Эволюция структуры и упрочнение ванадия при деформации сдвигом под давлением
- Авторы: Гапонцева Т.М.1, Чащухина Т.И.1, Воронова Л.М.1, Дегтярев М.В.1, Пилюгин В.П.1, Карамышев К.Ю.1
-
Учреждения:
- Институт физики металлов УрО РАН
- Выпуск: Том 126, № 1 (2025)
- Страницы: 87-97
- Раздел: СТРУКТУРА, ФАЗОВЫЕ ПРЕВРАЩЕНИЯ И ДИФФУЗИЯ
- URL: https://journal-vniispk.ru/0015-3230/article/view/288566
- DOI: https://doi.org/10.31857/0015323025010093
- EDN: https://elibrary.ru/BZPEYF
- ID: 288566
Цитировать
Аннотация
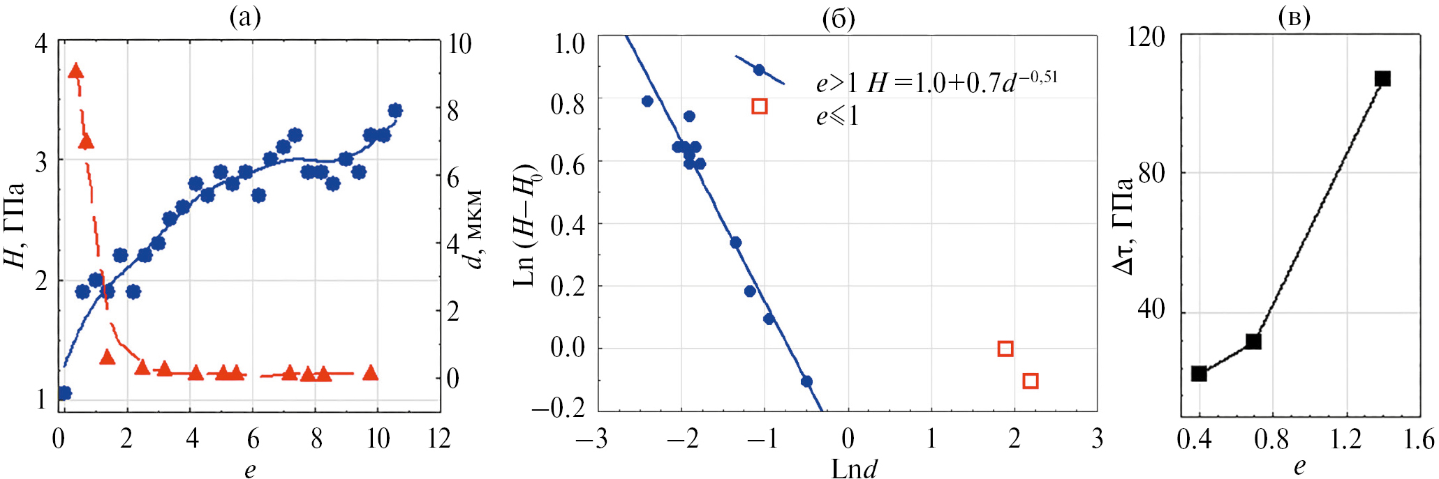
Исследованы эволюция структуры и твердость ванадия, деформированного сдвигом под давлением при комнатной температуре. При истинной деформации е<1 обнаружена ее локализация, приводящая к образованию полосовой структуры. Показано, что локализация деформации задерживает переход к СМК-структуре при последующей деформации. Обсуждаются причины образования полос деформации в ванадии. Установлено, что основной вклад в упрочнение ванадия при сдвиге под давлением на начальном этапе (е<1) вносят дислокации, а при дальнейшей деформации – большеугловые границы деформационного происхождения. Получены значения параметров уравнения типа Холла–Петча.
Ключевые слова
Полный текст
Об авторах
Т. М. Гапонцева
Институт физики металлов УрО РАН
Email: highpress@imp.uran.ru
Россия, ул. С. Ковалевской, 18, Екатеринбург, 620108
Т. И. Чащухина
Институт физики металлов УрО РАН
Email: highpress@imp.uran.ru
Россия, ул. С. Ковалевской, 18, Екатеринбург, 620108
Л. М. Воронова
Институт физики металлов УрО РАН
Автор, ответственный за переписку.
