Improving Salt Stress Tolerance of Plants with Endophytic Strains of Bacillus subtilis
- Authors: Kuramshina Z.M.1, Khairullin R.M.2
-
Affiliations:
- Sterlitamak Branch of Ufa University of Science and Technology
- Institute of Biochemistry and Genetics, Ufa Federal Research Center, Russian Academy of Sciences
- Issue: Vol 70, No 3 (2023)
- Pages: 259-268
- Section: ЭКСПЕРИМЕНТАЛЬНЫЕ СТАТЬИ
- URL: https://journal-vniispk.ru/0015-3303/article/view/130208
- DOI: https://doi.org/10.31857/S0015330322600760
- EDN: https://elibrary.ru/IBTMOJ
- ID: 130208
Cite item
Full Text
Abstract
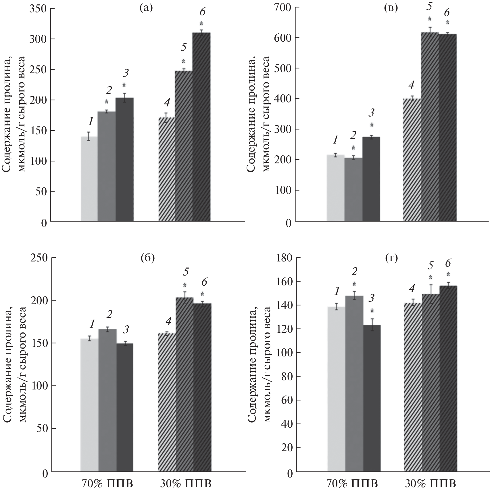
