Повышенный уровень лизосфинголипидов крови у пациентов с шизофренией
- Авторы: Копытова А.Э.1,2, Незнанов Н.Г.1,3, Залуцкая Н.М.3, Захарова Е.Ю.4, Пальчикова Е.И.3, Байдакова Г.В.4, Манахов А.Д.5,6,7, Волкова Е.В.1, Андреева Т.В.5,6,7, Башарова К.С.2, Безрукова А.И.2, Усенко Т.С.1,2, Пчелина С.Н.1,2
-
Учреждения:
- Первый Санкт-Петербургский государственный медицинский университет им. И.П. Павлова
- Петербургский институт ядерной физики им. Б.П. Константинова Национального исследовательского центра “Курчатовский институт”
- Национальный медицинский исследовательский центр психиатрии и неврологии им. В.М. Бехтерева
- Медико-генетический научный центр им. академика Н.П. Бочкова
- Институт общей генетики им. Н.И. Вавилова Российской академии наук
- Центр генетики и генетических технологий, Московский государственный университет им. М.В. Ломоносова
- Центр генетики и наук о жизни, Научно-технологический университет “Сириус”
- Выпуск: Том 59, № 6 (2023)
- Страницы: 670-675
- Раздел: ГЕНЕТИКА ЧЕЛОВЕКА
- URL: https://journal-vniispk.ru/0016-6758/article/view/134607
- DOI: https://doi.org/10.31857/S0016675823060085
- EDN: https://elibrary.ru/SSPQEG
- ID: 134607
Цитировать
Полный текст
Аннотация
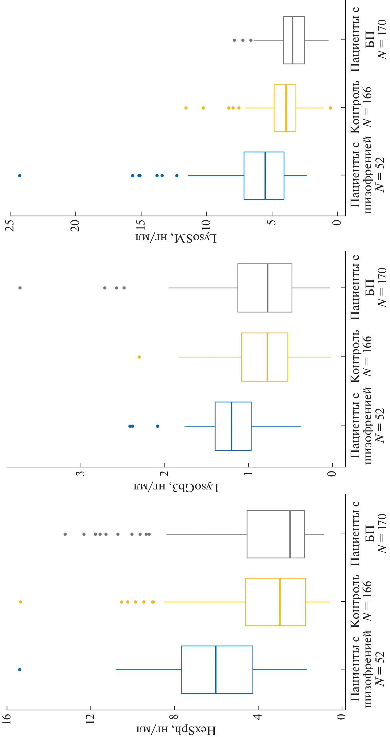
Шизофрения представляет собой психическое расстройство и характеризуется нарушением передачи дофамина в нейронах. Последние данные показали, что лизосомные болезни накопления (ЛБН), сопровождающиеся снижением активности ферментов и соответствующим накоплением субстрата в лизосомах из-за мутаций в лизосомных генах, могут проявляться широким спектром клинических проявлений, включая психозы, аффективные расстройства, деменцию с ранним началом и шизофренией. Цель настоящего исследования заключалась в оценке уровня лизосфинголипидов у пациентов с шизофренией, болезнью Паркинсона (БП) и контроле. В исследование включены 52 пациента с шизофренией, 170 пациентов с БП и 166 неврологически здоровых лиц (контрольная группа). Концентрацию лизосомных субстратов (гексозилсфингозин (HexSph), глоботриаозилсфингозин (LysoGb3), лизосфингомиелин (LysoSM)) определяли высокоэффективной жидкостной хроматографией в сочетании с тандемной масс-спектрометрией (ВЭЖХ-МС/МС) в крови. Выявлено повышение концентрации LysoSM, LysoGb3, HexSph у пациентов с шизофренией по сравнению с контролем (p < 0.0001, p < 0.0001, p < 0.0001 соответственно). Наши результаты подтверждают нарушение лизосфинголипидного состава крови у пациентов с шизофренией.
Ключевые слова
Об авторах
А. Э. Копытова
Первый Санкт-Петербургский государственный медицинский университетим. И.П. Павлова; Петербургский институт ядерной физики им. Б.П. Константинова Национального исследовательского центра “Курчатовский институт”
Автор, ответственный за переписку.
