Structural and magnetic states of magnetostrictive alloys Fe3Me, Me = Al, Ga, Ge in a wide temperature range
- Authors: Balagurov A.M.1,2,3, Golovin I.S.1,2, Yerzhanov B.1,4,5, Kalugin K.V.1,3, Sumnikov S.V.1, Chernyshov D.Y.6
-
Affiliations:
- Joint Institute for Nuclear Research
- National Research Technological University MISiS
- Lomonosov Moscow State University
- Kazan Federal Universit
- Institute of Nuclear Physics of the Ministry of Energy of the Republic of Kazakhstan
- SNBL at ESRF
- Issue: Vol 126, No 1 (2025)
- Pages: 69-86
- Section: СТРУКТУРА, ФАЗОВЫЕ ПРЕВРАЩЕНИЯ И ДИФФУЗИЯ
- URL: https://journal-vniispk.ru/0015-3230/article/view/288555
- DOI: https://doi.org/10.31857/S0015323025010083
- EDN: https://elibrary.ru/BZPKQG
- ID: 288555
Cite item
Abstract
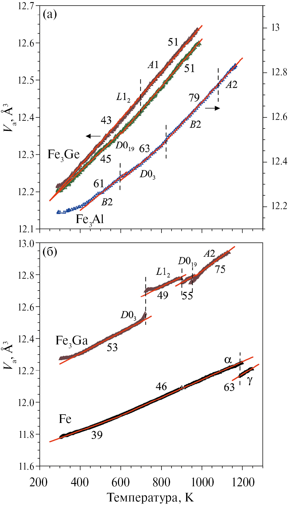
A series of diffraction experiments on a number of alloys similar in composition to stoichiometric Fe3Me with Me = Al, Ga, Ge were performed on X-ray, synchrotron, and neutron radiation sources. In the temperature range (20–1100 K), the structural, magnetic and microstructural characteristics of alloys were determined and their temperature evolution during continuous slow heating and subsequent cooling was studied. The information available in the literature on metastable and equilibrium states of alloys at elevated temperatures is clarified and specified, and their comparative analysis is performed. The identity of the temperature behavior of the alloys was observed at T < 100 K. The search for the tetragonal L60 phase, the formation of which in Fe–Ga alloys is considered as the main reason for the sharp increase in the magnetostriction constant, did not lead to a positive result.
Full Text
About the authors
A. M. Balagurov
Joint Institute for Nuclear Research; National Research Technological University MISiS; Lomonosov Moscow State University
Email: kirivale@yandex.ru
Russian Federation, Dubna, 141980; Moscow, 119049; Moscow, 119991
I. S. Golovin
Joint Institute for Nuclear Research; National Research Technological University MISiS
Email: kirivale@yandex.ru
Russian Federation, Dubna, 141980; Moscow, 119049
B. Yerzhanov
Joint Institute for Nuclear Research; Kazan Federal Universit; Institute of Nuclear Physics of the Ministry of Energy of the Republic of Kazakhstan
Email: kirivale@yandex.ru
Russian Federation, Dubna, 141980; Kazan, 420008; Almaty, 050032 Kazakhstan
K. V. Kalugin
Joint Institute for Nuclear Research; Lomonosov Moscow State University
Author for correspondence.
Email: kirivale@yandex.ru
Russian Federation, Dubna, 141980; Moscow, 119991
S. V. Sumnikov
Joint Institute for Nuclear Research
Email: kirivale@yandex.ru
Russian Federation, Dubna, 141980
D. Yu. Chernyshov
SNBL at ESRF
Email: kirivale@yandex.ru
France, 71 avenue des Martyrs, Grenoble
References
- Clark A.E., Hathaway K.B., Wun-Fogle M., Restorff J.B., Lograsso T.A., Keppens V.M., Petculescu G., Taylor R.A. Extraordinary magnetoelasticity and lattice softening in bcc Fe–Ga alloys // J. Appl. Phys. 2003. V. 93. P. 8621–8623.
- Restorff J.B., Wun-Fogle M., Hathaway K.B., Clark A.E., Lograsso T.A., Petculescu G. Tetragonal magnetostriction and magnetoelastic coupling in Fe–Al, Fe–Ga, Fe–Ge, Fe–Si, Fe–Ga–Al, and Fe–Ga–Ge alloys // J. Appl. Phys. 2012. V. 111. P. 023905.
- Kubaschewski O. Iron – Binary phase diagrams. Berlin: Springer-Verlag, 1982. 160 p.
- Ikeda O., Kainuma R., Ohnuma I., Fukamichi K., Ishida K. Phase equilibria and stability of ordered BCC phases in the Fe-rich portion of the Fe–Al system // Intermetallics. 2001. V. 9. P. 755–761.
- Okamoto H. Fe–Ga (Iron-Gallium) // J. Phase Equilibria and Diffusion. 2004. V. 25. P. 100.
- Okamoto H. Fe–Ge (Iron-Germanium) // J. Phase Equilibria and Diffusion. 2008. V. 29. P. 292.