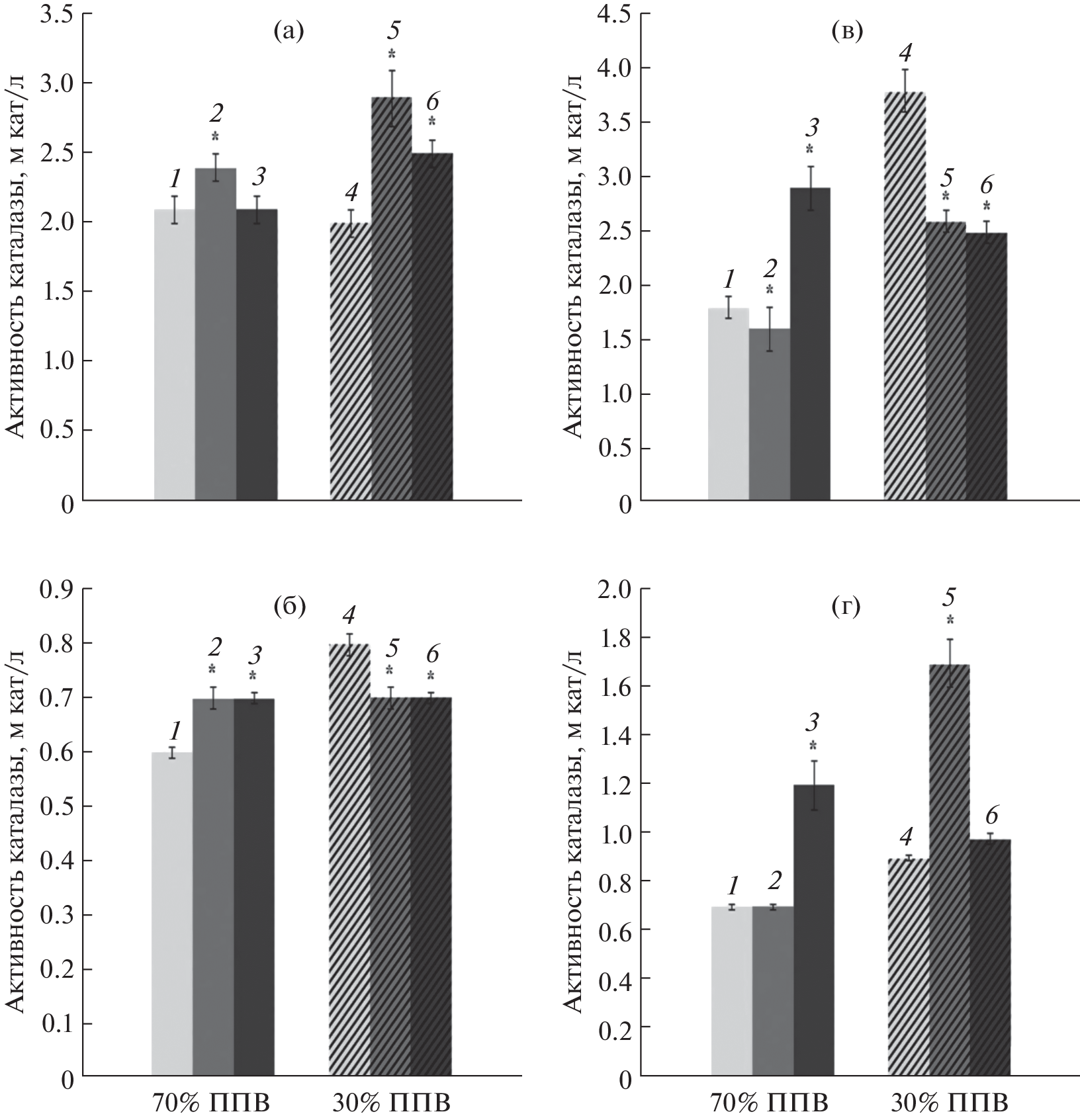
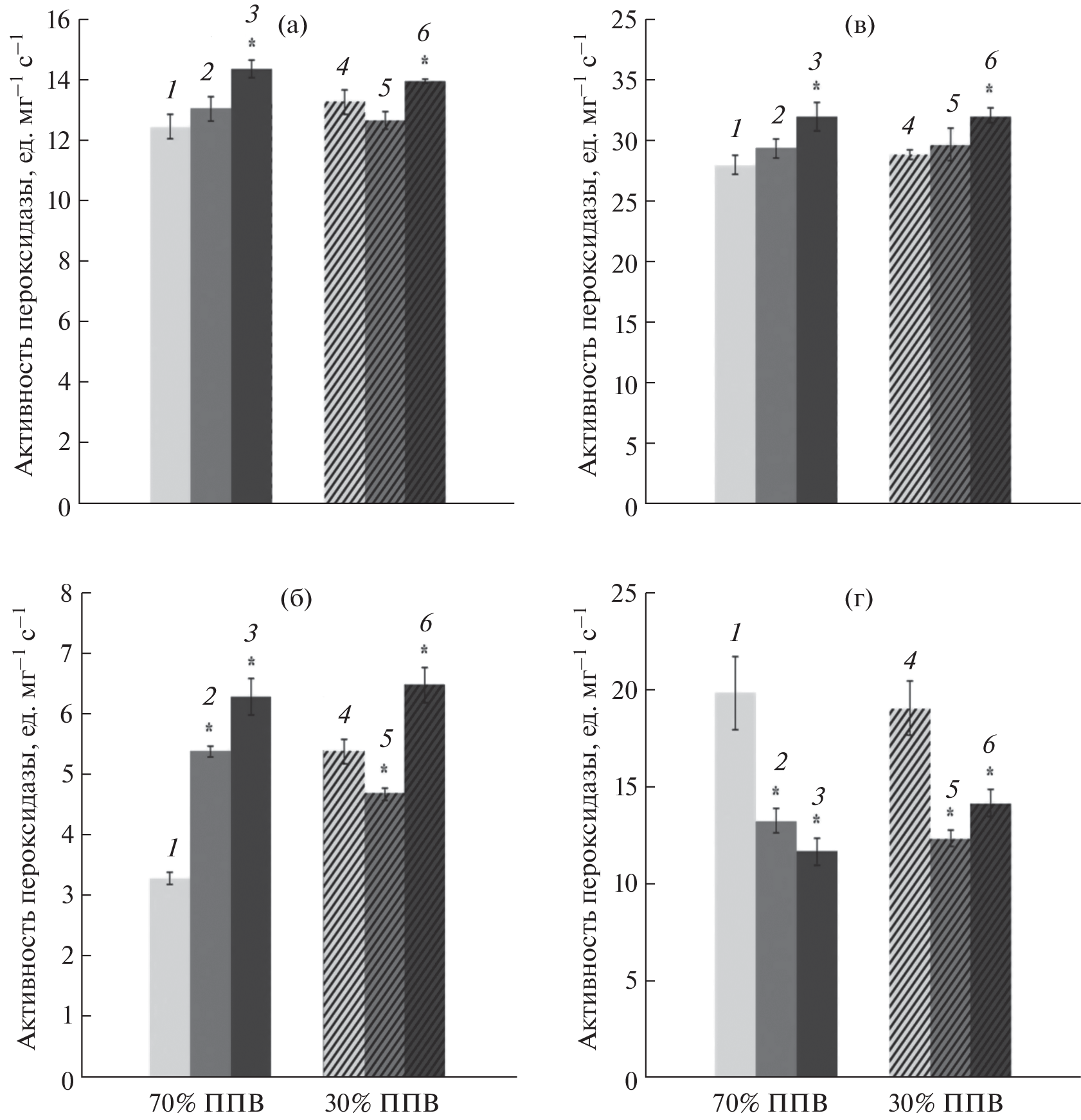
Effects of drought on plants of Triticum aestivum L., Brоmopsis inеrmis L., Pisum sativum L., and Zea mays L. inoculated with endophytic strains of Bacillus subtilis bacteria were studied. Presowing treatment of seeds with these bacteria was found to boost plant resistance to water deficit, stimulate their growth, and suppress oxidative stress. Based on the ability of the tested strains to cause antistress effect and activate the antioxidant system, it is concluded that plant treatments with them may favor growing of agricultural crops under drought conditions.
