Моделирование диффузии радиационных дефектов со смешанным 1d/3d-механизмом в упругих полях на примере ОЦК-металлов Fe И V
- Авторы: Демидов Д.Н.1, Сивак А.Б.1
-
Учреждения:
- НИЦ “Курчатовский институт
- Выпуск: Том 126, № 2 (2025)
- Страницы: 192-202
- Раздел: СТРУКТУРА, ФАЗОВЫЕ ПРЕВРАЩЕНИЯ И ДИФФУЗИЯ
- URL: https://journal-vniispk.ru/0015-3230/article/view/295089
- DOI: https://doi.org/10.31857/S0015323025020084
- EDN: https://elibrary.ru/AYWVVK
- ID: 295089
Цитировать
Аннотация
Предложен метод моделирования диффузии радиационных дефектов (РД) со смешанным 1D/3D-механизмом диффузии (дефект мигрирует одномерно, время от времени меняя направление своей одномерной миграции) в неоднородных упругих полях на основе объектного кинетического метода Монте-Карло. В рамках этого метода влияние упругого поля на частоты смен направления миграции РД и на частоты их скачков вдоль одномерных направлений учитывается с использованием дипольных тензоров соответствующих седловых конфигураций РД в рамках анизотропной линейной теории упругости. Такие дипольные тензоры определяются на основе анализа молекулярно-динамических данных о диффузии РД в однородных упругих полях с помощью разработанной кинетической модели. С использованием предложенного метода рассчитаны зависимости стоковых сил дислокаций для димежузлий от температуры (в диапазоне 293–1000 К) и дислокационной плотности (в интервале значений 1014–1015 м-2) в ОЦК-металлах Fe и V. Рассмотрены прямолинейные полные винтовые и краевые дислокации в системах скольжения ⟨111⟩{110}, ⟨111⟩{112}, ⟨100⟩{100}, ⟨100⟩{110}. Предложены аналитические выражения, аппроксимирующие расчетные зависимости стоковых сил дислокаций от температуры и дислокационной плотности.
Ключевые слова
Полный текст
Введение
Поля внутренних напряжений в металлах оказывают значительное влияние на образование и кинетику радиационных дефектов (РД – собственные точечные дефекты и их кластеры), определяя дополнительные (по сравнению с их отсутствием) особенности образования и распада их твердых растворов при термических и радиационных воздействиях. Дислокации являются основными источниками внутренних напряжений в металлах [1, 2]. В системе “дислокации – РД” формируются процессы, влияющие на радиационные свойства металлов (распухание, упрочнение, ползучесть, разрушение). Эти процессы зависят от симметрии кристаллических решеток, степени упругой анизотропии металлов и типов образующихся в них структурных дефектов [1, 2].
Разным типам дефектов присущи разные механизмы термоактивированной диффузии, которые могут значительно влиять на стоковые силы поглотителей [3–6]. Кластеры собственных междоузельных атомов (СМА), представляющие собой набор гантельных СМА, расщепленных вдоль одного из плотноупакованных направлений кристалла, двигаются одномерно вдоль этого направления до тех пор, пока не сменится направление расщепления составляющих кластер СМА (реориентация кластера). После этого кластер продолжает двигаться одномерно вдоль другого плотноупакованного направления кристалла. Реориентация кластера требует преодоления высокого энергетического барьера по сравнению с барьером для одномерной миграции вдоль текущего плотноупакованного направления. Поэтому реориентации кластеров являются относительно редкими событиями.
Такой смешанный 1D/3D-механизм диффузии присущ значительной части РД, образующихся под каскадообразующим повреждающим облучением в металлах [7]. До сих пор, насколько известно авторам, задачу о влиянии смешанного механизма диффузии РД на стоковые силы поглотителей рассматривали без учета влияния внутренних (неоднородных) упругих полей. В связи с этим представляется важным исследовать влияние упругих полей дислокаций на их стоковые силы для РД, обладающих смешанным механизмом диффузии. Результаты исследования таких процессов являются основой для дальнейшего построения и развития моделей формирования и изменения микроструктуры (образование и подвижность дислокаций) и свойств (жаропрочность, распухание, ползучесть, и др.) металлов при внешних воздействиях разной природы (радиационных, термических, механических) и интенсивности.
В настоящей работе предлагается метод моделирования диффузии РД со смешанным 1D/3D-механизмом диффузии в неоднородных упругих полях на основе объектного кинетического метода Монте-Карло (ОКМК). В рамках этого метода влияние упругого поля на частоты смен направления миграции РД и на частоты их скачков вдоль одномерных направлений учитывается с использованием дипольных тензоров соответствующих седловых конфигураций РД в рамках анизотропной линейной теории упругости (АЛТУ). Дипольные тензоры определяются на основе анализа молекулярно-динамических (МД) данных о диффузии РД в однородных упругих полях или с помощью молекулярно-статических (МС) расчетов.
