A Genome-Wide Search of New Meat Productivity Candidate Genes in North Caucasian Meat and Wool Sheep Breed
- Authors: Krivoruchko A.Y.1,2, Zuev R.V.2, Surov A.I.1, Skokova A.V.1, Kanibolotskaya A.A.1, Likhovid A.A.2, Yatsyk O.A.1
-
Affiliations:
- North Caucasian Federal Scientific Agrarian Center
- North Caucasian Federal University
- Issue: Vol 59, No 5 (2023)
- Pages: 562-572
- Section: ГЕНЕТИКА ЖИВОТНЫХ
- URL: https://journal-vniispk.ru/0016-6758/article/view/134589
- DOI: https://doi.org/10.31857/S0016675823050090
- EDN: https://elibrary.ru/FNVKYA
- ID: 134589
Cite item
Full Text
Abstract
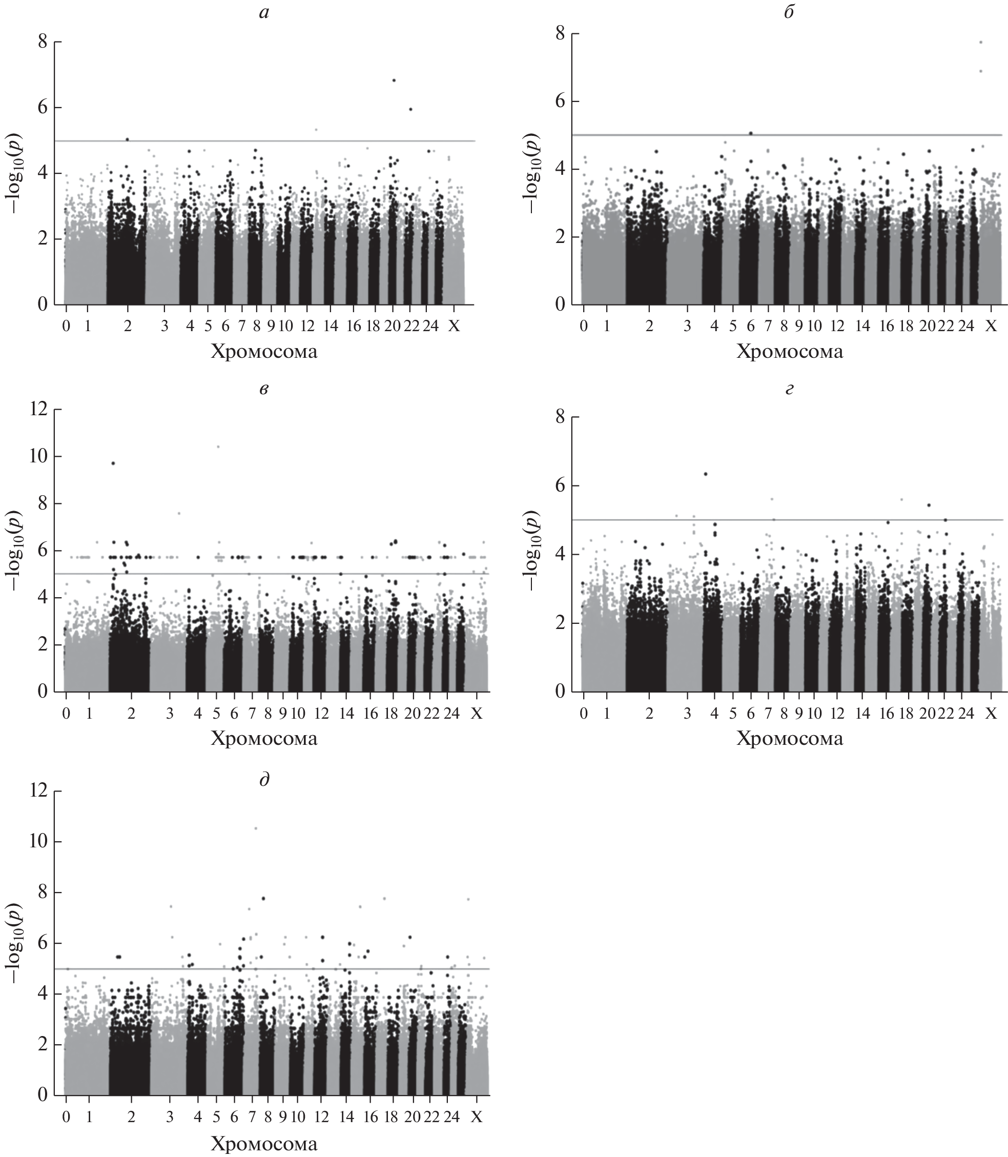
The search for new genes that affect the growth and development of muscle tissue and associated with meat productivity traits in sheep is an actual task. The implementation of this is inextricably linked with the prospects for the development of marker-assisted and genomic selection. Research presents data of new approach in the detection of candidate genes for sheep meat productivity. Animal genotyping was performed using Ovine Infinium HD BeadChip 600K DNA, association search was performed using PLINK v1.07 software. As a result of the work, identified SNPs that were significantly associated with phenotypic traits directly related to the level of meat productivity in the North-Caucasian meat and wool sheep: height at the withers, live weight at birth, thickness of adipose tissue, width of the muscle “eye”. To search for candidate genes, 19 polymorphisms with the highest association reliability were selected. Determining the location of the analyzed SNPs made it possible to identify 16 new candidate genes associated with lifetime meat productivity traits in North-Caucasian meat and wool sheep: CILK1, ENO4, CTPS2, GABRB2, SLC44A1, C12ORF45, SLC41A2, CASD1, SINE2, SLC35F1, RP, SH3KBP1, LRRIQ1, SWAP70, THBS1 and FSIP. Animal genotyping for these genes should be used in marker-associated breeding to improve sheep meat productivity and study their effect on the phenotype.
About the authors
A. Yu. Krivoruchko
North Caucasian Federal Scientific Agrarian Center; North Caucasian Federal University
Author for correspondence.
Email: rcvm@yandex.ru
