Особенности формирования повышенной холодоустойчивости пшеницы под влиянием наночастиц золота
- Authors: Венжик Ю.В.1, Дерябин А.Н.1, Жукова К.В.1, Соколов А.О.1, Попов В.Н.1, Мошков И.Е.1
-
Affiliations:
- Федеральное государственное бюджетное учреждение науки Институт физиологии растений им. К.А. Тимирязева Российской академии наук
- Issue: Vol 71, No 3 (2024)
- Pages: 333-345
- Section: ЭКСПЕРИМЕНТАЛЬНЫЕ СТАТЬИ
- URL: https://journal-vniispk.ru/0015-3303/article/view/266581
- DOI: https://doi.org/10.31857/S0015330324030081
- EDN: https://elibrary.ru/NMJTVI
- ID: 266581
Cite item
Full Text
Abstract
Возрастание климатической нестабильности наряду с усилением техногенной нагрузки на природную среду обусловливают необходимость поиска новых подходов к повышению устойчивости пшеницы к абиотическим факторам, прежде всего, к низкой температуре. Перспективным направлением является использование наночастиц металлов, которые в низких концентрациях обладают способностью позитивно влиять на метаболизм растений. Благодаря малым размерам (менее 100 нм), особым физико-химическим, оптическим и электрическим свойствам, наночастицы проникают через клеточные барьеры, распространяются по растительному организму, влияя практически на все процессы в нем. На примере пшеницы (Triticum aestivum L., сорт Злата) впервые показано, что золотые наночастицы (ЗНЧ) способны действовать как адаптогены, повышая холодоустойчивость растений. В исследовании использовали прайминг (предпосевное замачивание на 24 ч) семян в растворах ЗНЧ (5–50 мкг/мл). Выросшие из обработанных ЗНЧ семян растения отличались от контрольных (необработанных) по ряду физиолого-биохимических и молекулярно-генетических показателей. У них были существенно усилены ростовые процессы и активность фотосинтетического аппарата, повышена экспрессия генов, кодирующих большую (rbcL) и малую (rbcS) субъединицы РБФК/О, а также COR генов – Wcor726 и Wcor15. Более того, полученные из обработанных ЗНЧ семян растения пшеницы отличались от контрольных повышенной устойчивостью к низким температурам, причем эффект проявлялся как в контрольных условиях, так и после низкотемпературного закаливания. Концентрационные тесты показали, что максимальный эффект достигался при использовании ЗНЧ в концентрации 10 мкг/мл. Сделан вывод, что ЗНЧ способны влиять на метаболизм растений и экспрессию генов стрессового ответа, что приводит к существенному увеличению холодоустойчивости. Обсуждаются возможные механизмы действия ЗНЧ на устойчивость к низкой температуре.
Full Text
Сокращения: ЗНЧ – золотые наночастицы, НЧ – наночастицы, ФСА – фотосинтетический аппарат.
ВВЕДЕНИЕ1
Исследование физиолого-биохимических и молекулярно-генетических механизмов адаптации высших растений к абиотическим факторам среды является одной из центральных задач современной биологии. Яровая пшеница – одна из важнейших сельскохозяйственных культур, повсеместно возделываемая на территории России и широко востребованная во всем мире. Возрастание климатической нестабильности наряду с усилением техногенной нагрузки на природную среду обусловливают необходимость поиска новых подходов к повышению устойчивости пшеницы к абиотическим факторам, прежде всего, к низкой температуре. Перспективным направлением является использование наночастиц (НЧ) металлов, которые в низких концентрациях обладают способностью позитивно влиять на метаболизм и стрессоустойчивость растений. Благодаря малым размерам (менее 100 нм), высокой подвижности, реакционной и адсорбционной способности, а также уникальным оптическим резонансным свойствам НЧ проникают через клеточные барьеры, распространяются по растительному организму, влияя практически на все процессы в нем [1]. На сегодняшний день НЧ находят все большее применение в биологии, медицине и сельском хозяйстве как регуляторы роста и развития растений, компоненты лекарственных препаратов, вещества с гербицидной/пестицидной активностью и наноудобрения [2].
Особое место среди металлических НЧ занимают золотые наночастицы (ЗНЧ). С одной стороны, ЗНЧ быстро и легко синтезируются из недорогих химических реактивов [3, 4]. С другой стороны, ЗНЧ, как правило, нетоксичны для растений, животных и людей при использовании в микродозах до 100 мкг/мл [5]. Анализ литературных источников демонстрирует, что эффекты ЗНЧ на растения носят преимущественно позитивный характер [3, 4]. Повышение интенсивности ростовых процессов под влиянием ЗНЧ наблюдали на целом ряде растительных объектов [6–11]. Под воздействием ЗНЧ отмечено усиление интенсивности фотосинтеза и изменения параметров флюоресценции хлорофилла [11, 12], содержания фотосинтетических пигментов [6, 10, 11] и ультраструктуры хлоропластов [10, 13]. Наличие уникальных оптических свойств, связанных с возбуждением локализованных плазмонных резонансов при взаимодействии со светом, обусловливает мировой научный интерес к применению ЗНЧ в медицине, биологии и сельском хозяйстве в качестве фотопротекторов, снижающих риски развития окислительного стресса [3, 5].
В последние годы возрос интерес к ЗНЧ как к адаптогенам, способным повышать стрессоустойчивость. В отношении растений такого рода исследования немногочисленны, а механизмы эффектов ЗНЧ на метаболизм и устойчивость растений остаются не совсем ясными. Показано на ячмене и резуховидке, что ЗНЧ, проникая в растения через корни, изменяли экспрессию генов DGR1 и DGR2, кодирующих белки клеточной стенки [14], а также ее химический состав и жесткость, способствуя повышению стрессоустойчивости [15]. Корневая обработка растений риса нанокомпозитами, содержащими ЗНЧ, снижала токсический эффект ионов Cd, препятствуя их абсорбции клетками корней и нивелируя риски развития окислительного стресса [16, 17]. В условиях засоления ЗНЧ, нанесенные на листья пшеницы, поддерживали ионный баланс, модулировали образование NO как сигнальной молекулы и регулятора многих процессов в организме, повышали активность антиоксидантных ферментов [18]. Исследования в отношении влияния ЗНЧ на устойчивость растений к низким температурам фрагментарны, однако перспективы дальнейшего использования ЗНЧ в этом направлении вполне очевидны.
