Изолированные культуры зеленых корней Triticum aestivum L. способны к неограниченному росту на безгормональных питательных средах
- Authors: Александрова В.М.1,2, Гумерова Г.Р.1, Мусин Х.Г.1, Бережнева З.А.1, Галимова А.А.1, Кулуев Б.Р.1,2
-
Affiliations:
- Федеральное государственное бюджетное научное учреждение Уфимский федеральный исследовательский центр Российской академии наук
- Федеральное государственное бюджетное образовательное учреждение высшего образования “Уфимский университет науки и технологий”
- Issue: Vol 71, No 3 (2024)
- Pages: 299-310
- Section: ЭКСПЕРИМЕНТАЛЬНЫЕ СТАТЬИ
- URL: https://journal-vniispk.ru/0015-3303/article/view/266541
- DOI: https://doi.org/10.31857/S0015330324030056
- EDN: https://elibrary.ru/NMLYZX
- ID: 266541
Cite item
Full Text
Abstract
При культивировании каллусов, полученных из зрелых зародышей яровой мягкой пшеницы (Triticum aestivum L.) сорта Фишт, иногда происходила спонтанная регенерация хлорофилл-содержащих корней зеленого цвета. При изоляции от каллуса эти корни были способны к неограниченному росту на безгормональных питательных средах, подобно культурам волосовидных корней двудольных растений. Обычные корни пшеницы при таких условиях не росли, тогда как зеленые корни продолжали свой рост даже при действии 100 мМ NaCl. В паренхимных клетках зеленых корней пшеницы были обнаружены типичные хлоропласты. В зеленых корнях пшеницы было обнаружено примерно равное количество хлорофиллов а и b, однако их общее содержание было в десятки раз меньше, чем в листьях. Зеленые корни характеризовались большим содержанием пролина и более высокой активностью супероксиддисмутазы, каталазы и пероксидазы, чем обычные корни пшеницы, как в норме, так и при засолении. Зеленые корни могут стать альтернативой волосовидным корням, которые очень трудно получить у злаковых и других однодольных, с целью их использования как в фундаментальных исследованиях, так и в прикладных целях.
Full Text
ВВЕДЕНИЕ
Растения постоянно корректируют программы своего развития для адаптации к внешней среде, формируя новые органы в различных условиях развития. Корни растений обычно растут под землей как гетеротрофные органы и зависят от надземных органов, от которых они получают фотоассимиляты. В то же время в природе обнаруживаются различные специализированные корни, некоторые из которых кроме поглощения воды осуществляют также активный фотосинтез. В качестве примера можно привести воздушные корни эпифитов и лиан, преимущественно произрастающих в тропических лесах. Воздушные корни характерны для ряда комнатных растений, у которых они формируются в основном при высокой влажности [1]. Таким образом, воздушные корни – это чаще всего признак тропического происхождения растения и адаптации к жизни в условиях высокой влажности и недостатка питательных веществ, однако лишь некоторые из таких корней способны к активному фотосинтезу. Из широко культивируемых комнатных растений фотосинтезирующие корни имеют некоторые орхидеи, в связи с чем для их выращивания используют прозрачные горшки [2]. В умеренном поясе зеленые корни характерны для некоторых водных растений. Одним из таких растений является водяной орех плавающий (Trapa natans L.), у которого имеются специализированные фотосинтезирующие корни [3].
Для большинства растений характерны обычные подземные корни, но в экспериментальных условиях для некоторых из них удается получить хлорофилл-содержащие зеленые корни. К примеру, при изучении культур корней шлемника байкальского (Scutellaria baicalensis Georgi), возобновленных из искусственных семян, было отмечено формирование хлоропластов в клетках корней, культивируемых в условиях освещения. Авторы полагают, что способность клеток корней, полученных из искусственных семян, к образованию хлоропластов в условиях освещения может при определенных условиях стать предпосылкой к индукции регенерации целого растения краснокнижного шлемника байкальского [4]. Что касается генетически трансформированных корней, то, например, у Arabidopsis thaliana L. были получены зеленые корни в результате сверхэкспрессии гена GLK (Germinal center kinase-Like Kinase), который усиливает накопление хлоропластов в корнях. Сверхэкспрессия гена GLK не только повышала фотосинтетическую активность и стимулировала развитие хлоропластов за счет активации биогенеза тилакоидных мембран, но также индуцировала деление хлоропластов в корнях [5]. К генетически трансформированным корням также относятся волосовидные корни (от англ. hairy roots), получаемые при помощи Agrobacterium rhizogenes [6]. Эти генетически трансформированные культуры корней можно культивировать отдельно от побегов, поскольку они характеризуются высокой скоростью роста, генетической стабильностью и могут продуцировать более высокие уровни корневых вторичных метаболитов, чем интактные растения. Поэтому культуры волосовидных корней многих растений перспективны для производства ценных вторичных метаболитов [7].
Внедрение волосовидных корней в биотехнологическое производство сдерживается, в том числе, из-за риска контаминации грибами и бактериями, что связано с использованием богатых углеводами питательных сред, которые к тому же являются весьма дорогостоящими [8]. В том числе, исходя из этих соображений нами ранее были получены хлоропласт-содержащие зеленые волосовидные корни T. natans [9]. Индукция зеленых волосовидных корней обнаруживалась и у некоторых видов наземных растений, при условии их выращивания на свету. К примеру, такие культуры зеленых корней были получены для Rhaponticum carthamoides (Willd.) Iljin, которые к тому же только на свету были способны к биосинтезу специфичных флавоноидных гликозидов [10]. Судя по нашим предварительным исследованиям, направленным на получение зеленых волосовидных корней, индуцировать их появление удается в очень редких случаях и только путем специальных манипуляций.