Важный научный и практический интерес представляют объемно-центрированные кубические (ОЦК) металлические кристаллы Fe и V, являющиеся основой для разработки конструкционных сталей и сплавов для ядерных и термоядерных энергетических реакторов. В настоящей работе с использованием предложенного метода рассчитываются стоковые силы прямолинейных краевых и винтовых дислокаций в основных системах скольжения ⟨111⟩{110}, ⟨111⟩{112}, ⟨100⟩{001}, ⟨100⟩{011} для димеждоузлий в ОЦК-кристаллах Fe и V. На основе получаемой сетки численных значений стоковых сил дислокаций при дискретном наборе параметров задачи (интервалы температур 293–1000 K, дислокационных плотностей 1014–1015 м-2) строятся аналитические выражения, позволяющие рассчитать стоковые силы дислокаций для произвольных значений параметров в указанных интервалах.
Методы и модели
Метод моделирования смешанного 1D/3D-механизма диффузии. ОКМК-метод, с помощью которого в настоящей работе моделируется диффузия РД, основан на алгоритме “времени пребывания” (алгоритм “n-fold way”, или алгоритм “Bortz-Kalos-Lebowitz” — BKL-алгоритм) [8] и позволяет учесть дискретность кристаллической решетки, ее симметрию и механизмы диффузии моделируемых объектов. Для моделирования смешанного 1D/3D-механизма диффузии предлагается следующий подход. На каждом шаге алгоритма для объекта имеются следующие возможные события: скачки “вперед-назад” вдоль текущего плотноупакованного направления (краудионный механизм) и смены направлений миграции из текущего направления в прочие возможные.
Для ОЦК-кристаллов это приводит к необходимости знать 5 частот: две частоты для скачков РД “вперед-назад” и три частоты для смен направления миграции РД. В реальных кристаллах всегда имеются неоднородные упругие поля, поэтому необходимо учитывать зависимость частот этих событий от упругих полей.
Предположим, что температурные зависимости частот событий подчиняются закону Аррениуса:
, (1)
где n0 – предэкспоненциальный множитель, – разность энергий образования дефекта в седловой и стабильной конфигурациях, чьи положения в пространстве характеризуются радиус-векторами rSP и rSt соответственно, β = (kBT)‒1, kB – постоянная Больцмана, T – температура. Энергия образования дефекта, рассматриваемого как упругий диполь, зависит от поля упругих деформаций εkl, в котором он находится [9, 10]:
, (2)
где EF – энергия образования дефекта в отсутствие внешнего упругого поля, Rkl – дипольный тензор дефекта. Здесь и далее используется правило суммирования Эйнштейна по повторяющимся индексам k, l. Тогда, используя (2), можно записать:
, (3)
где E – высота энергетического барьера в отсутствие внешнего упругого поля, и – дипольные тензоры основной и седловой конфигураций РД соответственно.
Таким образом, частоты событий для РД могут быть рассчитаны с помощью (1) и (3), если известны дипольные тензоры соответствующих конфигураций РД и упругое поле, в котором находится РД (упругий диполь).
Методика определения параметров предлагаемого метода. Дипольные тензоры, соответствующие основной и седловой конфигурациям РД в процессе одномерной миграции вдоль плотноупакованного направления i, обозначим как и соответственно. Значения компонент тензоров и близки между собой, так как при краудионном механизме диффузии атомные конфигурации основного и седлового состояний различаются слабо (соответствующие энергии миграции обычно составляют не более нескольких сотых электронвольта [11, 12]), поэтому в рамках разрабатываемой модели считается, что = . Тогда для частот одномерной миграции из (1) и (3) следует:
, (4)
где , Em – энергия одномерной миграции РД в отсутствие внешнего упругого поля. Величину можно определить напрямую из МД-данных о величине коэффициента диффузии РД D при соответствующей температуре с помощью соотношения
, (5)
где λ – длина диффузионного скачка РД.
Тензоры для разных i обладают одинаковыми собственными значениями и различаются только направлениями собственных векторов (направление первого собственного вектора совпадает с ориентацией расщепленных СМА кластера).
Дипольный тензор для седловых конфигураций РД при реориентации Skl затруднительно определить МС-методом, поскольку РД, как правило, обладает множеством кристаллографически неэквивалентных метастабильных и седловых конфигураций, вклад каждой из которых в итоговую частоту реориентаций трудно определить без использования физически необоснованных упрощений или допущений. Поэтому в настоящей работе предлагается подход на основе анализа МД-данных, аналогичный предложенному в [13, 14], в котором определяются эффективные дипольные тензоры седловой конфигурации миграции дефектов путем анализа результатов МД-моделирования диффузии дефектов в однородно деформированных кристаллах.