Цель работы – изучить влияние ЗНЧ на холодоустойчивость яровой пшеницы и ряд физиолого-биохимических и молекулярно-генетических показателей, свидетельствующих о ее формировании, таких как интенсивность ростовых процессов, активность фотосинтетического аппарата (ФСА), интенсивность темного дыхания, содержание в листьях растворимых сахаров и уровень экспрессии некоторых фотосинтетических и COR генов.
МАТЕРИАЛЫ И МЕТОДЫ
Схема эксперимента. Экспериментальная работа проводилась по следующей схеме (рис. 1). В качестве способа обработки растений растворами ЗНЧ мы выбрали нанопрайминг (замачивание семян) в течение 24 ч. Нанопрайминг считается простой, эффективной, рентабельной и экологически безопасной стратегией работы с НЧ [2]. Основываясь на литературных данных о том, что ЗНЧ в концентрациях до 50 мкг/мл чаще всего оказывают стимулирующий эффект на растительный организм [5, 14], мы использовали растворы с концентрациями ЗНЧ от 5 до 50 мкг/мл. После процедуры нанопрайминга семена проращивали в контролируемых условиях до достижения проростками возраста 10 сут. Затем часть растений из каждой группы отбирали и закаливали при температуре 4°С в течение 7 сут. Холодоустойчивость незакаленных и закаленных растений оценивали методом прямого промораживания. Основные физиолого-биохимические и молекулярно-генетические механизмы влияния ЗНЧ на растения пшеницы изучали, используя вариант с концентрацией ЗНЧ, показавший максимальный стимулирующий эффект на устойчивость к промораживанию.
Рис. 1. Схема эксперимента. ЗНЧ – золотые наночастицы.
Синтез ЗНЧ. Золотые наносферы получены цитратным методом [4] в реакции восстановления золотохлористоводородной кислоты (Sigma-Aldrich, США) цитратом натрия (Fluka, Швейцария). Восстановление проводили путем нагревания 250 мл 0.01% водного раствора золотохлористоводородной кислоты в колбе Эрленмейера на магнитной мешалке с обратным водяным холодильником до 100°С и последующего добавления 7.75 мл 1% водного раствора цитрата натрия. Кипячение продолжали в течение 30 мин до образования золя красного цвета. Свежеприготовленные растворы разливали в стерильные стеклянные флаконы с плотно закрывающимися крышками и хранили при температуре 4°С.
Полученные ЗНЧ были охарактеризованы методами трансмиссионной электронной микроскопии, спектрофотометрии и динамического светорассеяния [19]. По данным измерений, средний диаметр ЗНЧ составил 15.3 нм, число НЧ в 1 мл – 1.6 × 1012. Максимальная концентрация золота в растворе составила 57 мкг/мл. В опытах использовали растворы с концентрациями ЗНЧ 5, 10, 20 и 50 мкг/мл, полученные путем разбавления исходного раствора дистиллированной водой непосредственно перед применением. В качестве контрольного варианта использовали растения, выращенные из семян, обработанных дистиллированной водой (концентрация ЗНЧ 0 мкг/мл).
Растительный материал и условия выращивания. Прайминг семян яровой пшеницы (Triticum aestivum L.) сорта Злата (Федеральный исследовательский центр “Немчиновка”, Россия) проводили в растворах ЗНЧ в течение 24 ч. Далее семена (400 шт./вариант) проращивали на дистиллированной воде при 22°С, относительной влажности воздуха 60–70%, освещенности 100 мкмоль/(м2 с) и 16-часовом фотопериоде.
Низкотемпературное закаливание растений. Через 10 сут. половину растений из каждого варианта закаливали в климатической камере KBW-240 (Binder, Германия) при температуре 4°С в течение 7 сут, сохраняя прочие условия неизменными.
Устойчивость к низким температурам. Устойчивость закаленных и незакаленных растений пшеницы к низкой температуре оценивали методом прямого промораживания. Из каждого варианта опыта брали по 30 растений и последовательно промораживали их в бумажных конвертах при температурах –3 и –5°С в течение 24 ч в климатической камере MIR-153 (Sanyo, Япония). Затем растения в течение 24 ч выдерживали при температуре 4°С в темноте, после чего переносили в обычные условия (22°С, дневной свет) на 72 ч. Об устойчивости к низким температурам судили по количеству неповрежденных проростков в процентах от общего числа промороженных растений.
Содержание золота. Определение содержания золота в семенах, корнях и листьях 10-дневных проростков пшеницы проводили на атомно-эмиссионном спектрометре с индуктивно-связанной плазмой Agilent (Agilent Technologies, США) и масс-спектрометре с индуктивно-связанной плазмой Bruker 820-MS ICP-MS (Bruker, Германия).
Ростовые параметры. Длину первого листа у проростков измеряли на 10 и 17 сутки выращивания, т.е. до и после низкотемпературного закаливания.
Интенсивность СО2 газообмена. Скорость видимой ассимиляции СО2 и темного дыхания у растений пшеницы определяли при 22 и 4°С, используя установку открытого типа с инфракрасным газоанализатором URAS 2T (Hartmann & Braun, Германия), и выражали в мг СО2/г сухой массы в ч.
Содержание фотосинтетических пигментов. Концентрацию хлорофилла a (Хл a), хлорофилла b (Хл b) и каротиноидов (Кар) в листьях определяли с помощью спектрофотометра Genesys 10 UV (Termo Electron Corporation, США) при длинах волн, соответствующих максимумам поглощения пигментов в 80% растворе ацетона – 663, 646 и 470 нм соответственно [20]. Содержание пигментов выражали в мг/г сухой массы листьев.
Долю хлорофиллов в светособирающем комплексе (ССК) рассчитывали по формуле: ССК (%) = (Хл b + 1.2 × Хл b)/(Хл а + Хл b) × 100, исходя из того, что весь Хл b находится в ССК, а соотношение Хл а/Хл b в нем равно 1.2.
Содержание сухого вещества в листьях. Интенсивность накопления сухой биомассы листьев высчитывали в процентах от сырого веса после высушивания образцов в термостате при температуре 100–105°С до постоянного веса.