В ходе серии исследований, посвященных индукции органогенеза мягкой пшеницы (Triticum aestivum L.) из каллусной ткани [11], нами были обнаружены несколько спонтанно индуцированных зеленых корней, которые в отличие от обычных корней были способны к неограниченному росту в изолированной культуре на безгормональных питательных средах.
Цель работы – проведение морфометрического, микроскопического и биохимического анализа культур зеленых корней мягкой пшеницы. Микроскопический анализ заключался в обнаружении хлоропластов, а биохимический анализ – в изучении активности некоторых компонентов антиоксидантной системы. В производстве условия культивирования культур корней могут варьировать в большей степени, чем в лаборатории. К тому же способность у культур корней к интенсивному росту при норме и устойчивость к абиотическим стрессам часто коррелируют между собой [12]. Поэтому в экспериментах in vitro с зелеными корнями мягкой пшеницы был использован также стреcc-фактор – засоление.
МАТЕРИАЛЫ И МЕТОДЫ
Морфометрический анализ культур зеленых корней пшеницы при действии NaCl. В ходе предыдущих исследований, посвященных индукции органогенеза в каллусах мягкой пшеницы (Triticum aestivum L.) сорта Фишт, полученных из зрелых зародышей [11] изредка образовывались зеленые корни. В ходе этих экспериментальных работ были обнаружены 3 зеленых корня, которые были изолированы от каллуса и культивировались отдельно в чашках Петри на твердых МС-средах (50% концентрация минеральной основы МС-среды, 14 г/л сахарозы, 60 мг/л инозитола, 2 мг/г глицина, 1 мг/л тиамина и 1 мг/л никотиновой кислоты, 7 г/л агара) без добавления регуляторов роста в течение нескольких месяцев. Какие-либо специфичные условия культивирования каллусов для целенаправленной индукции зеленых корней определить не удалось. Они образовывались спонтанно на стандартных питательных средах при нормальных условиях, но очень редко. Зеленые корни по мере роста делили на части и пересаживали на свежую МС-среду один раз в месяц. В итоге от этих трех зеленых корней были получены 17 условных линий, пронумерованных нами от 1 до 17. Таким образом, все эти 17 анализируемых линий происходили от 3 изначально полученных зеленых корней.
Все опыты по морфометрии линий зеленых корней проводили в чашках Петри с агаризованной МС-средой. Анализируемые линии корней культивировали в камере роста KBW-240 (Binder, Германия) при температуре 25°С, 16-часовом фотопериоде и освещенности ~140 мкмоль/(м2 с). Для экспериментов использовали молодые зеленые корни пшеницы, имевшие длину от 1 до 5 см. Морфометрический анализ заключался в измерении длины корней каждые 7 дней в течение 28 дней культивирования. Всего было проведено 4 измерения. Для создания стрессовых условий опыты проводились в чашках Петри с агаризованной МС-средой, содержащей 100 мМ NaCl. Концентрация NaCl была подобрана в предыдущих опытах с культурами волосовидных корней табака. Данная концентрация NaCl значительно (до 10 раз) замедляла рост и вызывала гибель не более 10% образцов корней после 30 дней культивирования [12]. При нормальных условиях выращивали 9 линий, а при действии засоления – 8 линий. Для каждой линии выборка составляла 3 корня (n = 3) с одинаковой изначальной длиной. Обычные корни пшеницы в качестве контроля использовать не удалось, так как они на безгормональных средах после изоляции от каллуса или побега полностью переставали расти ко времени первого измерения (7 дней).
Фиксация и микроскопический анализ зеленых корней пшеницы. Корни пшеницы фиксировали в 4% формалине на фосфатном буфере (pH 7.2) в течение 4 ч при комнатной температуре. Далее их переносили в 30% глицерин, приготовленный на 2% ДМСО, и выдерживали 30 мин при комнатной температуре. Затем корни перекладывали в “просветляющий раствор” для подготовки к просмотру препаратов под микроскопом. Состав “просветляющего раствора”: 3.7 М KI и 12.5 мМ Na2S2O3 в 100 мл 2% ДМСО. Далее 35 мл этого раствора смешивали с 65 мл 100% глицерина. Корни пшеницы выдерживали в “просветляющем растворе” не меньше 1.5 ч, после этого готовили временные препараты в 50% глицерине [13].
Препараты корней нарезались на полуавтоматическом криостате Leica CM1520 (Leica Biosystems Nussloch GmbH, Германия). Толщина препаратов составляла 60 мкм для того, чтобы при разрезании корней на криостате был сохранен интактный слой клеток для просмотра на флуоресцентном микроскопе. Фотографировали клетки паренхимы корней в центральной части зоны всасывания. Таким же образом проводили микроскопию зеленых корней водяного ореха и зеленых клубней картофеля, у которых наличие хлоропластов в этих органах хорошо известно. В работе использовали флуоресцентный микроскоп Biozero BZ-8100 (Keyence, Япония).
