Фракционный и жирнокислотный состав липидов фрагментов почек по фазам распускания у растений рода Betula1
- Authors: Морозова И.В.1, Чернобровкина Н.П.2, Пчёлкин В.П.3
-
Affiliations:
- Институт водных проблем Севера – обособленное подразделение Федерального государственного бюджетного учреждения науки Федерального исследовательского центра “Карельский научный центр Российской академии наук”
- Институт леса – обособленное подразделение Федерального государственного бюджетного учреждения науки Федерального исследовательского центра “Карельский научный центр Российской академии наук”
- Федеральное государственное бюджетное учреждение науки Институт физиологии растений им. К. А. Тимирязева Российской академии наук
- Issue: Vol 71, No 6 (2024)
- Pages: 723-734
- Section: ЭКСПЕРИМЕНТАЛЬНЫЕ СТАТЬИ
- URL: https://journal-vniispk.ru/0015-3303/article/view/272099
- DOI: https://doi.org/10.31857/S0015330324060059
- EDN: https://elibrary.ru/MARTZH
- ID: 272099
Cite item
Full Text
Abstract
У растений рода Betula L. с морфологическими признаками березы пушистой B. pubescens, березы повислой B. pendula и карельской березы B. pendula var. carelica во фрагментах почек по фазам их распускания исследованы показатели роста и влажности, а также содержание и состав жирных кислот (ЖКС) отдельных фракций суммарных липидов (СЛ). Фракции нейтральных липидов (НЛ), гликолипидов (ГЛ) и фосфолипидов (ФЛ) выделяли из СЛ хлороформом, ацетоном и метанолом, соответственно. Растущие зачаточные листья отличались повышенной массой и влажностью по сравнению с чешуями и прилистниками. В зачаточных листьях по сравнению с другими фрагментами почек по фазам распускания отмечено высокое абсолютное содержание СЛ в I фазе и падение уровня СЛ по другим фазам, значительное абсолютное накопление НЛ и ФЛ к III фазе и использование в IV фазе при накоплении ГЛ в эту фазу, высокий уровень ненасыщенных жирных кислот (ННЖК) СЛ и их отдельных фракций в исследуемый период, повышение в составе ФЛ и ГЛ уровня линоленовой кислоты (С18:3) к IV фазе, а также рост относительного содержания пальмитиновой кислоты (С16:0) в составе ГЛ к III фазе и снижение ее уровня в IV фазе. ЖКС фракций СЛ фрагментов распускающихся почек берез был представлен преимущественно ННЖК (до 88% от суммы ЖК). Основную долю ННЖК составляли С18:3 и линолевая (С18:2) (до 55 и 47% от суммы ЖК соответственно), в насыщенных ЖК преобладала С16:0 (до 42%). У трех берез при развитии почек по фазам распускания в их отдельных фрагментах как в СЛ, так и во всех фракциях СЛ относительное содержание С18:2 снижалось при повышении в составе ГЛ и ФЛ – С18:3. У этих берез, различающихся по морфологическим признакам, отличительные особенности липидного состава выявлены преимущественно в чешуях.
Full Text
Сокращения: ГЛ – гликолипиды; ЖК – жирные кислоты; ЖКС – состав жирных кислот; листочки – зачаточные листья, НЖК – насыщенные жирные кислоты; НЛ – нейтральные липиды; ННЖК – ненасыщенные жирные кислоты; СЛ – суммарные липиды; ФЛ – фосфолипиды.
ВВЕДЕНИЕ
1Береза (Betula) – род листопадных деревьев и кустарников семейства Березовые (Betulaceae), широко распространенных на территории России, в Северном полушарии и во многих других регионах планеты. Исследования этой древесной породы представляют большой научный и практический интерес, поскольку род Betula включает много ценных видов и форм [1–4]. В России преобладают два вида: береза повислая B. pendula Roth (1788) и береза пушистая B. pubescens Ehrh. (1789). Особенно ценной из-за узорчатого рисунка древесины является разновидность березы повислой – карельская береза (B. pendula var. carelica (Merckl.) Hamet-Ahti (1984)). Широкое распространение березы в различных широтах, в том числе в условиях Севера, обусловлено высоким адаптационным потенциалом ее к условиям среды. Закладка почек берез происходит задолго до их распускания, в июле–августе. В защищенном, закрытом состоянии ткани почек проводят более 10 месяцев, успешно сохраняя жизнеспособность и потенциал для развития побега в весенний период. Определяющее значение в адаптационных механизмах почек березы имеет структурно-функциональная организация их фрагментов – почечных чешуй, прилистников и зачаточных листьев (далее – листочков). Чешуи, прилистники и особенно листочки различных видов берез густо покрыты выделяющими липиды железками, располагающимися неодинаково на отдельных фрагментах почки.
Фракционный и жирнокислотный состав мембранных и запасных липидов клеточных структур растений определяет их функциональную, в том числе адаптационную активность. Среди лиственных древесных растений такие исследования проведены преимущественно на растениях рода Betula. При изучении сезонной динамики суммарных липидов (СЛ) в почках различных видов березы было показано, что максимум их накопления приходится на осенне-зимний период [5, стр. 105]. Весной количество липидов в почках снижается, что объясняется использованием их на ростовые процессы. Проведенные нами ранее исследования показали, что по фазам распускания почек березы отмечаются значительные изменения в содержании СЛ, их фракций и ЖКС фракций липидов [4]. Полученные данные позволяют заключить, что в период распускания почек при формировании ассимиляционного аппарата происходят значительные преобразования компонентов мембран, в частности входящих в их состав двух самых главных групп полярных липидов – гликолипидов (ГЛ) и фосфолипидов (ФЛ), а также неполярных нейтральных липидов (НЛ). Динамика СЛ, их фракций и жирнокислотный состав (ЖКС) фракций липидов по фазам распускания фрагментов почек березы остаются не исследованными. Для выявления закономерностей изменения липидного состава в почках лиственных древесных растений в период перехода их к активной вегетации и участия в этом процессе отдельных фрагментов почек, в первую очередь, необходимо исследование как относительного содержания отдельных фракций СЛ, так и ЖКС их липидов во фрагментах почек по фазам распускания, в частности, у растений рода Betula.