Предположим, что эффективная седловая точка для процесса реориентации РД соответствует такой его конфигурации, в которой ориентация расщеплений СМА направлена вдоль среднего направления между начальными и конечными ориентациями типа ⟨111⟩, а сами СМА находятся в плоскости {110}, перпендикулярной этой ориентации. Такая конфигурация седлового состояния соответствует орторомбической симметрии, которой соответствует шесть различных возможных кристаллографически эквивалентных ориентаций [15]. Соответствующие им дипольные тензоры обладают одинаковыми собственными значениями и различаются только направлениями собственных векторов (направление первого собственного вектора совпадает с ориентацией расщепленных СМА-кластера).
Рассмотрим однородно деформированный кристалл, чья упругая деформация описывается тензором εkl. Пронумеруем плотноупакованные кристаллографические направления ОЦК-решетки , , , числами от 1 до 4 соответственно. Обозначим событие реориентации РД с направления i на j (i, j = 1, …, 4) комбинацией ij ( ). Частоту таких событий обозначим . Тогда для из (1) и (3) следует:
, (6)
где , E r – энергия реориентации РД в отсутствие внешнего упругого поля. Величину можно определить напрямую из МД-данных о частоте смен направления миграции дефекта при соответствующей температуре.
Пусть Pij – относительная частота событий ij. Pij можно оценить отношением количества произошедших за достаточно длительное время τ реориентаций ij (обозначим как Nij) к общему количеству произошедших за то же время τ реориентаций из ориентации i в любые другие (обозначим как ):
. (7)
Подставляя (6) в (7), получим
. (8)
Величины Nij и Ni, а значит и Pij через соотношение (7), могут быть определены с помощью алгоритма, разработанного в [16, 17], из МД-данных о диффузионных траекториях РД в условиях однородных внешних деформаций различных типов. Значения компонент тогда могут быть определены подгонкой рассчитанных Pij соотношениями (8). Далее для краткости будем опускать индексы ij в записи и индекс i в записи , если ij = 14 и i = 1 соответственно.
Для тензора деформации εkl известно разложение [18]:
, (9)
где εα – величины деформаций, – деформированное состояние. В случае орторомбической симметрии седловой точки для полного определения компонент тензоров Skl достаточно промоделировать три разных деформированных состояния [18]:
(10)
Для деформационного состояния V1 в силу симметрии кристалла из (8) следует Pij = 1/3, т. е. не зависят от e1. Поэтому определить из (8) компоненты тензора Skl невозможно. Однако из (6) можно получить соотношение для определения разности следов тензоров Mkl и Skl:
, (11)
где .
Для деформированного состояния V2 из (8) следует, что:
, ij = 12, 21, 43, 34, (12)
, ij = 13, 31, 24, 42, (13)
, ij = 14, 41, 23, 32, (14)
где X = βε2(S11 ‒ S33). Из соотношений (12–14) можно определить разность S11 ‒ S33.
Для деформированного состояния V4 из (8) следует, что:
, ij = 12, 13, 42, 43, (15)
, ij = 21, 24, 31, 34, (16)
, ij = 14, 41, (17)
, ij = 23, 32, (18)
где Y = 2βε4S12. Из соотношений (15–18) можно определить разность S11 ‒ S33.
Таким образом, определив величины TrSkl, S11 - S33 и S12, можно восстановить полный вид тензора Skl.
ОКМК-модель для расчета стоковых сил дислокаций. Модельный кристаллит представляет собой куб c периодическими граничными условиями на гранях, в котором содержатся прямолинейные краевые (КД) и винтовые (ВД) дислокации, ориентированные перпендикулярно граням модельного кристаллита. В табл. 1 приведены параметры рассмотренных дислокаций. Длину ребра кристаллита L выбирали равной 200, 400 и 600a, где а – параметр решетки кристалла. Дислокационные плотности ρd для указанных значений L равны 1.21∙1015, 3.04∙1014, 1.35∙1014 м‒2 для Fe соответственно и 1.10∙1015, 2.74∙1014, 1.21∙1014 м‒2 для V соответственно.
Таблица 1. Вектор Бюргерса b, нормаль к плоскости скольжения n, направление t рассмотренных прямолинейных краевых (КД) и винтовых (ВД) дислокаций в ОЦК-кристаллах Fe и V
Обозначение дислокации | b | n | t |
КД1 | ½[111] | [110] | [112] |
КД2 | ½[111] | [112] | [110] |
КД3 | [100] | [001] | [010] |
КД4 | [100] | [011] | [011] |
ВД1 | ½[111] | [110] | [111] |
ВД2 | [100] | [001] | [100] |
В процессе моделирования в модельном кристаллите всегда находился только один РД, траекторию которого моделировали до тех пор, пока он не приближался к дислокационной линии на расстояние, меньшее r0. После этого РД считался поглощенным и в кристаллите создавался новый РД в случайном местоположении. Радиус поглощения r0 выбирали равным 3a, следуя [19].
