Н+-пирофосфатаза вакуолярной мембраны в условиях стресса, вызванного действием ионов свинца
- Authors: Спиридонова Е.В.1, Гурина В.В.1, Озолина Н.В.1, Капустина И.С.1
-
Affiliations:
- Федеральное государственное бюджетное учреждение науки Сибирский институт физиологии и биохимии растений Сибирского отделения Российской академии наук
- Issue: Vol 71, No 6 (2024)
- Pages: 745-756
- Section: ЭКСПЕРИМЕНТАЛЬНЫЕ СТАТЬИ
- URL: https://journal-vniispk.ru/0015-3303/article/view/272103
- DOI: https://doi.org/10.31857/S0015330324060072
- EDN: https://elibrary.ru/MAOHEW
- ID: 272103
Cite item
Full Text
Abstract
Изучали действие различных концентраций Pb2+ (0.1 мкМ – 2 мМ) на работу вакуолярной Н+-пирофосфатазы корнеплодов столовой свеклы (Beta vulgaris L.). Установлено, что на уровне тканей в ответ на действие 1 мМ и 2 мМ ионов свинца происходило накопление продуктов перекисного окисления липидов (диеновых конъюгатов) и увеличение проницаемости клеточных мембран, что свидетельствует о развитии окислительного стресса. Оценку функционирования Н+-пирофосфатазы тонопласта проводили по уровню гидролитической и транспортной активности фермента. Наблюдалось стимулирование гидролиза субстрата, катализируемого Н+-пирофосфатазой, в присутствии низких концентраций Pb2+. Концентрации металла свыше 500 мкМ ингибировали гидролитическую активность пирофосфат-зависимого фермента. Однако уровень транспортной активности значимо стимулировался в присутствии 1 мМ Pb2+. Одновременно проводимый анализ качественного и количественного состава жирных кислот (ЖК) общих липидов тонопласта показал достоверно значимое снижение содержания олеиновой (С18:1(n-6)) и линолевой (С18:2(n-6)) ЖК при действии 1 мМ Pb2+. Ионы свинца в концентрации 1 мМ увеличивали сумму насыщенных ЖК. Установлено, что Pb2+ могут оказывать влияние на активность Н+-пирофосфатазы тонопласта и структуру клеточных мембран в зависимости от концентрации. Возможно, выявленные изменения являются одним из механизмов адаптации к условиям стресса, вызванного Pb2+.
Keywords
Full Text
Сокращения: ДК – диеновые конъюгаты; ЖК – жирные кислоты; ТМ – тяжелые металлы; ΣНЖК – сумма насыщенных жирных кислот; ΣННЖК – сумма ненасыщенных жирных кислот.
ВВЕДЕНИЕ
Свинец (Pb) как один из наиболее опасных представителей ТМ оказывает влияние на протекание многих физиологических процессов в растениях (рост, фотосинтез, дыхание, водный обмен, минеральное питание и др.) [1]. Одна из важных причин этого действия связана с тем, что свинец вызывает в клетках растений окислительный стресс [2]. Отрицательное воздействие высоких концентраций свинца на растения проявляется на разных уровнях организации: организменном, тканевом, клеточном, субклеточном и молекулярном. На субклеточном уровне происходят нарушения в структуре и функциях клеточных мембран, при этом наблюдаются изменения в составе мембранных липидов и белков [1].
Для предотвращения токсического действия ТМ на протекание метаболических процессов в клетке, существует ряд защитных механизмов, один из которых связан с изолированием ионов ТМ и их комплексов, в том числе и Pb2+ в вакуоль [3]. Перенос ионов ТМ и их комплексов через вакуолярную мембрану (тонопласт) осуществляется с помощью белков-переносчиков, работающих за счет электрохимического градиента генерируемого протонными помпами Н+-АТФазой и Н+-пирофосфатазой [4].
Пирофосфатаза вакуолярного типа (V-Н+-пирофосфатаза) транспортирует протоны из цитозоля через вакуолярную мембрану совместно с гидролизом неорганического пирофосфата (PPi). Она была обнаружена в растениях, водорослях, фотосинтезирующих бактериях, простейших и археобактериях [5]. H+-пирофосфатаза тонопласта представляет собой одиночный белок с 14–16 трансмембранными доменами и молекулярной массой 70–80 кДа. На долю Н+-пирофосфатазы приходится 1–10% белков тонопласта для максимальной активности, которой требуется К+ [4]. В растениях преобладающее значение на тонопласте Н+-пирофосфатаза занимает в клетках молодых, растущих тканей и в зрелых тканях с повышенным уровнем кислотности вакуолярного сока [6]. Кроме того, известно, что в различных условия абиотического стресса происходит увеличение уровня активности этого фермента [7], в том числе и в условиях токсического действия ТМ. Так, например, согласно литературным данным, было отмечено увеличение активности Н+-пирофосфатазы в ответ на действие различных концентраций Ni2+, Zn2+, Cu2+ и Cd2+ [8, 9]. Экспрессия гена Н+- пирофосфатазы (TaVP1) приводит к повышению устойчивости трансгенных растений табака к высоким концентрациям меди [10] и накоплению Cd2+ в растениях риса [11] и т. д. Однако влияние Pb2+ на функционирование и регуляцию Н+-пирофосфатазы практически не изучено. В связи с этим, цель настоящего исследования – изучение особенностей функционирования Н+-пирофосфатазы тонопласта Beta vulgaris L. в присутствии Pb2+.
МАТЕРИАЛЫ И МЕТОДЫ
Объект исследования. Объектом исследования служили корнеплоды столовой свеклы (Beta vulgaris L.). Влияние Pb2+ оценивали в модельных экспериментах как на уровне растительных тканей, так и на уровне изолированных вакуолей и вакуолярных мембран.
Определение проницаемости клеточных мембран. Степень проницаемости клеточных мембран в условиях стресса, вызванного Pb2+, оценивали по выходу электролитов кондуктометрическим методом [12] с незначительными модификациями. Растительную ткань (очищенные корнеплоды столовой свеклы, стадия покоя) нарезали на диски толщиной 1 мм и промывали в дистиллированной воде, после этого обсушивали на фильтровальной бумаге и отбирали навески по 0.5 г. Затем приливали раствор Pb(NO3)2 в качестве источника Pb2+ и инкубировали в течение 30 мин при комнатной температуре. Чтобы подобрать концентрацию ТМ, при которой происходит развитие окислительного стресса, использовали варианты, содержащие 1 мкМ, 10 мкМ, 100 мкМ, 200 мкМ, 500 мкМ, 1 мМ и 2 мМ Pb2+. В контрольном варианте использовали дистиллированную воду. После инкубации диски промывали водой. Далее к дискам приливали по 80 мл дистиллированной воды. В течение 24 ч происходил выход электролитов, после этого проводили определение электропроводности с помощью кондуктометра ОК-104 (Radelkis, Венгрия) с платиновым электродом. Для полного выхода электролитов раствор с растительным материалом доводили до кипения и выдерживали в течение 2 мин. Уровень выхода электролитов рассчитывали в процентах от полного выхода.