При изучении состава липидов по фазам распускания почек растений рода Betula выявлены заметные отличия в динамике содержания СЛ, их фракций и ЖКС фракций липидов у березы пушистой, березы повислой и карельской березы [4]. Для понимания общих закономерностей и видовых особенностей изменения липидного состава во фрагментах почек по фазам их распускания у растений рода Betula возникла необходимость изучить в этом отношении разные виды берез.
Цель работы – исследование у различных представителей растений рода Betula показателей роста, влажности, абсолютного содержания как СЛ, так и отдельных фракций этих липидов совместно с изучением ЖКС СЛ и их фракций фрагментов почек (чешуй, прилистников и листочков) по отдельным фазам распускания.
МАТЕРИАЛЫ И МЕТОДЫ
Характеристика объекта. Исследовали вегетативные почки 30-летних растений рода Betula с характерными морфологическими признаками березы пушистой Betula pubescens Ehrh., березы повислой Betula pendula Roth и карельской березы Betula pendula var. carelica (Merckl.) Hаmet-Ahti, произрастающих на пробных площадях чистых березовых насаждений агробиологической станции Карельского научного центра РАН в черте г. Петрозаводска, Республика Карелия, Россия (61°47’46” с.ш., 34°20’57” в.д.). Для анализа отбирали по 70–100 почек с каждого из трех деревьев одного вида, всего исследовали 9 деревьев. Температура воздуха в период исследования соответствовала периоду вегетационной весны – начало периода приходилось на переход средней суточной температуры воздуха через 5°С, окончание – на переход через 15°С. Идентификацию исследуемых берез проводили по морфологическим признакам [4].
Подготовка образцов. Образцы были получены с 29 апреля по 20 мая 2008 г. Боковые ветви срезали с южной стороны средней части кроны берез одновременно в утренние часы (10–11 ч) в соответствии с фенофазами распускания почек: I фаза – набухание почек (почки заметно увеличились в размерах, конец апреля), II фаза – разверзание почек (в верхней части почек появился конус молодых листьев, начало мая); III фаза – раскрытие вегетативных почек, молодые листья сложены в трубочку, вторая декада мая); IV фаза – молодые листья размером до 10 мм (обособление молодых листьев, поверхность листьев складчатая, видны черешки, третья декада мая). Фазы распускания почек у исследуемых растений прослеживали визуально, в год проведения эксперимента по срокам они совпадали. Почки отделяли от свежесрезанных побегов и разбирали на фрагменты: чешуи, прилистники, листочки, определяли их влажность, сухую массу одной почки.
Экстракция липидов и разделение их на фракции. Образцы растительного материала растирали в фарфоровой ступке до порошкообразного состояния. Липиды экстрагировали смесью хлороформ-метанол (2 : 1) из расчета 20 частей экстрагирующей смеси на 1 часть анализируемой пробы. Для очистки от водорастворимых примесей экстракт промывали водой. Хлороформ из липидного экстракта отгоняли. Разделение липидов на отдельные фракции выполняли методом колоночной хроматографии в стеклянных пипетках Пастера (объем 3 мл, длина 230 мм, диаметр 7 мм), заполненных силикагелем (Davisil, 100–200 мкм, Sigma Aldrich, США). Фракцию нейтральных липидов элюировали хлороформом, гликолипидов – ацетоном, а фосфолипидов – метанолом. Полноту экстракции отдельных фракций контролировали путем сбора их порций и последующим сжиганием в концентрированной серной кислоте при 200°С в течение 15 мин в термостате, а также дальнейшей УФ-спектрофотометрией полученных растворов при 375 нм. Массу каждого препарата СЛ и отдельных фракций СЛ определяли в процентах от абсолютно сухого веса растительного образца.
Анализ ЖК. Метиловые эфиры ЖК СЛ и их фракций, полученные реакцией переэтерификации с безводным метанолом (99.8%) и ацетилхлоридом (95.0%), растворяли в н-гексане. Анализ метиловых эфиров ЖК проводили методом газожидкостной хроматографии на газовом хроматографе Кристалл 5000.1 (Хроматэк, Россия). Для разделения использовали капиллярную колонку ZB-FFAP 50 м × 0.32 мм × 0.5 мкм (Zebron, Phenomenex, США). Ее стационарной фазой служил полиэтиленгликоль, модифицированный нитротерефталатом. Объем вводимого образца метиловых эфиров ЖК составлял 1 мкл. Разделение этих эфиров проводили в изотермическом режиме при 190°С. Газ-носитель колонки – азот. Расход 50 мл/мин. Температура камеры испарителя – 240°С, пламенно-ионизационного детектора – 260°С. Расход водорода и воздуха – 40 и 400 мл/мин соответственно. Метиловые эфиры индивидуальных ЖК идентифицировали по времени удерживания в тех же условиях 37 отдельных компонентов смеси их метиловых эфиров с длинами цепей от С4 до С25 (Supelсo, США), а также путем сравнения полученных данных со стандартной эквивалентной длиной цепи [6]. Концентрацию каждой ЖК рассчитывали по площадям пиков методом нормализации. Индивидуальные ЖК были выделены в группы, отличавшиеся по числу двойных связей в углеродной цепи: ненасыщенные (моноеновые, диеновые и триеновые, ННЖК) и насыщенные (при отсутствии двойных связей в их цепи, НЖК). Для сравнительного анализа состава ЖКС отдельных фракций липидов фрагментов почек берез между собой и по фазам распускания были использованы главные ЖК, которые составляли наибольшую долю от суммы ЖК: пальмитиновая (С16:0), стеариновая (С18:0), олеиновая (С18:1), линолевая (С18:2), линоленовая (С18:3). Эти ЖК присутствовали во всех фракциях липидов фрагментов почек всех берез и именно они определяли динамику ЖКС в период исследования. Относительное содержание всех ЖК определяли в массовых процентах от их общего содержания указанных главных ЖК в исследуемом образце.
Индекс двойной связи (ИДС), характеризующий степень ненасыщенности ЖК рассчитывали по формуле:
ИДС = ΣPj n/100, где:
Pj – содержание ЖК (% от суммы ЖК);
n – количество двойных связей.
Коэффициент ненасыщенности (К) ЖК определяли по формуле:
К = ΣННЖК/ΣНЖК.
