The Role of SnRK1 Kinase in the Response of the Photosynthetic Machinery to Salinity Stress
- Authors: Murtuzova A.V.1, Tyutereva E.V.1, Voitsekhovskaja O.V.1
-
Affiliations:
- Laboratory of Molecular and Ecological Physiology, Komarov Botanical Institute, Russian Academy of Sciences
- Issue: Vol 70, No 3 (2023)
- Pages: 279-292
- Section: ЭКСПЕРИМЕНТАЛЬНЫЕ СТАТЬИ
- URL: https://journal-vniispk.ru/0015-3303/article/view/130213
- DOI: https://doi.org/10.31857/S0015330322600796
- EDN: https://elibrary.ru/IBVUFZ
- ID: 130213
Cite item
Full Text
Abstract
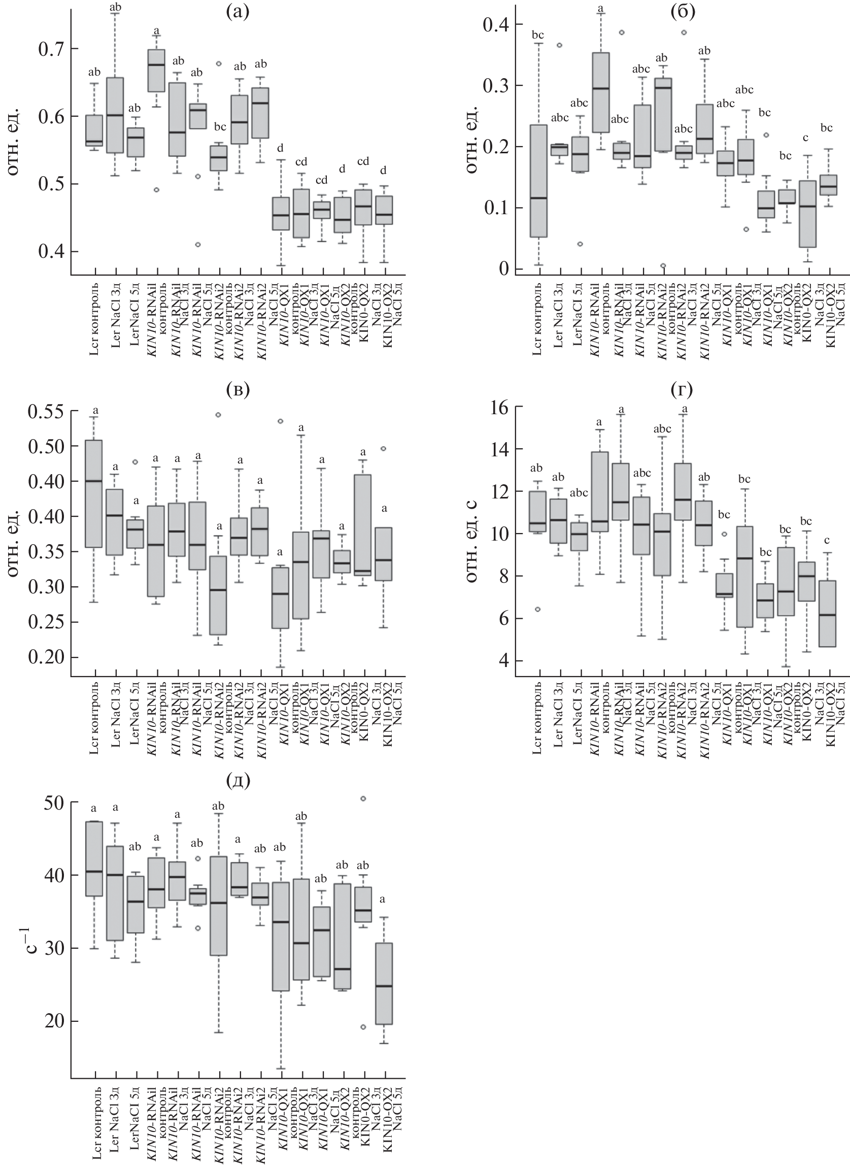
In plants, SnRK1 (Sucrose non-fermenting-Related protein Kinase 1) is one of the major activators of catabolic processes, including autophagy, during stress responses. SnRK1 generally acts as a sensor of the energy status of the cell. Photosynthesis is by far the largest energy-supplying process in green plant cells exposed to light; thus, SnRK1 might participate in its regulation. In leaves of Arabidopsis lines with different levels of the catalytic subunit of SnRK1, KIN10, quantum yields of photosystems and of non-photochemical quenching, formation of the transthylakoid proton motive force, and contents of ATP in seedlings were compared under optimal conditions and under salinity stress. We detected specific changes in the photochemical activity of the chloroplasts that were assigned to constant activation of SnRK1 in two lines with constitutive overexpression of KIN10, both under control conditions and under salinity stress. Furthermore, the inhibition of the SnRK1 activity by means of RNA interference in Arabidopsis led to a lack of response to salinity at the level of chloroplast photochemistry.