Russia, 356241, Stavropol Krai, Mikhailovsk; Russia, 355017, Stavropol
R. V. Zuev
North Caucasian Federal University
Email: rcvm@yandex.ru
Russia, 355017, Stavropol
A. I. Surov
North Caucasian Federal Scientific Agrarian Center
Email: rcvm@yandex.ru
Russia, 356241, Stavropol Krai, Mikhailovsk
A. V. Skokova
North Caucasian Federal Scientific Agrarian Center
Email: rcvm@yandex.ru
Russia, 356241, Stavropol Krai, Mikhailovsk
A. A. Kanibolotskaya
North Caucasian Federal Scientific Agrarian Center
Email: rcvm@yandex.ru
Russia, 356241, Stavropol Krai, Mikhailovsk
A. A. Likhovid
North Caucasian Federal University
Email: rcvm@yandex.ru
Russia, 355017, Stavropol
O. A. Yatsyk
North Caucasian Federal Scientific Agrarian Center
Email: rcvm@yandex.ru
Russia, 356241, Stavropol Krai, Mikhailovsk
References
- Sahu A.R., Nayak N., Panigrahi M., Kumar S. Advances in genomic strategies to improve growth and meat production traits in sheep: An overview // Ind. J. Small Ruminants. 2017. V. 23. № 2. P. 139. https://doi.org/10.5958/0973-9718.2017.00052.6
- Trukhachev V.I., Selionova M.I., Krivoruchko A.Y., Aibasov A.M.M. Genetic markers of meat productivity of sheep (Ovis aries L.). I. Myostatin, calpain, calpastatin // Sel’skokhozyaĭstvennaya Biologiya. 2018. V. 53. № 6. P. 1107–1119. https://doi.org/10.15389/agrobiology.2018.6.1107eng
- Aiello D., Patel K., Lasagna E. The myostatin gene: An overview of mechanisms of action and its relevance to livestock animals // Animal Genet. 2018. V. 49. № 6. P. 505–519. https://doi.org/10.1111/age.12696
- Osman N.M., Shafey H.I., Abdelhafez M.A. et al. Genetic variations in the Myostatin gene affecting growth traits in sheep // Veterinary World. 2021. V. 14. № 2. P. 475. https://doi.org/10.14202/vetworld.2021.475-482
- Sousa-Junior L.P.B., Meira A.N., Azevedo H.C. et al. Variants in myostatin and MyoD family genes are associated with meat quality traits in Santa Inês sheep // Animal Biotechnol. 2022. V. 33. № 2. P. 201–213. https://doi.org/10.1080/10495398.2020.1781651
- Nissinen T.A., Hentilä J., Fachada V. et al. Muscle follistatin gene delivery increases muscle protein synthesis independent of periodical physical inactivity and fasting // The FASEB J. 2021. V. 35. № 3. P. e21387. https://doi.org/10.1096/fj.202002008R
