nm-Test – An Improved Version of the Alpha-Test in Yeast Saccharomyces cerevisiae with a Higher Sensitivity to Genotoxic Factors
- Authors: Stepchenkova E.I.1,2, Andreychuk Y.V.1, Afanasova D.V.2, Zadorsky S.P.1,2, Inge-Vechtomov S.G.1,2
-
Affiliations:
- Vavilov Institute of General Genetics, Saint-Petersburg Branch, Russian Academy of Sciences
- Saint Petersburg State University, Department of Genetics and Biotechnology
- Issue: Vol 59, No 1 (2023)
- Pages: 18-25
- Section: ОБЩАЯ ГЕНЕТИКА
- URL: https://journal-vniispk.ru/0016-6758/article/view/134498
- DOI: https://doi.org/10.31857/S0016675822120128
- EDN: https://elibrary.ru/CLAKAN
- ID: 134498
Cite item
Full Text
Abstract
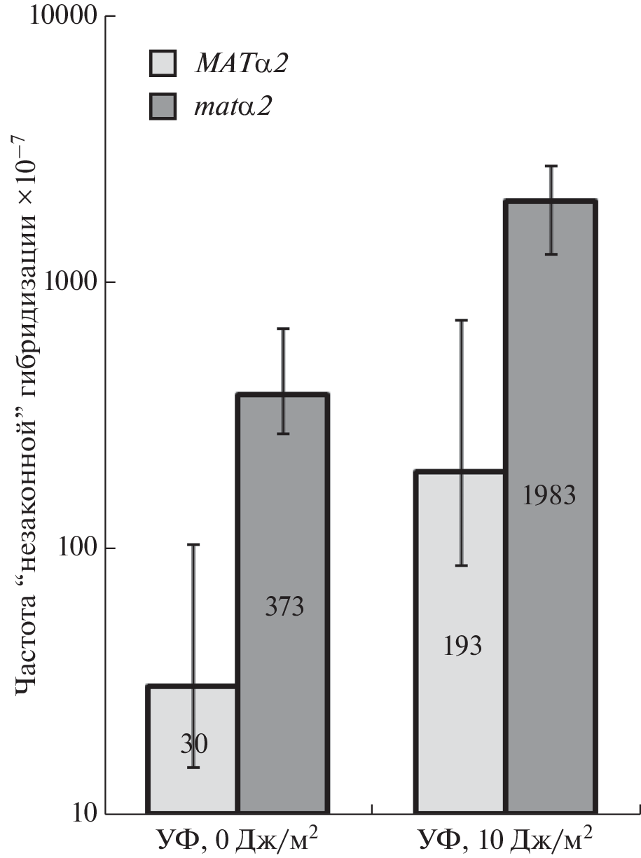
One of the urgent problems of genetic toxicology is the development of new and improvement of existing test systems for the detection and assessment of the level of mutagenic and carcinogenic activity of various factors. A unique position among the known test systems belongs to the alpha test, that is based on the life cycle of the yeast Saccharomyces cerevisiae. Its main difference from existing test systems is the ability to detect a wide range of genetic events, such as gene mutations, conversion, recombination, loss of the right arm and the entire III chromosome, as well as primary lesions to the genetic material before they are eliminated by repair systems. Here, we proposed and tested a genetic modification of tester strains that increased the sensitivity and efficiency of the test system. Our results allowed us to conclude that the proposed modification of the tester strain led to the sensitivity increase of the test system by an order of magnitude.
Keywords
About the authors
E. I. Stepchenkova
Vavilov Institute of General Genetics, Saint-Petersburg Branch, Russian Academy of Sciences; Saint Petersburg State University, Department of Genetics and Biotechnology
Author for correspondence.
Email: stepchenkova@gmail.com
Russia, 199034, Saint-Petersburg; Russia, 199034, Saint Petersburg
Yu. V. Andreychuk
Vavilov Institute of General Genetics, Saint-Petersburg Branch, Russian Academy of Sciences
Email: stepchenkova@gmail.com
Russia, 199034, Saint-Petersburg
D. V. Afanasova
Saint Petersburg State University, Department of Genetics and Biotechnology
Email: stepchenkova@gmail.com
Russia, 199034, Saint Petersburg
S. P. Zadorsky
Vavilov Institute of General Genetics, Saint-Petersburg Branch, Russian Academy of Sciences; Saint Petersburg State University, Department of Genetics and Biotechnology
Email: stepchenkova@gmail.com
Russia, 199034, Saint-Petersburg; Russia, 199034, Saint Petersburg
S. G. Inge-Vechtomov
Vavilov Institute of General Genetics, Saint-Petersburg Branch, Russian Academy of Sciences; Saint Petersburg State University, Department of Genetics and Biotechnology
Email: stepchenkova@gmail.com
Russia, 199034, Saint-Petersburg; Russia, 199034, Saint Petersburg
References
- Inge-Vechtomov S.G., Pavlov Y.I., Noskov V.N. et al. Tests for genetic activity in the yeast Saccharomyces cerevisiae: Study of forward and reverse mutation, mitotic recombination and illegitimate mating induction // Progress in Mutation Research. Evaluation of short-term tests for carcinogens: Report of the International Programme on Chemical Safety’s collaborative study on in vitro assays. Amsterdam: The Netherlands Elsevier, 1985. P. 243–255.