Содержание растворимых сахаров. Для оценки содержания глюкозы в листьях использовали набор Глюкоза-Ольвекс (ООО “Ольвекс диагностикум”, Россия). Содержание сахарозы и фруктозы в листьях определяли методом Рое [21]. Содержание сахаров выражали в мг/г сухой массы листьев.
Выделение РНК и проведение ПЦР-РВ (qRT-PCR). Тотальную РНК выделяли из навески листьев (50 мг), используя набор Spectrum Plant Total RNA Kit (Sigma-Aldrich, США) с модификацией стадии гомогенизации. Качество и количество очищенной РНК определяли на спектрофотометре NanoDrop 2000 (Thermo Fisher Scientific, США) и анализировали электрофоретически в 2% агарозном геле. Для удаления остаточных примесей геномной ДНК препараты тотальной РНК обрабатывали ДНКазой I (Thermo Fisher Scientific, США). Для синтеза кДНК использовали наборы для обратной транскрипции RevertAid (Thermo Fisher Scientific, США), в том числе с входящими в состав праймерами оligo (dT) 21 для генов ядерного кодирования и random 6 для генов хлоропластного кодирования [22].
ПЦР-РВ (RT-qPCR) проводили на амплификаторе CFX96 Touch (Bio-Rad, США), используя интеркалирующий краситель SYBR Green I (ЗАО “Евроген”, Россия). Реакционная смесь для количественной ПЦР в объеме 25 мкл содержала 5 мкл qPCRmix HS SYBR (ЗАО “Евроген”, Россия), 0.2 мкмоль каждого праймера и 15 нг матрицы кДНК. Использовали следующие условия амплификации: 95°C – 5 мин, далее 40 циклов: 95°C – 15 с, 60°C – 30 с и 72°C– 30 с.
Для амплификации целевых (Wcor726, Wcor15) и референсного (TaRP15) генов были подобраны праймеры с использованием онлайн-ресурсов Primer-BLAST (https://www.ncbi.nlm.nih.gov/tools/primer-blast/) и OligoAnalyzer™ Tool (https://eu.idtdna.com/pages/tools/oligoanalyzer). Нуклеотидные последовательности праймеров для амплификации целевых генов малой (rbcS) и большой (rbcL) субъединиц РБФК/О и референсного гена TaAct7 (актин) были заимствованы из публикаций [23, 24]. Используемые праймеры представлены в таблице S1 (Дополнительные материалы).
Уровни экспрессии мРНК генов-мишеней нормализовали по отношению к гену TaAct7 и TaRP15 (RNA polymerase I, II, III; 15 кД). Результаты амплификации обрабатывали методом Pfaffl [25].
Статистический анализ. Все эксперименты проводили в 3–6 биологических и 3–4 аналитических повторностях. В таблицах и на графиках представлены среднеарифметические значения и их стандартные ошибки. Статистическую значимость различий между средними значениями оценивали с помощью ANOVA (применяли критерий Тьюки), встроенного в графический математический пакет Microcal Origin. В статье обсуждаются только величины, статистически значимые при P < 0.05.
РЕЗУЛЬТАТЫ
Влияние ЗНЧ на холодоустойчивость
На первом этапе исследования была проведена оценка влияния различных концентраций ЗНЧ (5–50 мкг/мл) на холодоустойчивость к низкой температуре незакаленных и закаленных (4°С, 7 сут) проростков пшеницы. Для этого применили метод прямого промораживания, основанный на определении выживаемости растений после тестирующего действия низких температур (–3 и –5°С) в течение 24 ч.
Установлено, что нанопрайминг семян увеличивал холодоустойчивость как незакаленных, так и закаленных проростков пшеницы (табл. 1). У незакаленных растений ЗНЧ в концентрациях 5 и 10 мкг/мл вызывали 2–3-кратное увеличение холодоустойчивости после промораживания при температуре –3°С. При этом максимальный положительный эффект на холодоустойчивость отмечен при использовании ЗНЧ в концентрации 10 мкг/мл (рис. 2а, б). Cнижение температуры промораживания до –5°С вызывало гибель незакаленных растений независимо от варианта опыта.
Таблица 1. Влияние золотых наночастиц (ЗНЧ) на холодоустойчивость незакаленных и закаленных (4°С, 7 сут.) проростков пшеницы после промораживания, %
Концентрация ЗНЧ (мкг/мл) | Температура промораживания | |
–3°С | –5°С | |
Незакаленные проростки | ||
0 | 15 ± 3 | 0 |
5 | 30 ± 5* | 0 |
10 | 50 ± 5* | 0 |
20 | 10 ± 3 | 0 |
50 | 10 ± 3 | 0 |
Закаленные проростки | ||
0 | 60 ± 3 | 7 ± 3 |
5 | 90 ± 3* | 50 ± 3* |
10 | 97 ± 3* | 67 ± 3* |
20 | 90 ± 3* | 50 ± 3* |
50 | 90 ± 3* | 50 ± 3* |
Примечание. Устойчивость пшеницы к низкой температуре определяли по выживаемости (%) после промораживания при температуре –3 и –5°С в течение 24 ч. * – статистически значимые при P < 0.05 отличия обработанных ЗНЧ растений от варианта 0 (необработанные растения).
Рис. 2. Незакаленные проростки пшеницы после промораживания при температуре –3°С в течение 24 ч: а – контроль, б – проростки, обработанные ЗНЧ в концентрации 10 мкг/мл.
Низкотемпературное закаливание приводило к увеличению холодоустойчивости пшеницы. Так, если выживаемость незакаленных растений после промораживания при температуре –3°С составляла 15%, то после закаливания она увеличивалась в 4 раза (табл. 1). При этом обработка ЗНЧ во всех использованных концентрациях вызывала у растений дополнительный (на 30–40%) прирост холодоустойчивости. Важно отметить, что в отличие от незакаленных растений, у проростков пшеницы, подвергнутых низкотемпературному закаливанию, эффект ЗНЧ сохранялся при снижении температуры до –5°С и был максимальным для концентрации ЗНЧ 10 мкг/мл (рис. 3а, б).
Рис. 3. Закаленные (4°С, 7 сут.) проростки пшеницы после промораживания при –5°С в течение 24 ч: а – контроль, б – проростки, обработанные ЗНЧ в концентрации 10 мкг/мл.
