Фуранокумарины зонтичных: история исследования, разнообразие, генетические основы синтеза, физиологическая роль в растении и применение в медицине
- Авторы: Штратникова В.Ю.1,2
-
Учреждения:
- Федеральное государственное бюджетное образовательное учреждение высшего образования “Московский государственный университет имени М. В. Ломоносова”
- Научно-исследовательский институт физико-химической биологии им. А. Н. Белозерского
- Выпуск: Том 70, № 7 (2023)
- Страницы: 715-735
- Раздел: ОБЗОРЫ
- URL: https://journal-vniispk.ru/0015-3303/article/view/233769
- DOI: https://doi.org/10.31857/S0015330323600729
- EDN: https://elibrary.ru/CWIPAN
- ID: 233769
Цитировать
Полный текст
Аннотация
Обзор посвящен фуранокумаринам – классу веществ, представляющих собой совмещение пиронового, бензольного и фуранового колец, обладающих системой сопряженных двойных связей (которая в ряде случаев может нарушаться). Эта группа соединений широко изучается в настоящее время благодаря своим фототоксическим и лекарственным свойствам. В работе рассмотрены фуранокумарины естественного происхождения, выявленные в семействе Umbelliferae (Зонтичные), или Apiaceae (Сельдерейные), структурировано их многообразие, описана история исследования, известные к настоящему времени этапы их биосинтеза, а также некоторые примеры их биологической активности в растении, в культуре клеток и при медицинском использовании.
Ключевые слова
Об авторах
В. Ю. Штратникова
Федеральное государственное бюджетное образовательное учреждение высшего образования “Московский государственный университет имени М. В. Ломоносова”;Научно-исследовательский институт физико-химической биологии им. А. Н. Белозерского
Автор, ответственный за переписку.
Email: vtosha@yandex.ru
Россия, Москва
Список литературы
- Кузнецова Г.А. Природные кумарины и фурокумарины. Л.: Наука, 1967. 248 с.
- Пименов М.Г. Перечень растений – источников кумариновых соединений. Л.: Наука, 1971. 202 с.
- Malikov V.M., Saidkhodzhaev A.I., Aripov Kh.N. Coumarins: Plants, structure, properties. Chapter I. // Chem. Nat. Compd. 1998. V. 34. P. 202. https://doi.org/10.1007/BF02249149
- Murray R.D.H. Naturally occurring coumarins // Fortschritte der Chemie organischer Naturstoffe / Progress in the Chemistry of Organic Natural Products / Eds. W. Herz et al. Vienna: Springer Vienna, 2002. V. 83. P. 1. https://doi.org/10.1007/978-3-7091-6172-2_1
- Bruni R., Barreca D., Protti M., Brighenti V., Righetti L., Anceschi L., Mercolini L., Benvenuti S., Gattuso G., Pellati F. Botanical sources, chemistry, analysis, and biological activity of furanocoumarins of pharmaceutical interest // Molecules. 2019. V. 24. P. 2163. https://doi.org/10.3390/molecules24112163
- Sarker S.D., Nahar L. Progress in the chemistry of naturally occurring coumarins // Progress in the Chemistry of Organic Natural Products 106 / Eds. A.D. Kinghorn et al. Springer International Publishing, 2017. V. 106. P. 241. https://doi.org/10.1007/978-3-319-59542-9_3
- Schlatter C.H. Ueber Peucedaninum, einen neuen eigenthümlichen Pflanzenstoff aus der Rad. Peucedani // Ann. Pharm. 1833. V. 5. P. 201. https://doi.org/10.1002/jlac.18330050209
- Ohme C. Ueber die Zusammensetzung des Bergamottöls // Ann. Pharm. 1839. V. 31. P. 316. https://doi.org/10.1002/jlac.18390310309
- Schnedermann G., Winckler F.L. Ueber das Athamantin // Ann. Chem. Pharm. 1844. V. 51. P. 315. https://doi.org/10.1002/jlac.18440510303
- Kadyrova F.R., Shamsutdinov M.I., Shakirov T.T., Abubakirov N.K., Usmanov B.Z., Khamidkhodzhaev S.A., Sultanov M.B., Khanov M.T. Photosensitizing agent “psoberan” for treating (vitiligo) leukoderma and nidulate baldness. SU patent 591188, 1978.
- Zhu C. Chinese medical preparation of psoralen and isopsoralen for treating vitiligo and psoriasis, and its preparation. CN patent 1839922, 2006.
- Chen J., Huang A., Ren F., Cheng S., Ren J. Application of sphondin as active ingredient in preparing medicine for treating hepatitis B. CN patent 113069445, 2021.
- Rui Y., Li T., Qiu Y., Chu Z. Application of imperatorin in preparing the medicine for preventing and treating ischemic brain apoplexy. CN patent 1380059, 2002.
- Sin K.H. Use of byakangelicin and its tertiary-O-methyl derivative for treating cataract. WO patent 9401106, 1994.
- Yu F. Health product containing oxypeucedanin and application of oxypeucedanin for treating neurosis. CN patent 103948036, 2014.
- Chang Y., Wang Y., Li J., He J., Pang X., Liu R., Chen S., Liang C. Columbianadin in preparing pharmaceutical drug for treating and preventing rheumatoid arthritis. CN patent 112791082, 2021.
- Liang Q., Wang Y., Wang Q., Xu H., Shi Q., Wang T., Qi X., Jia Q., Wang Y., Liu Y., Wang X., Xu C., Liu L., Zhang L., Liu S., et al. Small molecule compound for treating rheumatic arthritis and application thereof. CN patent 109091477, 2018.