Количественное определение продуктов перекисного окисления липидов. Перекисное окисление липидов (ПОЛ) оценивали по содержанию диеновых конъюгатов (ДК) [13]. Измерение оптической плотности проводили на СФ-2000 (ОКБ Спектр, Россия) при 203 нм. Количество ДК в растительном материале выражали в М/г сухого веса.
Получение и очистка вакуолей и вакуолярных мембран. Выделение вакуолей и вакуолярных мембран (тонопласта) проводили модифицированным макрообъемным методом, разработанным в лаборатории физиологии растительной клетки Сибирского института физиологии и биохимии растений Сибирского отделения Российской академии наук [14].
Анализ протон-транспортирующей активности Н+-пирофосфатазы тонопласта. Транспортную функцию Н+-пирофосфатазы оценивали по изменению рН везикул тонопласта методом флуоресцентных зондов при длине волны возбуждаемого и испускаемого света 493 и 540 нм, соответственно. В качестве флуоресцентного зонда использовали акридиновый оранжевый (АО). Инкубационная смесь общим объемом 2.5 мл включала в себя 0.28 М маннита, 50 мМ КСl, 20 мМ Трис/Mes (рН 7.4), 3 мМ MgCl2·6H2O, 5 мкМ АО, суспензию везикул тонопласта (50–70 мкг мембранного белка). К инкубационной смеси приливали раствор, содержащий различные концентрации Pb2+ от 0.1 мкМ до 2 мМ. Реакцию переноса Н+ внутрь везикул тонопласта запускали добавлением 3 мМ K4P2O7. Регистрацию изменений разности поглощений АО проводили на спектрофлуориметре RF-5301 PC (Shimadzu, Япония). Концентрацию белка в суспензии везикул тонопласта определяли методом Brеdford [15].
Изучение гидролитической активности Н+-пирофосфатазы тонопласта. Для определения гидролитической активности Н+-пирофосфатазы в пробирки объемом 2 мл последовательно вносили инкубационную среду, содержащую 30 мМ Трис/Mes, 3 мМ MgSO4∙7H2O, 70 мМ KCl, 0.5 мМ молибдата аммония, суспензию изолированных вакуолей и раствор, содержащий различные концентрации Pb2+. В качестве субстрата использовали 3 мМ K4P2O7. После этого пробы инкубировали при 37oС в течение 30 мин. Реакцию гидролиза субстрата останавливали 7% ТХУ с последующим встряхиванием в течение 15 мин до полного разрушения вакуолей. Содержимое пробирок центрифугировали на микроцентрифуге 5417 R (Eppendorf, США) при 1200 g в течение 2 мин. В надосадочной жидкости определяли количество образовавшегося неорганического фосфата по методике Скулачева [16]. По содержанию неорганического фосфата оценивали активность фермента. Чтобы исключить примесь “нереакционного” фосфата использовали соответствующие контроли. При определении активности Н+-пирофосфатазы все значения опыта делили на два, поскольку при гидролизе пирофосфата образуются две молекулы ортофосфата [17]. В экспериментах по определению гидролитической и транспортной активности Н+-пирофосфатазы в качестве ингибитора использовали KF·2H2O (50 мМ).
Идентификация и анализ содержания жирных кислот (ЖК) тонопласта. Для анализа состава ЖК кусочки ткани корнеплодов размером 1 см3 замачивали в растворе, содержащем различные концентрации Pb2+, на 16 ч при комнатной температуре. Из ткани корнеплодов, подвергнутых стрессовому воздействию, выделяли фракцию везикул тонопласта. Экстракцию общих липидов тонопласта проводили модифицированным методом Фолча [18]. Для оценки полноты экстракции липидов (%) использовали нонадекановую кислоту (С19:0) в определенной концентрации. Получение метиловых эфиров ЖК проводили по методу Christie [19]. Анализирование состава метиловых эфиров ЖК тонопласта осуществляли при помощи хромато-масс-спектрометрa Agilent technology 5973N/6890N MSD/DS (Agilent, США). Пики метиловых эфиров ЖК идентифицировали в сравнении со стандартами метиловых эфиров (Sigma, США) и данными библиотеки масс-спектров NIST 05. Относительное содержание ЖК оценивали методом внутренней нормализации в весовых процентах (вес. %) от их общего количества в изучаемом образце с учетом коэффициента отклика ЖК. Для определения степени ненасыщенности липидов применяли индекс двойной связи (ИДС) [26]:
ИДС = ΣPjnj /100, (1)
где Pj – содержание ЖК (вес. %); nj – количество двойных связей в каждой ненасыщенной ЖК.
Активность ацил-липидных мембранных ω9-, ω6- и ω3-десатураз, отвечающих за введение двойных связей в углеводородные цепи олеиновой (С18:1(n-9)), линолевой (С18:2(n-6)) и α-линоленовой (С18:3(n-3)) ЖК, рассчитывали как стеароил- (SDR), олеоил- (ODR) и линолеил- (LDR) десатуразные отношения по формулам [20]:
SDR = (%С18:1) / (%С18:0 + %С18:1), (2)
ODR = (%C18:2 + %C18:3) /
/ (%C18:1 + %C18:2 + %C18:3), (3)
LDR = (%C18:3) / (%C18:2 + %C18:3). (4)
Статистическая обработка результатов. Эксперименты проводили в 5–7 независимых биологических и 3 аналитических повторностях с последующим расчетом средних значений и их стандартной ошибки количественных значений и медианы с процентилями для процентных значений. Статистическую обработку данных осуществляли методами Манна-Уитни и LSD Фишера. Расчеты выполняли, используя программы SigmaPlot 12.5. и Microsoft Excel. Отличия между данными считали статистически значимыми при P < 0.05.
