Влияние вирусной инфекции на кокколитофориду Emiliania huxleyi при разном уровне биогенных элементов в среде
- Авторы: Стельмах Л.В.1, Сагадатова Р.Р.1, Алатарцева О.С.1
-
Учреждения:
- Федеральное государственное бюджетное учреждение науки Федеральный исследовательский центр “Институт биологии южный морей им. А.О. Ковалевского Российской академии наук”
- Выпуск: Том 71, № 6 (2024)
- Страницы: 785-794
- Раздел: ЭКСПЕРИМЕНТАЛЬНЫЕ СТАТЬИ
- URL: https://journal-vniispk.ru/0015-3303/article/view/272107
- DOI: https://doi.org/10.31857/S0015330324060112
- EDN: https://elibrary.ru/LWBPTS
- ID: 272107
Цитировать
Аннотация
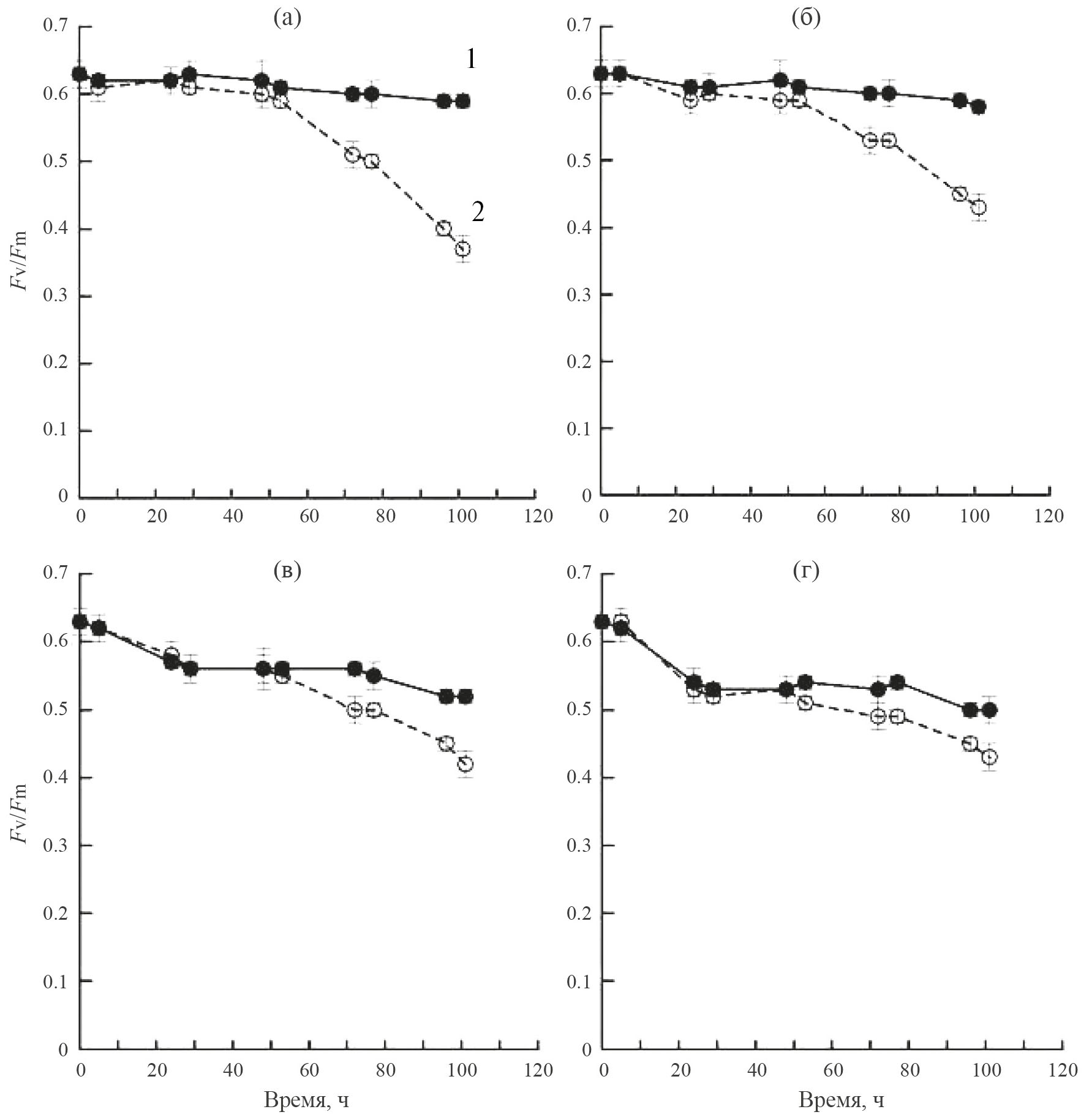
Кокколитофорида Emiliania huxleyi была выделена в клоновую культуру из планктона прибрежных вод Черного моря в феврале 2023 г. Штамм альговируса EhV-SS2, поражающий этот вид водорослей, изолирован из прибрежных вод в мае 2023 г. С помощью сканирующей электронной микроскопии показано, что вирусные частицы имели форму икосаэдра диаметром 124–174 нм. Выявлено наличие суперкапсида у данного штамма и определен его титр (2.5×105 вирионов/мл). Исследовано влияние альговируса на рост и эффективность работы ФС II (Fv/Fm) E. huxleyi при различном уровне биогенных элементов в среде. На протяжении латентного периода альговируса (0–101 ч) отмечено снижение отношения Fv/Fm водорослей относительно его значений в контроле. В интервале времени с 101 по 168 ч в культуре появились первые лизированные вирусом клетки, выявленные с помощью световой и сканирующей электронной микроскопии. В течение периода с 168 по 264 ч процесс лизиса усилился, а его скорость на полной среде f/2 была в пять раза выше, чем при дефиците азота или фосфора. Скорость лизиса клеток на морской воде, лишенной питательных элементов, была в два раза ниже, чем на полной среде. К концу эксперимента (через 264 ч) в инфицированной культуре наблюдались функционально активные клетки, как покрытые кокколитами, так и лишенные их. Доля последних на среде f/2 составила 95%, тогда как при дефиците азота и фосфора она была незначительной.