Поскольку концентрация ЗНЧ 10 мкг/мл оказывала максимальный эффект на холодоустойчивость как незакаленных, так и закаленных растений пшеницы, именно эта концентрация была отобрана для дальнейшего изучения физиолого-биохимических и молекулярно-генетических показателей, важных для формирования повышенной устойчивости растений к низкой температуре.
Содержание золота
Следующим этапом исследования было определение содержания золота в семенах (после нанопрайминга), а также в корнях и листьях 10-дневных растений пшеницы, выращенных из семян, обработанных ЗНЧ (10 мкг/мл). Данные о содержании золота в семенах и органах растений представлены в таблице 2. Установлено, что наибольшее количество золота содержали семена; более того, оно было обнаружено в корнях и даже (в следовых количествах) в листьях растений, выращенных из обработанных ЗНЧ семян (табл. 2).
Таблица 2. Содержание золота в семенах, корнях и листьях пшеницы после нанопрайминга золотыми наночастицами
Объект | Золото, мг/кг сухой массы |
Семена | 3.9 ± 0.2 |
Корни | 1.6 ± 0.1 |
Листья | 0.28 ± 0.01 |
Влияние ЗНЧ на ростовые параметры
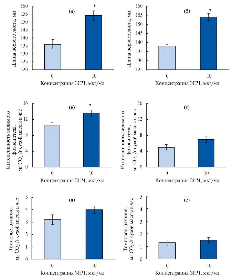
Одним из важнейших интегральных показателей, отражающих состояние растительного организма в условиях длительного действия низкой температуры, является рост. Проведенные опыты показали, что в варианте с обработкой ЗНЧ (10 мкг/мл) наблюдалось увеличение длины первого листа у незакаленных проростков пшеницы (рис. 4а). В условиях низкотемпературного закаливания рост листьев практически полностью прекращался, причем как у проростков, выращенных из необработанных семян, так и у тех, семена которых были обработаны ЗНЧ (рис. 4б).
Рис. 4. Влияние золотых наночастиц (ЗНЧ) на ростовые параметры (а, б), интенсивность видимого фотосинтеза (в, г) и темнового дыхания (д, е) пшеницы до (а, в, д) и после (б, г, е) низкотемпературного закаливания (4°С, 7 сут). * – Статистически значимые при P < 0.05 отличия обработанных ЗНЧ растений от варианта 0 (необработанные растения).
Влияние ЗНЧ на интенсивность CO2 газообмена
Важным этапом исследования было определение эффектов ЗНЧ на интенсивность CO2-газообмена у пшеницы. Установлено, что обработка ЗНЧ существенно увеличивала интенсивность видимой ассимиляции CO2 незакаленных проростков (рис. 4в). В условиях низкотемпературного закаливания интенсивность видимой ассимиляции CO2 снижалась почти в 2 раза, но достоверных различий по этому показателю между контрольными и обработанными ЗНЧ растениями не обнаружено (рис. 4г). Следует отметить, что в варианте с обработкой ЗНЧ в условиях закаливания интенсивность видимой ассимиляции CO2 была немного выше, чем в контрольном варианте. Достоверных эффектов ЗНЧ на интенсивность темнового дыхания не обнаружено, но она снижалось в период закаливания в обоих вариантах опыта (у обработанных и необработанных ЗНЧ проростков) почти в 3 раза (рис. 4д, е).
Влияние ЗНЧ на содержание фотосинтетических пигментов
Под влиянием ЗНЧ в контрольных условиях существенно увеличивалось содержание хлорофиллов в листьях пшеницы (табл. 3), при этом содержание каротиноидов и доля хлорофиллов в ССК не изменялись. У закаленных проростков пшеницы содержание хлорофиллов было меньше, при этом достоверных изменений между вариантами в содержании фотосинтетических пигментов не обнаружено (табл. 3).
Таблица 3. Влияние золотых наночастиц (ЗНЧ) на содержание фотосинтетических пигментов в листьях пшеницы до и после низкотемпературного закаливания (4°С, 7 сут)
Показатели | Концентрация ЗНЧ (мкг/мл) | |
0 | 10 | |
Незакаленные проростки | ||
Хл a + b, мг/г сухой массы | 14.6 ± 0.1 | 15.7 ± 0.2* |
Каротиноиды, мг/г сухой массы | 2.2 ± 0.1 | 2.5 ± 0.1 |
Хлорофилл в ССК, % | 53 ± 1 | 50 ± 1 |
Закаленные проростки | ||
Хл a + b, мг/г сухой массы | 11.2 ± 0.3 | 11.3 ± 0.3 |
Каротиноиды, мг/г сухой массы | 2.2 ± 0.1 | 2.1 ± 0.1 |
Хлорофилл в ССК, % | 48 ± 1 | 47 ± 1 |
Примечание. * – Статистически значимые при P < 0.05 отличия обработанных ЗНЧ растений от варианта 0 (необработанные растения).
Влияние ЗНЧ на накопление сухого вещества и сахаров
Исследования показали, что нанопрайминг семян ЗНЧ не влиял на накопление сухой биомассы побегов пшеницы (табл. 4). Кроме того, в их листьях содержание моносахаров (глюкоза, фруктоза) было ниже, а накопление сахарозы – выше, чем в контрольном (без нанопрайминга) варианте (табл. 4). По суммарному содержанию этих сахаров обработанные ЗНЧ растения не отличались от контрольных.
Таблица 4. Влияние золотых наночастиц (ЗНЧ) на сухую биомассу побегов и содержание сахаров в листьях пшеницы до и после низкотемпературного закаливания (4°С, 7 сут.)
Показатели | Концентрация ЗНЧ (мкг/мл) | |
0 | 10 | |
Незакаленные проростки | ||
Сухой вес побегов | 13.2 ± 0.2 | 13.3 ± 0.2 |
Глюкоза (мг/г сухой массы) | 49.9 ± 1.2 | 38.9 ± 1.5* |
Фруктоза (мг/г сухой массы) | 5.2 ± 0.5 | 3.8 ± 0.6* |
Сахароза (мг/г сухой массы) | 4.4 ± 0.2 | 7.6 ± 0.2* |
Закаленные проростки | ||
Сухой вес побегов | 17.8 ± 0.3 | 19.1 ± 0.4* |
Глюкоза (мг/г сухой массы) | 37.1 ± 1.2 | 33.3 ± 1.3 |
Фруктоза (мг/г сухой массы) | 8.0 ± 0.5 | 10.9 ± 0.6* |
Сахароза (мг/г сухой массы) | 14.1 ± 0.2 | 24.5 ± 0.2* |
Примечание. * – Статистически значимые при P < 0.05 отличия обработанных ЗНЧ растений от варианта 0 (необработанные растения).
