Влияние аномальных свето-темновых циклов на пигментный комплекс растений семейств Brassicaceae и Solanaceae
- Авторы: Шибаева Т.Г.1, Шерудило Е.Г.1, Рубаева А.А.1, Лёвкин И.А.2, Титов А.Ф.1
-
Учреждения:
- Федеральное государственное бюджетное учреждение науки Институт биологии Карельского научного центра Российской академии наук
- Петрозаводский государственный университет
- Выпуск: Том 70, № 7 (2023)
- Страницы: 801-810
- Раздел: ЭКСПЕРИМЕНТАЛЬНЫЕ СТАТЬИ
- URL: https://journal-vniispk.ru/0015-3303/article/view/233784
- DOI: https://doi.org/10.31857/S0015330323600882
- EDN: https://elibrary.ru/ZQRAWD
- ID: 233784
Цитировать
Полный текст
Аннотация
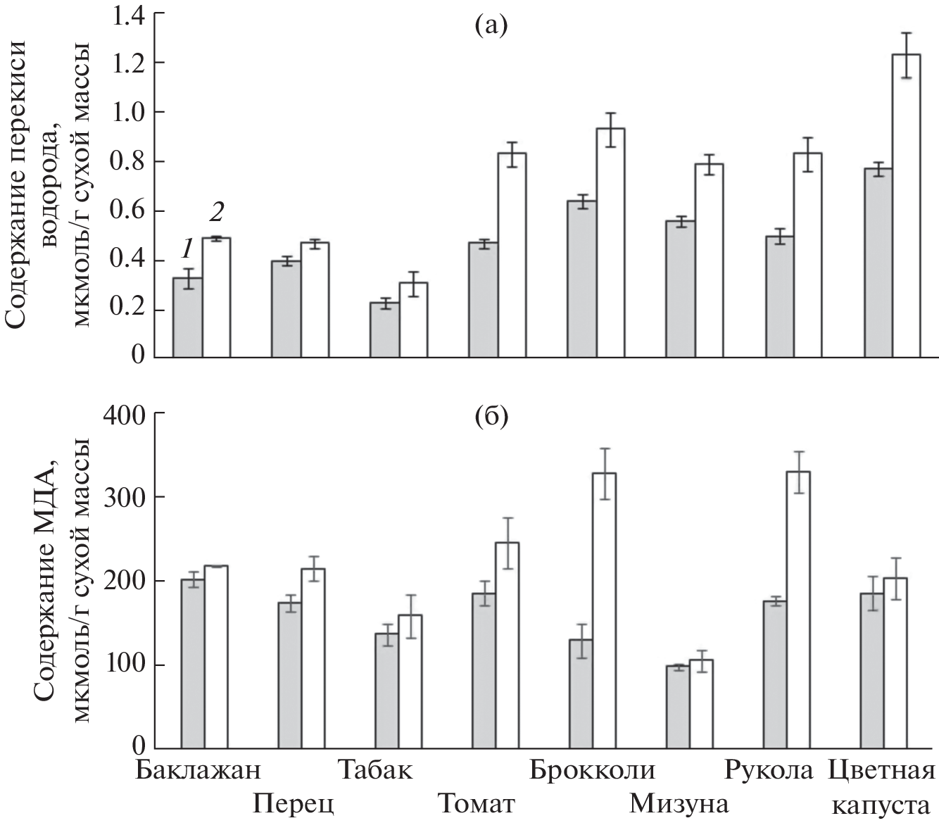
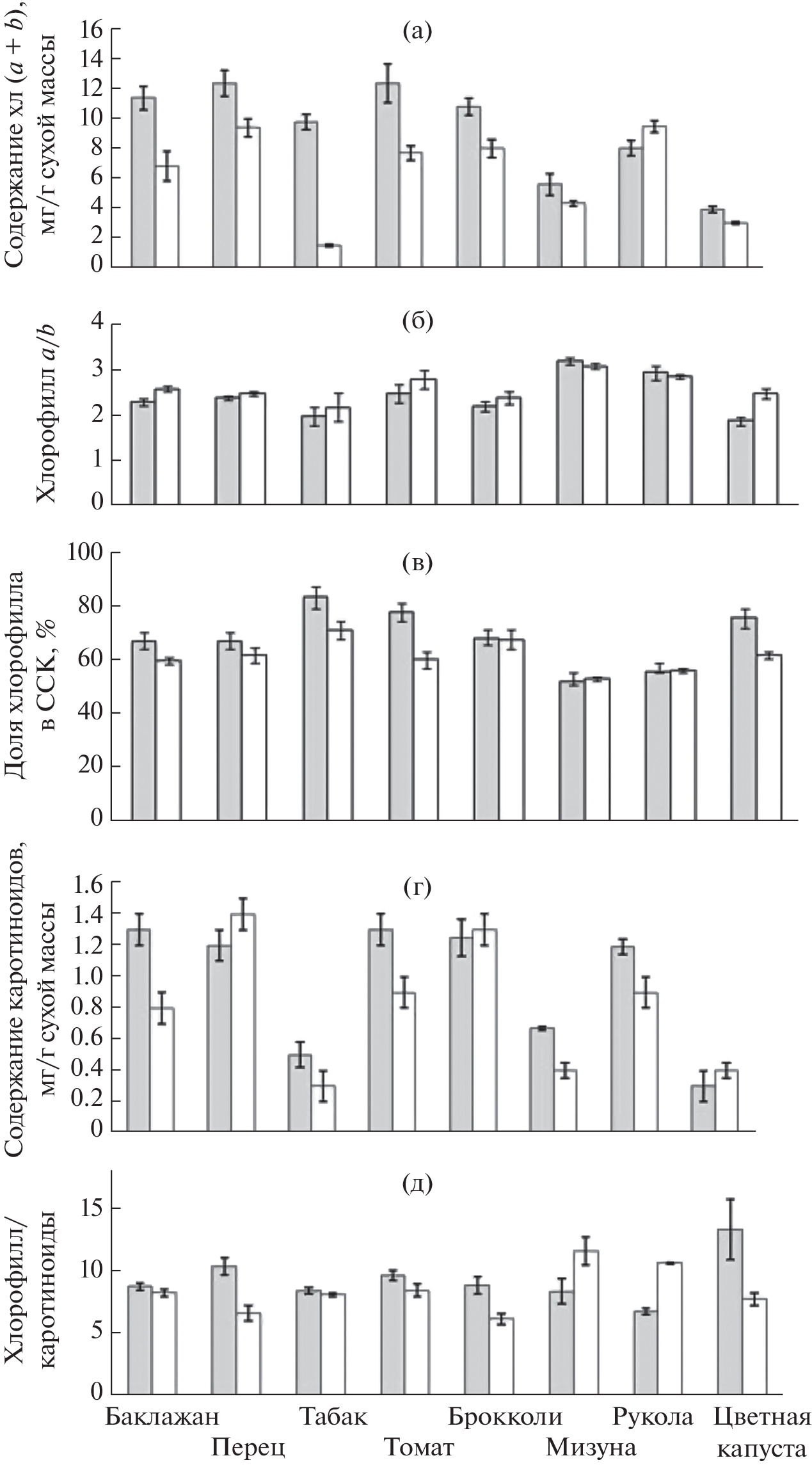
В условиях контролируемой среды изучали влияние длинных свето-темновых циклов 24/12, 48/24, 96/48, 120/60 ч и непрерывного освещения на содержание и соотношение фотосинтетических и нефотосинтетических пигментов у ряда растений семейства Solanaceae – баклажана (Solanum melongena L.), перца (Capsicum annuum L), табака (Nicotiana tabacum L.), томата (Solanum lycopersicum L.) и семейства Brassicaceae – брокколи (Brassica oleracea var. italica Plenck), мизуны (Brassica rapa ssp. nipposinica (L.H. Bailey) Hanelt), руколы (Eruca vesicaria ssp. sativa (Mill.) Thell.) и цветной капусты (Brassica oleracea L. var. botrytis L.). Растения выращивали в климатических камерах при температуре 23°С и освещенности 270 мкмоль/(м2 с) ФАР. Контролем служили растения, выращенные при фотопериоде 16/8 