РЕЗУЛЬТАТЫ
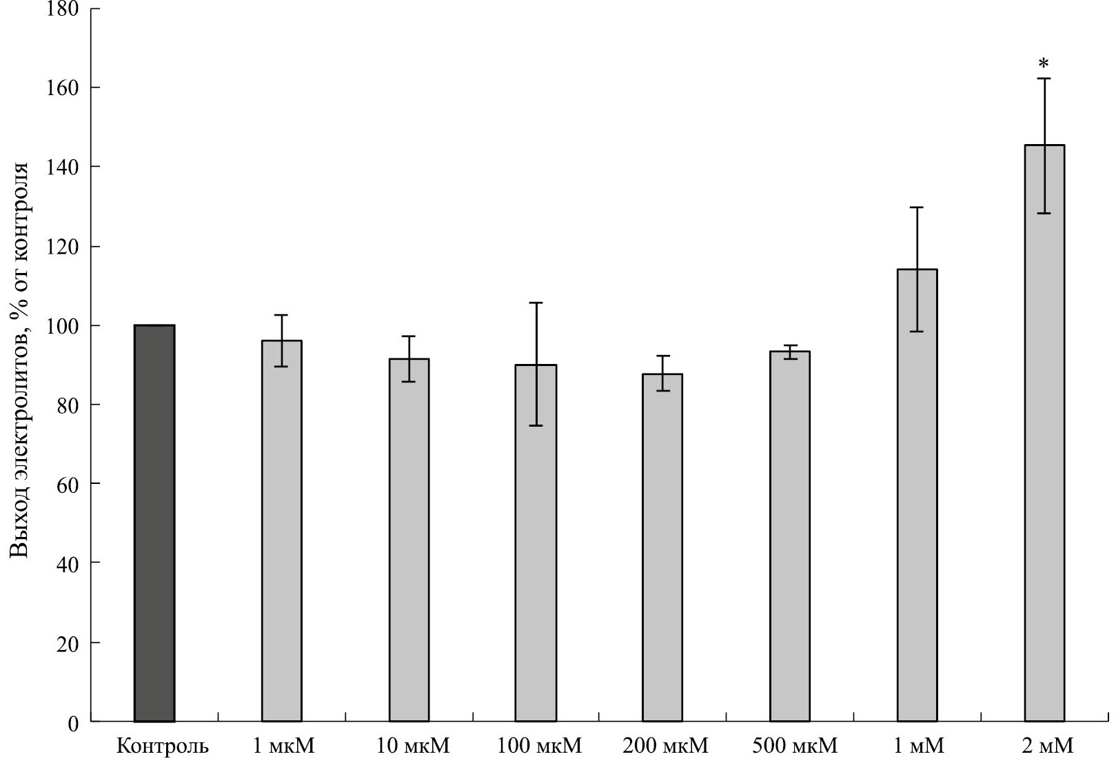
На начальном этапе исследования проводилось изучение условий стресса, вызванного действием Pb2+, по уровню проницаемости клеточных мембран и содержанию первичных продуктов ПОЛ. Как известно, ТМ вызывают развитие окислительного стресса, оказывающего влияние на внутриклеточные структуры, в том числе и на клеточные мембраны [2]. Анализ полученных данных показал, что применение Pb2+ в концентрации до 500 мкМ включительно, не приводило к значимому изменению проницаемости мембран и уровень электролитов оставался в пределах контроля (рис. 1). При повышении концентрации ТМ до 1 мМ наблюдалось незначительное увеличение выхода электролитов из ткани корнеплодов столовой свеклы, в то время как значимые результаты были отмечены при 2 мМ Pb2+, где выход электролитов увеличивался на 45% по сравнению с контролем.
Рис. 1. Влияние различных концентраций Pb2+ на выход электролитов из тканей корнеплодов столовой свеклы в инкубационный раствор. Полный выход электролитов в контроле принят за 100%. Статистическую значимость отличий определяли по методу LSD Фишера. * – различия с контролем достоверны при P < 0.05.
Повреждение клеточных мембран при окислительном стрессе напрямую связано с ПОЛ. Чтобы оценить уровень повреждения липидов проводили определение первичных продуктов ПОЛ – ДК (рис. 2). Содержание ДК оценивали при использовании двух концентраций Pb2+ (1 и 2 мМ), которые, согласно выходу электролитов, приводили к наиболее выраженному повреждению клеточных мембран. В результате было отмечено значимое увеличение количества ДК при использовании 1 и 2 мМ Pb2+ на 19 и 28% соответственно, по сравнению с контрольным вариантом.
Рис. 2. Содержание продуктов перекисного окисления липидов в тканях корнеплодов столовой свеклы в норме (контроль) и в присутствии различных концентраций Pb2+. Статистическую значимость отличий определяли по методу LSD Фишера. * – различия с контролем достоверны при P < 0.05.
Изучение гидролитической активности Н+-пирофосфатазы проводили с применением очищенной фракции вакуолей, выделенной из ткани корнеплодов столовой свеклы. Анализ уровня гидролитической активности этого протонного насоса показал, что применение Pb2+ в концентрациях 0.1, 1, 10 и 100 мкМ приводило к увеличению активности фермента (рис. 3). Интересно отметить, что более ярко выраженное повышение происходило при использовании 1 мкМ Pb2+ – на 23% по сравнению с контролем. Увеличение концентрации Pb2+ оказывало негативное действие на работу фермента приводя к снижению гидролиза субстрата и содержания неорганического пирофосфата. Уровень гидролитической активности Н+-пирофосфатазы при 500 мкМ, 1 и 2 мМ Pb2+ снижался на 11, 13 и 25% соответственно.
Рис. 3. Действие различных концентраций Pb2+ на гидролитическую активность вакуолярной Н+-пирофосфатазы тканей корнеплодов столовой свеклы. В качестве ингибитора использовали KF·2H2O (50 мМ). Активность в контрольном варианте принята за 100%. * – значимость различий рассчитана с помощью U-критерия Манна-Уитни (различия с контролем достоверны при P < 0.05).
Определение Н+-транспортирующей активности Н+-пирофосфатазы проводили во фракции везикул тонопласта тканей корнеплодов столовой свеклы. Анализ полученных данных показал, что применение концентраций Pb2+ до 1 мМ не оказывало заметного влияния на пирофосфат-зависимый транспорт Н+, за исключением небольшого увеличения при 0.1 мкМ (рис. 4). Применение Pb2+ в концентрации 1 мМ значимо повышало активность Н+-пирофосфатазы на 23.8% по сравнению с контролем.
Рис. 4. Действие различных концентраций Pb2+ на транспортную активность Н+-пирофосфатазы в везикулах тонопласта изолированных из тканей корнеплодов столовой свеклы. В качестве ингибитора использовали KF·2H2O (50 мМ). Активность в контрольном варианте принята за 100%. * – значимость различий рассчитана с помощью U-критерия Манна-Уитни (различия с контролем достоверны при P < 0.05).
Известно, что активность мембраносвязанных ферментов зависит от липидов, которые их окружают [4, 21]. Липидная регуляция мембранных ферментов осуществляется посредством изменения физических свойств бислоя или пограничного слоя фосфолипидов, непосредственно окружающих молекулу интегральных белков, что приводит к перестройке их конформации и сказывается на активности. Состав мембранных липидов может изменяться в ответ на действие ТМ [22]. В связи с этим анализировали качественный и количественный состав ЖК липидов тонопласта в условиях стресса, вызванного действием Pb2+ (табл. 1.). В эксперименте применяли две концентрации ТМ ‒ 1 мМ и 2 мМ. Согласно полученным данным, наблюдалось изменение состава и количества ЖК. В присутствии 1 мМ Pb2+ сумма ЖК значимо не изменялась, однако наблюдалось снижение в содержании пентадекановой (С15:0), маргариновой (С17:0) и линолевой (С18:2(n-6)) ЖК. Отмечалось значимое повышение в содержании олеиновой (С18:1(n-9)) ЖК с 19.3% в контроле до 27.5% в присутствии 1 мМ Pb2+. Кроме того, среди ненасыщенных ЖК содержание олеиновой (С18:1(n-9)) кислоты преобладало в отличии от контрольного варианта, где преимущественное место занимала линолевая (С18:2(n-6)) кислота. В ряду насыщенных ЖК преобладала пальмитиновая (С16:0) кислота, ее содержание также увеличивалось по сравнению с контролем с 31.7 до 35.8%. Оценка ИДС ЖК липидов тонопласта показала снижение этого значения с 1.11 в контроле до 0.89 в присутствии Pb2+. В целом наблюдалось увеличение суммы насыщенных ЖК (ΣНЖК) с 36.2% в контроле до 41.2% в ответ на действие Pb2+, в то время как сумма ненасыщенных ЖК (ΣННЖК) наоборот снижалась с 63.8% до 58.8%. Помимо этого, в ответ на действие 1 мМ Pb2+ отмечалось значимое снижение показателя ODR с 0.69 в контроле до 0.49. Существенных изменений в показателях SDR и LDR не отмечалось.