После низкотемпературного закаливания содержание сухого вещества в листьях пшеницы возрастало на треть, а обработка ЗНЧ дополнительно стимулировала этот процесс (табл. 4). При этом под влиянием ЗНЧ наблюдали усиленное накопление закаленными растениями фруктозы и сахарозы.
Влияние ЗНЧ на уровень экспрессии генов ФСА
Мы проанализировали влияние ЗНЧ на уровень экспрессии генов ФСА – rbcS и rbcL, кодирующих, соответственно, малую и большую субъединицы РБФК/О. Установлено, что у растений, обработанных ЗНЧ, был увеличен уровень экспрессии rbcS и rbcL (по сравнению с растениями, необработанными ЗНЧ) в контрольных условиях (рис. 5а, б). Достоверных эффектов ЗНЧ на уровень экспрессии этих генов в условиях низкотемпературного закаливания не обнаружено (рис. 5в, г).
Рис. 5. Влияние золотых наночастиц (ЗНЧ) на экспрессию генов rbcS и rbcL в листьях пшеницы до (а, в) и после (б, г) низкотемпературного закаливания (4°С, 7 сут.). * – Статистически значимые при P < 0.05 отличия обработанных ЗНЧ растений от варианта 0 (необработанные растения).
Влияние ЗНЧ на уровень экспрессии COR генов
Нами проведена оценка влияния ЗНЧ на уровень экспрессии COR генов – Wcor726 и Wcor15, кодирующих защитные белки, играющие важную роль в формировании повышенной холодоустойчивости. Показано, что в листьях незакаленных растений уровень экспрессии гена Wcor15 под влиянием ЗНЧ повышался в 8 раз (рис. 6в), тогда как уровень экспрессия гена Wcor726 не изменялся (рис. 6а). В условиях низкотемпературного закаливания обработка ЗНЧ не влияла на уровень экспрессии изученных генов (рис. 6б, г).
Рис. 6. Влияние золотых наночастиц (ЗНЧ) на экспрессию Wcor726 и Wcor15 генов в листьях пшеницы до (а, в) и после (б, г) низкотемпературного закаливания (4°С, 7 сут.). * – Статистически значимые при P < 0.05 отличия обработанных ЗНЧ растений от варианта 0 (необработанные растения).
ОБСУЖДЕНИЕ
Изучение механизмов стрессоустойчивости важных сельскохозяйственных культур, как и поиск инновационных подходов к проблеме ее повышения, относятся к наиболее актуальным проблемам современной биологии. Яровая пшеница – холодостойкая культура, способная выдерживать непродолжительное действие отрицательных околонулевых температур. Более того, в процессе низкотемпературного закаливания многие сорта пшеницы могут развивать комплекс адаптивных реакций и механизмов, позволяющих им переносить более низкие отрицательные температуры. Поэтому при изучении эффектов ЗНЧ на холодоустойчивость пшеницы важно рассматривать их влияние как в контрольных условиях (на незакаленных растениях), так и после низкотемпературного закаливания. Более того, большое значение имеют такие факторы как способ внесения НЧ в растительный организм и используемая концентрация НЧ.
Известно, что НЧ могут поступать в растения через корни, листья или семена. Предполагают, что в корневую систему НЧ попадают вместе с поглощаемой водой через боковые корни и корневые волоски. Основным способом проникновения НЧ в листья считают устьица [2]. Видимо, благодаря своей амфифильности, НЧ “просачиваются” через липофильный кутикулярный слой или разрушают восковый слой кутикулы и проникают в лист. Оказавшись внутри растения, НЧ могут перемещаться по ксилеме и флоэме, а также накапливаться в клетках [2]. В наших опытах был использован метод нанопрайминга – семена пшеницы замачивали в растворах ЗНЧ различных концентраций. Этот способ обработки НЧ широко применяется в экспериментах с растениями и считается наиболее рентабельным и безопасным [26]. При нанопрайминге НЧ проникают внутрь семян пассивно с молекулами воды и через разрушенные участки семенной оболочки. Механизм дальнейшей “работы” НЧ в растительном организме не совсем ясен. В ряде исследований установлено, что ЗНЧ не просто адсорбируются в семенных оболочках, но и перемещаются в проростки и распространяются по тканям, проникая в клетки. Например, методами флуоресцентной микроскопии и оптической эмиссионной спектроскопии показано, что ЗНЧ содержались не только в семенах, но и в листьях проростков, выращенных из семян, обработанных ЗНЧ [10, 27]. В наших опытах методами атомно-эмиссионной и масс-спектроскопии золото также было обнаружено не только в семенах, но и в корнях, а также (в следовых количествах) в листьях растений пшеницы, выращенных из обработанных ЗНЧ семян (табл. 2). Важно отметить, что эти растения не только отличались от контрольных (необработанных) по ряду физиолого-биохимических и молекулярно-генетических показателей, но и развивали повышенную устойчивость к низким температурам (табл. 2). В результате проведенных нами концентрационных тестов с применением ЗНЧ установлено, что максимальный эффект на холодоустойчивость растений достигался при использовании очень низкой концентрации – 10 мкг/мл. Поэтому в последующих экспериментах по изучению механизмов стресспротекторного влияния ЗНЧ на растения пшеницы была использована именно эта концентрация.
Наши исследования показали, что растения пшеницы, выращенные в оптимальных условиях из семян, обработанных ЗНЧ, отличались от контрольных повышенной интенсивностью роста и активностью ФСА, более высоким содержанием хлорофиллов в листьях, а также повышенным уровнем экспрессии генов, кодирующих большую и малую субъединицы РБФК/О (рис. 4, 5; табл. 3). Схожие результаты по стимулирующему влиянию низких концентраций ЗНЧ на рост растений были получены на кукурузе, резуховидке и горчице [6–8, 10]. Стимулирующее действие НЧ на ростовые процессы связывают с их способностью улучшать поглощение воды и питательных элементов, предположительно, за счет активации генов, регулирующих работу аквапоринов, и генов, ответственных за клеточный цикл [28]. Показано, что под влиянием ЗНЧ изменялся химический состав клеточной стенки в корнях ячменя, в частности, увеличивалось количество белков-галактанов, вследствие чего возрастала жесткость клеточной стенки, а следовательно, стрессоустойчивость растений [14, 15]. Кроме того, ЗНЧ влияли на гены DGR1 и DGR2, кодирующие белки клеточной стенки, участвующие в удлинении корней [14]. Показано влияние ЗНЧ на дифференцировку клеток через микроРНК – малые некодирующие РНК, контролирующие, в том числе, рост растения и его стрессовый ответ [7].