About the authors
Z. M. Kuramshina
Sterlitamak Branch of Ufa University of Science and Technology
Author for correspondence.
Email: kuramshina_zilya@mail.ru
Russian Federation, Sterlitamak
R. M. Khairullin
Institute of Biochemistry and Genetics, Ufa Federal Research Center, Russian Academy of Sciences
Email: kuramshina_zilya@mail.ru
Russian Federation, Ufa
References
- Bijalwan P., Sharma M., Kaushik P. Review of the effects of drought stress on plants: a systematic approach // Preprints. 2022. 2022020014. https://doi.org/10.20944/preprints202202.0014.v1
- Wu C., Wang T. Evaluating cumulative drought effect on global vegetation photosynthesis using numerous GPP products // Front. Environ. Sci. 2022. V. 10: 908875. https://doi.org/10.3389/fenvs.2022.908875
- Vidal C., González F., Santander C., Pérez R., Gallardo V., Santos C., Aponte H., Ruiz A., Cornejo P. Management of rhizosphere microbiota and plant production under drought stress: A Comprehensive Review // Plants. 2022. V. 11: 2437. https://doi.org/10.3390/ plants11182437
- Verma H., Kumar D., Kumar V., Kumari M., Singh S.K., Sharma V.K., Droby S., Santoyo G., White J.F., Kumar A. The potential application of endophytes in management of stress from drought and salinity in crop plants // Microorganisms. 2021. V. 9: 1729. https://doi.org/10.3390/ microorganisms9081729
- Poudel M., Mendes R., Costa L.A.S., Bueno C.G., Meng Y., Folimonova S.Y., Garrett KA., Martins S.J. The role of plant-associated bacteria, fungi, and viruses in drought stress mitigation // Front. Microbiol. 2021. V. 12: 743512. https://doi.org/10.3389/fmicb.2021.743512
- Abideen Z., Cardinale M., Zulfiqar F., Koyro H.-W., Rasool S.G., Hessini K., Darbali W., Zhao F., Siddique K.H.M. Seed endophyte bacteria enhance drought stress tolerance in Hordeum vulgare by regulating, physiological characteristics, antioxidants and minerals uptake // Front. Plant Sci. 2022. V. 3: 980046. https://doi.org/10.3389/fpls.2022.98004
- Verma H., Kumar D., Kumar V., Kumari M., Singh S.K., Sharma V.K., Droby S., Santoyo G., White J.F., Kumar A. The potential application of endophytes in management of stress from drought and salinity in crop plants // Microorganisms. 2021. V. 9: 1729. https://doi.org/10.3390/ microorganisms9081729
- Fadiji A.E., Santoyo G., Yadav A.N., Babalola O.O. Efforts towards overcoming drought stress in crops: Revisiting the mechanisms employed by plant growth-promoting bacteria // Front. Microbiol. 2022. V. 13: 962427. https://doi.org/10.3389/fmicb.2022.96242
- Bezrukova M.V., Lubyanova A.R., Fatkhutdinova R.A. The involvement of wheat and common bean lectins in the control of cell division in the root apical meristems of various plant species // Russian Journal of Plant Physiology. 2011. V. 58. P. 174.