Определение содержания хлорофиллов a и b. Навеску (около 100 мг) измельченных корней помещали в ступку и растирали с небольшим количеством жидкого азота. Полученный гомогенат собирали в пробирку и добавляли 96% этиловый спирт. Полученный экстракт содержит сумму зеленых и желтых пигментов [14]. Для расчета концентраций хлорофиллов a и b в экстракте определяли его оптическую плотность спектрофотометрически при длинах волн, соответствующих максимумам спектра поглощения исследуемых пигментов в 96% этиловом спирте. Для хлорофилла а максимум поглощения находится при λ = 665 нм, для хлорофилла b – при λ = 649 нм. Концентрацию хлорофиллов a (Сa, мг/л) и b (Сb, мг/л) рассчитывали по формуле:
Сa = 13.70 × А665 – 5.76 × А649,
Сb = 25.8 × А649 – 7.60 × А665,
где А665 и А649 – оптическая плотность раствора при длинах волн 665 и 649 нм соответственно. Содержание хлорофиллов а и b выражали в мкг/г сырой массы.
Анализ антиоксидантной системы культур зеленых корней пшеницы. Для проведения анализа стресс-опосредованных изменений антиоксидантной системы культуры зеленых и обычных корней пшеницы выращивали в течение 30 дней в условиях действия 100 мМ NaCl, согласно методу, ранее использованному нами для биохимического анализа волосовидных корней табака [12]. Активность антиоксидантных ферментов и содержание пролина была пересчитана на 1 г сырой массы корней. Все биохимические исследования проводили в 15 повторностях (n = 15).
Для определения активности супероксиддисмутазы (СОД) применяли метод, основанный на способности фермента конкурировать с нитросиним тетразолием за супероксидные анион-радикалы [15]. Активность каталаз определяли по скорости деградации молекул перекиси водорода [16]. Количество малонового диальдегида определяли с помощью тиобарбитуровой кислоты [17]. Для определения содержания пролина использовали метод Khedr с соавт. [18]. Экстракцию пероксидазы проводили по Chaouch с соавт. [19], измерение ее активности – по Bindschedler с соавт. [20].
Статистический анализ. Результаты всех исследований представлены в виде гистограмм со средними значениями выборки, бары обозначают стандартную ошибку среднего (M ± SEM). Достоверность различий во всех экспериментах оценивали при помощи U-критерия Манна-Уитни (P ≤ 0.05).
РЕЗУЛЬТАТЫ
Морфометрический анализ культур зеленых корней пшеницы при нормальных условиях и при действии NaCl
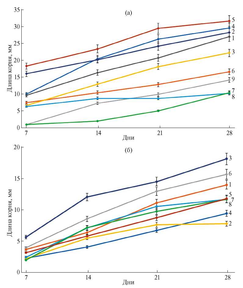
На безгормональных питательных средах обычные культуры корней пшеницы росли очень медленно и к 7 суткам переставали расти (рис. 1а). Из-за этого морфометрический анализ культур обычных корней пшеницы провести не удалось. В то же время зеленые корни пшеницы показывали довольно интенсивный и неограниченный по времени рост (рис. 1б). Рост зеленых корней при засолении замедлился в среднем в 1.5 раза, по сравнению с нормальными условиями (рис. 2). При нормальных условиях наибольшая длина и довольно интенсивный рост был характерен для линий 1, 4 и 5 (рис. 2а). Наибольшая скорость роста обнаруживалась у линий 1, 3, 4 и 9. Медленнее всего при нормальных условиях росли линии 6, 7 и 8 (рис. 2а). При действии NaCl лучше всего росли линии 1, 3 и 6 (рис. 2б). Худшие результаты показали зеленые корни линий 2 и 4 (рис. 2б).
Рис. 1. Внешний вид культур корней мягкой пшеницы, полученных in vitro: (а) – обычные корни, (б) – зеленые корни. Масштаб – 1 см.
Рис. 2. Длина зеленых корней пшеницы (линии 1–9) при стандартных условиях культивирования (а) и при добавлении в МС-среду 100 мМ NaCl (б).
Микроскопический анализ зеленых корней пшеницы
На поперечном срезе (рис. 3а, б) видно, что некоторые паренхимные клетки мезофилла зеленых корней пшеницы содержат довольно большое число хлоропластов. Все эти хлоропласт-содержащие клетки расположены вокруг центрального цилиндра (рис. 3б). К особенностям зеленых корней в отличие от обычных можно отнести наличие очень больших межклетников, рыхлое расположение паренхимных клеток мезофилла и отсутствие жесткой экзодермы (рис. 3а, б). Продольный срез часто приводил к разрушению структуры зеленых корней с сохранением целостности лишь центрального цилиндра (рис. 3г), тогда как обычные корни пшеницы сохраняли свою структуру (рис. 3в). На рис. 3г хорошо видно, что хлоропласт-содержащие паренхимные клетки расположены в основном вокруг центрального цилиндра, клетки которого, в свою очередь, не содержат хлоропластов, так же, как и расположенные снаружи паренхимные клетки (рис. 3б).
Рис. 3. Поперечный (а, б) и продольный (в, г) срезы обычных (а, в) и зеленых (б, г) корней мягкой пшеницы, растущих в условиях in vitro. ЦЦ – центральный цилиндр корня, М – паренхимные клетки мезофилла, Хл – паренхимные клетки корня с хлоропластами, Э – экзодерма. Увеличение ×160. Масштаб – 50 мкм.