Статистическая обработка данных. Эксперимент проводили в трех биологических повторностях для каждого из трех представителей рода Betula. Результаты были статистически обработаны с помощью программ Statistica 10.0, Past 4.13. В многофакторном компонентном дисперсионном анализе рассматривали кластеризацию выборок по методу главных компонент, учитывающих массу, влажность, содержание СЛ, НЛ, ФЛ и ГЛ на единицу сухого вещества фрагментов почек, при этом данные были предварительно нормализованы. Для определения характера распределения использован критерий Шапиро-Уилка. Оценку различий между вариантами выполняли при помощи однофакторного дисперсионного анализа с последующим проведением апостериорного теста (поправки Тьюки). Результаты представляли в виде М ± Sd (где М – среднее значение (n = 3), Sd – стандартное отклонение). Статистически значимыми считали различия при P < 0.05.
РЕЗУЛЬТАТЫ
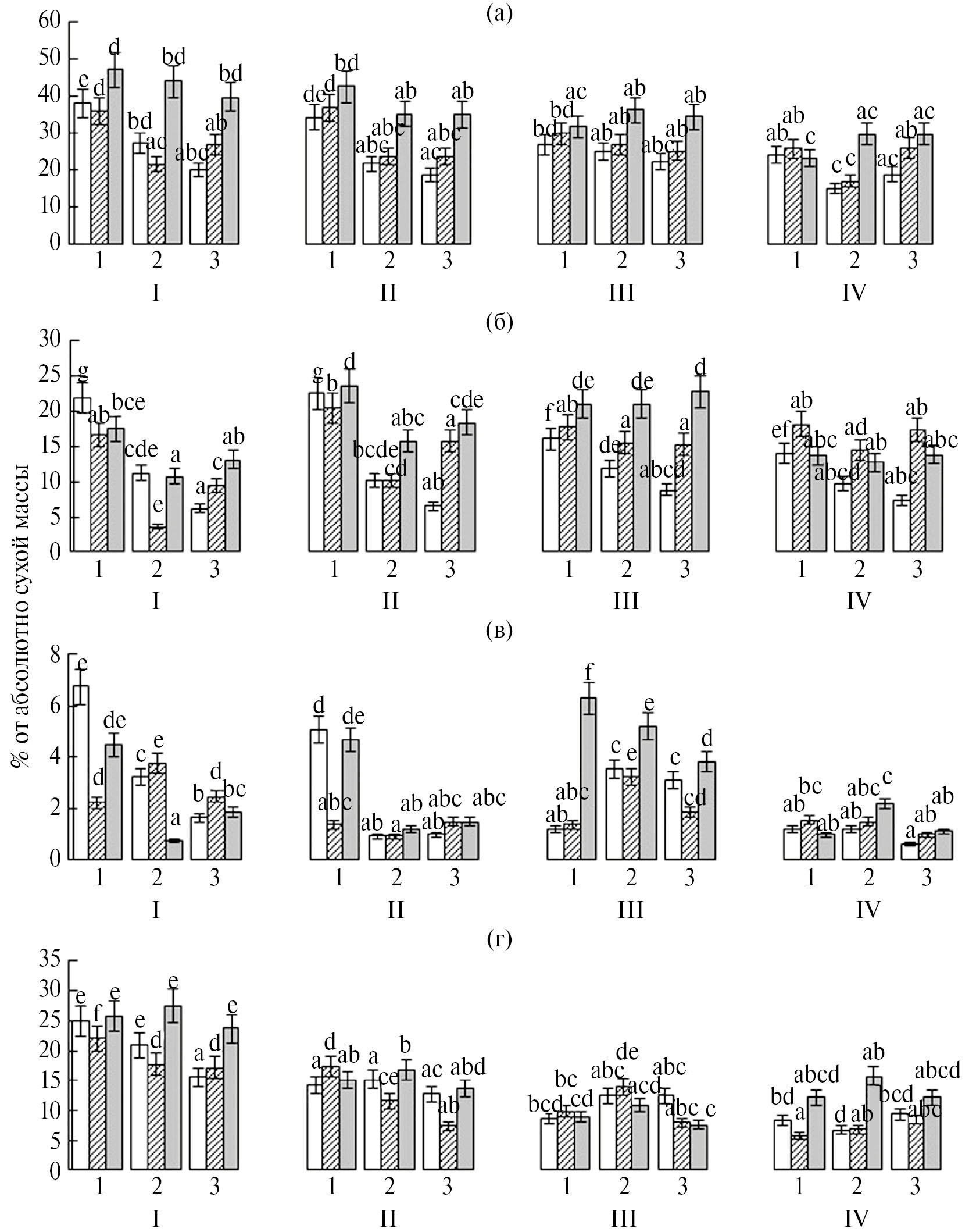
Общие закономерности. На основании многофакторного компонентного анализа (PCA), объекты были сгруппированы по величинам показателей массы, влажности, содержания СЛ, НЛ и ГЛ фрагментов почек по фазам распускания с учетом видовой принадлежности растений (рис. 1). На разделение объектов по группам в большей степени оказали влияние фракции липидов – СЛ, НЛ и ГЛ. Масса и ФЛ вносили незначительную факторную нагрузку. Во всех фрагментах почек, особенно в листочках, отчетливо выделялись группы по фазам распускания, причем наиболее заметно выделялась I фаза (рис. 1а–в).
Рис. 1. Ординация 36 образцов фрагментов почек берез: – B. pubescens, – B. pendula, – B. pendula var. сarelica. Эллипсы а–в группируют фазы распускания; г–е – виды берез. Фазы распускания: I – белый, II – серый, III – светло-серый, IV – черный, а, г – РС 1 (70.93% дисперсии) коррелировал с влажностью (r = 0.87), содержанием СЛ (r = 0.36); РС 2 (14.53% дисперсии) коррелировал с содержанием НЛ (r = 0.55) и ГЛ (r = 0.75); б, д – РС 1 (49.11% дисперсии) коррелировал с влажностью (r = 0.72), содержанием СЛ (r = 0.35) и ГЛ (r = 0.57); РС 2 (35.93% дисперсии) коррелировал с содержанием СЛ (r = 0.69) и НЛ (r = 0.59); в, ж – РС 1 (67.42% дисперсии) коррелировал с содержанием СЛ (r = 0.72), содержанием НЛ (r = 0.50) и ГЛ (r = 0.43); РС 2 (27.72% дисперсии) коррелировал с влажностью (r = 0.71), содержанием НЛ (r = 0.47) и ГЛ (r = 0.50).