Keywords
About the authors
Alexandra V. Murtuzova
Laboratory of Molecular and Ecological Physiology, Komarov Botanical Institute, Russian Academy of Sciences
Email: ETutereva@binran.ru
Russian Federation, St. Petersburg
Elena V. Tyutereva
Laboratory of Molecular and Ecological Physiology, Komarov Botanical Institute, Russian Academy of Sciences
Author for correspondence.
Email: ETutereva@binran.ru
Russian Federation, St. Petersburg
Olga V. Voitsekhovskaja
Laboratory of Molecular and Ecological Physiology, Komarov Botanical Institute, Russian Academy of Sciences
Email: ETutereva@binran.ru
Russian Federation, St. Petersburg
References
- Shi L., Wu Y., Sheen J. TOR signaling in plants: conservation and innovation // Development. 2018. V. 145: dev160887. https://doi.org/10.1242/dev.160887
- Baena-González E., Rolland F., Thevelein J.M., Sheen J. A central integrator of transcription networks in plant stress and energy signaling // Nature. 2007. V. 448. P. 938.
- Margalha L., Confraria A., Baena-González E. SnRK1 and TOR: modulating growth–defense trade-offs in plant stress responses // J. Exp. Bot. 2019. V. 70. P. 2261.
- Nukarinen E., Nägele T., Pedrotti L., Wurzinger B., Mair A., Landgraf R., Börnke F., Hanson J., Teige M., Baena-Gonzalez E., Dröge-Laser W., Weckwerth W. Quantitative phosphoproteomics reveals the role of the AMPK plant ortholog SnRK1 as a metabolic master regulator under energy deprivation // Sci Rep. 2016. V. 6: 31697. https://doi.org/10.1038/srep31697
- Wurzinger B., Nukarinen E., Nägele T., Weckwerth W., Teige M. The SnRK1 kinase as central mediator of energy signaling between different organelles // Plant Physiol. 2018. V. 176. P. 1085.
- Bakshi A., Moin M., Kumar M.U., Reddy A.B.M., Ren M., Datla R., Siddiq E.A., Kirti P.B. Ectopic expression of Arabidopsis Target of Rapamycin (AtTOR) improves water-use efficiency and yield potential in rice // Sci Rep. 2017. V. 7: 42835. https://doi.org/10.1038/srep42835
- Dong P., Xiong F., Que Y., Wang K., Yu L., Li Z., Ren M. Expression profiling and functional analysis reveals that TOR is a key player in regulating photosynthesis and phytohormone signaling pathways in Arabidopsis // Front. Plant Sci. 2015. V.6:677. https://doi.org/10.3389/fpls.2015.00677
- Brunkard J.O., Xu M., Scarpin M.R., Chatterjee S., Shemyakina E.A., Goodman H.M., Zambryski P. TOR dynamically regulates plant cell–cell transport // PNAS. 2020. V. 117. P. 5049.