Для зеленых корней была характерна меньшая плотность расположения хлоропластов в клетке, по сравнению с листьями пшеницы (рис. 4а, б), но ввиду больших размеров клеток мезофилла корней на одну клетку приходилось несколько десятков хлоропластов (рис. 3г).
Рис. 4. Поперечный (а, б, в, д, е) и продольный (г) срезы листьев мягкой пшеницы (а, б), зеленых корней водяного ореха (в, г) и позеленевших клубней картофеля (д, е). ЦЦ – центральный цилиндр корня, М – паренхимные клетки мезофилла, Э – экзодерма. Увеличение ×160 (а–д), ×320 (е). Масштаб – 50 мкм.
Одним из хорошо известных природных фотосинтезирующих корней являются зеленые корни водяного ореха [9]. Мы приготовили микрофотографии поперечного (рис. 4в) и продольного (рис. 4г) срезов зеленых корней водяного ореха, произрастающих в аквариуме. В данном случае почти все паренхимные клетки мезофилла корней содержали хлоропласты (рис. 4в, г). Хлоропласты не обнаруживались только в клетках центрального цилиндра и экзодермы. Необходимо отметить, что для зеленых корней водяного ореха была характерна четко обособленная и довольно жесткая экзодерма (рис. 4в), в отличие от зеленых корней пшеницы (рис. 3б). Возможно, это связано с тем, что зеленые корни водяного ореха являются специализированным фотосинтезирующим органом и растут в природных условиях [9], тогда как зеленые корни пшеницы индуцируются только в экспериментальных условиях in vitro. Еще одним подземным органом, способным к накоплению хлоропластов в клетках, являются клубни картофеля. Мы получили микрофотографии поперечных срезов позеленевших на свету клубней картофеля и также в паренхимных клетках обнаружили хлоропласты (рис. 4д, е). Отличительной особенностью клеток клубней картофеля было то, что хлоропласты в них всегда располагались компактно, как виноградные грозди, тогда как остальные части клеток были заполнены крахмальными зернами (рис. 4д, е). Таким образом, у зеленых корней пшеницы внутренняя структурная организация была такой же, как у природных зеленых корней водяного ореха.
Содержание хлорофиллов a и b в зеленых корнях пшеницы
Измерение содержания хлорофилла показало, что в зеленых корнях он присутствует (рис. 5). Во всех анализируемых зеленых корнях обнаруживалось примерно одинаковое количество хлорофиллов a и b. Больше всего хлорофилла a было обнаружено у линии 8, а меньше всего у линии 2. Хлорофилла b содержалось больше всего также у линии 8, а меньше всего у линии 4. У линий 1, 4, 5 и 8 было большее содержание хлорофилла а, а у линий 2, 3 и 7 было большее содержание хлорофилла b (рис. 5).
Рис. 5. Содержание хлорофиллов a и b в зеленых корнях мягкой пшеницы (линии 1–8).
Анализ антиоксидантной системы зеленых корней пшеницы
При анализе антиоксидантной системы при нормальных условиях было использовано 11 линий зеленых корней и 4 линии обычных корней в качестве контроля. При действии NaCl было использовано 8 линий зеленых корней и 9 линий обычных корней в качестве контроля. При этом номера линий зеленых корней в данном эксперименте совпадают с номерами линий при морфометрическом анализе. Однако эти эксперименты проведены в разное время и число проанализированных линий при нормальных условиях было больше на 2, чем при морфометрическом анализе.
Активность СОД (рис. 6а, б) в среднем у зеленых корней при нормальных условиях была выше в 2 раза, чем при засолении. У обычных корней активность СОД при нормальных условиях была выше, чем при засолении в 6 раз. При нормальных условиях в зеленых корнях активность СОД в среднем была в 2.5 раза выше, чем в контрольных линиях (рис. 6а). При засолении в зеленых корнях активность СОД в среднем также была в 2 раза выше, чем в контрольных линиях (рис. 6б). При нормальных условиях наибольшая активность СОД была характерна для линий зеленых корней 5 и 8, а наименьшая для линии 6 (рис. 6а). При засолении наибольшая активность СОД была обнаружена у линий 3 и 6, а наименьшая для линий 2 и 4 (рис. 6б).
Рис. 6. Активность супероксиддисмутазы (а, б) и содержание пролина (в, г) в корнях пшеницы: а, в – при нормальных условиях (линии зеленых корней – 1–1, линии обычных корней – 12–15); б, г – при добавлении в МС-среду 100 мМ NaCl (линии зеленых корней – 1–8, линии обычных корней – 9–17).
Количество пролина (рис. 6в, г) у зеленых корней при засолении было меньше, чем при нормальных условиях в среднем в 2.5 раза. У обычных корней количество пролина при стрессовых условиях было ниже примерно в 3 раза по сравнению с нормальными условиями. При нормальных условиях в линиях зеленых корней количество пролина в среднем было в 2.5 раза выше, чем в контрольных линиях (рис. 6в). При засолении в линиях зеленых корней количество пролина также в среднем было почти в 3 раза выше, чем в контрольных линиях (рис. 6г). При нормальных условиях наибольшее содержание пролина было характерно для линий зеленых корней 4 и 5, а наименьшее для линии 8 (рис. 6в). При засолении наибольшее содержание пролина было обнаружено у линий 1 и 3, а наименьшее для линий 5 и 6 (рис. 6г).