Email: highpress@imp.uran.ru
Россия, ул. С. Ковалевской, 18, Екатеринбург, 620108
М. В. Дегтярев
Институт физики металлов УрО РАН
Email: highpress@imp.uran.ru
Россия, ул. С. Ковалевской, 18, Екатеринбург, 620108
В. П. Пилюгин
Институт физики металлов УрО РАН
Email: highpress@imp.uran.ru
Россия, ул. С. Ковалевской, 18, Екатеринбург, 620108
К. Ю. Карамышев
Институт физики металлов УрО РАН
Email: highpress@imp.uran.ru
Россия, ул. С. Ковалевской, 18, Екатеринбург, 620108
Список литературы
- Трефилов В.И., Мильман Ю.В., Фирстов С.А. Физические основы прочности тугоплавких металлов. Киев: Наукова думка, 1975. 316 с.
- Weinberger C.R., Boyce B.L., Battaile C.C. Slip planes in bcc transition metals //International Mater. Rev. 2013. V. 58. № 5. Р. 296314.
- Swinburne T.D., Dudarev S.L., Fitzgerald S.P., Gilbert M.R., Sutton A.P. Theory and simulation of the diffusion of kinks on dislocations in bcc metals // Phys. Rev. B. 2013. V. 87. Р. 064108.
- Yang Cao, Song Ni, Xiaozhou Liao, Min Song, Yuntian Zhu. Structural evolutions of metallic materials processed by severe plastic deformation // Mater. Sci. Eng. R. 2018. V. 133. P. 1–59.
- Kraych A., Clouet E., Dezerald L., Ventelon L., Willaime F., Rodney D. Non-glide effects and dislocation core fields in BCC metals // Comp. Mater. 2019. V. 5. P. 109.
- Bienvenu B., Dezerald L., Rodney D., Clouet E. Ab initio informed yield criterion across body-centered cubic transition metals // Acta Mater. 2022. V. 236. P. 118098.
- Firstov S.A. Deformation Substructure and Mechanical Properties of BCC-Polycrystals / In: Conference of Nanomaterials by severe plastic deformation: Fundamentals Processing Application (NanoSPD2) / Eds. M.J. Zehetbauer, R.Z. Valiev. Proc. 2nd. Vienna, Austria, 2002. P. 72–79.
- Tang M., Kubin L.P., and Canova G.R. Dislocation mobility and the mechanical response of b.c.c. single crystals: a mesoscopic approach // Acta Mater. 1998. V. 46. № 9. P. 3221–3235.
- Starink M.J., Cheng X., Yang S. Hardening of pure metals by highpressure torsion: A physically based model employing volume-averaged defect evolutions // Acta Mater. 2013. V. 61. № 1. Р. 183–192.
- Kim J.-Y., Jang D., Greer J.R. Tensile and compressive behavior of tungsten, molybdenum, tantalum and niobium at the nanoscale // Acta Mater. 2010. V. 58. P. 2355.
- Shpeǐzman V.V., Nikolaev V.I., Smirnov B.I., Lebedev A.B., Kopylov V.I. Low-temperature deformation of nanocrystalline niobium // Phys. Solid State. 2000. V. 42. № 6. P. 1066.
- Han S.M., Feng G., Jung J.Y., Jung H.J., Groves J.R., Nix W.D., Cui Y. Critical-temperature/Peierls-stress dependent size effects in body centered cubic nanopillars // Appl. Phys. Lett. 2013. V. 102. P. 041910.
- Seung Min Han, Tara Bozorg-Grayeli, Groves J.R., and William D. Nix Size effects on strength and plasticity of vanadium nanopillars // Scripta Mater. 2010. V. 63. P. 1153–1156.
- Yilmaz H., Williams C.J., Risan J., Derby B. The size dependent strength of Fe, Nb and V micropillars at room and low temperature // Materialia. 2019. V. 7. P. 100424.
- Попова Е.Н., Попов В.В., Романов Е.П., Пилюгин В.П. Влияние степени деформации на структуру и термическую стабильность нанокристаллического ниобия, полученного сдвигом под давлением // ФММ. 2007. Т. 103. № 4. С. 426–432.