- Sharma R., Kopchick J.J., Puri V., Sharma V.M. Effect of growth hormone on insulin signaling // Mol. Cell. Endocrinol. 2020. V. 518. P. 111038. https://doi.org/10.1016/j.mce.2020.111038
- Abdelmoneim T.S., Brooks P.H., Afifi M., Swelum A.A.A. Sequencing of growth hormone gene for detection of polymorphisms and their relationship with body weight in Harri sheep // Ind. J. Animal Res. 2017. V. 51. № 2. P. 205–211. https://doi.org/10.18805/ijar.11457
- Gorlov I.F., Kolosov Y.A., Shirokova N.V. et al. Association of the growth hormone gene polymorphism with growth traits in Salsk sheep breed // Small Ruminant Res. 2017. V. 150. P. 11–14. https://doi.org/10.1016/j.smallrumres.2017.02.019
- Takeda H., Caiment F., Smit M. et al. The callipyge mutation enhances bidirectional long-range DLK1-GTL2 intergenic transcription in cis // Proc. Natl Acad. Sci. USA. 2006. V. 103. № 21. P. 8119–8124. https://doi.org/10.1073/pnas.0602844103
- Cheng J., Zhang X., Li F. et al. Detecting single nucleotide polymorphisms in MEF2B and UCP3 and elucidating their association with sheep growth traits // DNA Cell Biol. 2021. V. 40. № 12. P. 1554–1562. https://doi.org/10.1089/dna.2021.0782
- Gavran M., Antunović Z., Gantner V. Candidate genes associated with economically important traits of sheep-a review // Agriculturae Conspectus Scientificus. 2021. V. 86. № 3. P. 195–201.
- Trukhachev V.I., Skripkin V.S., Yatsyk O. et al. The polymorphism of REM-1 gene in sheep genome and its influence on some parameters of meat productivity // Research J. Pharmaceutical, Biol. Chem. Sciences. 2016. V. 7. № 3. P. 2351–2357.
- Nesvadbova M., Borilova G. Molecular regulation of skeletal muscle tissue formation and development // Veterinarni Med. (Praha). 2018. V. 63. № 11. P. 500–512. https://doi.org/10.17221/7/2018-VETMED
- Омаров А.А., Гайдашов С.И. Продуктивные показатели овец северокавказской мясо-шерстной породы и их взаимосвязь с основными селекционируемыми признаками // Вестн. Алтайского гос. аграрного ун-та. 2021. № 2(196). С. 66–72.
- Селькин И.И. Породе 50 лет // Сб. науч. трудов Ставропольского научно-исслед. института животноводства и кормопроизводства. 2010. № 13. С. 258–283.