Полный текст
Об авторах
Л. В. Стельмах
Федеральное государственное бюджетное учреждение науки Федеральный исследовательский центр “Институт биологии южный морей им. А.О. Ковалевского Российской академии наук”
Автор, ответственный за переписку.
Email: lustelm@mail.ru
Россия, Севастополь
Р. Р. Сагадатова
Федеральное государственное бюджетное учреждение науки Федеральный исследовательский центр “Институт биологии южный морей им. А.О. Ковалевского Российской академии наук”
Email: lustelm@mail.ru
Россия, Севастополь
О. С. Алатарцева
Федеральное государственное бюджетное учреждение науки Федеральный исследовательский центр “Институт биологии южный морей им. А.О. Ковалевского Российской академии наук”
Email: lustelm@mail.ru
Россия, Севастополь
Список литературы
- Tyrrell T., Merico A. Emiliania huxleyi: bloom observations and the conditions that induce them // Coccolithophores: from molecular processes to global impact / Eds. H.R. Thierstein, J.R. Young. Berlin, Heidelberg: Springer Berlin Heidelberg. 2004. P. 75. https://doi.org/10.1007/978-3-662-06278-4_4
- Mikaelyan A.S., Silkin V.A., Pautova L.A. Coccolithophorids in the Black Sea: their interannual and long-term changes // Russ. Acad. Sci. Oceanol. 2011. V. 51. P. 39. https://doi.org/10.1134/S0001437011010127
- Broecker W., Clark E. Ratio of coccolith CaCO3 to foraminifera CaCO3 in late Holocene deep sea sediments // Paleoceanography. 2009. V. 24. P. PA3205. https://doi.org/10.1029/2009PA001731
- Brown C.W., Yoder J.A. Coccolithophorid blooms in the global ocean // J. Geophys. Res. Oceans. 1994. V. 99. P. 7467. https://doi.org/10.1029/93JC02156
- 5. Taylor A.R., Brownlee C., Wheeler G. Coccolithophore cell biology: chalking up progress // Ann. Rev. Mar. Sci. 2017. V. 9. P. 283. https://doi.org/10.1146/annurev-marine-122414-034032
- Mikaelyan A.S., Pautova L.A., Pogosyan S.I., Sukhanova I.N. Summer bloom of coccolithophorids in the northeastern Black Sea // Oceanology. 2005. V. 45. P. 127.