- Popov V.V., Popova E.N., Stolbovsky A.V., Pilyugin V.P. The Structure of Nb obtained by severe plastic deformation and its thermal stability // Mater. Sci. Forum. 2011. V. 409. P. 667–669.
- Popov V.V., Popova E.N., Stolbovskiy A.V. Nanostructuring Nb by various techniques of severe plastic deformation // Mater. Sci. Eng. A. 2012. V. 539. P. 22–29.
- Гапонцева Т.М., Дегтярев М.В., Пилюгин В.П., Чащухина Т.И., Воронова Л.М., Пацелов А.М. Влияние температуры деформации в наковальнях Бриджмена и исходной ориентировки на эволюцию структуры монокристаллического ниобия // ФММ. 2016. Т. 117. № 4. С. 349–361.
- Vorhauer A., Pippan R. On the Onset of a Steady State in Body-Centered Cubic Iron during Severe Plastic Deformation at Low Homologous Temperatures // Metall. and Mater. Trans. A. 2008. V. 39. P. 417–429.
- Дегтярев М.В., Воронова Л.М., Чащухина Т.И., Выходец Б.В., Давыдова Л.С., Куренных Т.Е., Пацелов А.М., Пилюгин В.П. Образование и эволюция субмикрокристаллической структуры в чистом железе при сдвиге под давлением // ФММ. 2003. Т. 96. № 6. С. 100–108.
- Voronova L.M., Chashchukhina T.I., Gapontseva T.M., Patselov A.M., Pilyugin V.P., Degtyarev M.V. Effect of single-crystal orientation on the molybdenum structure and hardness upon high pressure torsion // Intern. J. Refract. Met. Hard Mater. 2022. V. 103. P. 105754.
- Смирнова Н.А., Левит В.И., Пилюгин В.П., Кузнецов Р.И., Давыдова Л.С., Сазонова В.А. Эволюция структуры ГЦК монокристаллов при больших пластических деформациях // ФММ. 1986. Т. 61. № 6. С. 1170–1177.
- Владимиров В.И., Романов А.Е. Дисклинации в кристаллах. Л.: Наука, 1986. 224 с.
- Носкова Н.И. Дефекты и деформация монокристаллов. Екатеринбург: УрО РАН, 1995. 183 с.
- Gröger R., Chlup Z., Kuběnová T. Deformation twinning in vanadium single crystals tested in compression at 77 K // Mater. Sci. & Eng. A. 2018. V. 737. № 8. P. 413–421.
- Hohenwarter A., Wurster S. Deformation and fracture characteristics of ultrafine-grained vanadium // Mater. Sci. & Eng. A. 2016. V. 650. P. 492–496.
- Lee S., Edalati K., and Horita Z. Microstructures and Mechanical Properties of Pure V and Mo Processed by High-Pressure Torsion // Mater. Trans. 2010. V. 51. No. 6. P. 1072–1079.
- Huang Y., Lemang M., Zhang N.X., Pereira P.H.R., Langdon T.G. Achieving superior grain refinement and mechanical properties in vanadium through high-pressure torsion and subsequent short-term annealing // Mater. Sci. & Eng. A. 2016. V. 655. P. 60–69.
- Zhilyaev A.P. and Langdon T.G. Using high-pressure torsion for metal processing: Fundamentals and applications // Prog. Mater. Sci. 2008. V. 53. P. 893–979.
- Pereira P.H.R. and Figueiredo R.B. Finite Element Modelling of High-Pressure Torsion: An Overview // Mater. Trans. 2019. V. 60. № 7. Р. 1139–1150.
- Рыбин В.В. Большие пластические деформации и разрушение металлов. М: Металлургия, 1986. 224 с.
- Di Wan, Afrooz Barnoush. Plasticity in cryogenic brittle fracture of ferritic steels: Dislocation versus twinning // Mater. Sci. & Eng. A. 2019. V. 744. P. 335–339.
- Humphreys F.J. Review grain and subgrain characterization by electron backscatter diffraction // J. Mater. Sci. 2001. V. 36. P. 3833–3854.
- Calcagnotto M., Ponge D., Demir E., Raabe D. Orientation gradients and geometrically necessary dislocations in ultrafine grained dual-phase steels studied by 2D and 3D EBSD //Mater. Sci. & Eng. A. 2010. V. 527. P. 2738–2746.