В ряде исследований отмечено увеличение интенсивности фотосинтеза и содержания хлорофиллов под влиянием ЗНЧ [6, 10, 11]. Установлено, что другие НЧ также изменяют интенсивность синтеза фотосинтетических пигментов и активность ФСА посредством регуляции экспрессии генов, задействованных в его работе. Например, НЧ оксида цинка повышали экспрессию генов, кодирующих структурные единицы фотосистем (PSAD2, PSAE2, PSAK) и генов синтеза фотосинтетических пигментов (CAO, CHLG, GGPS6, PSY, PDS, ZDS) [29]. НЧ оксида кремния усиливали экспрессию генов PsbH, PsbB и PsbD, кодирующих белки сборки ФС II [23]. НЧ оксида титана усиливали экспрессию генов, участвующих в синтезе РБФК/О [30].
Наши исследования показали, что в условиях низкотемпературного закаливания ЗНЧ вызывали дополнительный прирост холодоустойчивости проростков пшеницы (табл. 1). Однако эффекты ЗНЧ на ростовые процессы и активность ФСА практически полностью нивелировались действием низкой закаливающей температуры. При этом процесс повышения холодоустойчивости сопровождался существенным (более чем на 70%) увеличением содержания сахарозы (табл. 4). Известно, что накопление растворимых сахаров – важнейшая неспецифическая реакция растений на многие абиотические стрессоры, необходимая для их выживания, в том числе в условиях длительного действия низкой температуры [31]. С одной стороны, сахара выполняют функции осмолитиков и криопротекторов, защищая растения от обезвоживания, а с другой, стабилизируют мембраны и действуют как антиоксиданты [32]. Кроме того, сахара являются резервными веществами, и их накопление необходимо для энергоемкого процесса низкотемпературной адаптации [33].
Мы изучили влияние ЗНЧ на экспрессию двух важных COR генов – Wcor726 и Wcor15. Известно, что ген Wcor726 относится к семейству Wcs120, специфичному для пшеницы [34, 35]. Гены семейства Wcs120 регулируются низкой температурой и кодируют синтез белков WCS (wheat cold stress), накопление которых коррелирует со способностью растений повышать холодоустойчивость [34]. Белки, кодируемые Wcor726, относятся к дегидринам, объединенным во II группу или семейство D 11 большого класса LEA (Late Embryogenesis Abundant) белков, участвующих в защите растений от обезвоживания при действии различных стрессовых факторов [36]. Белки, кодируемые Wcor15, относятся к III группе белков LEA, транспортируются в хлоропласты [37, 38] и содержат CRT/DRE cis-регуляторные элементы, сходные с Wcs120 [39]. Имеются данные, что белок WCOR15 – продукт гена Wcor15 – локализуется в хлоропластах и снижает риски фотоингибирования ФС II [40]. Как установлено в наших опытах, у незакаленных проростков пшеницы, выращенных из семян, обработанных ЗНЧ, уровень экспрессии Wcor15 увеличивался в 8 раз (рис. 6).
Проведенные эксперименты показали, что эффекты ЗНЧ на растения пшеницы зависели от температурных условий опыта. В оптимальных температурных условиях нанопрайминг семян приводил к стимуляции ростовых процессов у проростков, повышению активности ФСА (за счет усиления экспрессии генов РБФК/О rbcS и rbcL и увеличения содержания хлорофиллов) и уровня экспрессии COR гена Wcor15. В условиях низкотемпературного закаливания ЗНЧ способствовали дополнительному накоплению в листьях растворимых сахаров и, как следствие, существенному повышению холодоустойчивости растений пшеницы. Следовательно, ЗНЧ способны “перепрограммировать” растительный организм, изменяя метаболизм растений и экспрессию генов стрессового ответа, что приводит к существенному увеличению стрессоустойчивости растений. Для детального понимания механизмов действия ЗНЧ на растения необходимы дальнейшие исследования, однако уже сейчас можно утверждать, что ЗНЧ могут быть использованы в биологии и сельском хозяйстве как адаптогены, усиливающие стрессоустойчивость.
Авторы выражают благодарность Дыкману Льву Абрамовичу – д.б.н., ведущему научному сотруднику Института биохимии и физиологии растений и микроорганизмов – обособленного структурного подразделения Федерального государственного бюджетного учреждения науки Федерального исследовательского центра “Саратовский научный центр Российской академии наук” – за помощь в синтезе и анализе золотых наносфер, использованных в данном исследовании.
Исследование выполнено за счет гранта Российского научного фонда № 23-26-00054 (https://rscf.ru/project/23-26-00054/).
Настоящая статья не содержит каких-либо исследований с участием людей и животных в качестве объектов. Авторы заявляют об отсутствии конфликта интересов.
1 Дополнительные материалы размещены в электронном виде по DOI статьи: 10.31857/S0015330324030081
About the authors
Ю. В. Венжик
Федеральное государственное бюджетное учреждение науки Институт физиологии растений им. К.А. Тимирязева Российской академии наук
Author for correspondence.