Таблица 1. Содержание жирных кислот липидов вакуолярной мембраны тканей корнеплодов столовой свеклы после воздействия различных концентраций ионов свинца
Жирные кислоты | Контроль | 1 мМ Pb2+ | 2 мМ Pb2+ | |||
мкг/мг общих липидов | % от ΣЖК | мкг/мг общих липидов | % от ΣЖК | мкг/мг общих липидов | % от ΣЖК | |
Миристиновая, C14:0 | 1.30 ± 0.23 | 0.48 [0.46; 0.6] | 1.03 ± 0.04 | 0.44 [0.43; 0.47] | 0.49 ± 0.06* | 0.17 [0.15; 0.17]* |
Пентадекановая, C15:0 | 3.28 ± 0.12 | 1.38 [1.33; 1.46] | 2.86 ± 0.09* | 1.18 [1.17; 1.3] | 2.8 ± 0.2* | 1.06 [1.04; 1.06]* |
Пальмитиновая, C16:0 | 78.16 ± 6.85 | 31.74 [30.67; 34.8] | 86.54 ± 3.12 | 35.82 [35.12; 39.92] | 81.65 ± 4.48 | 29.78 [29.67; 29.78] |
Пальмитолеиновая, C16:1(n-9) | – | - | 1.51 ± 0.26 | 0.62 [0.57; 0.71] | 2.46 ± 0.29 | 1.03 [0.84; 1.03] |
Пальмитолеиновая, C16:1(n-7) | 1.72 ± 0.03 | 0.73 [0.72; 0.74] | – | – | 1.21 ± 0.11* | 0.5 [0.44; 0.51]* |
Маргариновая, C17:0 | 0.66 ± 0.10 | 0.24 [0.24; 0.3] | 0.53 ± 0.02* | 0.23 [0.23; 0.23] | 0.48 ± 0.02* | 0.18 [0.17; 0.18] |
Стеариновая, C18:0 | 5.40 ± 0.73 | 2.25 [2.03; 2.52] | 4.01 ± 0.35 | 1.77 [1.62; 1.77] | 3.42 ± 0.36* | 1.29 [1.24; 1.35]* |
Олеиновая, C18:1(n-9) | 42.49 ± 3.89 | 19.27 [17.21; 19.38] | 64.88 ± 1.11* | 27.47 [27.32; 29.1]* | 48.69 ± 4.85 | 18.25 [18.23; 18.48] |
Цис-вакценовая, C18:1(n-7) | 4.77 ± 0.38 | 1.87 [1.83; 2.14] | 4.99 ± 0.47 | 2.14 [2.06; 2.27] | 5.44 ± 0.4 | 1.79 [1.75; 1.79] |
C18:1(n-5) | 1.99 ± 0.15 | 0.81 [0.78; 0.9 | – | – | – | – |
Линолевая, C18:2(n-6) | 88.50 ± 6.48 | 39.51 [35.37; 40.8] | 48.9 ± 11.38* | 24.3 [18.49; 25.19]* | 96.19 ± 14.03 | 37.57 [34.8; 37.95] |
C18:2(n-4) | – | – | 1.74 ± 0.13 | 0.74 [0.71; 0.74] | 6.27 ± 0.73 | 2.33 [2.31; 2.4] |
Линоленовая, C18:3(n-3) | 7.67 ± 1.19 | 3.18 [2.81; 3.65] | 5.59 ± 0.77 | 2.57 [2.27; 2.65] | 8.56 ± 1.27 | 3.28 [3.06; 3.38] |
Арахиновая, С20:0 | – | – | 0.31 ± 0.02 | 0.13 [0.13; 0.13] | 0.6 ± 0.06 | 0.19 [0.19; 0.19] |
Эйкозеновая, C20:1(n-9) | – | – | 1.52 ± 0.08 | 0.62 [0.61; 0.71] | 1.47 ± 0.09 | 0.55 [0.53; 0.55] |
Бегеновая, C22:0 | – | – | 1.47 ± 0.14 | 0.57 [0.56; 0.7] | 1.61 ± 0.18 | 0.66 [0.59; 0.66] |
C22:1(n-11) | – | – | 0.94 ± 0.05 | 0.39 [0.38; 0.43] | 1.14 ± 0.16 | 0.42 [0.4; 0.45] |
Трикозановая, C23:0 | – | – | 1.94 ± 0.14 | 0.82 [0.76; 0.94] | 2.07 ± 0.06 | 0.73 [0.73; 0.73] |
ΣЖК | 235.95 ± 3.80 | 100 [100; 100] | 228.76 ± 10.35 | 100 [100; 100] | 264.56 ± 25.72 | 100 [100; 100] |
ΣНЖК | 88.8 ± 7.80 | 36.2 [34.86; 39.6] | 98.68 ± 3.22 | 41.21 [40.17; 45.57] | 93.13 ± 5.06 | 33.97 [33.82; 33.97] |
ΣННЖК | 147.14 ± 5.48 | 63.8 [60.4; 65.14] | 130.08 ± 13.09 | 58.79 [54.43; 59.83] | 171.43 ± 20.68 | 66.03 [63.54; 66.18] |
ИДС | 1.11 [1.03; 1.12] | 0.89 [0.78; 0.91] | 1.12 [1.07; 1.13] | |||
SDR | 0.87 [0.87; 0.89] | 0.95 [0.94; 0.95] | 0.93 [0.93; 0.94] | |||
ODR | 0.69 [0.67; 0.72] | 0.49 [0.41; 0.5]* | 0.69 [0.67; 0.69] | |||
LDR | 0.09 [0.07; 0.09] | 0.1 [0.1; 0.11] | 0.08 [0.08; 0.08] | |||
Примечание. n = 3-5. * – различия с контролем достоверны при P < 0.05. Для доказательства наличия значимых различий между средними M ± SE применяли однофакторный дисперсионный анализ с последующим множественным сравнением средних по методу LSD (Least Significant Difference) Фишера – метод группирования выборок с наименьшей значимой разностью. Для доказательства наличия значимых различий между медианами Ме [25%, 75%] использовали H-критерий Краскела–Уоллиса и последующее множественное сравнение медиан проводили по методу Стьюдента–Ньюмена–Кеулса. ΣЖК – сумма жирных кислот, ΣНЖК – сумма насыщенных жирных кислот; ΣННЖК – сумма ненасыщенных жирных кислот. Активность ацил-липидных мембранных ω9-, ω6- и ω3-десатураз, отвечающих за введение двойных связей в углеводородные цепи олеиновой (С18:1(n-9)), линолевой (С18:2(n-6)) и α-линоленовой (С18:3(n-3)) ЖК, рассчитывали как стеароил- (SDR), олеоил- (ODR) и линолеил- (LDR) десатуразные отношения.