- Galindo-Nava E.I., Rivera-Dı´az-del-Castillo P.E.J. Modelling plastic deformation in BCC metals: Dynamic recovery and cell formation effects // Mater. Sci. & Eng. A. 2012. V. 558. P. 641–648.
- Talantsev E.F., Degtyarev M.V., Chashchukhina T.I., Voronova L.M., and Pilyugin V.P. Piecewise Model with Two Overlapped Stages for Structure Formation and Hardening upon High-Pressure Torsion // Metal. Mater. Trans. A. 2021. V. 52. P. 4510–4517.
- Дегтярев М.В., Воронова Л.М., Чащухина Т.И. Особенности формирования и рекристаллизации субмикрокристаллической структуры закаленной стали 20Г2Р. Ч.1. Эволюция структуры при деформации сдвигом под давлением // ФММ. 2005. Т. 99. № 4. С. 75–82.
- Чащухина Т.И., Дегтярев М.В., Воронова Л.М. Формирование ультрадисперсной структуры в аустенитной стали, устойчивой к фазовому превращению под давлением // Изв. РАН. Сер. физическая. 2007. Т. 71. № 2. С. 287–289.
- Edalati K., Daio T., Arita M., Lee S., Horita Z., Togo A., Tanaka I. High-pressure torsion of titanium at cryogenic and room temperatures: Grain size effect on allotropic phase transformations // Acta Mater. 2014. V. 68. P. 207–213.
- Егорова Л.Ю., Хлебникова Ю.В., Пилюгин В.П., Реснина Н.Н. Калориметрия и особенности обратного ω→α фазового превращения в псевдомонокристаллах Zr и Ti // ФММ. 2022. Т. 123. № 5. С. 515–521.
- Пилюгин В.П., Воронова Л.М., Дегтярев М.В., Чащухина Т.И., Выходец В.Б., Куренных Т.Е. Эволюция структуры чистого железа при низкотемпературной деформации под высоким давлением // ФММ. 2010. Т. 110. № 6. С. 590–599.
- Пилюгин В.П., Гапонцева Т.М., Чащухина Т.И., Воронова Л.М., Щинова Л.И., Дегтярев М.В. Эволюция структуры и твердости никеля при холодной и низкотемпературной деформации под давлением // ФММ. 2008. Т. 105. Вып. 4. С. 438–448.
- Marulanda Cardona D.M., Wongsa-Ngam J., Jimenez H., Langdon T.G. Effects on hardness and microstructure of AISI 1020 low-carbon steel processed by high-pressure torsion // J. Mater. Res. Technol. 2017. V. 6. № 4. Р. 355.
- Dangwal S., Edalati K., Valiev R.Z. and Langdon T.G. Breaks in the Hall–Petch Relationship after Severe Plastic Deformation of Magnesium, Aluminum, Copper, and Iron // Crystals. 2023. V. 13. P. 413.
- Wu X.L., Zhu Y.T., Wei Y.G., Wei Q. Strong Strain Hardening in Nanocrystalline Nickel // Phys. Rev. Lett. 2009. V. 103. P. 205504.
- Yilmaz H., Williams C.J., Risan J., Derby B. The size dependent strength of Fe, Nb and V micropillars at room and low temperature // Materialia. 2019. V. 7. P. 100424.
- Zhuang Z., Liu Z., Cui Y. Strain Gradient Plasticity Theory at the Microscale / in Dislocation Mechanism-Based Crystal Plasticity. Theory and Computation at the Micron and Submicron Scale. 2019. P. 57–90.
- Tirsatine K., Baudin T., Mathon M.-H., Helbert A.-L., Brisset F., Bradai D. On the stored energy evolution after accumulative roll-bonding of invar alloy // Mater. Chem. Phys. 2017. V. 201. № 1. P. 408.
- Ashby M.F. The deformation of plastically non-homogeneous materials // Philos. Mag. A J. Theor. Exp. Appl. Phys. 1970. V. 21 (170). P. 399.
- Дегтярев М.В., Чащухина Т.И., Воронова Л.М. Зависимость твердости от параметров ультрадисперсной структуры железа и конструкционных сталей // ФММ. 2004. Т. 98. № 5. С. 98–110.
Дополнительные файлы