Однофакторный дисперсионный анализ показал, что масса листочков по сравнению с другими фрагментами почек была максимальной у всех берез, и, в отличие от других фрагментов почек, возрастала по фазам их распускания (рис. 2а). Влажность листочков также была максимальной по сравнению с другими фрагментами почек и возрастала у всех фрагментов по фазам распускания (рис. 2б).
Рис. 2. Сухая масса (а) и влажность (б) фрагментов одной почки разных видов и формы Betula: (1) B. pubescens, (2) B. pendula, (3) B. pendula var. carelica. Белый, штриховка, серый – чешуи, прилистники, листочки соответственно. I–IV – фазы распускания. Сравнения проводили для каждого фрагмента по фазам распускания и по видам березы. Каждое значение представляет среднее из трех биологических повторностей и их стандартное отклонение. Разными латинскими буквами обозначены статистические различия (HSD-тест Тьюки, P < 0.05).
Листочки в I фазу распускания отличались большим уровнем СЛ по сравнению с прилистниками и чешуями (рис. 3а). Снижение содержания СЛ в исследуемый период происходило у трех берез только в листочках. Накопление фракций НЛ и ФЛ отмечалось также только в листочках к III фазе, далее в IV фазу в них происходило снижение уровня НЛ (рис. 3б, в). Фракция ГЛ в листочках трех берез имела противоположно направленную динамику по сравнению с фракциями НЛ и ФЛ (рис. 3г). Отмечалось снижение уровня ГЛ в чешуях и прилистниках по фазам распускания почек берез. Наблюдали снижение уровня ФЛ в чешуях и прилистниках в процессе распускания почек от I к IV фазе (рис. 3в).
Рис. 3. Содержание суммарных липидов (а), нейтральных липидов (б), фосфолипидов (в) и гликолипидов (г) фрагментов почек разных видов и формы Betula: (1) B. pubescens, (2) B. pendula, (3) B. pendula var. carelica. Белый, штриховка, серый – чешуи, прилистники, листочки соответственно. I–IV – фазы распускания. Сравнения проводили для каждого фрагмента по фазам распускания и по видам березы. Каждое значение представляет среднее из трех биологических повторностей и их стандартное отклонение. Разными латинскими буквами обозначены статистические различия (HSD-тест Тьюки, P < 0.05).
Отмечалось преобладание в I фазу в СЛ всех фрагментов почек трех берез ННЖК (Дополнительные материалы, табл. 1–3). Происходило снижение уровня ННЖК СЛ к III фазе в прилистниках у всех берез и в листочках у березы повислой и карельской. Наблюдали стабильный уровень этого показателя в листочках у березы пушистой в процессе распускания почек. В чешуях почек трех берез по сравнению с другими фрагментами в I фазу отмечался пониженный уровень ННЖК СЛ, который в большей мере был обусловлен их низким содержанием в запасных НЛ (на фоне низкого уровня С18:3 в НЛ), а отнюдь не в мембранных ФЛ и ГЛ. Отмечалось отсутствие однозначно выраженной динамики ННЖК СЛ и ФЛ во фрагментах почек по фазам распускания. Показано преимущественное содержание С18:3, С18:2 и С16:0 в ЖКС СЛ и их фракций фрагментов почек берез, а также значительные изменения их уровня по фазам распускания почек. Уровни С18:0 и С18:1 заметно не менялись на протяжении всего периода исследования.
Видовые отличия. При рассмотрении видовых отличий показателей фрагментов почек у трех представителей рода Betula с использованием многофакторного компонентного анализа именно в чешуях выделены группы по видам. Особенно отчетливо выделяется береза пушистая, группы березы повислой и карельской располагались близко (рис. 1е). В прилистниках компонентный анализ по комплексу признаков позволил выделить березу пушистую, группы близкородственных видов берез повислой и карельской перекрывались (рис. 1д). По данным компонентного анализа листочков, виды берез не разделились на разные группы (рис. 1г).
Результаты однофакторного дисперсионного анализа показали, что фрагменты почек березы пушистой по сравнению с другими березами характеризовались высоким содержанием НЖК во фракциях НЛ и ГЛ за счет преимущественно высокого уровня С16:0. Березу пушистую отличало также в первые две фазы пониженное содержание С18:2 в ГЛ листочков при повышенном уровне С16:0 (Дополнительные материалы, табл. 1).
У березы повислой, в отличие от других берез, происходило значительное снижение уровня С18:2 при росте содержания С16:0 в составе фракции ГЛ в процессе развития почек от I к III фазе и пониженный уровень С18:2 во фракции ФЛ в течение всего периода исследования (Дополнительные материалы, табл. 2). У карельской березы, в отличие от других берез, отмечали пониженный уровень массы листочков и влажности всех фрагментов почек в соответствующие фазы, низкое содержание НЛ в чешуях во все фазы, повышенное содержание ННЖК во фракции НЛ фрагментов распускающихся почек, обусловленное высоким содержанием С18:2 при низком уровне С16:0 (Дополнительные материалы, табл. 3).
ОБСУЖДЕНИЕ
Общие закономерности. Масса листочков как наиболее функционально значимых фрагментов почек была максимальной у представителей исследованных берез и, в отличие от других фрагментов почек, возрастала по фазам их распускания. Учитывая отпад чешуй и прилистников после распускания почек, отсутствие их роста можно рассматривать как адаптационный механизм сохранения ресурсного потенциала почек для формирования молодого листа. Влажность листочков также была максимальной по сравнению с другими фрагментами почек. Повышение влажности всех фрагментов почек берез по фазам распускания в мае, в период активного сокодвижения, способствовало росту листочков, выходу растений из состояния вынужденного покоя и переходу к активной вегетации. Показано, что у березы повислой, произрастающей в условиях холодного климата и многолетней мерзлоты Центральной Якутии и отличающейся высокой морозоустойчивостью, содержание воды в почках в зимне-весенний период в феврале – апреле варьировало в пределах 32–34%, а к началу вегетации деревьев, в мае, ее количество в тканях возрастало почти вдвое и превышало 60% [3]. Такая высокая влажность во фрагментах почек исследованных нами берез отмечалась только у березы повислой в листочках, в IV фазу развития почек.