Частота , входящая в (4), рассчитана с помощью (5) из МД-значений D, полученных в отсутствие внешних (по отношению к РД) упругих полей для Fe и V в [20]. Частота реориентаций , входящая в (6), определена из МД-значений для общей частоты реориентаций в отсутствие внешних упругих полей, полученных в [16] и [17] для Fe и V соответственно. Упругие поля дислокаций рассчитывали в рамках АЛТУ алгебраическим методом [2]. Использованные при этом упругие постоянные C11, C12, C44 соответствуют величинам, которые дают потенциалы межатомного взаимодействия для Fe и V [21, 22]. При расчете использована дислокационная система координат (ДСК): ось Z противонаправлена направлению дислокации, ось Y задавали как нормаль к плоскости скольжения дислокации, а ось X определяли через векторное произведение ортов, задающих оси Y и Z. Значения тензоров Mkl и Skl для димеждоузлий в Fe и V, необходимых для учета влияния упругих полей на частоты миграции и реориентации, определены ниже.
Стоковую силу дислокаций рассчитывали как
, (19)
где D – коэффициент диффузии димежузлия в отсутствие упругого поля, соответствующий температуре моделирования , – среднее время жизни димежузлия от его возникновения до гибели на стоке. Поскольку стоковые силы дислокаций сильно связаны с величиной ρd, удобней обсуждать влияние других величин для безразмерной стоковой эффективности дислокаций:
. (20)
При определении k2 и x для каждой пары рассмотренных значений T и ρd рассчитывали 105 диффузионных траекторий, что обеспечило уровень случайной погрешности менее 1% при доверительной вероятности 99%.
Результаты и обсуждение
Тензоры Mkl и Skl. Анализ МД-траекторий [20] показал, что основной вклад в диффузию димежузлий вносит конфигурация, состоящая из двух параллельно ориентированных гантельных СМА с расщеплением вдоль направления <111>. Дипольный тензор Mkl для такой конфигурации в Fe определен в [12] МС-методом, а в V – рассчитан в настоящей работе по той же методике:
(21)
Для определения компонент тензоров в настоящей работе использованы МД-данные о диффузии димежузлий в условиях однородных деформаций различных типов, ранее полученные в [13] для диапазона величин деформаций [‒1%, 1%]. Для повышения точности определения Skl в настоящей работе проведено дополнительное МД-моделирование диффузии димежузлий в Fe для уровня деформаций ±1.2% по той же методике, что в [13].
Для статистически достоверного определения величин Pij необходимо, чтобы диффузионные траектории содержали достаточно большое количество смен направления миграции. Частота реориентаций в Fe на порядок меньше, чем в V при температурах выше комнатной [17]. Поэтому для определения значений Pij в Fe использована более высокая температура (800 К), чем в V (500 К).
На рис. 1 представлены рассчитанные по МД-данным для деформации V1 зависимости для димежузлий в Fe и V, а также их подгонка соотношением (11).
Видно, что соотношение (11) хорошо описывает характер зависимостей . Подгонка МД-данных соотношением (11) с учетом (21) дает для TrSkl значения 109.7 ± 0.1 и 104.8 ± 0.1 эВ для Fe и V соответственно.
Рис. 1. Зависимости νr(ε1) / νr 0 для димежузлий в Fe и V. Символы – МД данные. Штриховые линии – подгонка МД-данных соотношением (11).
На рис. 2 представлены рассчитанные по МД-данным для деформации V2 значения Pij, усредненные по всем указанным в (12—14) парам ij, в Fe и V. Штриховыми линиями приводится подгонка данных МД-расчетов с помощью соотношений (12–14). По результатам подгонки определено, что значения S11 ‒ S33 равны ‒5.0 ± 0.2 и ‒1.3 ± 0.1 эВ для Fe и V соответственно. Используя найденные значения TrSkl, определим значения S11 и S33: 34.9 и 39.9 эВ соответственно в Fe, 35.2 и 36.4 эВ соответственно в V.
Рис. 2. Зависимости Pij (ε2) для димежузлий в Fe и V: (а) ij = 12, 21, 43, 34, 13, 31, 24, 42; (б) ij = 14, 41, 23, 32. Символы – МД-данные. Штриховые линии – подгонка МД-данных соотношениями: (а) (12) и (13); (б) (14).
На рис. 3 представлены рассчитанные из МД-моделирования для деформации V4 и усредненные по всем указанным в (15–18) парам ij, значения Pij в Fe и V. Штриховыми линиями приводится подгонка данных МД-расчетов с помощью соотношений (15–18).
Рис. 3. Зависимости Pij (ε4) для димежузлий в Fe и V: (а) ij =12, 13, 42, 43, 21, 24, 13, 14; (б) ij = 14, 41, 23, 32. Символы – МД-данные. Штриховые линии – подгонка МД-данных соотношениями: (а) (15) и (16); (б) (17) и (18).
По результатам подгонки определено, что значения S12 составляют 11.8 ± 0.1 и 8.8 ± 0.1 эВ для Fe и V соответственно. Хорошее согласие теоретических зависимостей (12–18) с МД-данными на рис. 2, рис. 3 подтверждает сделанное в разд. “Методы и модели” предположение о том, что тензор Skl обладает орторомбической симметрией.