ч. Установлено, что в условиях непрерывного освещения у растений в зависимости от вида в той или иной степени снижается содержание хлорофилла и его доля в светособирающем комплексе, увеличивается отношение хлорофилл а/b и уменьшается отношение хлорофилл/каротиноиды, повышается содержание антоцианов и флавоноидов. При всех других изученных свето-темновых циклах (24/12, 48/24, 96/48 и 120/60 ч), в которых средний интеграл дневного освещения не отличался от такового при обычном фотопериоде (16/8 ч), во многих случаях были отмечены изменения в пигментном комплексе, схожие с фотопротекторными реакциями, наблюдаемыми при избыточном освещении растений (снижение содержания фотосинтетических пигментов, изменение их соотношений и накопление защитных нефотосинтетических пигментов). При этом в реакции растений выявлена выраженная видовая специфичность. В целом результаты исследования показали, что изменения в пигментном комплексе растений могут быть обусловлены не только избыточностью поступающей световой энергии, но и распределением интеграла освещения во времени, как это происходит в ответ на аномальные свето-темновые циклы, которые, по мнению авторов, вызывают циркадную асинхронию.
Ключевые слова
Об авторах
Т. Г. Шибаева
Федеральное государственное бюджетное учреждение науки Институт биологии Карельского научного центра Российской академии наук
Email: shibaeva@krc.karelia.ru
Россия, Петрозаводск
Е. Г. Шерудило
Федеральное государственное бюджетное учреждение науки Институт биологии Карельского научного центра Российской академии наук