Ранее нами была показана динамика содержания СЛ, их фракций и ЖКС фракций липидов в целых почках по фазам распускания [4]. Содержание СЛ варьировало от 27 до 45% от абсолютно сухого веса растительного образца (масс.%). В составе СЛ преобладали НЛ (до 42 масс.%), уровень ГЛ и ФЛ был значительно ниже (максимум соответственно, 13 и 8 масс.%). Результаты данного исследования показали, что листочки как наиболее функционально значимые фрагменты ассимиляционного аппарата почек в I фазу распускания отличались большим уровнем СЛ по сравнению с прилистниками и чешуями. Снижение содержания СЛ в расчете на единицу сухого вещества в исследуемый период происходило у трех берез только в листочках, что могло быть обусловлено использованием их в метаболических процессах, а также так называемым “эффектом разбавления” в результате увеличения их массы при интенсивном росте перед началом активной вегетации. В этот период еще не происходило в достаточном количестве пополнения энергетического материала в клетках растений за счет фотосинтеза и поступления элементов питания из почвы.
Повышение уровней фракций НЛ и ФЛ в листочках к III фазе свидетельствовало о повышении энергетического и ресурсного потенциала листочков к этой фазе. Очевидно, в этот период, в III фазу, когда почки раскрываются и появляются молодые листья, ФЛ в них активно синтезируются и принимают участие в формировании клеточных структур. Ранее на основании сравнительного исследования липидного состава распускающихся почек березы пушистой, повислой и карельской нами было показано, что при распускании почек существенно повышается содержание ФЛ в связи с активным образованием клеточных структур, в мембраны которых они входят, и этот процесс происходит в III фазу распускания почек [4]. По результатам данной работы, накопление ФЛ, а также НЛ осуществляется в эту фазу только в листочках. Формирование молодого листа (IV фаза), напротив, было сопряжено со значительным расходом энергетических ресурсов листочка, о чем свидетельствовало снижение в эту фазу уровня НЛ в расчете на единицу сухого вещества.
Снижение содержания ГЛ в листочках на единицу сухого вещества к III фазе можно объяснить “эффектом разбавления” в результате интенсивного роста листочков в период повышения влажности их тканей на фоне сокодвижения при повышении температуры воздуха [1, 2]. Активно накопление ГЛ проходило в IV фазу, непосредственно перед появлением молодого листа, когда их уровень повышался на единицу сухого вещества несмотря на наличие “эффекта разбавления” в результате продолжающегося повышения массы листочков. Накопление ГЛ в листочках в эту фазу могло быть обусловлено значительной стимуляцией их синтеза. В исследованиях, проведенных без учета фаз распускания почек хвойных растений, установлено, что в их меристемах перед появлением хвои содержание ФЛ и ГЛ в мембранах значительно возрастало, что объяснялось увеличением размеров клеток и формированием их фотосинтетического аппарата [7, 8]. Снижение уровня ГЛ в чешуях и прилистниках в расчете на единицу сухой массы по фазам распускания почек берез, вероятно, обусловлено включением их в метаболические процессы, и не было связано с массой этих органов, которая по фазам распускания почек не изменялась значительно и однозначно у трех берез. Поскольку к моменту появления молодых листьев они отпадают, то снижение уровня ГЛ и, как отмечено выше, ФЛ в этих фрагментах, возможно, является показателем деструкции у них мембранных липидов клеток в процессе распускания почек.
Фракции НЛ и ФЛ в листочках трех берез имели противоположно направленную динамику по сравнению с фракцией ГЛ. Повышение уровня НЛ в прилистниках почек трех берез ко II–III фазам указывало на аналогичное с листочками запасание энергетического материала у них. Однако снижения их уровня к IV фазе, как это происходило в листочках, не было, что можно объяснить отсутствием энергетических затрат на ростовые процессы, поскольку, как отмечено выше, их масса не увеличивалась. Снижение уровня ФЛ в чешуях и прилистниках в процессе распускания почек от I к IV фазе свидетельствовало о структурных преобразованиях с тенденцией деструкции компонентов клеточных мембран.
Таким образом, листочки имели отличную от других фрагментов почек динамику фракционного состава липидов – при снижении уровня СЛ в исследуемый период отмечалось повышение к III фазе уровней НЛ и ФЛ с падением в IV фазе, и со снижением уровня ГЛ к III фазе с увеличением в IV фазе. По фракционному составу СЛ фрагментов почек в период исследования обозначилась идентичность направленности их изменения в составе чешуй и прилистников – при относительно неизменном уровне СЛ уровни НЛ повышались, а ГЛ и ФЛ снижались.
Выявленный нами ранее [4] высокий уровень ННЖК во всех фракциях липидов по фазам распускания почек исследованных берез свидетельствует о высокой степени жидкостных характеристик мембран клеток развивающихся почек, что, очевидно, является необходимым условием для активно протекающих в этот период метаболических процессов и обеспечивает защитные функции растений от возможных неблагоприятных климатических условий в весенний период. Высокая степень ненасыщенности ЖК мембранных липидов определяет физическое состояние биологических мембран, что необходимо для поддержания текучести липидного окружения мембранных белков и особенно ферментов, обеспечения высокой пропускной способности мембран для ионов и молекул. Это, в свою очередь, определяет характер и интенсивность метаболизма в клетках [9–12]. Напротив, увеличение насыщенности ЖК СЛ связано с перестройкой структуры мембран в направлении снижения их эластичности и проницаемости [13, 14].
Преобладание в I фазу в СЛ всех фрагментов почек трех берез ННЖК обеспечивало устойчивость их к возможным колебаниям температуры в условиях Карелии в этот период. Снижение уровня ННЖК СЛ к III фазе в прилистниках у всех берез и в листочках березы повислой и карельской происходило на фоне повышения температуры воздуха, когда возможность наличия заморозков снижалась. Стабильный уровень этого показателя в листочках у березы пушистой в процессе распускания почек был обусловлен относительно низким по сравнению с другими березами уровнем ненасыщенности ЖК СЛ уже в I фазе. В чешуях почек трех берез по сравнению с другими фрагментами в I фазу отмечался пониженный уровень ННЖК СЛ, обусловленный их уровнем в запасных НЛ (на фоне низкого уровня С18:3 в НЛ), а не в мембранных ФЛ и ГЛ, преимущественно обеспечивающих консистенцию и функциональную активность, в том числе защитную, мембранных компонентов растительных клеток. Пониженный уровень ННЖК СЛ в чешуях по сравнению с другими фрагментами почек трех берез в I фазу и отсутствие однозначно выраженной динамики его по фазам распускания могут свидетельствовать о более низкой функциональной активности этих фрагментов по сравнению с прилистниками и листочками.