Приведем матричное представление эффективных дипольных тензоров седловых конфигураций реориентации Skl для димежузлий в Fe и V, соответствующих реориентациям из ориентации i = 1 в j = 4:
(22)
Аналогичные расчеты Skl при 500 и 600 K в Fe и 400 К в V показали, что Skl не зависит от температуры в пределах погрешности в рассмотренных температурных интервалах.
Значения Skl (22) близки к значениям Skl, которые можно определить, усреднив тензор (21) для i = 1 и i = 4:
(23)
Полученные оценки значений Skl (23) близко согласуются с непосредственным расчетом из МД-данных (22). Возможно, такое совпадение неслучайно и может быть использовано для кластеров большего размера, для которых набор статистики по реориентациям МД-методом затруднительней, чем для димежузлий. Этот вопрос заслуживает отдельного изучения.
Стоковые эффективности дислокаций для димежузлий в Fe и V. Для расчетов стоковых сил дислокаций для димежузлий использованы значения тензоров Mkl и Skl, приведенные в (21) и (22) соответственно. Расчеты проведены для каждой пары значений T и ρd для температур 293 K и 400–1000 K (с шагом 100 K) и дислокационных плотностей, соответствующих L = 200, 400 и 600a. Примеры рассчитанных диффузионных траекторий димежузлий для КД1 в Fe и ВД2 в V приведены на рис. 4, на которых отчетливо видны одномерные участки траекторий.
Рис. 4. Пример диффузионных траекторий димежузлий в упругом поле дислокаций в Fe и V при Т = 400 К: (а) Fe, КД1 (b параллелен оси X); (б) V, ВД2 (b перпендикулярен плоскости XY). Траектории – синие линии. Положение дислокаций отмечено красными символами.
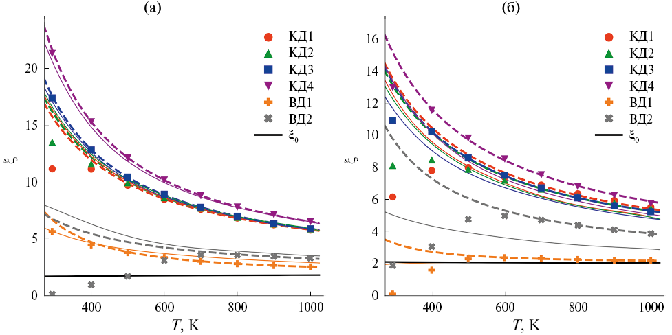
На рис. 5 представлены рассчитанные ОКМК-методом температурные зависимости стоковых эффективностей дислокаций различных типов для димежузлий в Fe и V при ρd, соответствующей L = 200a. ОКМК-данные при всех рассмотренных значениях ρd хорошо описываются аналитической аппроксимацией
, (24)
где A и B – подгоночные параметры, – рассчитанные значения ξ0 для рассматриваемых дислокаций при максимальной температуре моделирования 1000 К. Такой выбор обеспечивает корректную высокотемпературную асимптотику (24). Значения A, B и при ρd ≈ 1015 м‒2 сведены в табл. 2.
Рис. 5. Температурная зависимость стоковых эффективностей дислокаций разных типов для димежузлий при ρd ≈ 1015 м‒2 (L = 200а): (а) Fe, (б) V. Символы – ОКМК-данные. Штриховые линии – подгоночные кривые (24) с параметрами из табл. 2. Тонкие линии соответствующих цветов – зависимости для 3D-механизма диффузии, полученные в [23]. Разные цвета линий соответствуют разным типам дислокаций (указаны на рисунке). Сплошная черная линия – зависимость без учета взаимодействия димежузлий с дислокационным упругим полем.
Таблица 2. Подгоночные параметры соотношения (24) при ρd ≈ 1015 м-2 (L = 200a) в Fe и V
Тип дислокации | Fe | V | ||||
A, K | B, K2 | A, K | B, K2 | |||
КД1 | 1.843 | 2145 | 140.5 | 2.065 | 1631 | 0 |
КД2 | 1.838 | 2179 | 180.4 | 2.061 | 1571 | 0 |
КД3 | 1.871 | 2049 | 347.7 | 2.079 | 1533 | 124.4 |
КД4 | 1.828 | 2336 | 495.3 | 2.075 | 1836 | 65.19 |
ВД1 | 1.855 | 231.1 | 396.4 | 2.089 | 7.427 | 220.7 |
ВД2 | 1.858 | 778.9 | 0 | 2.073 | 795.0 | 294.7 |
Для дислокаций КД3, КД4 в Fe аппроксимации (24) хорошо описывают ОКМК-данные для всего рассмотренного температурного диапазона. Для остальных дислокаций аппроксимации (24) хорошо работают лишь выше некоторой температуры (для каждой дислокации эта температура своя). При определении параметров зависимостей (24) не учитывали ОКМК-данные, полученные для температур ниже обсуждаемой. В этой низкотемпературной области ОКМК-значения ξ лежат ниже кривых, описываемых зависимостью (24).