- Purcell S., Neale B., Todd-Brown K. et al. PLINK: A tool set for whole-genome association and population-based linkage analyses // The Am. J. Human Genet. 2007. V. 81. № 3. P. 559–575. https://doi.org/10.1086/519795
- Kijas J.W., McCulloch R., Edwards J. et al. Evidence for multiple alleles effecting muscling and fatness at the Ovine GDF8 locus // J. Animal Breed. Genet. 2013. V. 130. № 6. P. 468–475. https://doi.org/10.1186/1471-2156-8-80
- Fu Z., Gailey C.D., Wang E.J., Brautigan D.L. Ciliogenesis associated kinase 1: Targets and functions in various organ systems // FEBS Letters. 2019. V. 593. № 21. P. 2990–3002. https://doi.org/10.1002/1873-3468.13600
- Nakamura N., Dai Q., Williams J. et al. Disruption of a spermatogenic cell-specific mouse enolase 4 (eno4) gene causes sperm structural defects and male infertility // Biol. Reproduction. 2013. V. 88. № 4. P. 90. https://doi.org/10.1095/biolreprod.112.107128
- Hickl D., Scheuring D., Möhlmann T. CTP Synthase 2 From Arabidopsis thaliana is required for complete embryo development // Frontiers Plant Sci. 2021. V. 12. P. 652434. https://doi.org/10.3389/fpls.2021.652434
- El Achkar C.M., Harrer M., Smith L. et al. Characterization of the GABRB2-Associated Neurodevelopmental Disorders // Annals Neurology. 2021. V. 89. № 3. P. 573–586. https://doi.org/10.1002/ana.25985
- Michel V., Bakovic M. The solute carrier 44A1 is a mitochondrial protein and mediates choline transport // The FASEB J. 2009. V. 23. № 8. P. 2749–2758. https://doi.org/10.1096/fj.08-121491
- Ladoukakis E., Pereira V., Magny E.G. et al. Hundreds of putatively functional small open reading frames in Drosophila // Genome Biol. 2011. V. 12. № 11. P. 1–17. https://doi.org/10.1186/gb-2011-12-11-r118
- Fleig A., Schweigel-Röntgen M., Kolisek M. Solute carrier family SLC41: what do we really know about it? // Wiley Interdisciplinary Reviews: Membrane Transport and Signaling. 2013. V. 2. № 6. P. 227–239. https://doi.org/10.1002/wmts.95
- Baumann A.-M.T., Bakkers M.J.G., Buettner F.F.R. et al. 9-O-Acetylation of sialic acids is catalysed by CASD1 via a covalent acetyl-enzyme intermediate // Nat. Communications. 2015. V. 6. P. 7673. https://doi.org/10.1038/ncomms8673
- Bamaga A., Vajsar J. Spectrin repeat-containing nuclear envelope protein 2: SYNE2 presenting as a congenital myopathy: A case report // Neuromuscul Disord. 2016. V. 26. P. 139. https://doi.org/10.1016/j.nmd.2016.06.195
- Mochizuki T., Mizuno T., Kurosawa T. et al. Functional investigation of solute carrier family 35, member F2, in three cellular models of the primate blood-brain barrier // Drug Metabolism Disposition. 2021. V. 49(1). P. 3–11. https://doi.org/10.1124/dmd.120.000115
- Zhou X., Liao W.-J., Liao J.-M. et al. Ribosomal proteins: Functions beyond the ribosome // J. Mol. Cell Biol. 2015. V. 7. № 2. P. 92–104. https://doi.org/10.1093/jmcb/mjv014
- Hua X.-Y., Bie X.-X., Cheng X., Zhang S.-G. High expression of CIN85 promotes proliferation and invasion of human esophageal squamous cell carcinoma // Mol. Med. Reports. 2021. V. 23. № 1. P. 12. https://doi.org/10.3892/mmr.2020.11650
- Ng A., Xavier R.J. Leucine-rich repeat (LRR) proteins: Integrators of pattern recognition and signaling in immunity // Autophagy. 2011. V. 7. № 9. P. 1082–1084. https://doi.org/10.4161/auto.7.9.16464
- Kriplani N., Duncan R.R., Leslie N.R. SWAP70 undergoes dynamic conformational regulation at the leading edge of migrating cells // FEBS Letters. 2019. V. 593. № 4. P. 395–405. https://doi.org/10.1002/1873-3468.13326
- Gutierrez L.S., Gutierrez J. Thrombospondin 1 in metabolic diseases // Frontiers Endocrinol. 2021. V. 12. P. 638536. https://doi.org/10.3389/fendo.2021.638536
- Chen M., Wu Y., Li W. et al. Loss-of-function variants in FSIP1 identified by targeted sequencing are associated with one particular subtype of mucosal melanoma // Gene. 2020. V. 759. P. 144964. https://doi.org/10.1016/j.gene.2020.144964
- Sun M., Zhao W., Zeng Y. et al. Fibrous sheath interacting protein 1 overexpression is associated with unfavorable prognosis in bladder cancer: A potential therapeutic target // OncoTargets Therapy. 2017. V. 10. P. 3949. https://doi.org/10.2147/OTT.S143491
Supplementary files