Email: kopytovaalena@mail.ru
Россия, 197022, Санкт-Петербург; Россия, 188300, Санкт-Петербург, Гатчина
Н. Г. Незнанов
Первый Санкт-Петербургский государственный медицинский университетим. И.П. Павлова; Национальный медицинский исследовательский центр психиатрии и неврологии
им. В.М. Бехтерева
Email: kopytovaalena@mail.ru
Россия, 197022, Санкт-Петербург; Россия, 192019, Санкт-Петербург
Н. М. Залуцкая
Национальный медицинский исследовательский центр психиатрии и неврологииим. В.М. Бехтерева
Email: kopytovaalena@mail.ru
Россия, 192019, Санкт-Петербург
Е. Ю. Захарова
Медико-генетический научный центр им. академика Н.П. Бочкова
Email: kopytovaalena@mail.ru
Россия, 115478, Москва
Е. И. Пальчикова
Национальный медицинский исследовательский центр психиатрии и неврологииим. В.М. Бехтерева
Email: kopytovaalena@mail.ru
Россия, 192019, Санкт-Петербург
Г. В. Байдакова
Медико-генетический научный центр им. академика Н.П. Бочкова
Email: kopytovaalena@mail.ru
Россия, 115478, Москва
А. Д. Манахов
Институт общей генетики им. Н.И. Вавилова Российской академии наук; Центр генетики и генетических технологий, Московский государственный университетим. М.В. Ломоносова; Центр генетики и наук о жизни, Научно-технологический университет “Сириус”
Email: kopytovaalena@mail.ru
Россия, 119991, Москва; Россия, 119234, Москва; Россия, 354340, Краснодарский край, пгт. Сириус
Е. В. Волкова
Первый Санкт-Петербургский государственный медицинский университетим. И.П. Павлова
Email: kopytovaalena@mail.ru
Россия, 197022, Санкт-Петербург
Т. В. Андреева
Институт общей генетики им. Н.И. Вавилова Российской академии наук; Центр генетики и генетических технологий, Московский государственный университетим. М.В. Ломоносова; Центр генетики и наук о жизни, Научно-технологический университет “Сириус”
Email: kopytovaalena@mail.ru
Россия, 119991, Москва; Россия, 119234, Москва; Россия, 354340, Краснодарский край, пгт. Сириус
К. С. Башарова
Петербургский институт ядерной физики им. Б.П. Константинова Национального исследовательского центра “Курчатовский институт”
Email: kopytovaalena@mail.ru
Россия, 188300, Санкт-Петербург, Гатчина
А. И. Безрукова
Петербургский институт ядерной физики им. Б.П. Константинова Национального исследовательского центра “Курчатовский институт”
Email: kopytovaalena@mail.ru
Россия, 188300, Санкт-Петербург, Гатчина
Т. С. Усенко
Первый Санкт-Петербургский государственный медицинский университетим. И.П. Павлова; Петербургский институт ядерной физики им. Б.П. Константинова Национального исследовательского центра “Курчатовский институт”
Email: kopytovaalena@mail.ru
Россия, 197022, Санкт-Петербург; Россия, 188300, Санкт-Петербург, Гатчина
С. Н. Пчелина
Первый Санкт-Петербургский государственный медицинский университетим. И.П. Павлова; Петербургский институт ядерной физики им. Б.П. Константинова Национального исследовательского центра “Курчатовский институт”
Email: kopytovaalena@mail.ru
Россия, 197022, Санкт-Петербург; Россия, 188300, Санкт-Петербург, Гатчина
Список литературы
- Howrigan D.P., Rose S.A., Samocha K.E. et al. Exome sequencing in schizophrenia-affected parent–offspring trios reveals risk conferred by protein-coding de novo mutations // Nat. Neurosci. 2020. V. 23. P. 185–193. https://doi.org/10.1038/s41593-019-0564-3
- Oh J., Shen G., Nan G. et al. Comorbid schizophrenia and Parkinson’s disease: A case series and brief review // Neurol. Asia. 2017. V. 22. P. 139–142.
- Papanastasiou E. The prevalence and mechanisms of metabolic syndrome in schizophrenia: a review // Theor. Adv. Psychopharmacol. 2013. V. 3. № 1. P. 33–51. https://doi.org/10.1177/2045125312464385
- Castillo R.I., Rojo L.E., Henriquez-Henriquez M. et al. From molecules to the clinic: Linking schizophrenia and metabolic syndrome through sphingolipids metabolism // Front. Neurosci. 2016. V. 10. P. 488–503. https://doi.org/10.3389/fnins.2016.00488
- Pardiñas A.F., Holmans P., Pocklington A.J. et al. Common schizophrenia alleles are enriched in mutation-intolerant genes and in regions under strong background selection // Nat. Genet. 2018. V. 50. P. 381–389.
- Trakadis Y.J., Fulginiti V., Walterfang M. Inborn errors of metabolism associated with psychosis: Literature review and case-control study using exome data from 5090 adult individuals // J. Inherit. Metab. Dis. 2018. V. 41. № 4. P. 613–621. https://doi.org/10.1007/s10545-017-0023-9
- Emelyanov A.K., Usenko T.S., Tesson C. et al. Mutation analysis of Parkinson’s disease genes in a Russian data set // Neurobiol. Aging. 2018. V. 71. P. 267.e7–267.e10. https://doi.org/10.1016/j.neurobiolaging.2018.06.027
- Polo G., Burlina A.P., Ranieri E. et al. Plasma and dried blood spot lysosphingolipids for the diagnosis of different sphingolipidoses: a comparative study // Clin. Chem. Lab. Med. 2019. V. 57. № 12. P. 1863–1874.
- Czubowicz K., Jęśko H., Wencel P. et al. The role of ceramide and sphingosine-1-phosphate in Alzheimer’s disease and other neurodegenerative disorders // Mol. Neurobiol. 2019. V. 56. P. 5436–5455.