Преимущественное содержание в ЖКС СЛ фрагментов почек берез С18:3, С18:2 и С16:0, а также значительные изменения их уровня по фазам распускания почек указывают на большую значимость этих ЖК в период исследования. С18:3 и С18:2 в основном определяют функциональное состояние мембран растительных клеток [15, 16] Повышение в СЛ листочков уровня С18:3 от II (у березы пушистой) или III фазы (у двух других берез) к IV фазе происходило преимущественно за счет повышения уровня этой кислоты во фракциях ФЛ и особенно ГЛ. Известно, что С18:3 участвует непосредственно в формировании фотосинтетического аппарата [17–19] и ее накопление в мембранных липидах формирующихся листочков способствовало этому процессу. При этом в листочках к III фазе С18:2 СЛ, по-видимому, утрачивала свое значение, поскольку ее уровень заметно снижался, причем особенно значительно в ГЛ листочков березы карельской и повислой. На значимость С18:3 и С16:0 в процессах распускания почек указывает также однозначное у трех берез в чешуях и прилистниках повышение к III фазе содержания в ГЛ С18:3, а в ФЛ прилистников – С16:0.
Повышение к III фазе уровня С16:0 в СЛ листочков за счет фракции ГЛ свидетельствовало о большой значимости ее в эту фазу для функциональной активности структур этих фрагментов. Значение С16:0 в структурно-функциональной организации растительной клетки сейчас активно исследуется, при этом роль ее в составе мембранных липидов в условиях холодового стресса у растений все еще недостаточно изучена [20, 21]. Отмечались не единичные случаи возрастания относительного содержания С16:0 в мембранных липидах растений в условиях стресса [14, 23], что, по мнению автора [22], указывает на возможное существование альтернативного пути противостояния стрессовой ситуации, отличного от общепринятой гипотезы “гомеовязкостной адаптации текучести клеточных мембран”.
Характерной особенностью ЖКС НЛ листочков в I фазу было значительное варьирование уровня ННЖК у трех берез – от 35% у березы пушистой до 94% – у карельской, что говорит о разном уровне жидкостных характеристик запасных липидов в структурах этих фрагментов у разных берез перед началом распускания почек. В НЛ листочков в I фазу отмечалось также значительное варьирование у трех берез уровня С16:0 – от 5% у карельской березы до 50% – у березы пушистой. Однако к IV фазе уровни ННЖК и С16:0 в НЛ листочков у трех берез сближались.
В ФЛ фрагментов почек трех берез преимущественно высокий и близкий у разных берез уровень ННЖК во всех фрагментах почек и во все фазы обеспечивал активные процессы в мембранах клеточных структур в переходный к вегетации период. Преобладание в составе ГЛ прилистников и особенно листочков у трех берез ННЖК (до 88% от суммы ЖК) обеспечивало активные метаболические процессы в мембранах хлоропластов этих фрагментов почек в течение всего периода исследования. Их уровень не изменялся однозначно у трех берез по фазам, за исключением того, что при переходе от III к IV фазе в листочках уровень ННЖК повышался за счет С18:3, что обусловлено, как было отмечено выше, участием этой ЖК в формировании фотосинтетического аппарата в растительных клетках. Пониженный уровень ННЖК ГЛ в чешуях по фазам распускания у соответствующих берез демонстрировал, возможно, пониженный уровень обменных процессов в структурных компонентах их хлоропластов.
Таким образом, характеризуя ЖКС отдельных фракций СЛ фрагментов почек берез, следует отметить очень большие различия по содержанию ННЖК во фракции НЛ в I фазу и по видам и по фрагментам, что может свидетельствовать об отсутствии принципиальной значимости их количества для функциональной активности компонентов фрагментов почек в этот период. Сближение уровней ННЖК НЛ за счет С18:3 и С18:2 в листочках у трех берез к IV фазе, возможно, указывает на необходимость определенного, близкого у всех берез, уровня ННЖК НЛ в период активного формирования молодых листьев. В отличие от НЛ, присутствие во фракции ФЛ фрагментов почек трех берез близкого по видам, фрагментам, фазам и высокого уровня ННЖК (до 78% от суммы ЖК) в период распускания почек указывает на весомый вклад этой фракции липидов в мембранную активность компонентов всех фрагментов. О разнонаправленном характере изменений в составе ФЛ листочков по сравнению с прилистниками может говорить повышение у трех берез в период распускания почек уровня особенно значимых ЖК – С18:3 в листочках, а С16:0 – в прилистниках. О преобладающем вкладе ГЛ в функциональную активность мембран хлоропластов в компонентах листочков трех берез свидетельствовал особенно высокий уровень ННЖК ГЛ в них по сравнению с прилистниками и чешуями. На значительные преобразования в составе ГЛ листочков к III фазе говорит накопление С16:0 в них. Повышение уровня С18:3 в ГЛ листочков в последней фазе их развития обеспечивало интенсивное формирование фотосинтетического аппарата в этот период.
Видовые особенности. Рассмотрение видовых отличий показателей фрагментов почек у трех представителей рода Betula с использованием многофакторного компонентного анализа показало, что чешуи значительно отличались по видам берез, в то время как прилистники и особенно листочки имели менее выраженные видовые отличия. У березы пушистой, в отличие от других берез, отмечалась повышенная масса всех фрагментов, за исключением массы чешуй и прилистников в IV фазу, когда их масса снижалась до уровня других берез. Вероятно, у березы пушистой с целью экономии энергетических ресурсов происходило снижение массы чешуй и прилистников перед их отпадом при раскрытии листочков в результате оттока ассимилятов в растущий листочек. Последнее можно отнести к одному из адаптационных механизмов вида, для которого характерно выживание в экстремальных условиях. Также энергетические ресурсы в чешуях в ряду берез: пушистая, повислая и карельская снижались, о чем свидетельствовало уменьшение в этом ряду в I фазу уровней СЛ и их фракций, особенно НЛ и ФЛ, а также уровней НЛ в этом ряду и во все фазы. Чешуи березы пушистой обладали самым большим энергетическим и ресурсным потенциалом в I фазу, но далее в процессе распускания почек значительно снижали его и приближали в IV фазу к уровню других берез, о чем можно было судить по содержанию там НЛ и особенно ФЛ.