- Ikeda O., Kainuma R., Ohnuma I., Fukamichi K., Ishida K. Phase equilibria and stability of ordered b.c.c. phases in the Fe-rich portion of the Fe–Ga system // J. Alloys Compd. 2002. V. 347. P. 198–205.
- Golovin I.S., Mohamed A.K., Bobrikov I.A., Balagurov A.M. Time-Temperature-Transformation from metastable to equilibrium structure in Fe–Ga // Mater. Letters. 2020. V. 263. P. 127257.
- Golovin I.S., Mohamed A.K., Palacheva V.V., Cheverikin V.V., Pozdnyakov A.V., Korovushkin V.V., Balagurov A.M., Bobrikov I.A., Fazel N., Mouas M., Gasser J.- G., Gasser F., Tabary P., Lan Q., Kovacs A., Ostendorp S., Hubek R., Divinski S., Wilde G. Comparative study of structure and phase transitions in Fe-(25-27)%Ga alloys // J. Alloy Comp. 2019. V. 811. P. 152030.
- Balagurov A.M., Sumnikov S.V., Cifre J., Palacheva V.V., Chubov D.G., Golovin I.S. In situ study of order-disorder transitions and anelasticity in Fe-26Al alloy // J. Alloys Comp. 2023. V. 932. P. 167663.
- Balagurov A.M., Samoylova N.Yu., Sumnikov S.V., Palacheva V.V., Golovin I.S. Structural and magnetic phase transitions in Fe3Ge: A neutron diffraction study // Phys. Rev. Mat. 2023. V. 7. P. 063603.
- Golovin I.S., Balagurov A.M., Bobrikov I.A., Sumnikov S.V., Mohamed A.K. Cooling rate as a tool of tailoring structure of Fe–(9–33%)Ga alloys // Intermetallics. 2019. V. 114. P. 106610.
- Drijver J.W., Sinnema S.G., Van der Woude F. Magnetic properties of hexagonal and cubic Fe3Ge // J. Phys. F: Met. Phys. 1976. V. 6. P. 2165–2177.
- Lograsso T.A., Ross A.R., Schlagel D.L., Clark A.E., Wun-Fogle M. Structural transformation in quenched Fe–Ga alloys // J. Alloy. Comp. 2003. V. 350. P. 95–101.
- Balagurov A.M., Chernyshov D.Yu., Bosak A.А., Bobrikov I.A., Sumnikov S.V., Golovin I.S. In-grain phase separation and structural ordering in Fe-Ga alloys seen from reciprocal space // Intermetallics. 2021. V. 128. P. 107016.
- Головин И.С., Палачева В.В., Мохамед А.К., Балагуров А.М. Структура и свойства Fe–Ga сплавов – перспективных материалов для электроники // ФММ. 2020. Т. 121. № 9. С. 937–980.
- Balagurov A.M. Scientific reviews: high-resolution Fourier diffraction at the IBR-2 reactor // Neutron News. 2005. V. 16. P. 8–12.
- Балагуров А.М., Головин И.С. Рассеяние нейтронов в исследованиях функциональных сплавов на основе железа (Fe–Ga, Fe–Al) // УФН. 2021. Т. 191. № 7. С. 738–759.
- Dyadkin V., Pattison Ph., Dmitriev V., Chernyshov D. A new multipurpose diffractometer PILATUS@SNBL // J. Synchrotron Radiat. 2016. V. 23. P. 825–829.
- Girard A., Nguyen-Thanh T., Souliou S.M., Stekiel M., Morgenroth W., Paolasini L., Minelli A., Gambetti D., Winkler B., Bosak A. A new diffractometer for diffuse scattering studies on the ID28 beamline at the ESRF // J. Synchrotron Radiat. 2019. V. 26. P. 272–279.
- Rodriguez-Carvajal J. Recent advances in magnetic structure determination by neutron powder diffraction // Physica B. 1993. V. 192. P. 55–69.
- Wojdyr M. Fityk: a general-purpose peak fitting program // J. Appl. Cryst. 2010. V. 43. P. 1126–1128.
- Sears V.F. Neutron scattering lengths and cross-sections // Neutron News. 1992. V. 3(3). P. 26–37.
- Gou J., Yang T., Qiao R., Liu Y., Ma T. Formation mechanism of tetragonal nanoprecipitates in Fe–Ga alloys that dominate the material’s large magnetostriction // Scr. Mater. 2020. V. 185. P. 129–133.
- Cahn R.W. Lattice parameter changes on disordering intermetallics // Intermetallics. 1999. V. 7. P. 1089–1094.
- Balagurov A.M., Bobrikov I.A., Sumnikov S.V., Golovin I.S. Coherent cluster ordering in Fe-xAl and Fe-xGa alloys // J. Alloy and Comp. 2021. V. 895. P. 162540.
- Clark J.B., Hastie J.W., Kihlborg L.H.E., Metselaar R., Thackeray M.M. Definitions of terms relating to phase transitions of the solid state // Pure & Appl. Chem. 1994. V. 66. P. 577594.