- ГОСТ Р 53764-2009. Качество почвы. Определение содержания почвенной влаги в виде объемной доли с применением трубок для отбора пробы грунта. Гравиметрический метод. Москва: Стандартинформ, 2010. 6с. https://files.stroyinf.ru/Index2/1/4293823/4293823118.htm
- Khairullin R.M., Yarullina L.G., Troshina N.B., Akhmetova I.E. Chitooligosaccharide-induced activation of o-phenylenediamine oxidation by wheat seedlings in the presence of oxalic acid // Biochemistry (Moscow). 2001. V. 66. P. 286.
- Королюк М.А., Иванова Л.И., Майорова И.Г., Токарев В.Е. Метод определения активности каталазы // Лаб. дело. 1988. № 1. С. 16.
- Costa H., Gallego S.M., Tomaro M.L. Effect of UV-B radiation on antioxidant defense system in sunflower cotyledons // Plant Sci. 2002. V. 162. P. 939.
- Шихалеева Г.Н., Будняк А.К., Шихалеев И.И., Иващенко О.Л. Модифицированная методика определения пролина в растительных объектах // Вісник Харківського національного університету імені В.Н. Каразіна. Серія: біологія. 2014. Вип. 21. № 1112. С. 168.
- Мелентьев А.И. Аэробные спорообразующие бактерии Bacillus Cohc в агроэкосистемах. Москва: Наука, 2007. 147 с.
- Egorshina A.A., Luk’yantsev M.A., Khairullin R.M., Sakhabutdinova A.R. Involvement of phytohormones in the development of interaction between wheat seedlings and endophytic Bacillus subtilis strain 11BM // Russian Journal of Plant Physiology. 2012. V. 59. P. 134.
- Bogati K., Walczak M. The Impact of Drought Stress on Soil Microbial Community, Enzyme Activities and Plants // Agronomy. 2022. V. 12: 189. https://doi.org/10.3390/ agronomy12010189
- Курамшина З.М., Смирнова Ю.В., Хайруллин Р.М. Видовая отзывчивость сельскохозяйственных культур на инокуляцию семян клетками эндофитных бактерий B. subtilis // Научная жизнь. 2019. Т. 14. С. 279.
- Курамшина З.М., Хайруллин Р.М., Смирнова Ю.В. Сортовая отзывчивость Тriticum aestivum L. на инокуляцию клетками эндофитных штаммов Вacillus subtilis // Российская сельскохозяйственная наука. 2019. № 6. С. 3. https://doi.org/10.31857/S2500-2627201963-6
- Abdelaal K., AlKahtani M., Attia K., Hafez Y., Király L., Künstler A. The role of plant growth-promoting bacteria in alleviating the adverse effects of drought on plants // Biology. 2021. V. 10: 520. https://doi.org/10.3390/ biology10060520
- Ebrahimi M., Zamani G.R., Alizadeh Z. Antioxidant activity: a strategy for alleviating the effects of drought on Calendula officinalis L. // European Journal of Medicinal Plants. 2016. V. 15. P. 1. https://www.researchgate.net/publication/305450047
- Alharbi K., Rashwan E., Hafez E., Omara A.E.-D., Mohamed H.H., Alshaal T. Potassium Humate and Plant Growth-Promoting Microbes Jointly Mitigate Water Deficit Stress in Soybean Cultivated in Salt-Affected Soil // Plants. 2022 V. 11: 3016. https:// doi.org/https://doi.org/10.3390/plants11223016
- Cruz C., Cardoso P., Santos J., Matos D., Figueira E. Bioprospecting soil bacteria from arid zones to increase plant tolerance to drought: growth and biochemical status of maize inoculated with plant growth-promoting bacteria isolated from sal island, cape verde // Plants. 2022. V. 11: 2912. https://doi.org/10.3390/plants11212912
- Zhang L., Zhang W., Li Q., Cui R., Wang Z., Wang Y., Zhang Y.-Z., Ding W., Shen X. Deciphering the root endosphere microbiome of the desert plant Alhagi sparsifolia for drought resistance-promoting bacteria // Appl. Environ. Microbiol. 2020. V. 86: e02863-19. https://doi.org/10.1128/AEM.02863-19
Supplementary files