- Gutierrez-Beltran E., Crespo J.L. Compartmentalization, a key mechanism controlling the multitasking role of the SnRK1 complex // J. Exp. Bot. 2022. V. 73. P. 7055.
- Zhang Y., Primavesi L.F., Jhurreea D., Andralojc P.J., Mitchell R.A., Powers S.J., Schluepmann H., Delatte T., Wingler A., Paul M.J. Inhibition of SNF1-related protein kinase1 activity and regulation of metabolic pathways by trehalose-6-phosphate // Plant Physiol. 2009. V. 149. P. 1860.
- Yuan S., Zhang Z.-W., Zheng C., Zhao Z.-Y,; Wang Y., Feng L.-Y., Niu G., Wang C.-Q., Wang J.-H., Feng H., Xu F., Bao F., Hu Y., Cao Y., Ma L., Wang H., Kong D.-D., Xiao W., Lin H.-H., He Y. Arabidopsis Cryptochrome 1 functions in nitrogen regulation of flowering // PNAS. 2016. V. 113. P. 7661.
- Ramon M., Dang T.V.T., Broeckx T., Hulsmans S., Crepin N., Sheen J., Rolland F. Default activation and nuclear translocation of the plant cellular energy sensor SnRK1 regulate metabolic stress responses and development // Plant Cell. 2019. V. 31. P. 1614.
- Ruiz-Gayosso A., Rodríguez-Sotres R., Martínez-Barajas E., Coello P. A role for the carbohydrate-binding module (CBM) in regulatory SnRK 1 subunits: the effect of maltose on SnRK 1 activity // Plant J. 2018. V. 96. P. 163.
- Wang H., Han C., Wang J.G., Chu X., Shi W., Yao L., Chen J., Hao W., Deng Z., Fan M., Bai M.-Y. Regulatory functions of cellular energy sensor SnRK1 for nitrate signalling through NLP7 repression // Nat. Plants. 2022. V. 8. P. 1094.
- Martínez-Barajas E., Coello P. How do SnRK1 protein kinases truly work? // Plant Sci. 2020. V. 291: 110330. https://doi.org/10.1016/j.plantsci.2019.110330
- Zúñiga-Sánchez E., Rodríguez-Sotres R., Coello P., Martínez-Barajas E. Effect of catalytic phosphorylation on the properties of SnRK1 from Phaseolus vulgaris embryos // Physiol. Plant. 2018. V. 165. P. 632.
- Chen L., Su Z.-Z., Huang L., Xia F.-N., Qi H., Xie L.-J., Xiao S., Chen Q.-F. The AMP-activated protein kinase KIN10 is involved in the regulation of autophagy in Arabidopsis // Front. Plant Sci. 2017. V. 8:1201. https://doi.org/10.3389/fpls.2017.01201
- Soto-Burgos J., Bassham D.C. SnRK1 activates autophagy via the TOR signaling pathway in Arabidopsis thaliana // PLoS ONE 2017. V. 12:e0182591. https://doi.org/10.1371/journal.pone.0182591
- Hoagland D.R., Arnon D.I. The water-culture method for growing plants without soil // Circ. - Calif. Agric. Exp. Stn. 1950. V. 347. P. 1.
- Chomczynski P., Sacchi N. Single-step method of RNA isolation by acid guanidinium thiocyanate-phenol-chloroform extraction // Anal Biochem. 1987. V. 162. P. 156.
- Schmittgen T.D., Livak K.J. Analyzing real-time PCR data by the comparative C(T) method // Nat. Protocols. 2008. V. 3. P. 1101.
- Dmitrieva V.A., Domashkina V.V., Ivanova A.N., Sukhov V.S., Tyutereva E.V., Voitsekhovskaja O.V. Regulation of plasmodesmata in Arabidopsis leaves: ATP, NADP-H and chlorophyll b levels matter // J. Exp. Bot. 2021. V. 72. P. 5534.