Анализ траекторий димежузлий показал, что такое снижение вызвано тем, что димежузлие, попав в область вблизи дислокации (r < 5a), проводит в ней длительное время, совершая множество скачков, не приближающих дефект к дислокации. В конце концов дефект все же достигает поверхности (r = r0 = 3a) и поглощается дислокацией. Этот эффект обусловлен тем, что упругое поле дислокации в этой области сильно понижает энергию образования димежузлия в ориентации, направление которой не ведет к дислокации, соответственно увеличивая барьер для реориентации в другие ориентации, способствующие приближению к дислокации. Будем далее такие области называть полевыми ловушками. Возникновение полевых ловушек наблюдали при всех рассмотренных дислокационных плотностях. Характер захвата РД в ловушки не зависел от дислокационной плотности, поскольку в пространственных областях, в которых они формируются, влияние упругих полей других дислокаций пренебрежимо мало.
В реальных кристаллах при попадании в такие ловушки РД рано или поздно поглотится близлежащей дислокацией, так как: 1) его выход из ловушки обратно в объем материала исключен из-за высокой энергии связи с дислокацией, 2) реакции с вакансиями практически исключены, так как упругое поле дислокаций пространственно разделяет потоки СМА и вакансий вблизи дислокационного ядра. В связи с этим учет влияния ловушек на стоковые эффективности нецелесообразен в моделях, основанных на приближении среднего поля (химическая кинетика), и рекомендуется в таких моделях использовать значения, определяемые (24).
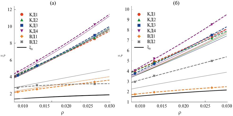
На рис. 6 представлены зависимости стоковых эффективностей дислокаций различных типов для димежузлий в Fe и V от дислокационной плотности при температуре 600 K. Для удобства представления данных стоковые эффективности приведены в зависимости от безразмерного параметра . Зависимости ξ(ρ) хорошо описываются соотношением
, (25)
где s и t – подгоночные параметры (табл. 3), а теоретическое значение ξ0, th в случае 3D-механизма диффузии определяется как [24, 25]
. (26)
Рис. 6. Зависимость стоковых эффективностей дислокаций разных типов для димежузлий от дислокационной плотности при T = 600 K: (а) Fe, (б) V. Символы – ОКМК-данные. Штриховые линии – подгоночные кривые (25) с параметрами из табл. 3. Тонкие линии соответствующих цветов – зависимости из [23] для 3D-механизма диффузии димежузлий. Разные цвета линий соответствуют разным типам дислокаций (указаны на рисунке). Сплошная черная линия – зависимость без учета взаимодействия димежузлий с дислокационным упругим полем.
Таблица 3. Подгоночные параметры соотношения (25) при T = 600 K
Тип дислокации | Fe | V | ||
s | t | s | t | |
КД1 | 2.106 | 34.63 | 2.174 | 23.34 |
КД2 | 2.136 | 34.88 | 2.192 | 21.35 |
КД3 | 1.940 | 44.82 | 1.901 | 33.07 |
КД4 | 2.030 | 52.19 | 1.971 | 39.88 |
ВД1 | 1.336 | 7.625 | 1.139 | ‒0.1234 |
ВД2 | 1.919 | ‒8.228 | 1.730 | 14.03 |
Соотношение (26) применимо для димежузлий со смешанным 1D/3D-механизмом диффузии, так как стоковая сила поглотителей слабо зависит от длины одномерных пробегов, когда последние сопоставимы с радиусом кривизны поглощающей поверхности [26]. В [16, 17] показано, что в Fe и V для димежузлий имеет место такой случай.
Влияние механизма диффузии на стоковую эффективность. Частота реориентаций РД оказывает заметное влияние на стоковую эффективность дислокаций в случае смешанного 1D/3D-механизма диффузии РД. Если она относительно высока, то РД довольно скоро приобретает ориентацию, которая позволяет ему быстро приблизиться к притягивающей его дислокации по прямолинейной траектории, что способствует увеличению стоковой силы дислокации относительно случая 3D-миграции РД. Если частота реоринтаций мала, то значительную часть времени РД может проводить, двигаясь по прямолинейным траекториям, не приближающим его к дислокации, что ведет к уменьшению стоковой силы дислокации относительно случая 3D-миграции РД. Таким образом, является параметром, регулирующим увеличение или уменьшение стоковой эффективности дислокации относительно случая 3D-миграции.