В условиях стресса, вызванного действием 2 мМ Pb2+, преобладающее значение занимали ненасыщенные ЖК. Наблюдалось значимое снижение в содержании насыщенных ЖК таких как, миристиновая (С14:0), пентадекановая (С15:0), маргариновая (С17:0) и стеариновая (С18:0) ЖК. Среди ненасыщенных ЖК значимое снижение отмечалось в содержании пальмитолеиновой кислоты (С16:1(n-7)). Как и в контроле больший вклад в сумму насыщенных ЖК вносила пальмитиновая кислота (С16:0), а в сумму ненасыщенных – линолевая кислота (С18:2(n-6)). Значимых изменений в показателях ODR, SDR и LDR не отмечалось.
По сравнению с контрольным вариантом в ответ на стрессовое воздействие Pb2+, в обеих применяемых концентрациях, наблюдалось отсутствие С18:(n-5) кислоты. В то время как, другая кислота (С16:1(n-9)) была отмечена только в условиях стресса.
ОБСУЖДЕНИЕ
Для того, чтобы оценить условия стресса вызванного ионами свинца, на начальном этапе работы, проводилось изучение токсического действия исследуемого металла на ткани корнеплодов столовой свеклы (рис. 1). Согласно полученным результатам по выходу электролитов в инкубационный раствор достоверно значимые изменения отмечались при использовании высоких концентраций Pb2+ 1 мМ и 2 мМ, в то время как микромолярные концентрации не оказывали существенного влияния на проницаемость клеточных мембран. По-видимому, это может быть связано с высоким сродством Pb2+ с компонентами клеточной стенки, что приводит к его меньшей подвижности по сравнению с другими ТМ [23]. Этот факт, возможно, объясняет почему Pb2+ в концентрации до 1 мМ менее токсичны для растительных клеток, чем, например, кадмий [24]. Тем не менее, Pb относится к ТМ, которые даже в низких концентрациях оказывает сильное воздействие на протекание клеточных процессов [25]. В связи с этим, наблюдаемое увеличение проницаемости клеточных мембран может быть вызвано токсическим действием Pb2+, приводящим к образованию пор. Как уже было показано, в стрессовых условиях поры могут значительно повысить проницаемость мембраны для ионов [26]. Увеличение выхода электролитов в присутствии свинца было показано и другими исследователями [27, 28].
Как известно, в аэробных организмах повышенная генерация АФК и, как следствие, развитие окислительного стресса являются одними из наиболее известных и ранних аспектов токсичности свинца [2]. За счет опосредованной генерации АФК свинец индуцирует ПОЛ, тем самым влияя на клеточные мембраны. Поскольку повышение проницаемости клеточных мембран отмечалось при использовании Pb2+ в концентрации 1 мМ и 2 мМ, то и оценку ПОЛ проводили в этих концентрациях. В результате нашего исследования, в ответ на действие Pb2+ в обеих концентрациях отмечалось увеличение содержания ДК – первичных продуктов ПОЛ (рис. 2). Анализ полученных данных указывает на негативное действие используемых концентраций Pb2+ на липидную составляющую тканей корнеплодов столовой свеклы, что в свою очередь может приводить к изменению функциональных свойств клеточных мембран, в том числе и тонопласта.
Выявленное увеличение проницаемости клеточных мембран и продуктов ПОЛ в тканях корнеплодов столовой свеклы в ответ на действие Pb2+ говорит о развитии окислительного стресса, который в свою очередь может оказывать влияние на протекание внутриклеточных процессов. На субклеточном уровне, изоляция ионов ТМ, в том числе и Pb2+, внутри вакуоли, помогает защитить растительную клетку от их токсического воздействия [3]. В этом процессе принимают активное участие белки-переносчики, работа которых осуществляется за счет электрохимического градиента, генерируемого протонными помпами Н+-АТФазой и Н+-пирофосфатазой. Согласно литературным данным до сих пор очень мало информации о функционировании и регуляции протонных помп в растениях при стрессе, вызванным Pb2+. Особенно это касается Н+-пирофосфатазы тонопласта. В нашем исследовании проводилось изучение работы Н+-пирофосфатазы в условиях стресса, вызванного действием различных концентраций Pb2+. Как было показано другими исследователями в условиях абиотического стресса Н+-пирофосфатаза может выступать в роли альтернативного источника энергии [29].
ТМ могут модулировать активность мембраносвязанных ферментов разными путями. Один из путей связан с прямым действием ТМ на работу фермента. В работе по изучению активности АТФазы плазмалеммы были объяснены некоторые механизмы прямого действия ТМ. К ним относятся образование ТМ комплексов с субстратом, взаимодействие с функциональными лигандами фермента и связывание ТМ с мембранными фосфолипидами [30]. В нашем исследовании оценивали прямое действие Pb2+ на активность Н+-пирофосфатазы внесением этого металла в среду инкубации. Изучение гидролитической и транспортной активности Н+-пирофосфатазы показало разный характер действия Pb2+ (рис. 3, 4). Достоверно значимое увеличение гидролитической активности изучаемого фермента в концентрациях до 100 мкМ включительно свидетельствует о непосредственном участии Н+-пирофосфатазы в защите растительной клетки от токсического действия Pb2+. Однако последующее повышение концентрации металла подавляло гидролитическую активность Н+-пирофосфатазы, что, возможно, связано с непосредственным влиянием ионов Pb на каталитическую часть фермента. Как известно, Pb2+ могут связываться с SH-группами белков, которые необходимы для реакционного центра ферментов и стабилизации их третичной структуры [31], приводя, таким образом, к блокированию активности фермента и нарушению конформации белка. Это препятствует связыванию с субстратом, что мешает переходу фермента к стадии гидролиза субстрата. Кроме того, можно предположить, что Pb2+ способны замещать Mg2+ в структуре фермента, которые выступают в роли посредников при взаимодействии субстрата с аминокислотными остатками (Асп или Асн) [32], что также оказывает влияние на гидролиз субстрата.
