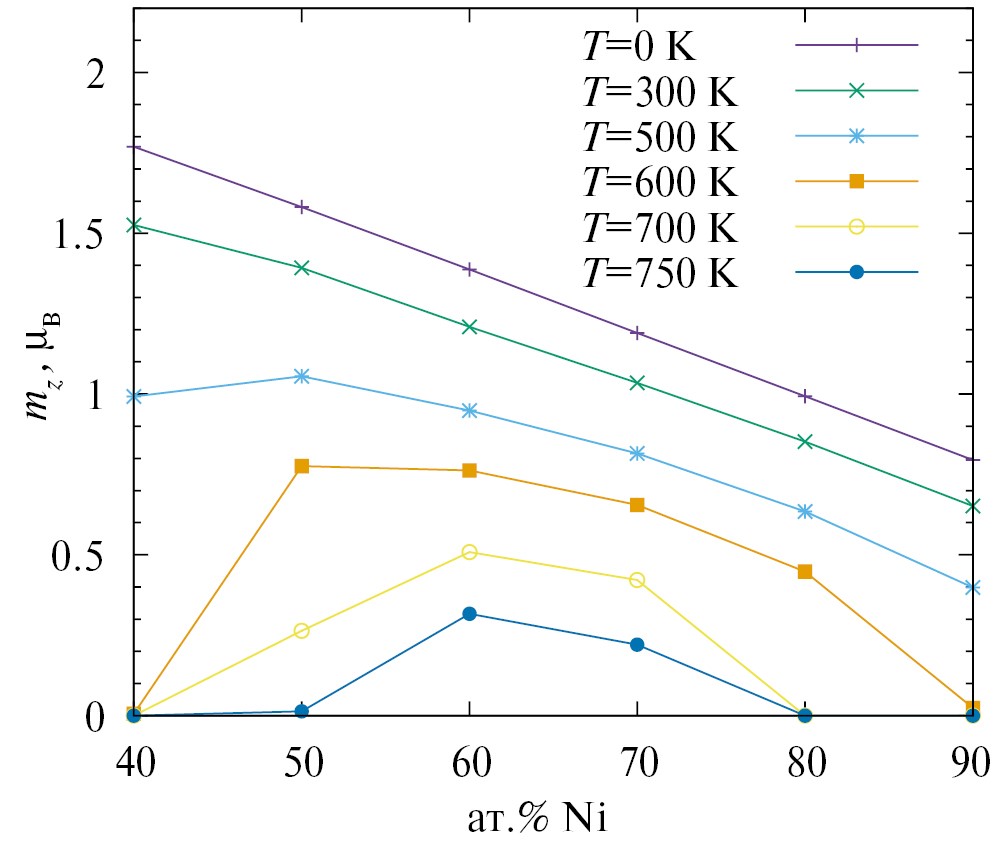
Для разупорядоченного ГЦК-сплава FexNi1–x исследуется зависимость температуры Кюри, спиновых флуктуаций, среднего и локального магнитных моментов от концентрации x. Показано, как зависимость среднего и локального магнитных моментов от концентрации меняется с температурой. Проблема рассматривается в перенормированной гауссовой аппроксимации динамической теории спиновых флуктуаций. Численные результаты находятся в хорошем согласии с экспериментом.
Полный текст
Об авторах
Н. Б. Мельников
Московский государственный университет им. М.В. Ломоносова
Автор, ответственный за переписку.
Email: melnikov@cs.msu.ru
Россия, Ленинские горы, Москва, 119991
Б. И. Резер
Институт физики металлов им. М.Н. Михеева УрО РАН
Email: melnikov@cs.msu.ru
Россия, ул. С. Ковалевской, 18, Екатеринбург, 620108
Список литературы
- Ebert H., Mankovsky S., Wimmer S. “Electronic structure: Metals and insulators” in Handbook of Magnetism and Magnetic Materials (Coey M. and Parkin S., eds.) Berlin: Springer, 2021. P. 1–73.
- Sharma M.K., Kumar A., Kumari K., Yadav N., Vij A., Koo B.H. Coexisting magnetic interaction, critical behavior and magnetocaloric effect at high temperature in Fe50Ni50 soft ferromagnetic alloy // J. Magn. Magn. Mater. 2024. V. 596. P. 171928.
- Swartzendruber L.J., Itkin V.P., Alcock C.B. The Fe-Ni (Iron-Nickel) System // J. Phase Equilibria, 1991. V. 12. P. 288–312.
- Xiong W., Zhang H., Vitos L., Selleby M. Magnetic phase diagram of the Fe–Ni system // Acta Mater. 2011. V. 59. P. 521–530.
- Kakehashi Y. Modern theory of magnetism in metals and alloys. Berlin: Springer, 2012.
- Poteryaev A.I., Skorikov N.A., Anisimov V.I., Korotin M.A. Magnetic properties of Fe1–xNix alloy from CPA+DMFT perspectives // Phys. Rev. B. 2016. V. 93. P. 205135.