- Schreiber U., Klughammer C. New accessory for the DUALPA-M-100: the P515/535 module and examples of its application // PAM Application Notes. 2008. V. 1. P. 1.
- Sukhov V., Surova L., Morozova E., Sherstneva O., Vodeneev V. Changes in H+-ATP synthase activity, proton electrochemical gradient, and pH in pea chloroplast can be connected with variation potential // Front. Plant Sci. 2016. V. 7:1092. https://doi.org/10.3389/fpls.2016.01092
- Kroemer S., Heldt H.-W. On the role of mitochondrial oxidative phosphorylation in photosynthesis metabolism as studied by the effect of oligomycin on photosynthesis in protoplasts and leaves of barley (Hordeum vulgare) // Plant Physiol. 1991. V. 95. P. 1270.
- Lundin A., Thore A. Comparison of methods for extraction of bacterial adenine nucleotides determined by firefly assay // Appl. Microbiol. 1975. V. 30. P. 713.
- Surova L., Sherstneva O., Vodeneev V., Katicheva L., Semina M., Sukhov V. Variation potential-induced photosynthetic and respiratory changes increase ATP content in pea leaves // J. Plant Physiol. 2016. V. 202. P. 57.
- Pan T., Liu M., Kreslavski V., Zharmukhamedov S., Nie C., Yu M., Kuznetsov V., Allakhverdiev S., Shabala S. Non-stomatal limitation of photosynthesis by soil salinity // Crit. Rev. Environ. Sci. Technol. 2021. V.51. P. 791.
- Zahra N., Al Hinai M.S., Hafeez M.B., Rehman A., Wahid A., Siddique K.H.M, Farooq M. Regulation of photosynthesis under salt stress and associated tolerance mechanisms // Plant Physiol. Biochem. 2022. V. 178. P. 55.
- Awlia M., Nigro A., Fajkus J., Schmoeckel S.-M., Negrão S., Santelia D., Trtílek M., Tester M., Julkowska M.-M., Panzarová K. High-throughput nondestructive phenotyping of traits that contribute to salinity tolerance in Arabidopsis thaliana // Front. Plant Sci. 2016. V.7:1414. https://doi.org/10.3389/fpls.2016.01414
- Takizawa K., Cruz J.A., Kanazawa A., Kramer D.M. The thylakoid proton motive force in vivo. Quantitative, non-invasive probes, energetics, and regulatory consequences of light-induced pmf // Biochim. Biophys. Act-a. 2007. V. 1767. P. 1233.
- Yamamoto H., Shikanai T. PGR5-Dependent Cyclic Electron Flow Protects Photosystem I under Fluctuating Light at Donor and Acceptor Sides // Plant Physiol. 2019. V. 179. P. 588.
- Spetea C., Herdean A., Allorent G., Carraretto L., Finazzi G., Szabo I. An update on the regulation of photosynthesis by thylakoid ion channels and transporters in Arabidopsis // Physiol Plant. 2017. V.161. P. 16.
- Davis G.A., Kanazawa A., Schöttler M.A., Kohzuma K., Froehlich J.E., Rutherford A.W., Satoh-Cruz M., Minhas D., Tietz S., Dhingra A., Kramer D.M. Limitations to photosynthesis by proton motive force-induced photosystem II photodamage // Elife. 2016. V. 5:e16921. https://doi.org/10.7554/eLife.16921
- Jamsheer M.K., Kumar M., Srivastava V. SNF1-related protein kinase 1: the many-faced signaling hub regulating developmental plasticity in plants // J. Exp. Bot. 2021. V. 72. P. 6042.
- Tyutereva E.V., Murtuzova A.V., Voitsekhovskaja O.V. Autophagy and the energy status of plant cells. Russ J. Plant Physiol. 2022. V. 69. P. 19. https://doi.org/10.1134/S1021443722020212
Supplementary files