- Rodrigues J.L., Gomes D., Rodrigues L.R. Challenges in the heterologous production of furanocoumarins in Escherichia coli // Molecules. 2022. V. 27. P. 7230. https://doi.org/10.3390/molecules27217230
- Zhao Y., Jian X., Wu J., Huang W., Huang C., Luo J., Kong L. Elucidation of the biosynthesis pathway and heterologous construction of a sustainable route for producing umbelliferone // J. Biol. Eng. 2019. V. 13. P. 44. https://doi.org/10.1186/s13036-019-0174-3
- Yang W.-Q., Song Y.-L., Zhu Z.-X., Su C., Zhang X., Wang J., Shi S.-P., Tu P.-F. Anti-inflammatory dimeric furanocoumarins from the roots of Angelica dahurica // Fitoterapia. 2015. V. 105. P. 187. https://doi.org/10.1016/j.fitote.2015.07.006
- Stanjek V., Boland W. Biosynthesis of angular furanocoumarins: mechanism and stereochemistry of the oxidative dealkylation of columbianetin to angelicin in Heracleum mantegazzianum (Apiaceae) // HCA. 1998. V. 81. P. 1596. https://doi.org/10.1002/(SICI)1522-2675(19980909)81 : 9<1596::AID-HLCA1596>3.0.CO;2-F
- Dugrand-Judek A., Olry A., Hehn A., Costantino G., Ollitrault P., Froelicher Y., Bourgaud F. The distribution of coumarins and furanocoumarins in Citrus species closely matches citrus phylogeny and reflects the organization of biosynthetic pathways // PLoS One. 2015. V. 10. P. e0142757. https://doi.org/10.1371/journal.pone.0142757
- Park J.H., Park N.I., Xu H., Park S.U. Cloning and characterization of phenylalanine ammonia-lyase and cinnamate 4-hydroxylase and pyranocoumarin biosynthesis in Angelica gigas // J. Nat. Prod. 2010. V. 73. P. 1394. https://doi.org/10.1021/np1003356
- Sui Z., Luo J., Yao R., Huang C., Zhao Y., Kong L. Functional characterization and correlation analysis of phenylalanine ammonia-lyase (PAL) in coumarin biosynthesis from Peucedanum praeruptorum Dunn // Phytochemistry. 2019. V. 158. P. 35. https://doi.org/10.1016/j.phytochem.2018.11.006
- Gravot A., Larbat R., Hehn A., Lièvre K., Gontier E., Goergen J.-L., Bourgaud F. Cinnamic acid 4-hydroxylase mechanism-based inactivation by psoralen derivatives: cloning and characterization of a C4H from a psoralen producing plant—Ruta graveolens—exhibiting low sensitivity to psoralen inactivation // Arch. Biochem. Biophys. 2004. V. 422. P. 71. https://doi.org/10.1016/j.abb.2003.12.013
- Hübner S., Hehmann M., Schreiner S., Martens S., Lukačin R., Matern U. Functional expression of cinnamate 4-hydroxylase from Ammi majus L. // Phytochemistry. 2003. V. 64. P. 445. https://doi.org/10.1016/S0031-9422(03)00265-6
- Liu T., Yao R., Zhao Y., Xu S., Huang C., Luo J., Kong L. Cloning, functional characterization and site-directed mutagenesis of 4-coumarate: coenzyme A ligase (4CL) involved in coumarin biosynthesis in Peucedanum praeruptorum Dunn // Front. Plant Sci. 2017. V. 8. https://doi.org/10.3389/fpls.2017.00004
- Vialart G., Hehn A., Olry A., Ito K., Krieger C., Larbat R., Paris C., Shimizu B., Sugimoto Y., Mizutani M., Bourgaud F. A 2-oxoglutarate-dependent dioxygenase from Ruta graveolens L. exhibits p-coumaroyl CoA 2′-hydroxylase activity (C2′H): a missing step in the synthesis of umbelliferone in plants: C2′H involved in umbelliferone synthesis // The Plant J. 2012. V. 70. P. 460. https://doi.org/10.1111/j.1365-313X.2011.04879.x
- Yao R., Zhao Y., Liu T., Huang C., Xu S., Sui Z., Luo J., Kong L. Identification and functional characterization of a p-coumaroyl CoA 2′-hydroxylase involved in the biosynthesis of coumarin skeleton from Peucedanum praeruptorum Dunn // Plant Molecular Biology. 2017. V. 95. P. 199. https://doi.org/10.1007/s11103-017-0650-4
- Roselli S., Olry A., Vautrin S., Coriton O., Ritchie D., Galati G., Navrot N., Krieger C., Vialart G., Bergès H., Bourgaud F., Hehn A. A bacterial artificial chromosome (BAC) genomic approach reveals partial clustering of the furanocoumarin pathway genes in parsnip // Plant J. 2017. V. 89. P. 1119. https://doi.org/10.1111/tpj.13450