Email: jul.venzhik@gmail.com
Russian Federation, Москва
А. Н. Дерябин
Федеральное государственное бюджетное учреждение науки Институт физиологии растений им. К.А. Тимирязева Российской академии наук
Email: jul.venzhik@gmail.com
Russian Federation, Москва
К. В. Жукова
Федеральное государственное бюджетное учреждение науки Институт физиологии растений им. К.А. Тимирязева Российской академии наук
Email: jul.venzhik@gmail.com
Russian Federation, Москва
А. О. Соколов
Федеральное государственное бюджетное учреждение науки Институт физиологии растений им. К.А. Тимирязева Российской академии наук
Email: jul.venzhik@gmail.com
Russian Federation, Москва
В. Н. Попов
Федеральное государственное бюджетное учреждение науки Институт физиологии растений им. К.А. Тимирязева Российской академии наук
Email: jul.venzhik@gmail.com
Russian Federation, Москва
И. Е. Мошков
Федеральное государственное бюджетное учреждение науки Институт физиологии растений им. К.А. Тимирязева Российской академии наук
Email: jul.venzhik@gmail.com
Russian Federation, Москва
References
- Azameti M.K., Imoro A.-W.M. Nanotechnology: a promising field in enhancing abiotic stress tolerance in plants // Crop Design. 2023. V. 2. Art. 100037. https://doi.org/10.1016/j.cropd.2023.100037
- Zhao L., Bai T., Wei H., Gardea-Torresdey J.L., Keller A., White J.C. Nanobiotechnology – based strategies for enhanced crop stress resilience // Nature Food. 2022. V. 3. P. 829. https://doi.org/10.1038/s43016-022-00596-7
- Alaqad K., Saleh T.A. Gold and silver nanoparticles: synthesis methods, characterization routes and applications towards drugs // J. Environ. Anal. Toxicol. 2016. V. 6. P. 384. https://doi.org/10.4172/2161-0525.1000384
- Dykman L.A., Khlebtsov N.G. Methods for chemical synthesis of colloidal gold // Russ. Chem. Rev. 2019. V. 88. P. 229.
- Ramalingam V. Multifunctionality of gold nanoparticles: plausible and convincing properties // Adv. Colloid Interface Sci. 2019. V. 271. Art.101989. https://doi.org/10.1016/j.cis.2019.101989
- Arora S., Sharma P., Kumar S., Nayan R., Khanna P.K., Zaidi M.G.H. Gold-nanoparticle induced enhancement in growth and seed yield of Brassica juncea // Plant Growth Reg. 2012. V. 66. P. 303. https://doi.org/10.1007/s10725-011-9649-z
- Kumar V., Guleria P., Kumar V., Yadav S.K. Gold nanoparticle exposure induces growth and yield enhancement in Arabidopsis thaliana // Sci. Total Environ. 2013. V. 461. P. 462. https://doi.org/10.1016/j.scitotenv.2013.05.018
- Gunjan B., Zaidi M.G.H., Sandeep A. Impact of gold nanoparticles on physiological and biochemical characteristics of Brassica juncea // J. Plant Biochem. Physiol. 2014. V. 2. P. 3. https://doi.org/10.4172/2329-9029.1000133
- Wan Y., Li J., Ren H., Huang J., Yuan H. Physiological investigation of gold nanorods toward watermelon // J. Nanosci. Nanotechnol. 2014. V. 14. P. 6089. https://doi.org/10.1166/jnn.2014.8853
- Mahakham W., Theerakulpisut P., Maensiri S., Phumying S., Sarmah A.K. Environmentally benign synthesis of phytochemicals-capped gold nanoparticles as nanopriming agent for promoting maize seed germination // Sci. Total Environ. 2016. V. 573. P. 1089. https://doi.org/10.1016/j.scitotenv.2016.08.120
- Das S., Debnath N., Pradhan S., Goswami A. Enhancement of photon absorption in the light-harvesting complex of isolated chloroplast in the presence of plasmonic gold nanosol – a nanobionic approach towards photosynthesis and plant primary growth augmentation // Gold Bull. 2017. V. 50. P. 247. https://doi.org/10.1007/s13404-017-0214-z
- Avellan A., Yun J., Zhang Y., Spielman-Sun E., Unrine J.M., Thieme J., Li J., Lombi E., Bland G., Lowry G.V. Nanoparticle size and coating chemistry control foliar uptake pathways, translocation and leaf-to-rhizosphere transport in wheat // ACS Nano. 2019. V. 13. P. 5291. https://doi.org/10.1021/acsnano.8b09781
- Alhammad B.A., Abdel-Aziz H.M.M., Seleiman M.F., Tourky S.M.N. How can biological and chemical silver nanoparticles positively impact physio-chemical and chloroplast ultrastructural characteristics of Vicia faba seedlings? // Plants. 2023. V. 12. P. 2509. https://doi.org/10.3390/plants12132509
- Ferrari E., Barbero F., Busquets-Fité M., Franz-Wachtel M., Köhler H-R., Puntes V., Kemmerling B. Growth-promoting gold nanoparticles decrease stress responses in Arabidopsis seedlings // Nanomaterials. 2021. V. 11. P. 3161. https://doi.org/10.3390/nano11123161
- Milewska-Hendel A., Witek W., Rypien A., Zubko M., Baranski R., Storoz D., Kurczynska E.U. The development of a hairless phenotype in barley roots treated with gold nanoparticles is accompanied by changes in the symplasmic communication // Sci. Rep. 2019. V. 9. P. 4724. https://doi.org/10.1038/s41598-019-41164-7
- Dai Sh., Wang B., Song Y., Xie Zh., Li Ch., Li Sh., Huang Y., Jiang M. Astaxanthin and its gold nanoparticles mitigate cadmium toxicity in rice by inhibiting cadmium translocation and uptake // Sci. Total Environ. 2021. V. 786. P. 147496. https://doi.org/10.1016/j.scitotenv.2021.147496
- Jiang M., Dai Sh., Wang B., Xie Zh., Li J., Wang L., Li Sh., Tan Yu., Tian B., Shu Q., Huang О. Gold nanoparticles synthesized using melatonin suppress cadmium uptake and alleviate its toxicity in rice // Environ. Sci. Nano. 2021. V. 8. P. 1042. https://doi.org/10.1039/D0EN01172J
- Wahid I., Rani P., Kumari S., Ahmad R., Hussain S.J., Alamri S., Tripathy N., Khan M.I.R. Biosynthesized gold nanoparticles maintained nitrogen metabolism, nitric oxide synthesis, ions balance, and stabilizes the defense systems to improve salt stress tolerance in wheat // Chemosphere. 2022. V. 287:132142. https://doi.org/10.1016/j.chemosphere.2021.132142