- Balagurov A.M., Samoylova N.Yu., Golovin I.S. Diffusive and displacive phase transitions in Fe–Ga alloys // Physica B. 2024. V. 676. P. 415668.
- Ашкрофт Н., Мермин Н. ФТТ. М.: МИР, 1979.
- Новикова С.И. Тепловое расширение твердых тел. М.: Наука, 1974. 199 с.
- Liu L., Shiyou F., Liu G., Wu G., Sun X., Li J. Transmission electron microscopy study on the microstructure of Fe85Ga15 alloy // Physica B. 2005. V. 365. P. 102–108.
- Jin T., Wang H., Chen Y., Li T., Wang J., Jiang C. Evolution of nanoheterogeneities and correlative influence on magnetostriction in FeGa-based magnetostrictive alloys // Mater. Characteriz. 2022. V. 186. P. 111780.
- Xing Q., Du Y., McQueeney R.J., Lograsso T.A. Structural investigations of Fe–Ga alloys: Phase relations and magnetostrictive behavior // Acta Mat. 2008. V. 56. P. 4536–4546.
- Sumnikov S.V., Bobrikov I.A., Golovin I.S., Balagurov A.M. Bulk vs. surface structural phases in Fe–27Ga alloy // J. Alloys Comp. 2022. V. 928. P. 167116.
- Yan K., Xu Y., Niu J., Wu Y., Li Y., Gault B., Zhao S., Wang X., Li Y., Wang J., Skokov K.P., Gutfleisch O., Wu H., Jiang D., He Y., Jiang C. Unraveling the origin of local chemical ordering in Fe-based solid-solutions // Acta Mat. 2024. V. 264. P. 119583.
- He Y., Ke X., Jiang C., Miao N., Wang H., Coey J.M.D., Wang Y., Xu H. Interaction of trace rare earth dopants and nanoheterogeneities induces giant magnetostriction in Fe-Ga alloys // Adv. Funct. Mater. 2018. V. 28. P. 1800858.
- Chen B., Gong Y., Zhang Z., Lu Z., Pan S., Guo Y., Xu F. Microstructure related disparity of the magnetostriction in the 100 oriented directionally solidified Fe81Ga19 polycrystals // Scripta Mater. 2023. V. 227. P. 115296.
- Zhao X., Ke Y., Xie S., Sun M., Jiang H., Li B., Wang X. Nanoprecipitation induced giant magnetostriction: A time-resolved small-angle neutron scattering study of the vacancy-assisted kinetics // J. Mat. Science & Techn. 2025. V. 210. P. 1–9.
- Balagurov A.M., Bobrikov I.A., Chernyshov D.Yu., Sohatsky A.S., Sumnikov S.V., Yerzhanov B., Golovin I.S. Tetragonal phases in Fe-Ga alloys: A quantitative study // Phys. Rev. Mat. 2024. V. 8. P. 073604.
- Albertini F., Pareti L., Deriu A., Negri D., Calestani G., Moze O., Kennedy S.J., Sonntag R. A magnetic and structural stydy of Mn, Co, and Ni substituted Fe3Ge2 hexagonal germanides // J. Appl. Phys. 1998. V. 84. P. 401–410.
- Wu R. Origin of large magnetostriction in FeGa alloys // J. Appl. Phys. 2002. V. 91. P. 7358–7360.
- Cullen J., Zhao P., Wuttig M. Anisotropy of crystalline ferromagnets with defects // J. Appl. Phys. 2007. V. 101. P. 123922.
- Ruffoni M.P., Pascarelli S., Grössinger R., Sato Turtelli R., Bormio-Nunes C., Pettifer R.F. Direct Measurement of Intrinsic Atomic Scale Magnetostriction // Phys. Rev. Lett. 2008. V. 101. P. 147202.
- Sun M., Jiang W., Ke Y., Ge B., Wang X., Fang Q. Tetragonal dipole dominated Zener relaxation in BCC-structured Fe-17at. %Ga single crystals // Acta Mat. 2023. V. 258. P. 119245.
- Golovin I.S. Anelastic Effects in Fe–Ga and Fe–Ga-Based Alloys: A Review // Materials 2023. V. 16. P. 2365.
- Черненков Ю.П., Ершов Н.В., Лукшина В.А. Влияние отжига в ферромагнитном состоянии на структуру сплава железа с 18% галлия // ФТТ. 2019. Т. 61. № 1. С. 12–21.
- Ершов Н.В., Клейнерман Н.М., Лукшина В.А., Черненков Ю.П., Шишкин Д.А., Смирнов О.П., Семенов В.Г. Ближний порядок в неупорядоченных твердых растворах алюминия в α-железе // ФТТ. 2023. Т. 65. № 3. С. 372–385.
- Johansson G., Gorbatov O.I., Etz C. Theoretical investigation of magnons in Fe-Ga alloys // Phys. Rev. B. 2023. V. 108. P. 184410.
Supplementary files
