- Bourgaud F., Olry A., Hehn A. Recent advances in molecular genetics of furanocoumarin synthesis in higher plants // Recent Advances in Redox Active Plant and Microbial Products: From Basic Chemistry to Widespread Applications in Medicine and Agriculture / Eds. C. Jacob et al. Dordrecht: Springer Netherlands, 2014. P. 363. https://doi.org/10.1007/978-94-017-8953-0_14
- Caporale G., Dall’Acqua F., Marciani S., Capozzi A. Studies on the biosynthesis of psoralen and bergapten in the leaves of Ficus carica // Z. Naturforsch. B. 1970. V. 25. P. 700. https://doi.org/10.1515/znb-1970-0709
- Steck W., Brown S.A. Biosynthesis of angular furanocoumarins // Can. J. Biochem. 1970. V. 48. P. 872. https://doi.org/10.1139/o70-137
- Innocenti G., Dall’Acqua F., Caporale G. Biosynthesis of linear furocoumarins: further studies on the role of 7-dimethylsuberosin // Atti Ist. Veneto Sci., Lett. Arti, Cl. Sci. Mat. Nat. 1979. V. 137. P. 219.
- Brown S.A., Steck W. 7-Demethylsuberosin and osthenol as intermediates in furanocoumarin biosynthesis // Phytochemistry. 1973. V. 12. P. 1315. https://doi.org/10.1016/0031-9422(73)80558-8
- Brown S.A., El-Dakhakhny M., Steck W. Biosynthesis of linear furanocoumarins // Can. J. Biochem. 1970. V. 48. P. 863. https://doi.org/10.1139/o70-136
- Hamerski D., Matern U. Elicitor-induced biosynthesis of psoralens in Ammi majus L. suspension cultures. Microsomal conversion of demethylsuberosin into (+)-marmesin and psoralen // Eur. J. Biochem. 1988. V. 171. P. 369. https://doi.org/10.1111/j.1432-1033.1988.tb13800.x
- Ellis B.E., Brown S.A. Isolation of dimethylallylpyrophosphate:umbelliferone dimethylallyltransferase from Ruta graveolens // Can. J. Biochem. 1974. V. 52. P. 734. https://doi.org/10.1139/o74-104
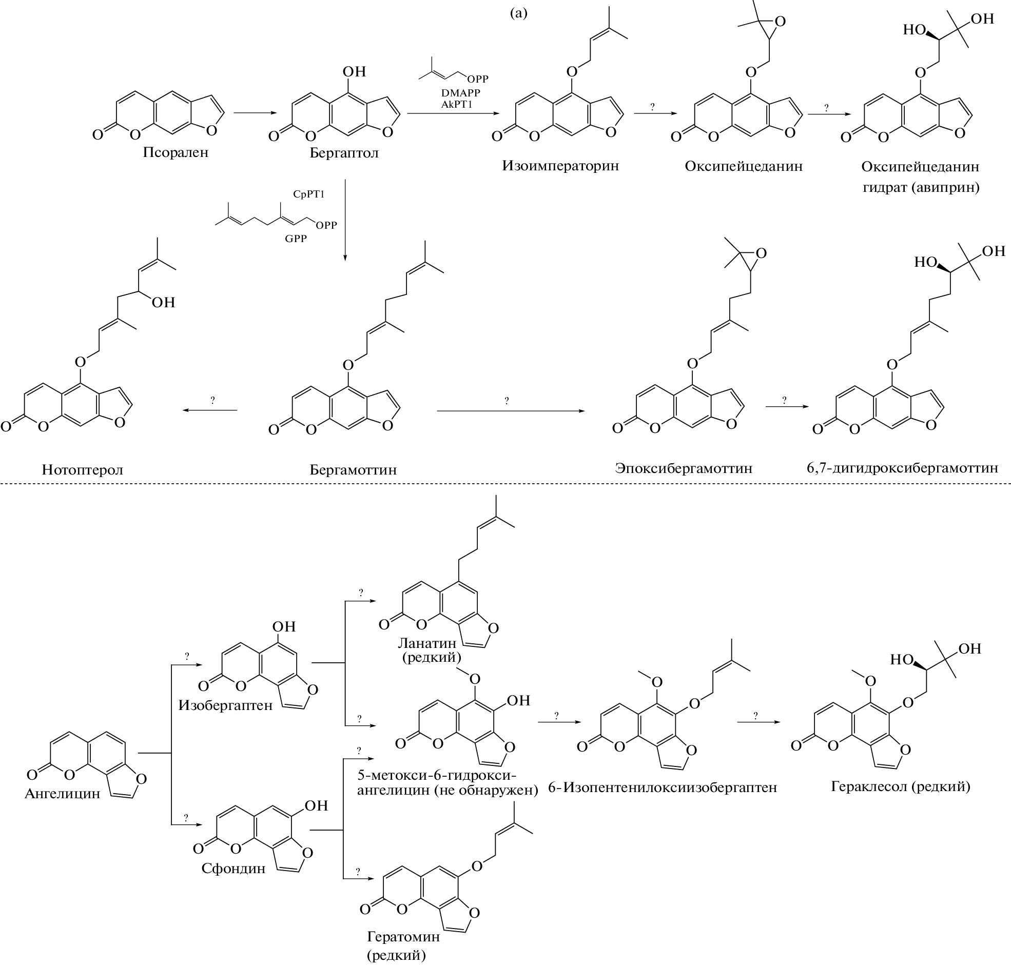
- Karamat F., Olry A., Munakata R., Koeduka T., Sugiyama A., Paris C., Hehn A., Bourgaud F., Yazaki K. A coumarin-specific prenyltransferase catalyzes the crucial biosynthetic reaction for furanocoumarin formation in parsley // Plant J. 2014. V. 77. P. 627. https://doi.org/10.1111/tpj.12409
- Munakata R., Olry A., Karamat F., Courdavault V., Sugiyama A., Date Y., Krieger C., Silie P., Foureau E., Papon N., Grosjean J., Yazaki K., Bourgaud F., Hehn A. Molecular evolution of parsnip (Pastinaca sativa) membrane-bound prenyltransferases for linear and/or angular furanocoumarin biosynthesis // New Phytol. 2016. V. 211. P. 332. https://doi.org/10.1111/nph.13899
- Munakata R., Kitajima S., Nuttens A., Tatsumi K., Takemura T., Ichino T., Galati G., Vautrin S., Bergès H., Grosjean J., Bourgaud F., Sugiyama A., Hehn A., Yazaki K. Convergent evolution of the UbiA prenyltransferase family underlies the independent acquisition of furanocoumarins in plants // New Phytol. 2020. V. 225. P. 2166. https://doi.org/10.1111/nph.16277
- Han L., Zhang L., He Y., Liao L., Li J., Xu S., Zhao Y., Bian X., Xia Y. Three carbon-/oxygen-prenyltransferases responsible for furanocoumarin synthesis in Angelica dahurica // Ind. Crop. Prod. 2023. V. 200. P. 116814. https://doi.org/10.1016/j.indcrop.2023.116814
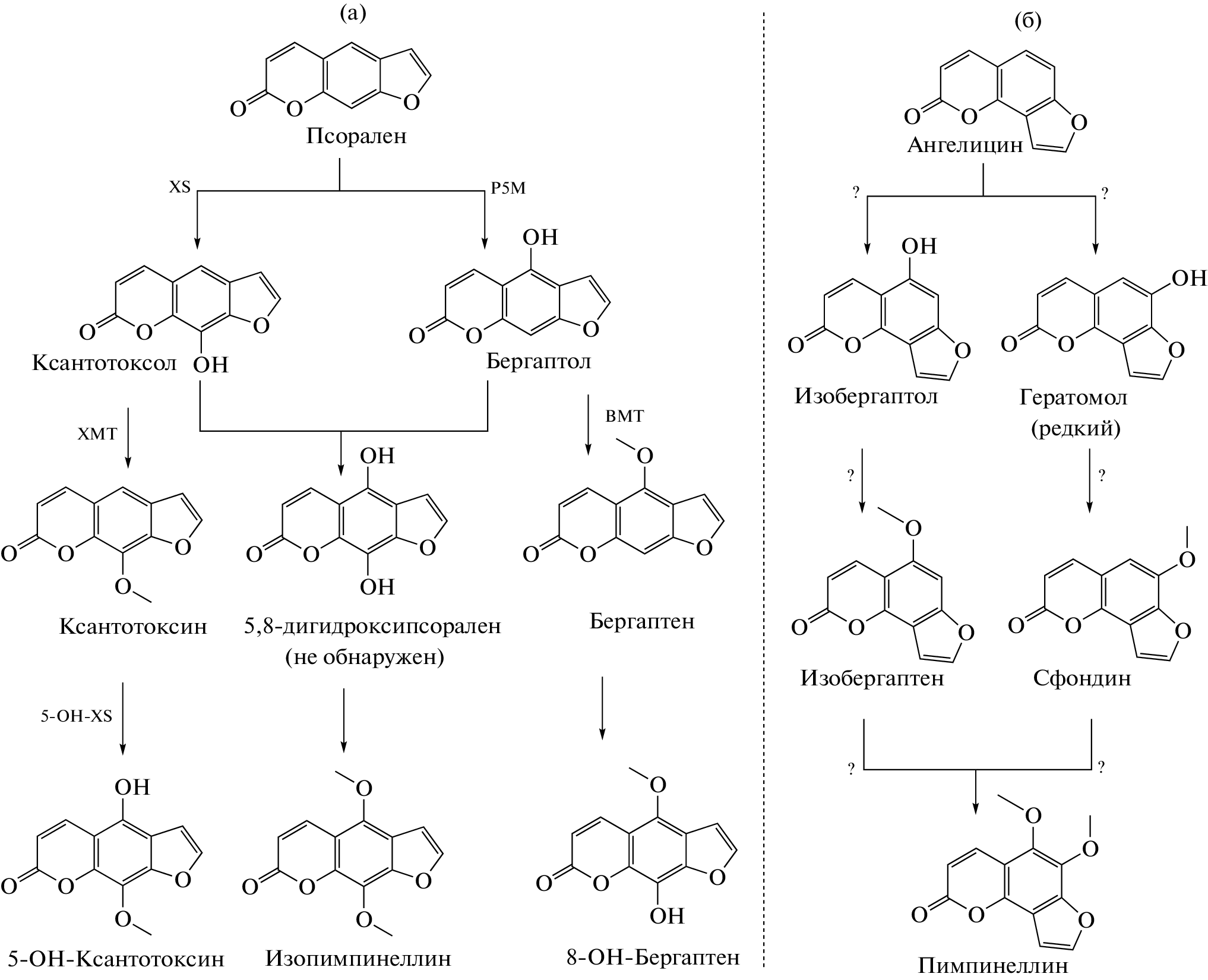
- Larbat R., Kellner S., Specker S., Hehn A., Gontier E., Hans J., Bourgaud F., Matern U. Molecular cloning and functional characterization of psoralen synthase, the first committed monooxygenase of furanocoumarin biosynthesis // J. Biol. Chem. 2007. V. 282. P. 542. https://doi.org/10.1074/jbc.M604762200
- Larbat R., Hehn A., Hans J., Schneider S., Jugdé H., Schneider B., Matern U., Bourgaud F. Isolation and functional characterization of CYP71AJ4 encoding for the first P450 monooxygenase of angular furanocoumarin biosynthesis // J. Biol. Chem. 2009. V. 284. P. 4776. https://doi.org/10.1074/jbc.M807351200
- Dueholm B., Krieger C., Drew D., Olry A., Kamo T., Taboureau O., Weitzel C., Bourgaud F., Hehn A., Simonsen H.T. Evolution of substrate recognition sites (SRSs) in cytochromes P450 from Apiaceae exemplified by the CYP71AJ subfamily // BMC Evol Biol. 2015. V. 15. P. 122. https://doi.org/10.1186/s12862-015-0396-z