Согласно одной из теорий, во время ферментативной реакции гидролиз пирофосфата и активная транслокация протонов механически связаны. Как известно, остатки аспарагиновой и глутаминовой кислот в TM6 (трансмембранной спирали) участвуют в принятии, перемещении и высвобождении протонов. Остатки лизина в TM16 выталкивают протоны, захваченные глутаматным остатком TM6, в просвет вакуоли, что сопровождается небольшим сдвигом TM16 [33]. Выявленное нарушение процесса гидролиза субстрата в присутствии высоких концентраций ионов Pb может приводить к снижению транспортной активности Н+-пирофосфатазы.
В результате мы показали, что действие Pb2+ на гидролиз субстрата зависит от его концентрации в инкубационной среде, однако такая зависимость не подтверждалась для транспорта Н+ в везикулы тонопласта.
Анализ полученных данных по изучению транспортной активности Н+-пирофосфатазы в присутствии Pb2+ показал иной характер воздействия (рис. 4). При использовании низких концентраций металла (0.1 мкМ) происходило пирофосфат-зависимое усиление транспорта Н+. Совместно с увеличением гидролиза субстрата эти результаты указывают на то, что Н+-пирофосфатаза задействована в процессах транспорта Pb2+ в вакуоль. Последующее повышение концентрации Pb2+ в инкубационной среде до 100 мкМ не оказывало стимулирующего действия на активность пирофосфат-зависимого фермента. Наблюдалось некоторое разобщение в уровнях гидролитической и транспортной активности, что может являться одним из механизмов регуляции активности Н+-пирофосфатазы. Разный характер действия ТМ на гидролитическую и транспортную функцию Н+-пирофосфатазы прослеживается и в работах других исследователей [8]. Авторы показали, что Zn2+ и Ni2+ в концентрации 100 мкМ не оказывают существенного влияния на гидролитическую активность вакуолярной Н+-пирофосфатазы корней огурца, однако влияют на транспортную активность фермента снижая пирофосфат-зависимый перенос протонов на 30–40%.
Интересно отметить, что в присутствии 1 мМ Pb2+ происходило значимое повышение транспортной активности Н+-пирофосфатазы, в то время как гидролиз субстрата был снижен. Наблюдаемый эффект может быть связан с перестройкой в структуре вакуолярной мембраны, приводя к изменению в липидном окружении фермента, которое было вызвано ПОЛ инициированное Pb2+. Таким образом, это позволяет Н+-пирофосфатазе обеспечивать поддержание электрохимического градиента, необходимого для работы белков переносчиков, изолирующих высокие концентрации Pb2+ в вакуоль. Концентрации свыше 1 мМ приводили к снижению как гидролиза субстрата, так и транспорта Н+ внутрь везикул тонопласта, вызванные, по-видимому, необратимыми изменениями в ответ на стрессовое воздействие Pb2+.
Как было показано ранее, по сравнению с действием Pb2+, ионы Cd не оказывали какого-либо существенного действия на вакуолярную Н+-пирофосфатазу [34]. Тот факт, что Н+-пирофосфатаза тонопласта неодинаково реагирует на действие этих ТМ, свидетельствует о разном уровне чувствительности этого фермента в зависимости от применяемого металла и его концентрации.
Как известно, в ответ на стрессовое воздействие, вызванное ТМ, происходят изменения в составе мембранных липидов [2, 22], которые могут оказывать косвенное действие на работу Н+-пирофосфатазы. ЖК составляют основную часть липидов. Многими исследователями были показаны различия в составе ЖК у разных видов растений в зависимости от изучаемого металла [34, 35]. Для того, чтобы оценить изменения в липидной составляющей вакуолярной мембраны в ответ на стрессовое воздействие Pb2+, было проведено изучение состава ЖК. Анализ полученных данных показал, что в присутствии 1 мМ Pb2+ происходила перестройка липидов вакуолярной мембраны за счет изменения качественного и количественного состава ЖК. Как известно, в условиях абиотического стресса происходит активация ферментов, участвующих в мобилизации ненасыщенных ЖК для ремоделирования липидов клеточных мембран. Ремоделирование глицеролипид-ацилов – это процесс, при котором одна или обе ЖК заменяются, образуя промежуточный продукт – лизофосфолипид. Последние, в свою очередь, могут быть реацилированы лизофосфолипидацилтрансферазами с образованием фосфолипидов с различными ЖК. Это процесс играет важною роль в удалении окисленных или поврежденных ацильных цепей, секвестрации цитотоксических ЖК и высвобождении сигнальных липидов, а также в реакциях на стресс [36].
В результате, согласно нашим данным, отмечалась тенденция к увеличению насыщенности жирнокислотного состава, что может приводить к увеличению жесткости вакуолярной мембраны. Такие изменения, вероятно, необходимы для поддержания физико-химических свойств мембраны, что может выступать в роли механизма адаптации на стрессовые условия, вызванные Pb2+. Изменения в составе ЖК в ответ на действие Pb2+, приводящие к увеличению степени насыщенности, были отмечены и другими исследователями [2–4]. Такое же повышение насыщенности ЖК прослеживалось и при действии Cd2+ и Ni2+ [37, 38].
Несмотря на то, что общее содержание насыщенных ЖК повышалось, в составе отдельных ЖК было отмечено увеличение содержание ненасыщенной олеиновой (С18:1(n-9)) ЖК. Известно, что олеиновая кислота, как и другие ненасыщенные С:18 ЖК, принимает непосредственное участие в механизмах защиты от стресса. Эти механизмы связаны с обеспечением поддержания надлежащей текучести мембран, необходимой для множества мембранозависимых процессов, таких как передача Са2+ сигнала, прямое модулирование активности мембаносвязанных белков и т.д. [39].
Ремоделирование состава ненасыщенных С:18 ЖК происходит за счет работы десатуразы, которая катализирует реакции десатурации, встраивая двойные связи в жирную ацильную цепь. Образованные таким образом ненасыщенные ЖК играют жизненно важную роль в синтезе полиненасыщенных ЖК [40]. Анализ стеароил- (SDR), олеоил- (ODR) и линолеил- (LDR) десатуразных отношений позволил провести косвенную оценку активности десатураз ЖК. Согласно нашим данным, было отмечено значимое снижение ODR в присутствии 1 мМ Pb2+, что говорит о снижении активности ω6-десатуразы. Этот факт согласуется с увеличением содержания олеиновой кислоты. Значимых изменений в показателях SDR и LDR не было отмечено показывая, таким образом, что активность ω9- и ω3-десатураз оставалась на уровне контроля. Вероятно, процесс ремоделирования липидов вакуолярной мембраны, в данном случае, идет по другому пути, без участия ω3-, ω6-, ω9- десатураз.
Кроме того, интересно отметить, что некоторые ЖК (табл. 1) были обнаружены только в ответ на действие Pb2+, что может выступать в роли одного из защитных механизмов вакуолярной мембраны к стрессу, вызванному металлом. Подобные изменения, но в составе ЖК общих липидов Arabidopsis lyrata были отмечены в ответ на действие Ni2+ и Zn2+ [35].