ЗАКЛЮЧЕНИЕ
В результате проведенных исследований у трех представителей растений рода Betula выявлены только наиболее общие закономерности изменения интенсивности роста, влажности и липидного состава фрагментов почек по фазам распускания. Физиологически является целесообразным, что у всех исследованных берез отмечалась самая большая масса у функционально наиболее значимых фрагментов почек (листочков) по сравнению с прилистниками и чешуями. Росту листочков в процессе распускания почек способствовала повышенная их влажность по сравнению с другими фрагментами, масса которых не увеличивалась в исследуемый период. Повышение влажности всех фрагментов почек берез по фазам их распускания (максимально в 2 раза) было обусловлено активным сокодвижением у берез в этот период и стимулировало метаболические процессы в них к началу активной вегетации.
О максимальной у трех берез метаболической активности в тканях листочков по сравнению с другими фрагментами в период распускания почек можно судить не только по повышенным показателям интенсивности роста и влажности у них, но и по содержанию СЛ в I фазе и падению уровня СЛ по фазам, по значительному накоплению НЛ и ФЛ к III фазе и использованию в IV фазе при накоплении ГЛ в эту фазу, по высокому уровню ННЖК СЛ и их фракций в исследуемый период, по повышению С18:3 в составе ФЛ и ГЛ к IV фазе, а также С16:0 в составе ГЛ к III фазе и по снижению ее уровня в IV фазе. Исходя из значений исследованных показателей, прилистники и особенно чешуи характеризовались пониженной функциональной активностью по сравнению с листочками. Тенденцию снижения содержания мембранных липидов (ГЛ и ФЛ) в утрачивающих свое значение в процессе распускания почек чешуях и прилистниках можно рассматривать как адаптивную стратегию берез по экономии сырьевых и энергетических ресурсов.
Выявленное преобладание ННЖК в СЛ и их фракциях фрагментов почек берез позволяет сохранять текучесть мембран их тканей на физиологически активном уровне, обеспечивающем интенсивные метаболические процессы, направленные на формирование фотоассимиляционного аппарата в распускающихся почках и устойчивость их к возможным неблагоприятным климатическим условиям в весенний период. Основной вклад в группу ННЖК фракций СЛ фрагментов почек берез вносили С18:3 и С18:2, в группу НЖК – С16:0. Установленное снижение содержания С18:2 СЛ во фрагментах почек трех берез в процессе их распускания, вероятно, связано с использованием этой кислоты в метаболических процессах, направленных на формирование структур молодого листа, при дальнейшем росте которого продолжается ее снижение, при этом накапливается С18:3, задействованная в процессе фотосинтеза.
Характеризуя видовые особенности трех представителей рода Betula, следует отметить, что масса всех фрагментов почек у березы пушистой была выше по сравнению с березой повислой и карельской, при этом различия по массам чешуй и прилистников между видами исчезали в IV фазу за счет снижения их массы у березы пушистой, когда чешуи и прилистники начинали отмирать. Возможно, у березы пушистой происходил отток метаболитов из утрачивающих свое значение чешуй и прилистников в интенсивно растущие листочки. Характерной особенностью карельской березы по сравнению с другими березами были пониженные показатели массы и влажности фрагментов почек за исключением I фазы.
По уровню СЛ, НЛ и ГЛ значимые видовые отличия наблюдались по чешуям. Энергетический и ресурсный потенциал в чешуях в ряду берез: пушистая, повислая и карельская, вероятно, снижался, судя по снижению в этом ряду в I фазу уровней СЛ и их фракций, а также уровней НЛ в этом ряду и во все фазы. Чешуи березы пушистой, обладая самым большим энергетическим и ресурсным потенциалом в I фазу, далее в процессе распускания почек значительно снижали его и приближали в IV фазу к уровню других берез, судя по содержанию НЛ и особенно ФЛ в них.
Фрагменты почек березы пушистой по сравнению с другими березами характеризовались высоким содержанием НЖК во фракциях НЛ и ГЛ за счет преимущественно высокого уровня С16:0. Карельскую березу характеризовало повышенное содержание ННЖК во фракции НЛ фрагментов почек, обусловленное высоким содержанием С18:2 при низком уровне С16:0. Выявленные отличия в липидном составе фрагментов почек по фазам распускания у трех берез указывают на наличие особенностей в физиолого-биохимических механизмах, обусловливающих процессы аккумуляции и использования липидных соединений во фрагментах почек разных видов и форм растений рода Betula по фазам распускания.
Авторы выражают благодарность руководителю аналитической лаборатории Института леса Карельского научного центра Российской академии наук к.б.н., с.н.с. К. М. Никеровой за помощь при статистической обработке экспериментальных данных. Исследования выполнены на научном оборудовании Центра коллективного пользования Федерального исследовательского центра “Карельский научный центр Российской академии наук”.
Работа выполнена за счет средств федерального бюджета по государственному заданию Карельского научного центра Российской академии наук (Институт леса Карельского научного центра Российской академии наук). Исследование также было частично выполнено в рамках государственного задания Министерства науки и высшего образования Российской Федерации (Институт физиологии растений им. К. А. Тимирязева Российской академии наук, тема № ААААА-А20-121033000137-1).
Авторы заявляют об отсутствии конфликта интересов.
Настоящая статья не содержит каких-либо исследований с участием людей и животных в качестве объектов исследований.
1 Дополнительные материалы размещены в электронном виде по DOI статьи: 10.31857/S0015330324060059
About the authors
И. В. Морозова
Институт водных проблем Севера – обособленное подразделение Федерального государственного бюджетного учреждения науки Федерального исследовательского центра “Карельский научный центр Российской академии наук”
Author for correspondence.
Email: irinamorozova1502@gmail.com
Russian Federation, Петрозаводск
Н. П. Чернобровкина
Институт леса – обособленное подразделение Федерального государственного бюджетного учреждения науки Федерального исследовательского центра “Карельский научный центр Российской академии наук”
Email: irinamorozova1502@gmail.com
Russian Federation, Петрозаводск
В. П. Пчёлкин
Федеральное государственное бюджетное учреждение науки Институт физиологии растений им. К. А. Тимирязева Российской академии наук
Email: irinamorozova1502@gmail.com
Russian Federation, Москва
References
- Westhoff M., Schneider H., Zimmermann D., Mimietz S., Stinzing A., Wegner L.H., Kaiser W., Krohne G., Shirley S., Jakob P., Bamberg E. The mechanisms of refilling of xylem conduits and bleeding of tall birch during spring // Plant Biol. 2008. V. 10. P. 604. https://doi.org/10.1111/j.1438-8677.2008.00062.x
- Holtta T., Dominguez Carrasco M.D.R., Salmon Y., Aalto J., Vanhatalo A., Back J., Lintunen A. Water relations in silver birch during springtime: How is sap pressurised? // Plant Biol. 2018. V. 20. P. 834.