- Jian X., Zhao Y., Wang Z., Li S., Li L., Luo J., Kong L. Two CYP71AJ enzymes function as psoralen synthase and angelicin synthase in the biosynthesis of furanocoumarins in Peucedanum praeruptorum Dunn // Plant Mol. Biol. 2020. V. 104. P. 327. https://doi.org/10.1007/s11103-020-01045-4
- Ren H., Yu Y., Xu Y., Zhang X., Tian X., Gao T. GlPS1 overexpression accumulates coumarin secondary metabolites in transgenic Arabidopsis // Plant Cell Tiss. Organ. 2023. V. 152. P. 539. https://doi.org/10.1007/s11240-022-02427-w
- Villard C., Munakata R., Kitajima S., Velzen R., Schranz M.E., Larbat R., Hehn A. A new P450 involved in the furanocoumarin pathway underlies a recent case of convergent evolution // New Phytol. 2021. V. 231. P. 1923. https://doi.org/10.1111/nph.17458
- Bourgaud F., Hehn A., Larbat R., Doerper S., Gontier E., Kellner S., Matern U. Biosynthesis of coumarins in plants: a major pathway still to be unravelled for cytochrome P450 enzymes // Phytochem. Rev. 2006. V. 5. P. 293. https://doi.org/10.1007/s11101-006-9040-2
- Brown S.A., Sampathkumar S. The biosynthesis of isopimpinellin // Can. J. Biochem. 1977. V. 55. P. 686. https://doi.org/10.1139/o77-099
- Caporale G., Innocenti G., Guiotto A., Rodighiero P., Dall’Acqua F. Biogenesis of linear O-alkylfuranocoumarins: A new pathway involving 5-hydroxymarmesin // Phytochemistry. 1981. V. 20. P. 1283. https://doi.org/10.1016/0031-9422(81)80022-2
- Dall’Acqua F., Capozzi A., Marciani S., Caporale G. Biosynthesis of furocoumarins: further studies on Ruta graveolens // Z. Naturforsch. B. 1972. V. 27. P. 813. https://doi.org/10.1515/znb-1972-0717
- Hamerski D., Matern U. Biosynthesis of psoralens. Psoralen 5-monooxygenase activity from elicitor-treated Ammi majus cells // FEBS Lett. 1988. V. 239. P. 263. https://doi.org/10.1016/0014-5793(88)80930-X
- Krieger C., Roselli S., Kellner-Thielmann S., Galati G., Schneider B., Grosjean J., Olry A., Ritchie D., Matern U., Bourgaud F., Hehn A. The CYP71AZ P450 subfamily: A driving factor for the diversification of coumarin biosynthesis in Apiaceous plants // Front. Plant Sci. 2018. V. 9. P. 820. https://doi.org/10.3389/fpls.2018.00820
- Hehmann M., Lukačin R., Ekiert H., Matern U. Furanocoumarin biosynthesis in Ammi majus L.: Cloning of bergaptol O-methyltransferase // Eur. J. Biochem. 2004. V. 271. P. 932. https://doi.org/10.1111/j.1432-1033.2004.03995.x
- Ishikawa A., Kuma T., Sasaki H., Sasaki N., Ozeki Y., Kobayashi N., Kitamura Y. Constitutive expression of bergaptol O-methyltransferase in Glehnia littoralis cell cultures // Plant Cell Rep. 2009. V. 28. P. 257. https://doi.org/10.1007/s00299-008-0631-9
- Lo S.-C., Chung P.-E., Wang C.-S. Molecular cloning and functional analysis of bergaptol-O-methyltransferase from Angelica dahurica (Bai Zhi) and using it to efficiently produce bergapten in E. coli. // Bot. Stud. 2012. V. 53. P. 197.
- Zhao Y., Wang N., Zeng Z., Xu S., Huang C., Wang W., Liu T., Luo J., Kong L. Cloning, functional characterization, and catalytic mechanism of a bergaptol O-methyltransferase from Peucedanum praeruptorum Dunn // Front. Plant Sci. 2016. V. 7. P. 722. https://doi.org/10.3389/fpls.2016.00722
- Zhao Y., Wang N., Wu H., Zhou Y., Huang C., Luo J., Zeng Z., Kong L. Structure-based tailoring of the first coumarins-specific bergaptol O-methyltransferase to synthesize bergapten for depigmentation disorder treatment // J. Adv. Res. 2020. V. 21. P. 57. https://doi.org/10.1016/j.jare.2019.10.003
- Zhang Y., Bai P., Zhuang Y., Liu T. Two O -methyltransferases mediate multiple methylation steps in the biosynthesis of coumarins in Cnidium monnieri // J. Nat. Prod. 2022. V. 85. P. 2116. https://doi.org/10.1021/acs.jnatprod.2c00410
- Innocenti G., Dall’Acqua F., Caporale G. The role of 5,8-dihydroxypsoralen in the biosynthesis of isopimpinellin // Phytochemistry. 1983. V. 22. P. 2207. https://doi.org/10.1016/S0031-9422(00)80148-X
- Сацыперова И.Ф., Комиссаренко Н.Ф. Хемосистематика рода Heracleum L. флоры СССР. Сообщение 3. Секция Wendia (Hoffm.) Manden. и Apiifolia Manden.; биосинтез кумаринов и эволюция рода // Раст. ресур. 1978. Т. 14. С. 482.