Email: shibaeva@krc.karelia.ru
Россия, Петрозаводск
А. А. Рубаева
Федеральное государственное бюджетное учреждение науки Институт биологии Карельского научного центра Российской академии наук
Email: shibaeva@krc.karelia.ru
Россия, Петрозаводск
И. А. Лёвкин
Петрозаводский государственный университет
Email: shibaeva@krc.karelia.ru
Россия, Петрозаводск
А. Ф. Титов
Федеральное государственное бюджетное учреждение науки Институт биологии Карельского научного центра Российской академии наук
Автор, ответственный за переписку.
Email: shibaeva@krc.karelia.ru
Россия, Петрозаводск
Список литературы
- Despommier D. The vertical farm: feeding the world in the 21st centure. Thomas Dunne Books: New York, NY, USA, 2010.
- Kozai T., Nui G., Takagaki M. Plant Factory: An Indoor Vertical Farming System for Efficient Quality Food Production; AcademicPress: Cambridge, MA, USA, 2015. 516 p.
- van Delden S.H., Sharathkumar M., Butturini M., Graamans L.J.A., Heuvelink E., Kacira M., Kaiser E., Klamer R.S., Klerkx L., Kootstra G., Loeber A., Schouten R.E., Stanghellini C., van Ieperen W., Verdonk J.C. et al. Current status and future challenges in implementing and upscaling vertical farming systems // Nature Food. 2021. V. 2. P. 944. https://doi.org/10.1038/s43016-021-00402-w
- Kozai T., Niu G. Role of the plant factory with artificial lighting (PFAL) in urban areas // Plant Factory: An Indoor Vertical Farming System for Efficient Quality Food Production / Eds. T. Kozai et al. Academic Press: London, UK. 2020. P. 7.