- Vetchinnikova L.V., Tatarinova T.D., Serebryakova O.S., Perk A.A., Ponomarev A.G., Il’inova M.K., Petrova N.E., Vasilieva I.V. The fatty acid composition of membrane lipids in buds of silver Birch during the winter–spring period under the conditions of the cryolithozone // Cell Tissue Boil. 2019. V. 13. P. 397. https://doi.org/10.1134/S1990519X19050092
- Morozova I.V., Chernobrovkina N.P., Il’inova M.K., Robonen E.V., Tsydendambaev V.D., Pchelkin V.P. Fatty acid composition in fractions of total lipids from the buds of plants of the Betula L. genus by the opening phases // Russ. J. Plant Physiol. 2021. V. 68. P. 94. https://doi.org/10.1134/S1021443721010131
- Ветчинникова Л.В. Береза: Вопросы изменчивости (морфо-физиологические и биохимические аспекты). М.: Наука, 2004. 183 с.
- Jamieson G.R., GLC identification techniques for long-chain unsaturated fatty acids // J. Chromat. Sci. 1975. V. 13. P. 491.
- Alaudinova E.V., Mironov P.V. Lipids of the meristems of the main coniferous edificators from Сentral Siberia under low-temperature adaptation: 1. The characteristics of the fatty acid composition of phospholipids from winter meristems of Larix sibirica Ledeb., Picea obovata L., and Pinus sylvestris L. // Russ. J. Bioorganic. Chem. 2010a. V. 36. P. 867.
- Alaudinova E.V., Mironov P.V. Lipids of the meristems of the main coniferous edificators from Central Siberia under low-temperature adaptation: 2. Features of the fatty acid metabolism of phospholipids from winter meristems of Larix sibirica Ledeb., Picea obovata L, and Pinus sylvestris L. // Russ. J. Bioorganic. Chem. 2010b. V. 36. P. 872.
- Sudachkova N.E, Milyutina I.L, Romanova L.I, Semenova G.P. The annual dynamics of reserve compounds and hydrolitic enzymes activity in the tissues of Pinus sylvestris L. and Larix sibirica Ledeb. // Eurasian J. For. Res. 2004. V. 7. P. 1.
- Los D.A., Murata N. Membrane fluidity and its roles in the perception of environmental signals // Biochim. Biophys. Acta. 2004. V. 1666(1-2). P. 142. https://doi.org/10.1016/j.bbamem.2004.08.002
- Los D.A., Mironov K.S., Allakhverdiev S.I. Regulatory role of membrane fluidity in gene expression and physiological functions // Photosynth. Res. 2013. V. 116. P. 489. https://doi.org/10.1007/s11120-013-9823-4
- Arisawa K., Mitsudome H., Yoshida K., Sugimoto S., Ishikawa T., Fujiwara Y., Ichi I. Saturated fatty acid in the phospholipid monolayer contributes to the formation of large lipid droplets // Biochem. Biophys. Res. Commun. 2016. V. 480. P. 641. https://doi.org/10.1016/j.bbrc.2016.10.109
- Makarenko S.P., Konenkina T.A., Suvorova G.G., Oskorbina M.V. Seasonal changes in the fatty acid composition of Pinus sylvestris needle lipids // Russ. J. Plant Physiol. 2014. V. 61. P. 119. https://doi.org/10.1134/S1021443713050105
- Kalugina O.V., Mikhailova T.A., Afanasyeva L.V., Gurina V.V., Ivanova M.V. Changes in the fatty acid composition of pine needle lipids under the aluminum smelter emissions // Ecotoxicology. 2021. V. 30. P. 2083. https://doi.org/10.1007/s10646-021-02479-2
- Hugly S., Somerville C.R. A role of membrane lipid polyunsaturation in chloroplast biogenesis at low temperature // Plant Physiol. 1992. V. 99. P. 197. https://doi.org/10.1104/pp.99.1.197
- Popov V.N., Antipina O.V., Pchelkin V.P., Tsydendambaev V.D. Changes in fatty acid composition of lipids in chloroplast membranes of tobacco plants during cold hardening // Russ. J. Plant Physiol. 2017. V. 64. P. 156. https://doi.org/10.1134/S1021443717010137
- Murphy D.J., The molecular organisation of the photosynthetic membranes of higher plants // Biochim. Biophys. Acta. 1986. V. 864. P. 33.
- Laskay G., Lehoczki E. Correlation between linolenic acid deficiency in chloroplast membrane lipids and decreasing photosynthetic activity in barley // Biochim. Biophys. Acta. 1986. V. 849. P. 77.
- Ivanova M.V., Makarenko S.P., Suvorova G.G. Fatty acid composition of lipids in Picea obovata needles in the spring vegetation period // Contemp. Probl. Ecol. 2018. V. 11. P. 207. https://doi.org/10.1134/S199542551802004X
- Awai K., Xu C., Tamot B., Benning C. A phosphatidic acid-binding protein of the chloroplast inner envelope membrane involved in lipid trafficking // Proc. Natl. Acad. Sci. USA. 2006. V. 103. P. 10817. https://doi.org/10.1073/pnas.0602754103
- Yoshida H., Yoshida N., Kuriyama I., Tomiyama-Sakamoto Y., Mizushina Y. Profiles of lipid components, fatty acid distributions of tryacylglycerols and phospholipids in Jack beans (Canavalia gladiata DC.) // Food Chem. 2013. V. 136. P. 807. https://doi.org/10.1016/j.foodchem. 2012.08.087
- Zhukov A.V. Palmitic acid and its role in the structure and functions of plant cell membranes // Russ. J. Plant Physiol. 2015. V. 62. P. 706. https://doi.org/10.1134/S1021443715050192
- Zhigacheva I.V., Burlakova E.B., Misharina T.A., Terenina M.B., Krikunova N.I., Generosova I.P., Shugaev A.G., Fattakhov S.G. Fatty acid composition of membrane lipids and energy metabolism in mitochondria of pea seedlings under water defici // Russ. J. Plant Physiol. 2013. V. 60. P. 212. https://doi.org/10.1134/S1021443713010111
Supplementary files