Активность каталазы (рис. 7а, б) у зеленых корней при нормальных условиях превышала в среднем в 6 раз ее активность при засолении. У обычных корней активность каталазы при нормальных условиях была в среднем больше в 10 раз, чем при засолении. Существенной разницы между обычными и зелеными корнями при нормальных условиях не наблюдалось (рис. 7а). При засолении активность каталазы у зеленых корней была немного выше, чем у обычных корней (рис. 7б). При нормальных условиях наибольшая активность каталазы была характерна для линий зеленых корней 4 и 5, а наименьшая для линий 6 и 7 (рис. 7а). При засолении наибольшая активность каталазы была обнаружена у линий 1, 3 и 6, а наименьшая для линий 2 и 4 зеленых корней (рис. 7б).
Рис. 7. Активность каталазы (а, б) и пероксидазы (в, г) в корнях пшеницы: а, в – при нормальных условиях (линии зеленых корней – 1–11, линии обычных корней – 12–15); б, г – при добавлении в МС-среду 100 мМ NaCl (линии зеленых корней – 1–8, линии обычных корней – 9–17).
Активность пероксидазы (рис. 7в, г) в зеленых корнях при нормальных условиях была выше ее активности при засолении в среднем в 2.5 раза. При засолении у обычных корней активность пероксидазы была очень низкой (рис. 7г). При нормальных условиях в линиях зеленых корней активность пероксидазы в среднем была в 2.5 раза выше, чем в контрольных линиях. При нормальных условиях наибольшая активность пероксидазы была характерна для линий зеленых корней 1 и 5, а наименьшая для линий 7 и 8 (рис. 7в). При засолении наибольшая активность пероксидазы была обнаружена у линий 3 и 6, а наименьшая для линий 2 и 4 зеленых корней (рис. 7г).
ОБСУЖДЕНИЕ
Волосовидные корни растений, полученные путем генетической трансформации с A. rhizogenes характеризуются высокими темпами роста на безгормональных питательных средах [7, 21]. Такие способные к изолированному росту культуры корней находят применение не только в качестве продуцентов корневых вторичных метаболитов, но и в фундаментальных исследованиях [12]. В более ранних исследованиях нам не удалось получить волосовидные корни мягкой пшеницы [22]. О создании волосовидных корней мягкой пшеницы другими авторами также не сообщалось, хотя генетическая трансформация злаковых при помощи A. rhizogenes все же возможна и может приводить к индукции таких корней [23]. В ходе морфометрического анализа выяснилось, что изолированные культуры корней мягкой пшеницы на питательных средах без добавления регуляторов роста ауксиновой природы не растут. В этой связи обнаруженные нами зеленые корни могут стать альтернативой истинным волосовидным корням, которые довольно трудно получить у однодольных. При этом культуры зеленых корней мягкой пшеницы все же растут намного медленнее, чем типичные волосовидные корни двудольных. К примеру, при нормальных условиях волосовидные корни табака росли в 3-8 раза быстрее зеленых корней мягкой пшеницы [12]. При действии 100 мМ NaCl темпы роста зеленых корней мягкой пшеницы падали примерно в 2 раза, похожие результаты нами были получены и для волосовидных корней [12]. Обычные корни мягкой пшеницы при нормальных условиях показывали очень низкие темпы роста, причем только в течение нескольких дней после их пересадки, далее они полностью переставали расти и через 1 месяц культивации обычно погибали.
Как и предполагалось, микроскопический анализ зеленых корней показал наличие в их клетках хлоропластов (рис. 3б, г). Хлоропласты обнаруживались только в паренхимных клетках корня, также как и у природных фотосинтезирующих корней водяного ореха (рис. 4в, г). В наружных клетках экзодермы и в клетках центрального цилиндра как у зеленых корней мягкой пшеницы, так и в фотосинтезирующих корнях водяного ореха хлоропластов не было. Отличительной чертой зеленых корней водяного ореха была четко выделяемая и жесткая экзодерма (рис. 4в), что может быть связано с тем, что у данного растения такие корни – природная особенность и росло оно не в условиях in vitro, а в обычном аквариуме. С другой стороны, у обычных корней мягкой пшеницы, росших в условиях in vitro, экзодерма также четко выделялась (рис. 3а). Таким образом, для зеленых корней мягкой пшеницы были обнаружены ряд нарушений гистологической структуры корня, такие как большие размеры межклетников, отсутствие четко выделяемой экзодермы, что подтверждает мысль о том, что зеленые корни мягкой пшеницы это не норма, а феномен, изредка возникающий в условиях in vitro. С другой стороны, зеленые корни в целом все же имели типичное гистологическое строение корней и по локализации хлоропласт-содержащих клеток были схожи с природными фотосинтезирующими корнями водяного ореха. Также необходимо отметить, что, по нашим наблюдениям, ни волосовидные, ни обычные корни многих растений в культуре in vitro не зеленеют даже при выращивании в условиях интенсивного света. Это говорит об особенностях корней мягкой пшеницы, у которых, видимо, возможность индукции хлоропластов все же заложена природой этого вида.