- Stelmakh L., Gorbunova T. Emiliania huxleyi blooms in the Black Sea: influence of abiotic and biotic factors // Botanica. 2018. V. 24. P. 172. https://doi.org/10.2478/botlit-2018-0017
- Silkin V., Pautova L., Podymov O., Chasovnikov V., Lifanchuk A., Fedorov A., Kluchantseva A. Phytoplankton dynamics and biogeochemistry of the Black Sea // J. Mar. Sci. Eng. 2023. V11. P 1196. https://doi.org/10.3390/jmse11061196
- Bratbak G., Egge J.K, Heldal M. Viral mortality of the marine alga Emiliania huxleyi (Haptophyceae) and termination of algal blooms // Mar. Ecol. Prog. Ser. 1993. V 93. P 39. https://doi.org/10.3354/meps093039
- Brussaard C.P., Kempers R.S., Kop A.J., Riegman R., Heldal M. Virus-like particles in a summer bloom of Emiliania huxleyi in the North Sea // Aquat. Microb. Ecol. 1996. V. 10. P. 105. https://doi.org/10.3354/ame010105
- Brussaard C.P. Viral Control of phytoplankton populations - a review // J. Eukaryot. Microbiol. 2004. V. 51. P. 125. https://doi.org/10.1111/j.1550-7408.2004.tb00537.x
- Wommack K.E., Colwell R.R. Virioplankton: viruses in aquatic ecosystems // Nat. Rev. Mol. Cell Biol. 2000. V. 64. P. 69. https://doi.org/10.1128/MMBR.64.1.69-114.2000
- Mojica K.D., Brussaard C.P. Factors affecting virus dynamics and microbial host-virus interactions in marine environments // FEMS Microbiol. Ecol. 2014. V. 89. P. 495. https://doi.org/10.1111/1574-6941.12343
- Stelmakh L.V., Sagadatova R.R., Alatartseva O.S. The effect of viral infection on the Black Sea microalgae Tetraselmis viridis: the role of nutrients and copper ions // Funct. Plant Biol. 2024. V. 51. P. FP23114. https://doi.org/10.1071/FP23114
- Evans C., Brussaard C.P. Regional variation in lytic and lysogenic viral infection in the Southern Ocean and its contribution to biogeochemical cycling // Appl. Environ. Microbiol. 2012. V. 78. P. 6741. https://doi.org/10.1128/AEM.01388-12
- Clerissi C., Grimsley N., Subirana L., Maria E., Oriol L., Ogata H., Moreau H., Desdevises Y. Prasinovirus distribution in the Northwest Mediterranean Sea is affected by the environment and particularly by phosphate availability // Virology. 2014. V. 466. P. 146. https://doi.org/10.1016/j.virol.2014.07.016
- Mojica K.D., Huisman J., Wilhelm S.W., Brussaard C.P. Latitudinal variation in virus-induced mortality of phytoplankton across the North Atlantic Ocean // ISME J. 2016. V. 10. P. 500. https://doi.org/10.1038/ismej.2015.130
- Slagter H.A., Gerringa L.J., Brussaard C.P. Phytoplankton virus production negatively affected by iron limitation // Front. Environ. Sci. 2016. V. 3. P. 156. https://doi.org/10.3389/fmars.2016.00156
- Maat D.S., Crawfurd K.J., Timmermans K.R., Brussaard C.P. Elevated CO2 and phosphate limitation favor Micromonas pusilla through stimulated growth and reduced viral impact // Appl. Environ. Microbiol. 2014. V. 80. P. 3119. https://doi.org/10.1128/AEM.03639-13
- Maat D.S., Brussaard C.P. Both phosphorus-and nitrogen limitation constrain viral proliferation in marine phytoplankton // Aquat. Microb. Ecol. 2016. V. 77. P. 87. https://doi.org/10.3354/ame01791
- Guillard R., Ryther J. Studies of marine planktonic diatoms: I. Cyclotella Nana Hustedt, and Detonula Confervacea (CLEVE) Gran // J. Can. Microbiol. 1962. V. 8. P. 229. https://doi.org/10.1139/m62-029
- Jarvis B., Wilrich C., Wilrich P-T. Reconsideration of the derivation of Most Probable Numbers, their standard deviations, confidence bounds and rarity values // J. Appl. Microbiol. 2010. V. 109. P. 1660. https://doi.org/10.1111/j.1365-2672.2010.04792.x
- Arsenieff L., Simon N., Rigaut-Jalabert F., Le Gall F., Chaffron S., Corre E., Com E., Bigeard E., Baudoux A-C. First viruses infecting the marine diatom Guinardia delicatula // Front. Microbiol. 2019. V. 9. P. 3235. https://doi.org/10.3389/fmicb.2018.03235
- Bratbak G. Microscope methods for measuring bacterial biovolume: epifluorescence microscopy, scanning electron microscopy, and transmission electron microscopy // Handbook of methods in aquatic microbial ecology / Eds. P.F. Kemp, B.F. Sherr, E.B. Sherr, J.J. Cole. Boca Raton: CRC Press. 1993. P. 309.