- Floss H.-G., Mothes U. On the biosynthesis of furocoumarins in Pimpinella magna // Phytochemistry. 1966. V. 5. P. 161. https://doi.org/10.1016/S0031-9422(00)85094-3
- Dall’Acqua F., Innocenti G., Caporale G. Biosynthesis of O-alkyl-furocoumarins // Planta Med. 1975. V. 27. P. 343. https://doi.org/10.1055/s-0028-1097812
- Innocenti G., Dall’Acqua F., Rodighiero P., Caporale G. Biosynthesis of O–alkylfurocoumarins in Angelica archangelica // Planta Med. 1978. V. 34. P. 167. https://doi.org/10.1055/s-0028-1097429
- Munakata R., Olry A., Takemura T., Tatsumi K., Ichino T., Villard C., Kageyama J., Kurata T., Nakayasu M., Jacob F., Koeduka T., Yamamoto H., Moriyoshi E., Matsukawa T., Grosjean J. et al. Parallel evolution of UbiA superfamily proteins into aromatic O -prenyltransferases in plants // P. Natl. Acad. Sci. USA. 2021. V. 118: e2022294118. https://doi.org/10.1073/pnas.2022294118
- Денисова Г.А., Драницына Ю.А. Локализация соединений кумаринового ряда в тканях плода и корня Archangelica decurrens LDB. // Бот. журн. 1963. Т. 48. С. 1830.
- Денисова Г.А., Керимов С.Ш. Локализация кумариновых соединений в тканях плода и корня Hippomarathrum microcarpum (Bieb.) B. Fedtsch. // Раст. ресур. 1966. Т. 2. С. 182.
- Денисова Г.А., Флоря В.Н. Локализация кумариновых соединений в различных органах и тканях Seseli campestre Bess. // Раст. ресур. 1970. Т. 6. С. 337.
- Camm E.L., Wat C.-K., Towers G.H.N. An assessment of the roles of furanocoumarins in Heracleum lanatum // Can. J. Bot. 1976. V. 54. P. 2562. https://doi.org/10.1139/b76-275
- Jahnen W., Hahlbrock K. Differential regulation and tissue-specific distribution of enzymes of phenylpropanoid pathways in developing parsley seedlings // Planta. 1988. V. 173. P. 453. https://doi.org/10.1007/BF00958957
- Zobel A., Brown S., Glowniak K. Localization of furanocoumarins in leaves, fruits, and seeds of plants causing contact photodermatitis // Planta Med. 1990. V. 56. P. 571. https://doi.org/10.1055/s-2006-961167
- Zobel A., March R.E. Autofluorescence reveals different histological localizations of furanocoumarins in fruit of some Umbelliferae and Leguminosae // Ann. Bot. 1993. V. 71. P. 251. https://doi.org/10.1006/anbo.1993.1032
- Zobel A.M., Brown S.A. Furanocoumarin concentrations in fruits and seeds of Angelica archangelica // Environ. Exp. Bot. 1991. V. 31. P. 447. https://doi.org/10.1016/0098-8472(91)90043-N
- Zobel A.M., Brown S.A. Furanocoumarins on the surface of callus cultures from species of the Rutaceae and Umbelliferae // Can. J. Bot. 1993. V. 71. P. 966. https://doi.org/10.1139/b93-109
- Weryszko-Chmielewska E., Chwil M. Localisation of furanocoumarins in the tissues and on the surface of shoots of Heracleum sosnowskyi // Botany. 2017. V. 95. P. 1057. https://doi.org/10.1139/cjb-2017-0043
- Gao H., Li Q. Study on the spatial distribution of coumarins in Angelica dahurica root by MALDI-TOF-MSI // Phytochem. Analysis. 2022. P. 139. https://doi.org/10.1002/pca.3186
- Lohr C., Raquet N., Schrenk D. Application of the concept of relative photomutagenic potencies to selected furocoumarins in V79 cells // Toxicol. in Vitro. 2010. V. 24. P. 558. https://doi.org/10.1016/j.tiv.2009.10.017
- Raquet N., Schrenk D. Relative photomutagenicity of furocoumarins and limettin in the hypoxanthine phosphoribosyl transferase assay in v79 cells // Chem. Res. Toxicol. 2009. V. 22. P. 1639. https://doi.org/10.1021/tx9002287
- Pathak M.A., Joshi P.C. Production of active oxygen species (1O2 and ) by psoralens and ultraviolet radiation (320–400 nm) // BBA-Gen. Subjects. 1984. V. 798. P. 115. https://doi.org/10.1016/0304-4165(84)90018-710.1016/0304-4165(84)90018-7
- Melough M.M., Cho E., Chun O.K. Furocoumarins: A review of biochemical activities, dietary sources and intake, and potential health risks // Food Chem. Toxicol. 2018. V. 113. P. 99. https://doi.org/10.1016/j.fct.2018.01.030
- Rzymski P., Klimaszyk P., Poniedziałek B., Karczewski J. Health threat associated with Caucasian giant hogweeds: awareness among doctors and general public in Poland // Cutan. Ocul. Toxicol. 2015. V. 34. P. 203. https://doi.org/10.3109/15569527.2014.948685
- Stegelmeier B.L., Colegate S.M., Knoppel E.L., Rood K.A., Collett M.G. Wild parsnip (Pastinaca sativa)-induced photosensitization // Toxicon. 2019. V. 167. P. 60. https://doi.org/10.1016/j.toxicon.2019.06.007
- Вичканова С.А., Рубинчик М.А., Адгина В.В., Изосимова С.Б., Макаров Л.В., Шипулина Л.Д., Горюнова Л.В. Антимикробная и противовирусная активность некоторых природных кумаринов // Раст. Ресур. 1973. V. 9. P. 370.