Дополнительным доказательством наличия фотосинтеза в зеленых корнях стало выявление в них пигментов – хлорофиллов a и b. Корреляции между содержанием хлорофилла и результатами морфометрического анализа не обнаруживались. В целом все проанализированные линии зеленых корней пшеницы были близки по содержанию обеих форм хлорофилла (рис. 5). Содержание хлорофилла а в листьях мягкой пшеницы составляет порядка 2 мг/г сырой массы, а хлорофилла b – 0.5 мг/г сырой массы [24]. В зеленых корнях же обнаруживалось намного меньше хлорофилла а (примерно в 80 раз) и хлорофилла b (примерно в 20 раз). Таким образом, содержание хлорофилла в зеленых корнях было в десятки раз меньше, чем в листьях. В связи с этим, можно полагать, что и эффективность фотосинтеза в зеленых корнях была намного ниже, чем в листьях. Основным отличием зеленых корней было высокое значение соотношения хлорофилла b к хлорофиллу а – в среднем 1 : 1, тогда как в листьях пшеницы оно в среднем составляло 1 : 4 [24]. Сообщалось, что содержание хлорофилла b увеличивается в условиях недостатка освещения [25], что может способствовать увеличению эффективности фотосинтеза в таких условиях [26]. Но в работе использовалась стандартная камера KBW-240 (Binder, Германия) с лампами дневного света, обеспечивающими освещенность ~140 мкмоль/(м2 с), что вполне достаточно для мягкой пшеницы [27]. В то же время высокая величина соотношения хлорофиллов а/b часто служит признаком высокой потенциальной интенсивности фотосинтеза [28], что характерно для листьев, а не зеленых корней пшеницы. Таким образом, зеленые корни – это несбалансированная система с низкой эффективностью фотосинтеза, по сравнению со специализированным органом – листьями.
Ввиду отсутствия настоящих волосовидных корней пшеницы, при анализе антиоксидантной системы можно привести сравнение зеленых корней пшеницы с волосовидными корнями табака из нашей предыдущей работы [12]. При действии NaCl активность СОД в волосовидных корнях табака оставалась примерно такой же, как при норме [12]. У зеленых корней пшеницы при нормальных условиях наблюдали примерно такой же уровень активности СОД, а при засолении активность СОД падала в среднем в 2 раза (рис. 6а, б). У обычных корней пшеницы активность СОД была ниже, чем у волосовидных корней табака и зеленых корней пшеницы. Что касается пролина, то его содержание у волосовидных корней при засолении увеличивалось [12], тогда как у зеленых корней его содержание в этих же условиях снижалось (рис. 6в, г). Интересно то, что изначальное количество пролина при норме в зеленых и волосовидных корнях было сопоставимо. У зеленых корней пшеницы в отличие от волосовидных корней табака при засолении также уменьшалась каталазная активность (рис. 7а, б). У волосовидных корней табака при засолении каталазная активность повышалась [12]. Таким образом, основным отличием зеленых корней пшеницы от волосовидных корней табака при засолении было наличие негативных изменений в компонентах антиоксидантной системы. Еще более существенные негативные изменения в компонентах антиоксидантной системы обнаруживались у обычных корней пшеницы при засолении. При нормальных условиях наиболее высокие уровни пролина и активностей СОД, каталазы и пероксидазы были характерны для линий 4 и 5 (рис. 6, 7). Необходимо отметить, что именно эти две линии демонстрировали наиболее высокие темпы роста при норме (рис. 2а). При действии NaCl наиболее высокие уровни пролина и активностей антиоксидантных ферментов были характерны для линий 1, 3 и 6 (рис. 6, 7). Эти же линии наиболее быстро росли в условиях засоления (рис. 2б). Исходя из этих данных можно говорить о том, что зеленые корни пшеницы и волосовидные корни табака с позитивными параметрами компонентов антиоксидантной системы чаще всего также характеризуются и более высокими параметрами роста на культуральной среде как при норме, так и при действии NaCl. Очень низкие уровни активности пероксидазы у обычных корней пшеницы при засолении сопровождались отсутствием роста и их гибелью в стрессовых условиях.
Можно предположить, что наличие фотосинтеза обеспечивает корни пшеницы минимально необходимыми для роста в изолированной культуре фитогормонами. Действительно, рост волосовидных корней в изолированной культуре обеспечивается за счет влияния на цитокининовый и ауксиновый сигналинги [29]. Хорошо известно, что хлоропласты не только обеспечивают фотосинтез, но и биосинтез ауксинов и цитокининов [30]. С другой стороны, сами эти два фитогормона способствуют усилению фотосинтеза [31]. Таким образом, в зеленых корнях вероятнее всего накапливается больше фитогормонов, чем в обычных корнях пшеницы, что и позволяет им расти неограниченно на безгормональных питательных средах.
В результате работы нами получены зеленые корни мягкой пшеницы, способные к неограниченному росту на безгормональных питательных средах в изолированной культуре, в том числе в условиях засоления. В зеленых корнях мягкой пшеницы обнаружены хлоропласты и пигмент хлорофилл, что свидетельствует о том, что в них происходит процесс фотосинтеза. Зеленые корни характеризовались большим содержанием пролина и более высокой активностью супероксиддисмутазы, каталазы и пероксидазы, чем обычные корни пшеницы как при норме, так и при засолении. Зеленые корни могут стать альтернативой волосовидным корням, которые очень трудно получить у злаковых, для их использования как в фундаментальных исследованиях, так и в прикладных целях.