- Chen Xl., Li Yl., Wang Lc., Yang Qc., Guo Wz. Responses of butter leaf lettuce to mixed red and blue light with extended light/dark cycle period // Sci. Rep. 2022. V. 12. P. 6924. https://doi.org/10.1038/s41598-022-10681-3
- Bowsher C.G., Long D.M., Oaks A., Rothstein S.J. Effect of light/dark cycles on expression of nitrate assimilatory genes in maize shoots and roots // Plant Physiol. 1991. V. 95. P. 281. https://doi.org/10.1104/pp.95.1.281
- Chang A.C., Yang T.Y., Riskowskic G.L. Ascorbic acid, nitrate, and nitrite concentration relationship to the 24 hour light/dark cycle for spinach grown in different condition // Food Chem. 2013. V. 138. P. 382. https://doi.org/10.1016/j.foodchem.2012.10.036
- Kurata H., Achioku T., Furusaki S. The light/dark cycle operation with an hour-scale period enhances caffeine production by Coffea arabica, cells // Enzyme Microb. Technol. 1998. V. 23. P. 518. https://doi.org/10.1016/S0141-0229(98)00081-7
- Chen X.L., Yang Q.C. Effects of intermittent light exposure with red and blue light emitting diodes on growth and carbohydrate accumulation of lettuce // Sci. Hortic. 2018. V. 234. P. 220. https://doi.org/10.1016/j.scienta.2018.02.055
- Lichtenthaler H.K., Wellburn A.R. Determinations of total carotenoids and chlorophylls a and b of leaf extracts in different solvents // Biochem. Soc. Trans. 1983. V. 603. P. 591. https://doi.org/10.1042/bst0110591
- Lichtenthaler H.K. Chlorophylls and carotenoids: Pigment of photosynthetic biomembranes // Methods Enzymol. 1987. V. 148. P. 350. https://doi.org/10.1016/0076-6879(87)48036-1
- Kolupaev Y.E., Fisova E.N., Yastreb T.O., Ryabchun N.I., Kirichenko V.V. Effect of hydrogen sulfide donor on antioxidant state of wheat plants and their resistance to soil drought // Russ. J. Plant Physiol. 2019. V. 66. P. 59. https://doi.org/10.1134/S1021443719010084
- Velikova V., Edreva A. Oxidative stress and some antioxidant system in acid rain-treated bean plants: Protective role of exogenous polyamines // Plant Sci. 2000. V. 151. P. 59. https://doi.org/10.1016/S0168-9452(99)00197-1
- Heath R.L., Packer L. Photoperioxidation in isolated chloroplasts I. Kinetics and stoichiometry of fatty acid peroxidation // Arch. Biochem. Biophys. 1968. V. 125. P. 189.
- Shibaeva T.G., Rubaeva A.A., Sherudilo E.G., Titov A.F. Continuous lighting increases yield and nutritional value and decreases nitrate content in Brassicaceae microgreens // Russ. J. Plant Physiol. 2023. V. 70. P. 118. https://doi.org/10.1134/S1021443723601337
- Shibaeva T.G., Mamaev A.V., Sherudilo E.G., Titov A.F. The role of photosynthetic daily light integral in plant response to extended photoperiods // Russ. J. Plant Physiol. 2022. V. 69. P. 7. https://doi.org/10.1134/S1021443722010216
- Llorente B., Martinez-Garcia J., Stange C., Rodriguez-Concepcion M. Illuminating colors: regulation of carotenoid biosynthesis and accumulation by light // Curr. Opin. Plant Biol. 2017. V. 37. P. 49. https://doi.org/10.1016/j.pbi.2017.03.011
- Маслова Т.Г., Марковская Е.Ф., Слемнев Н.Н. Функции каротиноидов в листьях высших растений (обзор) // Журн. общ. биол. 2020. Т. 81. С. 297. https://doi.org/0.31857/S0044459620040065
- Shibaeva T.G., Sherudilo E.G., Rubaeva A.A., Titov A.F. Continuous LED lighting enhances yield and nutritional value of four genotypes of Brassicaceae microgreens // Planta. 2022. V. 11. P. 176. https://doi.org/10.3390/plants11020176
- Smillie R.M., Hetherington S.E. Photoabatement by anthocyanin shields photosynthetic systems from light stress // Photosynthetica. 1999. V. 36. P. 451. https://doi.org/10.1023/A:1007084321859
- Steyn W.J., Wand S.J.E. Anthocyanins in vegetative tissues: a proposed unified function in photoprotection // New Phytol. 2002. V. 155. P. 349. https://doi.org/10.1046/j.1469-8137.2002.00482.x
- Timmins G.S., Holbrook N.M., Field T.S. Le rouge et le noir: Are anthocyanins plant melanins? // Adv. Bot. Res. 2002. V. 37. P. 17. https://doi.org/10.1016/S0065-2296(02)37041-1
- Nielsen S.L., Simonsen A.M. Photosynthesis and photoinhibition in two differently coloured varieties of Oxalis triangularis − the effect of anthocyanin content // Photosynthetica. 2011. V. 49. P. 346. https://doi.org/10.1007/s11099-011-0042-y
- Trojak M., Skowron E. Role of anthocyanins in high-light stress response // World Sci. News. 2017. V. 81. P. 150.