- Schroeder D.C., Oke J., Malin G., Wilson W. Coccolithovirus (Phycodnaviridae): characterization of a new large dsDNA algal virus that infects Emiliania huxleyi // Arch Virol. 2002. V. 147. P. 1685. https://doi.org/10.1007/s00705-002-0841-3
- Castberg T., Thyrhaug R., Larsen A., Sandaa R-A., Heldal M., Van Etten J.L., Bratbak G. Isolation and characterization of a virus that infects Emiliania huxleyi (Haptophyta) // J. Phycol. 2002. V. 38. P. 767. https://doi.org/10.1046/j.1529-8817.2002.02015.x
- Vaughn J.M., Balch W.M., Novotny J.F., Vining C.L., Palmer C.D., Drapeau D.T., Booth E., Vaughn Jr. J.M., Kneifel D.M., Bell A.L. Isolation of Emiliania huxleyi viruses from the Gulf of Maine // Aquat. Microb. Ecol. 2010. V. 58. P. 109. https://doi.org/10.3354/ame01375
- Mackinder L.C.M., Worthy C.A., Biggi G., Hall M., Ryan K.R., Varsani A., Harper G.M., Wilson W.H., Brownlee C., Schroeder D.C. A unicellular algal virus, Emiliania huxleyi virus 86, exploits an animal-like infection strategy // J. Gen. Virol. 2009. V. 90. P. 2306. https://doi.org/10.1099/vir.0.011635-0
- Bidle K. D., Haramaty L., Barcelos e Ramos J., Falkowski P. Viral activation and recruitment of metacaspases in the unicellular coccolithophore Emiliania huxleyi // PNAS. 2007. V. 104. P. 6049. https://doi.org/10.1073/pnas.0701240104
- Clasen J.L., Elser J.J. The effect of host Chlorella NC64A carbon: phosphorus ratio on the production of Paramecium bursaria Chlorella Virus-1 // Freshw. Biol. 1995. V. 52. P. 112. https://doi.org/10.1111/j.1365-2427.2006.01677.x
- Wilhelm S.W., Matteson A.R. Freshwater and marine virioplankton: a brief overview of commonalities and differences // Freshw. Biol. 2008. V. 53. P. 1076. https://doi.org/10.1111/j.1365-2427.2008.01980.x
- Nagasaki K., Tomaru Y., Tarutani K., Katanozaka N., Yamanaka S., Tanabe H., Yamaguchi M. Growth characteristics and intraspecies host specificity of a large virus infecting the dinoflagellate Heterocapsa circularisquama // Appl. Environ. Microbiol. 2003. V. 69. P. 2580. https://doi.org/10.1128/AEM.69.5.2580-2586.2003
- Lawrence J.E., Brussaard C.P.D., Suttle C.A. Virus-specific responses of Heterosigma akashiwo to infection // Appl. Environ. Microbiol. 2006. V. 72. P. 7829. https://doi.org/10.1128/AEM.01207-06
- Slagter H.A., Gerringa L.J.A., Brussaard C.P.D. Phytoplankton virus production negatively affected by iron limitation // Front. Environ. Sci. 2016. V. 3. P. 156. https://doi.org/10.3389/fmars.2016.00156
- Jover L.F., Effler T.C., Buchan A., Wilhelm S.W., Weitz J.S. The elemental composition of virus particles: implications for marine biogeochemical cycles // Nat. Rev. Microbiol. 2014. V. 12. P. 519. https://doi.org/10.1038/nrmicro3289
- Redfield A.C., Ketchum B.H., Richards F.A. The composition of seawater: comparative and descriptive oceanography // The sea: ideas and observations on progress in the study of the seas / Ed. N.M Hill. New York, USA: Interscience. 1963. P. 26.
- Wykoff D.D., Davies J.P., Melis A., Grossman A.R. The regulation of photosynthetic electron transport during nutrient deprivation in Chlamydomonas reinhardtii // Plant Physiol. 1998. V. 117. P. 129. https://doi.org/10.1104/pp.117.1.129
- Frada M.J., Rosenwasser S., Ben-Dor S., Shemi A., Sabanay H., Vardi A. Morphological switch to a resistant subpopulation in response to viral infection in the bloom-forming coccolithophore Emiliania huxleyi // PLoS Pathog. 2017. V. 13. P. e1006775. https://doi.org/10.1371/journal. ppat.1006775
Дополнительные файлы