Исследования Александровой В.М., Мусина Х.Г. и Бережневой З.А. выполнены в рамках государственного задания № 122030200143-8. Работы Галимовой А.А. и Кулуева Б.Р. поддержаны грантом Минобрнауки РФ (соглашение № 075-15-2021-1066 от 28 сентября 2021 г).
Настоящая статья не содержит каких-либо исследований с участием животных и людей в качестве объектов исследований.
Авторы заявляют об отсутствии конфликта интересов.
About the authors
В. М. Александрова
Федеральное государственное бюджетное научное учреждение Уфимский федеральный исследовательский центр Российской академии наук; Федеральное государственное бюджетное образовательное учреждение высшего образования “Уфимский университет науки и технологий”
Author for correspondence.
Email: alek_vlm@mail.ru
Институт биохимии и генетики
Russian Federation, Уфа; УфаГ. Р. Гумерова
Федеральное государственное бюджетное научное учреждение Уфимский федеральный исследовательский центр Российской академии наук
Email: alek_vlm@mail.ru
Институт биохимии и генетики
Russian Federation, УфаХ. Г. Мусин
Федеральное государственное бюджетное научное учреждение Уфимский федеральный исследовательский центр Российской академии наук
Email: alek_vlm@mail.ru
Институт биохимии и генетики
Russian Federation, УфаЗ. А. Бережнева
Федеральное государственное бюджетное научное учреждение Уфимский федеральный исследовательский центр Российской академии наук
Email: alek_vlm@mail.ru
Институт биохимии и генетики
Russian Federation, УфаА. А. Галимова
Федеральное государственное бюджетное научное учреждение Уфимский федеральный исследовательский центр Российской академии наук
Email: alek_vlm@mail.ru
Институт биохимии и генетики
Russian Federation, УфаБ. Р. Кулуев
Федеральное государственное бюджетное научное учреждение Уфимский федеральный исследовательский центр Российской академии наук; Федеральное государственное бюджетное образовательное учреждение высшего образования “Уфимский университет науки и технологий”
Email: alek_vlm@mail.ru
Институт биохимии и генетики
Russian Federation, Уфа; УфаReferences
- Sheeran L., Rasmussen A. Aerial roots elevate indoor plant health: physiological and morphological responses of three high-humidity adapted Araceae species to indoor humidity levels // Plant Cell Environ. 2023. V. 46. P. 1873. https://doi.org/10.1111/pce.14568
- Коломейцева Г.Л. Орхидеи и особенности их выращивания. М.: ООО “Фитон XXI”. 2020. 264 с.
- Кулуев Б.Р., Артюхин А.Е., Шевченко А.М., Михайлова Е.В. Водяной орех плавающий Trapa L.: биология, ареал распространения и исследование его изолированных популяций в озерах Нуримановского района Республики Башкортостан // Биомика. 2017. Т. 9. № 2. С. 101.
- Вдовитченко М.Ю., Кузовкина И.Н. “Искусственные семена” как способ получения экологически чистого лекарственного сырья и сохранения исчезающих видов растений // Вестник Московского университета. Сер. 16. Биология. 2011. № 2. С. 4.
- Kobayashi K., Sasaki D., Noguchi K., Fujinuma D., Komatsu H., Kobayashi M., Sato M., Toyooka K., Sugimoto K., Niyogi K.K., Wada H., Masuda T. Photosynthesis of root chloroplasts developed in Arabidopsis lines overexpressing GOLDEN2-LIKE transcription factors // Plant Cell Physiol. 2013. V. 54. P. 1365. https://doi.org/10.1093/pcp/pct086
- Kuzovkina I.N., Vdovitchenko M.Y. Genetically transformed roots as a model system for studying physiological and biochemical processes in intact roots // Russ. J. Plant Physiol. 2011. V. 58. P. 941. https://doi.org/10.1134/S1021443711050141
- Кулуев Б.Р., Вершинина З.Р., Князев А.В., Чемерис Д.А., Баймиев А.Х., Чумаков М.И., Баймиев А.Х., Чемерис А.В. “Косматые” корни растений – важный инструментарий для исследователей и мощная фитохимбиофабрика для производственников // Биомика. 2015. № 2. С. 70.
- Мусин Х.Г., Кулуев Б.Р., Якупова А.Б., Сагитов А.М., Чемерис А.В. Рост культур бородатых корней в колбах и прототипах биореакторов дождевального типа // Естественные и технические науки. 2020. № 4. С. 19.
- Mikhaylova E., Artyukhin A., Musin Kh., Panfilova M., Gumerova G., Kuluev B. The first report on the induction of hairy roots in Trapa natans, a unique aquatic plant with photosynthesizing roots // Plant Cell Tissue Organ Cult. 2021. V. 144. P. 485. https://doi.org/10.1007/s11240-020-01963-7
- Skała E., Kicel A., Olszewska M.A., Kiss A.K., Wysokińska H. Establishment of hairy root cultures of Rhaponticum carthamoides (Willd.) Iljin for the production of biomass and caffeic acid derivatives // Biomed Res. Int. 2015. Article ID 181098. https://doi.org/10.1155/2015/181098
- Гумерова Г.Р., Галимова А.А., Кулуев Б.Р. Каллусообразование и органогенез мягкой пшеницы с использованием зрелых зародышей в качестве эксплантов // Труды по прикладной ботанике, генетике и селекции. 2023. Т. 184. № 2. С. 19. https://doi.org/10.30901/2227-8834-2023-2-19-28
- Musin Kh.G., Gumerova G.R., Baimukhametova E.A., Kuluev B.R. Growth and stress resistance of tobacco hairy roots with constitutive expression of ARGOS-LIKE gene // Russ. J. Plant Physiol. 2022. V. 69: 92. https://doi.org/10.1134/S1021443722050156
- Filin A.N., Ivanov V.B. Effect of 2,4-D on cell proliferation and elongation in the roots of Arabidopsis thaliana // Russ. J. Plant Physiol. 2016. V. 63. P. 166. https://doi.org/10.1134/S1021443716010064
- Шлык А.А. Определение хлорофиллов и каротиноидов в экстрактах зеленых листьев / Биохимические методы в физиологии растений / Под ред. О.А. Павлиновой. М. Наука. 1971. С. 154.