- Crisan V., Entel P., Ebert H., Akai H., Johnson D.D., Staunton J.B. Magnetochemical origin for Invar anomalies in iron-nickel alloys // Phys. Rev. B. 2002. V. 66. P. 014416.
- Ruban A.V., Khmelevskyi S., Mohn P., Johansson B. Magnetic state, magnetovolume effects, and atomic order in Fe65Ni35 Invar alloy: A first principles study // Phys. Rev. B. 2007. V. 76. P. 014420.
- Takahashi C., Ogura M., Akai H. First-principles calculation of the Curie temperature Slater–Pauling curve // J. Phys.: Condens. Matter. 2007. V. 19. N 36. P. 365233.
- Kudrnovský J., Drchal V., Bruno P. Magnetic properties of fcc Ni-based transition metal alloys // Phys. Rev. B. 2008. V. 77. P. 224422.
- Ruban A.V. First-principles modeling of the Invar effect in Fe65Ni35 by the spin-wave method // Phys. Rev. B. 2017. V. 95. P. 174432.
- Melnikov N., Reser B. Dynamic Spin Fluctuation Theory of Metallic Magnetism. Berlin: Springer, 2018.
- Reser B.I. Temperature dependence of magnetic properties of a disordered Fe0.65Ni0.35 // Phys. Met. Metallogr. 2007. V. 103. P. 373–379.
- Melnikov N.B., Reser B.I., Grebennikov V.I. Extended dynamic spin-fluctuation theory of metallic magnetism // J. Phys.: Condens. Matter. 2011. V. 23. P. 276003.
- Paradezhenko G.V., Yudin D., Pervishko A.A. Random iron-nickel alloys: From first principles to dynamic spin fluctuation theory // Phys. Rev. B. 2021. V. 104. P. 245102.
- Melnikov N.B., Gulenko A.S., Reser B.I. Relation between magnetism and electronic structure of 3d-metal alloys in the Stoner theory and in the DSFT // Phys. Met. Metallogr. 2024. V. 125. N 1. P. 49–55.
- Paradezhenko G.V., Melnikov N.B., Reser B.I. Numerical continuation method for nonlinear system of scalar and functional equations // Comp. Math. Math. Phys. 2020. V. 60. P. 404–410.
- Reser B.I., Paradezhenko G.V., Melnikov N.B. Program suite MAGPROP 2.0. / Russian Federal Service for Intellectual Property (ROSPATENT), 2018.
- Bozorth R.M. Ferromagnetism. New York/Piscataway, NJ: Wiley-IEEE, 2nd ed. 1993.
- Ayuela A., March N.H. The magnetic moments and their long-range ordering for Fe atoms in a wide variety of metallic environments // Int. J. Quantum Chem. 2010. V. 110. P. 2725–2733.
- Slater J.C. Quantum Theory of Molecules and Solids, Vol. 4: The Self-Consistent Field for Molecules and Solids. New York: McGraw-Hill, 1974.
- Reser B.I., Rosenfeld E.V., Shipitsyn E.V. Spin correlators in the one-electron approximation applied to bcc iron // Phys. Met. Metallogr. 1990. V. 69. N 6. P. 48–57.
- White R.M. Quantum Theory of Magnetism. Berlin: Springer, 3rd ed. 2007.
- Minár J., Mankovsky S., Sipr O., Benea D., Ebert H. Correlation effects in fcc-FexNi1–x alloys investigated by means of the KKR-CPA // J. Phys.: Condens. Matter. 2014. V. 26. P. 274206.
- Crangle J., Hallam G.C. The magnetism of face-centered cubic and body-centered cubic iron-nickel alloys // Proc. R. Soc. Lond. A. 1963. V. 272. P. 119–132.
- Wijn H.P.J., ed. Magnetic Properties of Metals. 3d, 4d and 5d Elements, Alloys and Compounds. Landolt-Börnstein New Series. V. III/19a. Berlin: Springer, 1986.
- Kakehashi Y. Theory of the Invar effect in FeNi alloy // J. Phys. Soc. Jpn. 1981. V. 50. N 7. P. 2236–2245.
- Kakehashi Y. Systematic variations of magnetic properties in 3d transition metal alloys // Prog. Theor. Phys. Suppl. 1990. V. 101. P. 105–117.
- Shiga M., Yamamoto M. Magnetism and phase stability of fcc Fe-Co alloys precipitated in a Cu matrix // J. Phys.: Condens. Matter. 2001. V. 13. N 29. P. 6359.
- Glaubitz B., Buschhorn S., Brüssing F., Abrudan R., Zabel H. Development of magnetic moments in Fe1–xNix alloys // J. Phys.: Condens. Matter. 2011. V. 23. N 25. P. 254210.
- Melnikov N.B., Reser B.I., Paradezhenko G.V. Short-range order in metals above the Curie temperature // AIP Advances. 2018. V. 8. P. 101402.
Дополнительные файлы