- Инге-Вечтомов С.Г., Репневская М.В., Карпова Т.С. Изучение скрещивания клеток одинакового типа спаривания у дрожжей сахаромицетов // Генетика. 1986. Т. 22. № 11. С. 2625–2636.
- Репневская М.В. Наследуемые и ненаследуемые изменения типа спаривания у дрожжей Saccharomyces cerevisiae: Дис. … канд. биол. наук., Л.: ЛГУ, 1989. 210 с.
- Lemoine F.J., Degtyareva N.P., Lobachev K., Petes T.D. Chromosomal translocations in yeast induced by low levels of DNA polymerase: A model for chromosome fragile sites // Cell. 2005. V. 120. P. 587–598. https://doi.org/10.1134/S000629791101007X
- Kochenova O.V., Soshkina Y.V., Stepchenkova E.I. et al. Participation of translesion synthesis DNA polymerases in the maintenance of the chromosome integrity in yeast Saccharomyces cerevisiae // Biochemistry (Moscow). 2011. V. 76. № 1. P. 49–60. https://doi.org/10.1134/S000629791101007X
- Novoa C.A., Ang J.S., Stirling P.C. The A-like faker assay for measuring yeast chromosome III stability // Methods Mol. Biol. 2018. V. 1672. P. 1–9. https://doi.org/10.1007/978-1-4939-7306-4_1
- Жук А.С., Степченкова Е.И., Инге-Вечтомов С.Г. Выявление модификаций первичной структуры ДНК, возникших под действием аналога азотистых оснований 6-N-гидроксиламинопурина, в альфа-тесте у дрожжей Saccharomyces cerevisiae // Экол. генетика. 2020. Т. 18. № 3. С. 357–367. https://doi.org/10.17816/ecogen34581
- Репневская М.В., Кашкин П.К., Инге-Вечтомов С.Г. Модификационные изменения генетического материала у дрожжей сахаромицетов // Генетика. 1989. Т. 25. № 3. С. 425–436.
- Haber J.E. Mating-type genes and MAT switching in Saccharomyces cerevisiae // Genetics. 2012. V. 191. P. 33–64. https://doi.org/10.1534/genetics.111.134577
- Herskowitz I. Life cycle of the budding yeast Saccharomyces cerevisiae// Microbiol. Reviews. 1989. V. 52. P. 536–553. https://doi.org/10.1128/MR.52.4.536-553.1988
- Siliciano P.G., Tatchell K. Transcription and regulatory signals at the mating-type locus in yeast // Cell. 1984. V. 37. P. 969–978. https://doi.org/10.1016/0092-8674(84)90431-8
- Kassir Y., Simchen G. Regulation of mating and meiosis in yeast by the mating-type region // Genetics. 1976. V. 82. P. 187–206. https://doi.org/10.1093/genetics/82.2.187
- Hagen D.C., Bruhn L., Westby C.A., Sprague G.F. Jr. Transcription of alpha-specific genes in Saccharomyces cerevisiae: DNA sequence requirements for activity of the coregulator alpha 1 // Mol. Cell. Biol. 1993. V. 13. P. 6866–6875. https://doi.org/10.1128/mcb.13.11.6866-6875.1993
- Bruhn L., Sprague G.F. Jr. MCM1 point mutants deficient in expression of alpha-specific genes: Residues important for interaction with alpha 1 // Mol. Cell. Biol. 1994.V. 14. P. 2534–2544. https://doi.org/10.1128/MCB.14.4.2534
- Степченкова Е.И., Коченова О.В., Инге-Вечтомов С.Г. “Незаконная” гибридизация и “незаконная” цитодукция у гетероталличных дрожжей Saccharomyces cerevisiae как система для анализа генетической активности экзогенных и эндогенных факторов в “альфа-тесте” // Вестник Санкт-Петербургского ун-та. Сер. 3. 2009. Вып. 4. С. 129–140.
- Инге-Вечтомов С.Г. Идентификация некоторых групп сцепления у Петергофских генетических линий дрожжей // Генетика. 1971. Т. 7. № 9. С. 113–123.
- Rose M.D., Winston F., Hieter P. Methods in Yeast Genetics. CSHL Press, 1990. 198 c.
- Maron D.M., Ames B.N. Revised methods for the Salmonella mutagenicity test // Mutat. Res. 1983. V. 113. P. 173–215. https://doi.org/10.1016/0165-1161(83)90010-9
- Mortelmans K., Zeiger E. The ames Salmonella/microsome mutagenicity assay // Mutat. Res. 2000. V. 455. P. 29–60. https://doi.org/10.1016/S0027-5107(00)00064-6