Сравнивая влияние частоты реориентаций на стоковую эффективность для различных материалов, в которых дефекты мигрируют с разной скоростью, удобнее вместо использовать безразмерное отношение , определяющее длину одномерных диффузионных пробегов. Для V в зависимости от температуры значение для димежузлий от одного (при 1000 К) до двух (при 300 К) порядков выше по сравнению с Fe. Такое высокое значение в V приводит к тому, что значения x для смешанного 1D/3D-механизма заметно (до 20%) выше, чем значения x для 3D-механизма диффузии, определенные ранее в [23] (рис. 5б, 6б). Для Fe, где значительно меньше, чем в V, такое различие намного меньше (рис. 5а, 6а). Прямая проверка показала, что дальнейшее уменьшение продолжает понижать значения x. Например, уменьшение на два порядка для дислокации КД4 в V при T = 400 К приводит к снижению x в 2 раза.
Заключение
- Разработан метод моделирования диффузии радиационных дефектов со смешанным 1D/3D-механизмом диффузии в неоднородных упругих полях на основе объектного кинетического метода Монте-Карло.
- Значения физических величин, параметризующих этот метод, для димежузлий в Fe и V определены из анализа результатов атомистических расчетов (МС и МД): дипольные тензоры основных и седловых конфигураций для процессов миграции и реориентации, частоты миграции и реориентации в отсутствие внешнего упругого поля ( и соответственно).
2.1. Дипольные тензоры основных и седловых конфигураций для миграции димежузлия близки друг к другу по величине и имеют тригональную симметрию.
2.2. Дипольные тензоры седловых конфигураций для реориентации димежузлий имеют орторомбическую симметрию.
2.3. Эти тензоры близки к тензорам, полученным путем усреднения рассчитанных МС-методом тензоров основных состояний до и после реориентации димежузлия.
- Разработанный метод (п. 1) использован для расчета зависимостей стоковых сил дислокаций для димежузлий от температуры (в диапазоне 293–1000 К) и дислокационной плотности (в интервале значений 1014–1015м-2) в ОЦК-металлах Fe и V. Рассмотрены прямолинейные полные винтовые и краевые дислокации в системах скольжения ⟨111⟩{110}, ⟨111⟩{112}, ⟨100⟩{100}, ⟨100⟩{110}. Предложены аналитические выражения, аппроксимирующие расчетные зависимости стоковых сил дислокаций от температуры и дислокационной плотности.
3.1. Длина одномерных пробегов РД значительно влияет на значения стоковой эффективности дислокаций для РД. Для V значения x для димежузлий со смешанным 1D/3D-механизмом диффузии до 20% выше, чем значения x для димежузлий с 3D-механизмом диффузии. Для Fe это различие гораздо меньше.
3.2. Упругое поле некоторых типов дислокаций на расстояниях, меньше 5a, формирует полевые ловушки для димежузлий за счет того, что сильно понижает их энергию образования в ориентации, направление которой не ведет к дислокации, соответственно увеличивая барьер для реориентации в другие ориентации, способствующие приближению к дислокации. Учет влияния полевых ловушек способствует заметному снижению стоковой эффективности дислокаций при температурах ниже 400–700 К (разброс обусловлен разными типами дислокаций).
- Результаты исследования таких процессов являются основой для дальнейшего построения и развития моделей формирования и изменения микроструктуры (образование и подвижность дислокаций) и свойств (жаропрочность, распухание, ползучесть и др.) металлов при внешних воздействиях разной природы (радиационных, термических, механических) и интенсивности.
Исследование выполнено за счет гранта Российского научного фонда (проект № 23-72-01090, https://rscf.ru/project/23-72-01090/, ФГБУ "Национальный исследовательский центр "Курчатовский институт", г. Москва.
Авторы данной работы заявляют, что у них нет конфликта интересов.
Об авторах
Д. Н. Демидов
НИЦ “Курчатовский институт
Автор, ответственный за переписку.
Email: Demidov_DN@nrcki.ru
Россия, Москва
А. Б. Сивак
НИЦ “Курчатовский институт
Email: Demidov_DN@nrcki.ru
Россия, Москва
Список литературы
- Elastic strain fields and dislocation mobility / Eds V.L. Indenbom, J. Lothe. North-Holland. Amsterdam: Elsevier Science, 1992. 793 p.
- Hirth J.P., Lothe J. Theory of Dislocations. New York: Wiley, 1982. 857 p.
- Heinisch H.L., Singh B.N., Golubov S.I. A kinetic Monte Carlo study of mixed 1D/3D defect migration // J. Comput. Aided Mater. Des. 1999. V. 6. P. 277–282.
- Barashev A.V., Golubov S.I., Trinkaus H. Reaction kinetics of glissile interstitial clusters in a crystal containing voids and dislocations // Philos. Mag. A. 2001. V. 81. P. 2515–2532.
- Trinkaus H., Heinisch H.L., Barashev A.V., Golubov S.I., Singh B.N. 1D to 3D diffusion-reaction kinetics of defects in crystals // Phys. Rev. B. 2002. V. 66. P. 06010.