- Dykman L.A., Khlebtsov N.G. Gold nanoparticles in biomedical applications: recent advances and perspectives // Chem. Soc. Rev. 2012. V. 41. P. 2256. https://doi.org/10.1039/c1cs15166e
- Wellburn A.R. The spectral determination of chlorophyll a and b, as well as total carotenoids, using various solvents with spectrophotometers of different resolution // J. Plant Physiol. 1994. V. 144. P. 307. https://doi.org/10.1016/S0176-1617(11)81192-2
- Nakamura M. Determination of fructose in the presence of a large excess of glucose. Part IV. A modified resorcinol-thiourea-hydrochloric acid reaction // Agric. Biol. Chem. 1967. V. 32. P. 696. https://doi.org/10.1271/bbb1961.32.696
- Pashkovskiy P., Kreslavski V.D., Ivanov Y., Ivanova A., Kartashov A., Shmarev A., Strokina V., Kuznetsov V.V., Allakhverdiev S.I. Influence of light of different spectral compositions on the growth, photosynthesis, and expression of light-dependent genes of scots pine seedlings // Cells. 2021. V. 10. P. 3284. https://doi.org/10.3390/cells10123284
- Hassan H., Alatawi A., Abdulmajeed A., Emam M., Khattab H. Roles of Si and SiNPs in improving thermotolerance of wheat photosynthetic machinery via upregulation of PsbH, PsbB and PsbD genes encoding PSII core proteins // Horticulturae. 2021. V. 7. P. 16. https://doi.org/10.3390/horticulturae7020016
- Perdomo J.A., Buchner P., Carmo-Silva E. The relative abundance of wheat Rubisco activase isoforms is post-transcriptionally regulated // Photosynth. Res. 2021. V. 148. P. 47. 10.1007/s11120-021-00830-6' target='_blank'>https://doi: 10.1007/s11120-021-00830-6
- Pfaffl M.W. A new mathematical model for relative quantification in real-time RT–PCR // Nucleic Acids Res. 2001. V. 29. Art. e45. 10.1093/nar/29.9.e45' target='_blank'>https://doi: 10.1093/nar/29.9.e45
- Rhaman M.S., Tania S.S., Imran S., Rauf F., Kibria M.G., Ye W., Hasanuzzaman M., Murata Y. Seed priming with nanoparticles: an emerging technique for improving plant growth, development, and abiotic stress // J. Soil Sci. Plant Nutr. 2022. V. 22. P. 4047. https://doi.org/10.1007/s42729-022-01007-3
- Joshi A., Nayyar A., Dharamvir K., Verma G. Detection of gold nanoparticles signal inside wheat (Triticum aestivum L.) and oats (Avena sativa) seedlings // AIP Conf. Proc. 2018. V. 1953. Art. 030058. https://doi.org/10.1063/1.5032393
- Lahiani M.H., Dervishi E., Chen J., Nima Z., Gaume A., Biris A.S., Khodakovskaya M.V. Impact of carbon nanotube exposure to seeds of valuable crops // ACS Appl. Mater. Interfaces. 2013. V. 5. P. 7965. https://doi.org/10.1021/am402052x
- Wang X., Yang X., Chen S., Li Q., Wang W., Hou Ch., Gao X., Wangand L., Wang Sh. Zinc oxide nanoparticles affect biomass accumulation and photosynthesis in Arabidopsis // Plant Sci. 2016. V. 6. P. 1243. https://doi.org/10.3389/fpls.2015.01243
- Hasanpour H., Maali-Amiri R., Zeinali H. Effect of TiO2 nanoparticles on metabolic limitations to photosynthesis under cold in chickpea // Russ. J. Plant Physiol. 2015. V. 62. P. 779. https://doi.org/10.1134/S1021443715060096
- John R., Anjum R.A., Sopory S.K., Akram N.A., Ashraf M. Some key physiological and molecular processes of cold acclimation // Biol. Plant. 2016. V. 60. P. 603. https://doi.org/10.1007/s10535-016-0648-9
- Keunen E., Peshev D., Vangronsveld J., Ende V.D., Cuypers A. Plant sugars are crucial players in the oxidative challenge during abiotic stress: extending the traditional concept // Plant Cell Environ. 2013. V. 36. P. 1242. https://doi: 10.1111/pce.12061
- Chang C.Y.Y., Brautigam K., Huner N.P.A., Ensminger I. Champions of winter survival: cold acclimation and molecular regulation of cold hardiness in evergreen conifers // New Phytol. 2020. V. 229. P. 675. https://doi.org/10.1111/nph.16904
- Ouellet F., Vazquez-Tello A., Sarhan F. The wheat wcs120 promoter is cold-inducible in both monocotyledonous and dicotyledonous species // FEBS Lett. 1998. V. 423. P. 324. https://doi.org/10.1016/s0014-5793(98)00116-1
- Rehman S.U., Khushi M., Sher H., Que Y., Ali R., Ali S., Hassan I., Murad A., Rahat M. Molecular analysis of cold responsive (COR) genes in selected sugarcane and Saccharum spontaneum L. // Adv. Life Sci. 2022. V. 9. P. 547.
- Winifield M.O., Lu C., Wilson I.D., Coghill J.A., Edwards K.J. Plant responses to cold: transcriptome analysis of wheat // Plant Biotechnol. J. 2010. V. 8. P. 749. https://doi.org/10.1111/j.1467-7652.2010.00536.x
- NDong C., Danyluk J., Wilson K.E., Pocock T., Huner N.P., Sarhan F. Cold-regulated cereal chloroplast late embryogenesis abundant-like proteins. Molecular characterization and functional analyses // Plant Physiol. 2002. V. 129. P. 1368. https://doi.org/10.1104/pp.001925
- Liu F., Si H., Wang C., Sun G., Zhou E., Chen C., Ma C. Molecular evolution of Wcor15 gene enhanced our understanding of the origin of A, B and D genomes in Triticum aestivum // Sci. Rep. 2016. V. 6. P. 31706. https://doi.org/10.1038/srep31706
- Takumi S., Koike A., Nakata M., Kume S., Ohno R., Nakamura C. Cold‐specific and light‐stimulated expression of a wheat (Triticum aestivum L.) Cor gene Wcor15 encoding a chloroplast‐targeted protein // J. Exp. Bot. 2003. V. 54. P. 2265. https://doi.org/10.1093/jxb/erg247
- Sun C.W., Huang Y.C., Chang H.Y. CIA2 coordinately up-regulates protein import and synthesis in leaf chloroplasts // Plant Physiol. 2009. V. 150. P. 879. https://doi.org/10.1104/pp.109.137240
Supplementary files