В случае применения 2 мМ Pb2+ достаточно значимых отличий в сторону увеличения насыщенности или ненасыщенности ЖК не происходило, показатели ΣНЖК, ΣННЖК и ИДС оставались на уровне контроля. В связи с этим можно предположить, что применяемая концентрация достаточно высока и вакуолярная мембрана не в состоянии справиться с выработкой защитных механизмов в ответ на действие стрессового фактора. По-видимому, Pb2+ в этом случае могли оказывать влияние на работу мембраносвязанных ферментов, участвующих в ремоделировании жирнокислотного состава.
Таким образом, в результате проведенного исследования было установлено, что Pb2+ в концентрации 1 мМ и 2 мМ вызывают изменения структуры клеточных мембран корнеплодов столовой свеклы, приводя к увеличению их проницаемости и ПОЛ. Вакуолярная Н+-пирофосфатаза принимает активное участие в защите растительной клетки от стресса, вызванного действием Pb2+ в концентрации от 0.1 до 100 мкМ. На уровне вакуолярной мембраны в ответ на действие 1 мМ Pb2+ происходит перестройка жирнокислотного состава общих липидов. Выявленные изменения могут выступать в роли механизма адаптации тонопласта в ответ на токсичное воздействие Pb2+.
Исследование выполнено за счет средств гранта Российского научного фонда № 23-26-00208 (https://rscf.ru/project/23-26-00208/) на оборудовании Центра коллективного пользования “Биоаналитика” Сибирского института физиологии и биохимии растений Сибирского отделения Российской академии наук (г. Иркутск).
Настоящая статья не содержит каких-либо исследований с участием людей в качестве объектов исследований. Авторы декларируют отсутствие явных и потенциальных конфликтов интересов, связанных с публикацией настоящей статьи.
About the authors
Е. В. Спиридонова
Федеральное государственное бюджетное учреждение науки Сибирский институт физиологии и биохимии растений Сибирского отделения Российской академии наук
Email: nirinka24@mail.ru
Russian Federation, Иркутск
В. В. Гурина
Федеральное государственное бюджетное учреждение науки Сибирский институт физиологии и биохимии растений Сибирского отделения Российской академии наук
Email: nirinka24@mail.ru
Russian Federation, Иркутск
Н. В. Озолина
Федеральное государственное бюджетное учреждение науки Сибирский институт физиологии и биохимии растений Сибирского отделения Российской академии наук
Email: nirinka24@mail.ru
Russian Federation, Иркутск
И. С. Капустина
Федеральное государственное бюджетное учреждение науки Сибирский институт физиологии и биохимии растений Сибирского отделения Российской академии наук
Author for correspondence.
Email: nirinka24@mail.ru
Russian Federation, Иркутск
References
- Титов А.Ф., Казнина Н.М., Карапетян Т.А., Доршакова Н.В. Влияние свинца на живые организмы // Журнал общей биологии. 2020. Т. 81. С. 147. https://doi.org/10.31857/S0044459620020086
- Kobyli´nska A, Bernat P., Posmyk M.M. Melatonin mitigates lead-induced oxidative stress and modifies phospholipid profile in tobacco BY-2 suspension cells // Int. J. Mol. Sci. 2024. V. 25. P. 5064. https://doi.org/10.3390/ijms25105064
- Ejaz U., Khan S.M., Khalid N., Ahmad Z., Jehangir S., Rizvi Z.F., Lho L.H., Han H., Raposo A. Detoxifying the heavy metals: a multipronged study of tolerance strategies against heavy metals toxicity in plants // Front. Plant Sci. 2023. V. 14. P. 1154571. https://doi.org/10.3389/fpls.2023.1154571
- Maeshima M. Tonoplast transporters: organization and function // Annu. Rev. Plant Physiol. Plant Mol. Biol. 2001. V. 52. P. 469. https://doi.org/10.1146/annurev.arplant.52.1.469
- Segami S., Asaoka M., Kinoshita S., Fukuda M., Nakanishi Y., Maeshima M. Biochemical, structural and physiological characteristics of vacuolar H+-pyrophosphatase // Plant Cell Physiol. 2018. V. 59. P. 1300. https://doi.org/10.1093/pcp/pcy054
- Gaxiola R.A., Palmgren M.G., Schumacher K. Plant proton pumps // FEBS Lett. 2007. V. 581. P. 2204. https://doi.org/10.1016/j.febslet.2007.03.050
- Gutiérrez-Luna F.M., Hernandez-Dominguez E.E., Gabriela Valencia-Turcotte L.G., Rodríguez-Sotres R. Pyrophosphate and pyrophosphatases in plants, their involvement in stress responses and their possible relationship to secondary metabolism // Plant Sci. 2018. V. 267. P. 11. https://doi.org/10.1016/j.plantsci.2017.10.016
- Kabała K., Janicka-Russak M., Anklewicz A. Differential regulation of vacuolar H+-ATPase and H+-PPase in Cucumis sativus roots by zinc and nickel // Plant Sci. 2011. V. 180. P. 531. https://doi.org/10.1016/j.plantsci.2010.11.013
- Kabała K., Janicka-Russak M., Anklewicz A. Mechanism of Cd and Cu action on the tonoplast proton pumps in cucumber roots // Physiol. Plant. 2013. V. 147. P. 207. https://doi.org/10.1111/j.1399-3054.2012.01655.x
- Gouiaa S., Khoudi H. Expression of V-PPase proton pump, singly or in combination with a NHX1 transporter, in transgenic tobacco improves copper tolerance and accumulation // Environ. Sci. Pollut. Res. 2019. V. 26. P. 37037. https://doi.org/10.1007/s11356-019-06852-x
- Cao F., Dai H., Hao P.F., Wu F. Silicon regulates the expression of vacuolar H+-pyrophosphatase 1 and decreases cadmium accumulation in rice (Oryza sativa L.) // Chemosphere. 2020. V. 240. P. 124907. https://doi.org/10.1016/j.chemosphere.2019.124907
- Гришенкова Н.Н., Лукаткин А.С. Определение устойчивости растительных тканей к абиотическим стрессам с использованием кондуктометрического метода // Поволжский экологический журнал. 2005. T. 1. С. 3.
- Владимиров Ю.А., Арчаков А.И. Перекисное окисление липидов в биологических мембранах. Москва: Наука, 1972. 252 с.
- Саляев Р.К., Кузеванов В.Я., Хаптагаев С.Б., Копытчук В.Н. Выделение и очистка вакуолей и вакуолярных мембран из клеток растений // Физиология растений. 1981. Т. 28. C. 1295.
- Brеdford D.P. A rapid and sensitive method for the quantitation of protein utilising the principl of protein-dye binding // Anal. Biochem. 1976. V. 72. P. 248. https://doi.org/10.1006/abio.1976.9999
- Скулачев В.П. Соотношение окисления и фосфорилирования в дыхательной цепи. Москва: Наука, 1962. 153 с.