- Oueslati M.H., Guetat A., Bouajila J., Alzahrani A.K., Basha J. Deverra tortuosa (Desf.) DC from Saudi Arabia as a new source of marmin and furanocoumarins derivatives with α-glucosidase, antibacterial and cytotoxic activities // Heliyon. 2021. V. 7: e06656. https://doi.org/10.1016/j.heliyon.2021.e06656
- Golfakhrabadi F., Shams Ardakani M.R., Saeidnia S., Akbarzadeh T., Yousefbeyk F., Jamalifar H., Khanavi M. In vitro antimicrobial and acetylcholinesterase inhibitory activities of coumarins from Ferulago carduchorum // Med. Chem. Res. 2016. V. 25. P. 1623. https://doi.org/10.1007/s00044-016-1595-x
- Karakaya S., Şimşek D., Özbek H., Güvenalp Z., Altanlar N., Kazaz C., Kiliç C.S. Antimicrobial activities of extracts and isolated coumarins from the roots of four Ferulago apecies growing in Turkey // Iran J. Pharm. Res. 2019. V. 18. P. 1516. https://doi.org/10.22037/ijpr.2019.1100718
- Rajtar B., Skalicka-Woźniak K., Świątek Ł., Stec A., Boguszewska A., Polz-Dacewicz M. Antiviral effect of compounds derived from Angelica archangelica L. on Herpes simplex virus-1 and Coxsackievirus B3 infections // Food Chem. Toxicol. 2017. V. 109. P. 1026. https://doi.org/10.1016/j.fct.2017.05.011
- Lee B.W., Ha T.K.Q., Cho H.M., An J.-P., Kim S.K., Kim C.-S., Kim E., Oh W.K. Antiviral activity of furanocoumarins isolated from Angelica dahurica against influenza a viruses H1N1 and H9N2 // J. Ethnopharmacol. 2020. V. 259. P. 112945. https://doi.org/10.1016/j.jep.2020.112945
- Cho H.-J., Jeong S.-G., Park J.-E., Han J.-A., Kang H.-R., Lee D., Song M.J. Antiviral activity of angelicin against gammaherpesviruses // Antivir. Res. 2013. V. 100. P. 75. https://doi.org/10.1016/j.antiviral.2013.07.009
- Yajima T., Munakata K. Phloroglucinol-type furocoumarins, a group of potent naturally-occurring insect antifeedants // Agr. Bio. Chem. 1979. V. 43. P. 1701. https://doi.org/10.1080/00021369.1979.10863698
- Muckensturm B., Duplay D., Robert P.C., Simonis M.T., Kienlen J.-C. Substances antiappétantes pour insectes phytophages présentes dans Angelica silvestris et Heracleum sphondylium // Biochem. Syst. Ecol. 1981. V. 9. P. 289. https://doi.org/10.1016/0305-1978(81)90010-7
- Berenbaum M.R. Patterns of furanocoumarin production and insect herbivory in a population of wild parsnip (Pastinaca sativa L.) // Oecologia. 1981. V. 49. P. 236. https://doi.org/10.1007/BF00349195
- Ode P.J., Berenbaum M.R., Zangerl A.R., Hardy I.C.W. Host plant, host plant chemistry and the polyembryonic parasitoid Copidosoma sosares : indirect effects in a tritrophic interaction // Oikos. 2004. V. 104. P. 388. https://doi.org/10.1111/j.0030-1299.2004.12323.x
- Jogesh T., Stanley M.C., Berenbaum M.R. Evolution of tolerance in an invasive weed after reassociation with its specialist herbivore // J. Evol. Biol. 2014. V. 27. P. 2334. https://doi.org/10.1111/jeb.12469
- Lois R., Hahlbrock K. Differential wound activation of members of the phenylalanine ammonia-lyase and 4-coumarate: coa ligase gene families in various organs of parsley plants // Z. Naturforsch. C. 1992. V. 47. P. 90. https://doi.org/10.1515/znc-1992-1-216
- Schmelzer E., Kruger-Lebus S., Hahlbrock K. Temporal and spatial patterns of gene expression around sites of attempted fungal infection in parsley leaves. // Plant Cell. 1989. V.1. P. 993. https://doi.org/10.1105/tpc.1.10.993
- Jahnen W., Hahlbrock K. Cellular localization of nonhost resistance reactions of parsley (Petroselinum crispum) to fungal infection // Planta. 1988. V. 173. P. 197. https://doi.org/10.1007/BF00403011
- Ellard-Ivey M., Douglas C.J. Role of jasmonates in the elicitor- and wound-inducible expression of defense genes in parsley and transgenic tobacco // Plant Physiol. 1996. V. 112. P. 183. https://doi.org/10.1104/pp.112.1.183
- Kitamura Y., Ikenaga T., Ooe Y., Hiraoka N., Mizukami H. Induction of furanocoumarin biosynthesis in Glehnia littoralis cell suspension cultures by elicitor treatment // Phytochemistry. 1998. V. 48. P. 113. https://doi.org/10.1016/s0031-9422(97)00849-2
- Hamerski D., Schmitt D., Matern U. Induction of two prenyltransferases for the accumulation of coumarin phytoalexins in elicitor-treated Ammi majus cell suspension cultures // Phytochemistry. 1990. V. 29. P. 1131. https://doi.org/10.1016/0031-9422(90)85417-E
- Parast B.M., Chetri S.K., Sharma K., Agrawal V. In vitro isolation, elicitation of psoralen in callus cultures of Psoralea corylifolia and cloning of psoralen synthase gene // Plant Physiol. Bioch. 2011. V. 49. P. 1138. https://doi.org/10.1016/j.plaphy.2011.03.017
- Wendorff H., Matern U. Differential response of cultured parsley cells to elicitors from two non-pathogenic strains of fungi. Microsomal conversion of (+)marmesin into psoralen // Eur. J. Biochem. 1986. V. 161. P. 391. https://doi.org/10.1111/j.1432-1033.1986.tb10458.x
- Sumorek-Wiadro J., Zając A., Maciejczyk A., Jakubowicz-Gil J. Furanocoumarins in anticancer therapy – For and against // Fitoterapia. 2020. V. 142. P. 104492. https://doi.org/10.1016/j.fitote.2020.104492
- Elkhawaga O.Y., Ellety M.M., Mofty S.O., Ghanem M.S., Mohamed A.O. Review of natural compounds for potential psoriasis treatment // Inflammopharmacology. 2023. V. 31. P. 1183. https://doi.org/10.1007/s10787-023-01178-0
- Ahmed S., Khan H., Aschner M., Mirzae H., Kupeli Akkol E., Capasso R. Anticancer potential of furanocoumarins: mechanistic and therapeutic aspects // IJMS. 2020. V. 21. P. 5622. https://doi.org/10.3390/ijms21165622
- Wasserman G.A., Llewellyn M.W., Ramsay C.A., Haberman H.F. Treatment of psoriasis with orally administered 8-methoxypsoralen and long-wavelength ultraviolet radiation. // Can. Med. Assoc. J. 1978. V. 118. P. 1379
- Couperus M. Ammoidin (xanthotoxin) in the treatment of vitiligo // Calif. Med. 1954. V. 81. P. 402
- Almutawa F., Alnomair N., Wang Y., Hamzavi I., Lim H.W. Systematic review of uv-based therapy for psoriasis // Am. J. Clin. Dermatol. 2013. V. 14. P. 87. https://doi.org/10.1007/s40257-013-0015-y
- Quintão W.D.S.C., Alencar-Silva T., Borin M.D.F., Rezende K.R., Albernaz L.C., Cunha-Filho M., Gratieri T., De Carvalho J.L., Sá-Barreto L.C.L., Gelfuso G.M. Microemulsions incorporating Brosimum gaudichaudii extracts as a topical treatment for vitiligo: In vitro stimulation of melanocyte migration and pigmentation // J. Mol. Liq. 2019. V. 294. P. 111685. https://doi.org/10.1016/j.molliq.2019.111685
- Dasari S., Choudhary A., Madke B. Psoriasis: a primer for general physicians // Cureus. 2023. https://doi.org/10.7759/cureus.38037
- Pang Y., Wu S., He Y., Nian Q., Lei J., Yao Y., Guo J., Zeng J. Plant-derived compounds as promising therapeutics for vitiligo // Front. Pharmacol. 2021. V. 12. P. 685116. https://doi.org/10.3389/fphar.2021.685116
- Никонов Г.К. Фуранокумарины как группа веществ растительного происхождения с противораковой активностью // Труды ВИЛАР. 1959. Т. XI. С. 180.