- Макаревич А.М., Шутова А.Г., Спиридович Е.В., Решетников В.Н. Функции и свойства антоцианов растительного сырья // Труды БГУ. 2010. Т. 4. С. 1.
- Havaux M., Kloppstech K. The protective functions of carotenoid and flavonoid pigments against excess visible radiation at chilling temperature investigated in Arabidopsis npq and tt mutants // Planta. 2001. V. 213. P. 953. https://doi.org/10.1007/s004250100572
- Olsson L., Veit M., Weissenböck G., Bornman J. Differential flavonoid response to enhanced UV-B radiation in Brassica napus // Phytochemistry. 1998. V. 49. P. 1021.
- Alexieva V., Sergiev I., Mapelli S., Karanov E. The effect of drought and ultraviolet radiation on growth and stress markers in pea and wheat // Plant, Cell Environ. 2001. V. 24. P. 881. https://doi.org/10.1046/j.1365-3040.2001.00778.x
- Lois R., Buchanan B.B. Severe sensitivity to ultraviolet radiation in an Arabidopsis mutant deficient in flavonoid accumulation. II. Mechanisms of UV-resistance in Arabidopsis // Planta. 1994. V. 194. P. 504.
- Neill S.O., Gould K.S., Kilmartin P.A., Mitchell K.A., Markham K.R. Antioxidant capacities of green and cyanic leaves in the sun species, Quintinia serrata // Funct. Plant Biol. 2002. V. 29. P. 1437. https://doi.org/10.1071/FP02100
- Neill S.O., Gould K.S. Anthocyanins in leaves: light attenuators or antioxidants? // Funct. Plant Biol. 2003. V. 30. P. 865. https://doi.org/10.1071/FP03118
- Zang K.-M., Yu H.-J., Shi K., Zhou Y.-H., Yu J.-Q., Xia X.-J. Photoprotective roles of anthocyanins in Begonia semperflorens // Plant Sci. 2010. V. 179. P. 202. https://doi.org/10.1016/J.PLANTSCI.2010.05.006
- Zhang T.-J., Chow W.S., Liu X.-T., Zhang P., Liu N., Peng C.-L. A magic red coat on the surface of young leaves: Anthocyanins distributed in trichome layer protect Castanopsis fissa leaves from photoinhibition // Tree Physiol. 2016. V. 36. P. 1296. https://doi.org/10.1093/treephys/tpw080
- Zhu H., ZhangTJ., Zheng J. Anthocyanins function as a light attenuator to compensate for insufficient photoprotection mediated by nonphotochemical quenching in young leaves of Acmena acuminatissima in winter // Photosynthetica. 2018. V. 56. P. 445. https://doi.org/10.1007/s11099-017-0740-1
- Kumar S., Pandey A. K. Chemistry and biological activities of flavonoids: an overview // Sci. World J. 2013. Article ID 162750. https://doi.org/10.1155/2013/162750
- Pojer E., Mattivi F., Johnson D., Stockley C.S. The case for anthocyanin consumption to promote human health: a review // Comp. Rev. Food Sci. Food Saf. 2013. V. 12. P. 483. https://doi.org/10.1111/1541-4337.12024
- Lanoue J., St. Louis S., Little C., Hao X. Continuous lighting can improve yield and reduce energy costs while increasing or maintaining nutritional contents of microgreens // Front. Plant Sci. 2022. V. 13: 983222. https://doi.org/10.3389/fpls.2022.983222
Дополнительные файлы