- Прадедова Е.В., Ишеева О.Д., Озолина Н.В., Саляев Р.К. Влияние цАМФ, жасмоновой и салициловой кислот на протонные помпы тонопласта // Доклады Академии наук. 2006. Т. 48. С. 411.
- Folch J., Sloan Stanley G.H., Lees M. A simple method for the isolation and purification of total lipides from animal tissues // J. Biol. Chem. 1957. V. 226. P. 497.
- Christie W.W. Preparation of ester derivatives of fatty acids for chromatographic analysis // Advances in Lipid Methodology. 1993. V. 2. P. 69.
- Nokhsorov V.V., Dudareva L.V., Petrov K.A. Seasonal dynamics of lipids and their fatty acids in leaf buds of Betula pendula Roth and Alnus alnobetula subsp. fruticosa (Rupr.) Raus under conditions of the cryolithozone // Russ. J. Plant Physiol. 2020. V. 67. P. 545. https://doi.org/10.31857/S0015330320030185
- Лось Д.А. Восприятие стрессовых сигналов биологическими мембранами // Проблемы регуляции в биологических системах. Биофизические аспекты / Под ред. А.Б. Рубина. М.-Ижевск: НИЦ “Регуляторная и хаотичная динамика”, Институт компьютерных исследований, 2007. 329 с.
- Devi S.R., Prasad M.N.V. Membrane lipid alterations in heavy metal exposed plants // Heavy metal stress in plants: from molecules to ecosystems / Eds. M.N.V. Prasad, J. Hagemeyer. Springer. 1999. P. 99. https://doi.org/10.1007/978-3-662-07743-6_5
- Wierzbicka M., Przedpełska E., Ruzik R., Ouerdane L., Połe´c-Pawlak K., Jarosz M., Szpunar J., Szakiel A. Comparison of the toxicity and distribution of cadmium and lead in plant cells // Protoplasma. 2007. V. 231. P. 99. https://doi.org/10.1007/s00709-006-0227-6.
- Ivanov V.B., Bystrova E.I., Seregin I.V. Comparative impacts of heavy metals on root growth as related to their specificity and selectivity // Russ. J. Plant Physiol. 2003. V. 50. P. 398. https://doi.org/10.1023/A:1023838707715
- Валиев Р.Ш., Ольшанская Л.Н. Некоторые физиологические аспекты фитоэкстракции тяжелых металлов // Химия и химическая технология. 2016. Т. 59. С. 30.
- Опритов В.А., Пятыгин С.С., Ревитин В.Г. Биоэлектрогенез у высших растений. Москва: Наука, 1991. 216 с.
- Zhang Y., Song Z., Zhao H., Chen H., Zhao B. Integrative physiological, transcriptomic and metabolomic analysis reveals how the roots of two ornamental Hydrangea macrophylla cultivars cope with lead (Pb) toxicity // Sci. Total Environ. 2024. V. 910 P. 168615. https://doi.org/10.1016/j.scitotenv.2023.168615.
- Лукаткин А.С., Старкина М.И. Влияние тидиазурона на устойчивость проростков огурца к стрессовым факторам // Агрохимия. 2011. Т. 10. С. 31.
- Munns R., Day D.A., Fricke W., Watt M., Arsova B., Barkla B.J., Bose J., Byrt C.S., Chen Z.H., Foster K.J., Gilliham M., Henderson S.W., Jenkins C.L.D., Kronzucker H.J., Miklavcic S.J. et al. Energy costs of salt tolerance in crop plants // New Phytol. 2020. V. 225. P. 1072. https://doi.org/10.1111/nph.15864
- Ros R. Morales A., Segura J., Picazo I. In vivo and in vitro effects of nickel and cadmium on the plasmalemma ATPase from rice (Oryza sativa L.) shoots and roots // Plant Sci. 1992. V. 83. P. 1. https://doi.org/0.1016/0168-9452(92)90055-Q
- Seregin I.V., Ivanov V.B. Physiological aspects of cadmium and lead toxic effects on higher plants // Russ. J. Plant Physiol. 2001. V. 48. P. 523. https://doi.org/10.1023/A:1016719901147
- Gordon-Weeks R., Steele S.H., Leigh R.A. The role of magnesium, pyrophosphate and their complexes as substrates and activators of the vacuolar H+-pumping inorganic pyrophosphatase (studies using ligand protection from covalent inhibitors) // Plant Physiol. 1996. V. 111. P. 195. https://doi.org/10.1104/pp.111.1.195
- Li K.M., Wilkinson, C., Kellosalo, J., Tsai, J.Y., Kajander, T., Jeuken, L.J.C., Sun Y.J., Goldman A. Membrane pyrophosphatases from Thermotoga maritima and Vigna radiata suggest a conserved coupling mechanism // Nat. Commun. 2016. V. 7. P. 13596. https://doi.org/10.1093/pcp/pcy054
- Spiridonova E.V., Ozolina N.V., Nesterkina I.S., Gurina V.V., Nurminsky V.N., Donskaya L.I., Tretyakova A.V. Effect of cadmium on the roots of beetroot (Beta vulgaris L.) // Int. J. Phytoremediation. 2019. V. 21. P. 980. https://doi.org/10.1080/15226514.2019.1583722
- Seregin I., Ivanova T., Voronkov A.S., Kozhevnikova A.D., Schat H. Zinc- and nickel-induced changes in fatty acid profiles in the zinc hyperaccumulator Arabidopsis halleri and non-accumulator Arabidopsis lyrate // Plant Physiol. Biochem. 2023. V. 197. P. 107640. https://doi.org/ 10.1016/j.plaphy.2023.107640.
- Yu L., Zhou C., Fan J., Shanklin J., Xu C. Mechanisms and functions of membrane lipid remodeling in plants // Plant J. 2021. V. 107. P. 37. https://doi.org/10.1111/tpj.15273
- Popova L.P., Maslenkova L.T., Yordanova R.Y., Ivanova, A.P., Krantev A.P., Szalai G., Janda T. Exogenous treatment with salicylic acid attenuates cadmium toxicity in pea seedlings // Plant Physiol. Biochem. 2009. V. 47. P. 224. https://doi.org/10.1016/j.plaphy.2008.11.007
- Gajewska E., Bernat P., Dlugo´nski J., Sklodowska M. Effect of nickel on membrane integrity, lipid peroxidation and fatty acid composition in wheat seedlings // J. Agron. Crop Sci. 2012. V. 198. P. 286. https://doi.org/10.1111/J.1439-037X.2012.00514.X
- He M., Ding N.Z. Plant unsaturated fatty acids: multiple roles in stress response // Front. Plant Sci. 2020. V. 11. P. 562785. https://doi.org/10.3389/fpls.2020.562785
- Halim N.F.A.A., Ali M.S.M., Leow A.T.C., Rahman R.N.Z.R.A. Membrane fatty acid desaturase: biosynthesis, mechanism, and architecture // Appl. Microbiol. Biotechnol. 2022. V. 106. P. 5957. https://doi.org/10.1007/s00253-022-12142-3
Supplementary files