- Malerba L., Becquart C.S., Domain C. Object kinetic Monte Carlo study of sink strengths // J. Nucl. Mater. 2007. V. 360. P. 159–169.
- Stoller R.E., Zarkadoula E. 1.20. Primary Radiation Damage Formation in Solids. Comprehensive Nuclear Materials (Second Edition). Elsevier. 2020. P. 620–662.
- Bortz A.B., Kalos M.H., Lebowitz J.L. A new algorithm for Monte Carlo simulation of Ising spin systems // J. Comput. Phys. 1975. V. 17. № 1. P. 10–18.
- Kröner E. Allgemeine Kontinuumstheorie der Versetzungen und Eigenspannungen // Arch. Rational Mech. An. 1959/60. V. 4. P. 273–334.
- Puls M.P., Woo C.H. Diaelastic polarizabilities due to vacancies and interstitials in metal // J. Nucl. Mater. 1986. V. 139. № 1. P. 48–59.
- Osetsky Y.N., Bacon D.J., Serra A., Singh B.N., Golubov S.I. One-dimensional atomic transport by clusters of self-interstitial atoms in iron and copper // Philos. Mag. 2003. V. 83. № 1. P. 61–91.
- Романов В.А., Сивак А.Б., Чернов В.М. Кристаллографические, энергетические и кинетические свойства собственных точечных дефектов и их кластеров в ОЦК-железе. 6. Кластеры собственных межузельных атомов // ВАНТ. Сер. Материаловедение и новые материалы. 2006. T. 66. № 1. C. 223–232.
- Демидов Д.Н., Сивак А.Б., Сивак П.А. Диффузия димежузлий в ОЦК-металлах Fe и V, подверженных внешним нагрузкам разных типов // ФММ. 2021. T. 122. № 11. C. 1164–1170.
- Demidov D.N., Sivak A.B., Sivak P.A. New method for calculation of radiation defect dipole tensor and its application to di-interstitials in copper // Symmetry. 2021. V. 13. No. 7. P. 1154.
- Новик А., Берри Б. Релаксационные явления в кристаллах / А. Новик, Б. Берри; пер. с англ.: под ред. Э.М. Надгорного, Я.М. Сойфера. М.: Атомиздат, 1975. 472 с.
- Sivak A.B., Demidov D.N., Sivak P.A. Diffusion characteristics of radiation defects in iron: molecular dynamics data // ВАНТ. Сер. Термоядерный синтез. 2021. T. 44. № 2. C. 148–157.
- Demidov D.N., Sivak A.B., Sivak P.A. Диффузионные характеристики кластеров собственных междоузельных атомов в ванадии: молекулярно-динамические данные // ФММ. 2023. T. 124. № 5. С. 400–408.
- Dederichs P.H., Schroeder K. Anisotropic diffusion in stress fields // Phys. Rev. B. 1978. V. 17. P. 2524‒2436.
- Sivak A.B., Sivak P.A., Romanov V.A., Chernov V.M. Dislocation sinks efficiencies for self-point defects in iron and vanadium crystals // Inorg. Mater.: Appl. Res. 2015. V. 6. No. 2. P. 105–113.
- Демидов Д.Н., Сивак А.Б., Сивак П.А. Кристаллографические, энергетические и диффузионные характеристики димежузлий в ОЦК-металлах Fe и V // ВАНТ. Сер. Термоядерный синтез. 2019. Т. 42. № 3. С. 85–96.
- Романов В.А., Сивак А.Б., Чернов В.М. Кристаллографические, энергетические и кинетические свойства собственных точечных дефектов и их кластеров в ОЦК-железе. 1. Полуэмпирическая модель ОЦК-железа и потенциал межатомного взаимодействия // ВАНТ. Сер. Материаловедение и новые материалы. 2006. Т. 66. № 1. С. 129–150.
- Романов В.А., Сивак А.Б., Сивак П.А., Чернов В.М. Равновесные и диффузионные характеристики собственных точечных дефектов в ванадии // ВАНТ. Сер. Термоядерный синтез. 2012. Т. 35. № 2. С. 60–80.
- Сивак А.Б., Демидов Д.Н., Сивак П.А. Эффективности дислокационных стоков для димежузлий в ОЦК (Fe, V) и ГЦК (Cu) металлах // ВАНТ. Сер. Материаловедение и новые материалы. 2021. Т. 109. № 3. С. 30–53.
- Wiedersich W. On the theory of void formation during irradiation // Radiat. Eff. 1972. V. 12. P. 111–125.
- Nichols F.A. On the estimation of sink-absorption terms in reaction-rate-theory analysis of radiation damage // J. Nucl. Mater. 1978. V. 75. P. 32–41.
- Trinkaus H., Heinisch H.L., Barashev A.V., Golubov S.I., Singh B.N. 1D to 3D diffusion-reaction kinetics of defects in crystals // Phys. Rev. B. 2002. V. 66. No. 6. 060105(R).
Дополнительные файлы