- Tkachev A.I., Stekolshchikova E.A., Morozova A.Y. et al. Ceramides: Shared lipid biomarkers of cardiovascular disease and schizophrenia // Consort. Psychiatr. 2021. V. 2. P. 35–43. https://doi.org/10.17816/CP101
- Cox T.M. Lysosomal diseases and neuropsychiatry: Opportunities to rebalance the mind // Front. Mol. Biosci. 2020. V. 7. P. 177–185. https://doi.org/10.3389/fmolb.2020.00177
- Sidransky E., Nalls M.A., Aasly J.O. et al. Multi-center analysis of glucocerebrosidase mutations in Parkinson disease // N. Engl. J. Med. 2009. V. 361. P. 1651–1661. https://doi.org/10.1056/NEJMOA0901281
- Kopytova A.E., Usenko T.S., Baydakova G.V. et al. Could blood hexosylsphingosinebe a marker for Parkinson’s disease linked with GBA1 mutations? // Mov. Disord. 2022. V. 37. № 8. P. 1779–1781. https://doi.org/10.1002/mds.29132
- Moors T.E., Paciotti S., Ingrassia A. et al. Characterization of brain lysosomal activities in GBA-related and sporadic Parkinson’s disease and dementia with Lewybodies // Mol. Neurobiol. 2019. V. 56. P. 1344–1355.
- Usenko T.S., Senkevich K.A., Bezrukova A.I. et al. Impaired sphingolipid hydrolase activities in dementia with Lewybodies and multiple system atrophy // Mol. Neurobiol. 2022. V. 59. P. 2277–2787.
- Kuusimäki T., Al-Abdulrasul H., Kurki S. et al. Increased risk of Parkinson’s disease in patients with schizophrenia spectrum disorders // Mov. Disord. 2021. V. 36. P. 1353–1361.
- De Vries P.J., Honer W.G., Kemp P.M., McKenna P.J. Dementia as a complication of schizophrenia // J. Neurol. Neurosurg. Psychiatry. 2001. V. 70. P. 588–596.
- Komatsu H., Kato M., Kinpara T. et al. Possible multiple system atrophy with predominant parkinsonism in a patient with chronic schizophrenia: A case report // BMC Psychiatry. 2018. V. 18. P. 1–9.
- Schwarz E., Prabakaran S., Whitfield P. et al. High throughput lipidomic profiling of schizophrenia and bipolar disorder brain tissue reveals alterations of free fatty acids, phosphatidylcholines, and ceramides // J. Proteome Res. 2008. V. 7. P. 4266–4277.
- Wood P.L. Targeted lipidomics and metabolomics evaluations of cortical neuronal stress in schizophrenia // Schizophr. Res. 2019. V. 212. P. 107–112.
- Tessier C., Sweers K., Frajerman A. et al. Membrane lipidomics in schizophrenia patients: A correlational study with clinical and cognitive manifestations // Transl. Psychiatry. 2016. V. 6. P. e906–e914.
- Paciotti S., Albi E., Parnetti L., Beccari T. Lysosomal ceramide metabolism disorders: Implications in Parkinson’s disease // J. Clin. Med. 2020. V. 9. P. 594–614.
- Takahashi N., Sakurai T., Davis K.L., Buxbaum J.D. Linking oligodendrocyte and myelin dysfunction to neurocircuitry abnormalities in schizophrenia // Prog. Neurobiol. 2011. V. 93. P. 13–24.
- Vallée A. Neuroinflammation in schizophrenia: The key role of the WNT/β-catenin pathway // Int. J. Mol. Sci. 2022. V. 23. P. 2810–2825.
- Gouvêa-Junqueira D., Falvella A.C.B., Antunes A.S.L.M. et al. Novel treatment strategies targeting myelin and oligodendrocytedysfunction inschizophrenia // Front. Psychiatry. 2020. V. 11. P. 379–395.
- Mihaylova V., Hantke J., Sinigerska I. et al. Highly variable neural involvement in sphingomyelinase-deficient Niemann–Pick disease caused by an ancestral Gypsy mutation // Brain. 2007. V. 130. P. 1050–1061. https://doi.org/10.1093/brain/awm026
- Zhuo C., Zhao F., Tian H. et al. Acid sphingomyelinase/ceramide system in schizophrenia: Implications for therapeutic intervention as a potential novel target // Transl. Psychiatry. 2022. V. 12. P. 260–266. https://doi.org/10.1038/s41398-022-01999-7
- Akhtar M.M., Elliott P.M. Anderson–Fabry disease in heart failure // Biophys. Rev. 2018. V. 10. P. 1107–1119.
- Usenko T.S., Bezrukova A.I., Basharova K.S. et al. Link between schizophrenia and lysosomal storage disorders based on NGS and LC-MS/MS analyses // Am. J. Geriatr. Psychiatry. 2023. Submitted to journal.
Дополнительные файлы