- Чевари С., Чаба И., Секей И. Роль супероксиддисмутазы в окислительных процессах клетки и метод определения ее в биологических материалах // Лабораторное дело. 1985. № 11. С. 678.
- Panchuck I.I. Volkov R.A., Schoff F. Heat stress and heat shock transcription factor-depend expression and activity of ascorbate peroxidase in Arabidopsis // Plant Physiol. 2002. V. 129. P. 838. https://doi.org/10.1104/pp.001362
- Taylor N.L., Millar A.H. Oxidative stress and plant mitochondria // Methods Mol. Biol. 2007. V. 372. P. 389. https://doi.org/10.1007/978-1-59745-365-3_28
- Khedr A.H.A., Abbas M.A., Abdel W.A.A., Quick W.P., Abogadallah G.M. Proline induces the expression of salt‐stress‐responsive proteins and may improve the adaptation of Pancratium maritimum L. to salt‐stress // J. Exp. Bot. 2003. V. 54. P. 2553. https://doi.org/10.1093/jxb/erg277
- Chaouch S., Queval G., Vanderauwera S., Mhamdi A., Vandorpe M., Langlois-Meurinne M., Breusegem F., Saindrenan P., Noctor G. Peroxisomal hydrogen peroxide is coupled to biotic defense responses by ISOCHORISMATE SYNTHASE1 in a daylength-related manner // Plant Physiol. 2010. V. 153. P. 1692. https://doi.org/10.1104/pp.110.153957
- Bindschedler L.V., Minibayeva F., Gardner S.L., Gerrish C., Davies D.R., Bolwell G.P. Early signalling events in the apoplastic oxidative burst in suspension cultured French bean cells involve cAMP and Ca2+ // New Phytol. 2001. V. 151. P. 185. https://doi.org/10.1046/j.1469-8137.2001.00170.x
- Katuri S.R., Khanna R. Kinetic growth model for hairy root cultures // Math. Biosci. Eng. 2019. V. 16. P. 553. https://doi.org/10.3934/mbe.2019027
- Гумерова Г.Р., Кулуев Б.Р., Кагирова А.С., Вершинина З.Р., Чемерис А.В. Биобаллистическая трансформация Triticum aestivum rol-генами Agrobacterium rhizogenes // Биомика. 2017. Т. 9. № 4. C. 317.
- Runo S., Macharia S., Alakonya A., Machuka J., Sinha N., Scholes J. Striga parasitizes transgenic hairy roots of Zea mays and provides a tool for studying plant-plant interactions // Plant Methods. 2012. V. 8: 20. https://doi.org/10.1186/1746-4811-8-20
- Лиховидова В.А., Газе В.Л., Ионова Е.В. Влияние фотосинтетического пигмента хлорофилла при различной влагообеспеченности на продуктивность растений озимой мягкой пшеницы // Аграрная наука. 2020. T. 340. № 7. С. 86. https://doi.org/10.32634/0869-8155-2020-340-7-86-89
- Boardman N.K. Comparative photosynthesis of sun and shade plants // Annu. Rev. Plant Physiol. 1977. V. 28. P. 355.
- Osmond C., Lange L., Nobel P. Physiological plant ecology I: responses to the physical environment. Springer-Verlag. 1981. V. 12A. P. 67.
- Okuda T., Matsuda Y., Yamanaka A., Sagisaka S. Abrupt increase in the level of hydrogen peroxide in leaves of winter wheat is caused by cold treatment // Plant Physiol. 1991. V. 97. P. 1265. https://doi.org/10.1104/pp.97.3.1265.
- Николаевский В.С. Биологические основы газоустойчивости растений. Новосибирск: Наука, 1979. 278 с.
- Швец Д.Ю., Бережнева З.А., Мусин Х.Г., Баймухаметова Э.А., Кулуев Б.Р. rol-гены агробактерий: возможные биологические функции // Успехи современной биологии. 2023. Т. 143. № 5. С. 487. https://doi.org/10.31857/S004213242305006X
- Cackett L., Luginbuehl L.H., Schreier T.B., Lopez-Juez E., Hibberd J.M. Chloroplast development in green plant tissues: the interplay between light, hormone, and transcriptional regulation // New Phytol. 2022. V. 233. P. 2000. https://doi.org/10.1111/nph.17839
- Müller M., Munné-Bosch S. Hormonal impact on photosynthesis and photoprotection in plants // Plant Physiol. 2021. V. 185. P. 1500. https://doi.org/10.1093/plphys/kiaa119
Supplementary files