- Цетлин А.Л., Никонов Г.К., Шварев И.Ф., Пименов М.Г. К вопросу о противоопухолевой активности природных кумаринов // Раст. Ресурсы. 1965. T. C. P. 507.
- De Amicis F., Aquila S., Morelli C., Guido C., Santoro M., Perrotta I., Mauro L., Giordano F., Nigro A., Andò S., Panno M.L. Bergapten drives autophagy through the up-regulation of PTEN expression in breast cancer cells // Mol. Cancer. 2015. V. 14. P. 130. https://doi.org/10.1186/s12943-015-0403-4
- Wang X., Cheng K., Han Y., Zhang G., Dong J., Cui Y., Yang Z. Effects of psoralen as an anti-tumor agent in human breast cancer MCF-7/ADR cells // Biol. Pharm. Bull. 2016. V. 39. P. 815. https://doi.org/10.1248/bpb.b15-00957
- Bartnik M., Sławińska-Brych A., Żurek A., Kandefer-Szerszeń M., Zdzisińska B. 8-methoxypsoralen reduces AKT phosphorylation, induces intrinsic and extrinsic apoptotic pathways, and suppresses cell growth of SK-N-AS neuroblastoma and SW620 metastatic colon cancer cells // J. Ethnopharmacol. 2017. V. 207. P. 19. https://doi.org/10.1016/j.jep.2017.06.010
- Zheng Y.M., Lu A.X., Shen J.Z., Kwok A.H.Y., Ho W.S. Imperatorin exhibits anticancer activities in human colon cancer cells via the caspase cascade // Oncol. Rep. 2016. V. 35. P. 1995. https://doi.org/10.3892/or.2016.4586
- Lee Y.M., Wu T.H., Chen S.F., Chung J.G. Effect of 5‑methoxypsoralen (5-MOP) on cell apoptosis and cell cycle in human hepatocellular carcinoma cell line // Toxicol. in Vitro. 2003. V. 17. P. 279. https://doi.org/10.1016/S0887-2333(03)00014-6
- Ren Y., Song X., Tan L., Guo C., Wang M., Liu H., Cao Z., Li Y., Peng C. A review of the pharmacological properties of psoralen // Front. Pharmacol. 2020. V. 11. P. 571535. https://doi.org/10.3389/fphar.2020.571535
- Liang Y., Xie L., Liu K., Cao Y., Dai X., Wang X., Lu J., Zhang X., Li X. Bergapten: A review of its pharmacology, pharmacokinetics, and toxicity // Phytother. Res. 2021. V. 35. P. 6131. https://doi.org/10.1002/ptr.7221
- Wu A., Lu J., Zhong G., Lu L., Qu Y., Zhang C. Xanthotoxin (8-methoxypsoralen): A review of its chemistry, pharmacology, pharmacokinetics, and toxicity // Phytother. Res. 2022. V. 36. P. 3805. https://doi.org/10.1002/ptr.7577
- Deng M., Xie L., Zhong L., Liao Y., Liu L., Li X. Imperatorin: A review of its pharmacology, toxicity and pharmacokinetics // Eur. J. Pharmacol. 2020. V. 879. P. 173124. https://doi.org/10.1016/j.ejphar.2020.173124
- Tong K., Xin C., Chen W. Isoimperatorin induces apoptosis of the SGC-7901 human gastric cancer cell line via the mitochondria-mediated pathway // Oncol. Lett. 2017. V. 13. P. 518. https://doi.org/10.3892/ol.2016.5387
- Mottaghipisheh J. Oxypeucedanin: chemotaxonomy, isolation, and bioactivities // Plants. 2021. V. 10. P. 1577. https://doi.org/10.3390/plants10081577
- Mahendra C.K., Tan L.T.H., Lee W.L., Yap W.H., Pusparajah P., Low L.E., Tang S.Y., Chan K.G., Lee L.H., Goh B.H. Angelicin—a furocoumarin compound with vast biological potential // Front. Pharmacol. 2020. V. 11. P. 366. https://doi.org/10.3389/fphar.2020.00366
- Nijsten T.E.C., Stern R.S. The increased risk of skin cancer is persistent after discontinuation of psoralen + ultraviolet a: a cohort study // J. Invest. Dermatol. 2003. V. 121. P. 252. https://doi.org/10.1046/j.1523-1747.2003.12350.x
- Stern R.S. The risk of squamous cell and basal cell cancer associated with psoralen and ultraviolet A therapy: A 30-year prospective study // J. Am. Acad. Dermatol. 2012. V. 66. P. 553. https://doi.org/10.1016/j.jaad.2011.04.004
- Cho Y.H., Kim J.H., Park S.M., Lee B.C., Pyo H.B., Park H.D. New cosmetic agents for skin whitening from Angelica dahurica // J. Cosmet. Sci. 2006. V. 57. P. 11.
- Matsuda H., Hirata N., Kawaguchi Y., Yamazaki M., Naruto S., Shibano M., Taniguchi M., Baba K., Kubo M. Melanogenesis stimulation in murine B16 melanoma cells by Umberiferae plant extracts and their coumarin constituents // Biol. Pharm. Bull. 2005. V. 28. P. 1229. https://doi.org/10.1248/bpb.28.1229
- Cardoso C.A.L., Vilegas W., Honda N.K. Rapid determination of furanocoumarins in creams and pomades using SPE and GC // J. Pharmaceut. Biomed. 2000. V. 22. P. 203. https://doi.org/10.1016/S0731-7085(99)00255-1
- Chu C., Liu C., Yang F., Lian L., Li J., Mao H., Yan J. A dual preconcentration method by combining micro matrix solid-phase dispersion extraction with field-enhanced sample injection and micelle to cyclodextrin stacking for sensitive analysis of neutral coumarins // Electrophoresis. 2021. V. 42. P. 1102. https://doi.org/10.1002/elps.202000273
- Masson J., Liberto E., Beolor J.-C., Brevard H., Bicchi C., Rubiolo P. Oxygenated heterocyclic compounds to differentiate Citrus spp. essential oils through metabolomic strategies // Food Chem. 2016. V. 206. P. 223. https://doi.org/10.1016/j.foodchem.2016.03.057
- Noh H.S., Jin M.H., Lee S.H. Composition comprising notopterol for improving skin condition. KR patent 2017076469, 2017.
- Kim D.K., Lim J.P., Yang J.H., Eom D.O., Eun J.S., Leem K.H. Acetylcholinesterase inhibitors from the roots of Angelica dahurica // Arch. Pharm. Res. 2002. V. 25. P. 856. https://doi.org/10.1007/BF02977004
- Karakaya S., Koca M., Sytar O., Duman H. The natural phenolic compounds and their antioxidant and anticholinesterase potential of herb Leiotulus dasyanthus (K. Koch) Pimenov & Ostr. // Nat. Prod. Res. 2019. V. 34. P. 1303. https://doi.org/10.1080/14786419.2018.1557176
- Kang S.Y., Kim Y.C. Neuroprotective coumarins from the root of Angelica gigas: Structure-activity relationships // Arch. Pharm. Res. 2007. V. 30. P. 1368. https://doi.org/10.1007/BF02977358
- Piao X.L., Yoo H.H., Kim H.Y., Kang T.L., Hwang G.S., Park J.H. Estrogenic activity of furanocoumarins isolated from Angelicae dahuricae // Arch. Pharm. Res. 2006. V. 29. P. 741. https://doi.org/10.1007/BF02974073
- Panno M.L., Giordano F., Rizza P., Pellegrino M., Zito D., Giordano C., Mauro L., Catalano S., Aquila S., Sisci D., De Amicis F., Vivacqua A., Fuqua S.W.A., Andò S. Bergapten induces ER depletion in breast cancer cells through SMAD4-mediated ubiquitination // Breast Cancer Res. Treat. 2012. V. 136. P. 443. https://doi.org/10.1007/s10549-012-2282-3
- Panno M., Giordano F., Palma M., Bartella V., Rago V., Maggiolini M., Sisci D., Lanzino M., De Amicis F., Ando S. Evidence that bergapten, independently of its photoactivation, enhances p53 gene expression and induces apoptosis in human breast cancer cells // CCDT. 2009. V. 9. P. 469. https://doi.org/10.2174/156800909788486786
- Shanmugam H., Dharun V.N., Biswal B.K., Chandran S.V., Vairamani M., Selvamurugan N. Osteogenic stimulatory effect of heraclenin purified from bael in mouse mesenchymal stem cells in vitro // Chem. Biol. Interact. 2019. V. 310. P. 108750. https://doi.org/10.1016/j.cbi.2019.108750
- Wei W., Wu X.-W., Deng G.-G., Yang X.-W. Anti-inflammatory coumarins with short- and long-chain hydrophobic groups from roots of Angelica dahurica cv. Hangbaizhi // Phytochemistry. 2016. V. 123. P. 58. https://doi.org/10.1016/j.phytochem.2016.01.006
- Lee T.-H., Chen Y.-C., Hwang T.-L., Shu C.-W., Sung P.-J., Lim Y.-P., Kuo W.-L., Chen J.-J. New coumarins and anti-inflammatory constituents from the fruits of Cnidium monnieri // IJMS. 2014. V. 15. P. 9566. https://doi.org/10.3390/ijms15069566
- Rim H.-K., Cho W., Sung S.H., Lee K.-T. Nodakenin suppresses lipopolysaccharide-induced inflammatory responses in macrophage cells by inhibiting tumor necrosis factor receptor-associated factor 6 and nuclear factor-κb pathways and protects mice from lethal endotoxin shock // J. Pharmacol. Exp. Ther. 2012. V. 342. P. 654. https://doi.org/10.1124/jpet.112.194613
- Jeong H.-J., Na H.-J., Kim S.-J., Rim H.-K., Myung N.-Y., Moon P.-D., Han N.-R., Seo J.-U., Kang T.-H., Kim J.-J., Choi Y., Kang I.-C., Hong S.-H., Kim Y.-A., Seo Y.-W., et al. Anti-inflammatory effect of columbianetin on activated human mast cells // Biol. Pharm. Bull. 2009. V. 32. P. 1027. https://doi.org/10.1248/bpb.32.1027
- Lu J., Fang K., Wang S., Xiong L., Zhang C., Liu Z., Guan X., Zheng R., Wang G., Zheng J., Wang F. Anti-inflammatory effect of columbianetin on lipopolysaccharide-stimulated human peripheral blood mononuclear cells // Mediat. Inflamm. 2018. V. 2018. P. 1. https://doi.org/10.1155/2018/9191743
- Chen S., Wang Y., Zhang L., Han Y., Liang C., Wang S., Qi L., Pang X., Li J., Chang Y. Therapeutic effects of columbianadin from Angelicae pubescentis radix on the progression of collagen-induced rheumatoid arthritis by regulating inflammation and oxidative stress // J. Ethnopharmacol. 2023. V. 316. P. 116727. https://doi.org/10.1016/j.jep.2023.116727
- Souri E., Farsam H., Sarkheil P., Ebadi F. Antioxidant activity of some furanocoumarins Isolated from Heracleum persicum // Pharm. Biol. 2004. V. 42. P. 396. https://doi.org/10.1080/13880200490885077
- Karakaya S., Bingol Z., Koca M., Dagoglu S., Pınar N.M., Demirci B., Gulcin İ., Brestic M., Sytar O. Identification of non-alkaloid natural compounds of Angelica purpurascens (Avé-Lall.) Gilli. (Apiaceae) with cholinesterase and carbonic anhydrase inhibition potential // Saudi Pharm. J. 2020. V. 28. P. 1. https://doi.org/10.1016/j.jsps.2019.11.001
- Naseri M., Monsef-Esfehani H.R., Saeidnia S., Dastan D., Gohari A.R. Antioxidative coumarins from the roots of Ferulago subvelutina // Asian J. Chem. 2013. V. 25. P. 1875. https://doi.org/10.14233/ajchem.2013.13208
- Jalilian F., Moieni-Arya M., Hosseinzadeh L., Shokoohinia Y. Oxypeucedanin and isoimperatorin extracted from Prangos ferulacea (L.) Lindl protect PC12 pheochromocytoma cells from oxidative stress and apoptosis induced by doxorubicin // Res. Pharm. Sci. 2022. V. 17. P. 12. https://doi.org/10.4103/1735-5362.329922
- Piao X.L., Park I.H., Baek S.H., Kim H.Y., Park M.K., Park J.H. Antioxidative activity of furanocoumarins isolated from Angelica dahurica // J. Ethnopharmacol. 2004. V. 93. P. 243. https://doi.org/10.1016/j.jep.2004.03.054
Дополнительные файлы









