Регуляция одноцепочечных и двуцепочечных кластеров piРНК в герминальных и соматических тканях Drosophila melanogaster зависит от гена rhino
- Авторы: Миляева П.А.1,2, Лавренов А.Р.1,3, Кузьмин И.В.1, Ким А.И.1,2, Нефедова Л.Н.1
-
Учреждения:
- Московский государственный университет им. М.В. Ломоносова
- Биологический факультет, университет МГУ-ППИ в Шэньчжэне
- Институт проблем экологии и эволюции им. А.Н. Северцова Российской академии наук
- Выпуск: Том 59, № 12 (2023)
- Страницы: 1372-1381
- Раздел: ОБЩАЯ ГЕНЕТИКА
- URL: https://journal-vniispk.ru/0016-6758/article/view/233634
- DOI: https://doi.org/10.31857/S0016675823120056
- EDN: https://elibrary.ru/QDLMAL
- ID: 233634
Цитировать
Полный текст
Аннотация
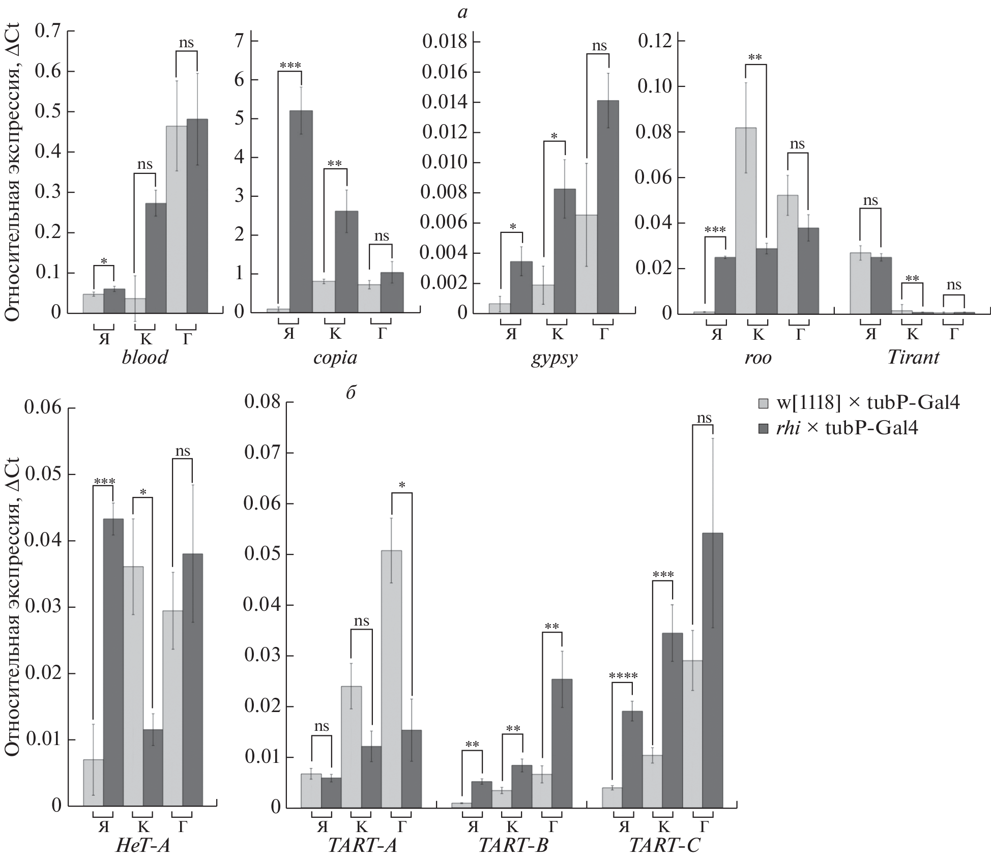
Drosophila melanogaster – широко используемый объект генетики для изучения механизмов РНК-интерференции и регуляции мобильных генетических элементов (МГЭ), в частности системы piРНК-интерференции. Считается, что у D. melanogaster система piРНК-интерференции работает только в гонадах и существуют два пути биогенеза piРНК – с помощью одноцепочечных и двуцепочечных кластеров, содержащих дефектные копии МГЭ, транскрибируемых с одной или двух цепей соответственно. Предполагается, что функционирование двуцепочечных кластеров зависит от функции гена rhino, в то время как одноцепочечные кластеры транскрибируются и затем сплайсируются независимо от rhino. В настоящей работе мы показали, что ген rhino участвует в регуляции сплайсинга одноцепочечного кластера flamenco. Более того, система piРНК-интерференции необходима для регуляции некоторых ретротранспозонов не только в гонадах, но и в других органах.
Ключевые слова
Об авторах
П. А. Миляева
Московский государственный университет им. М.В. Ломоносова; Биологический факультет, университет МГУ-ППИ в Шэньчжэне
Email: nefedova@mail.bio.msu.ru
Россия, 119234, Москва; Китай, 518172, Шэньчжэнь
А. Р. Лавренов
Московский государственный университет им. М.В. Ломоносова; Институт проблем экологии и эволюции им. А.Н. Северцова Российской академии наук
Email: nefedova@mail.bio.msu.ru
Россия, 119234, Москва; Россия, 119071, Москва
И. В. Кузьмин
Московский государственный университет им. М.В. Ломоносова
Email: nefedova@mail.bio.msu.ru
Россия, 119234, Москва
А. И. Ким
Московский государственный университет им. М.В. Ломоносова; Биологический факультет, университет МГУ-ППИ в Шэньчжэне
Email: nefedova@mail.bio.msu.ru
Россия, 119234, Москва; Китай, 518172, Шэньчжэнь
Л. Н. Нефедова
Московский государственный университет им. М.В. Ломоносова
Автор, ответственный за переписку.
Email: nefedova@mail.bio.msu.ru
Россия, 119234, Москва
Список литературы
- Park E.G., Ha H., Lee D.H. et al. // Genomic analyses of non-coding RNAs overlapping transposable elements and its implication to human diseases // Intern. J. Mol. Sciences. 2022. V. 23. P. 8950. https://doi.org/10.3390/ijms23168950
- Schwarz D.S., Hátvágner G., Haley B., Zamore P.D. Evidence that siRNAs function as guides, not primers, in the drosophila and human RNAi pathways // Mol. Cell. 2002. V. 10. P. 537–548. https://doi.org/10.1016/S1097-2765(02)00651-2
- Guerreiro G.M.P. What makes transposable elements move in the Drosophila genome // Heredity. 2012. V. 108. P. 461–468. https://doi.org/10.1038/hdy.2011.89
- Carthew R.W., Sontheimer E.J. Origins and mechanisms of miRNAs and siRNAs // Cell. 2009. V. 136. P. 642–655. https://doi.org/10.1016/j.cell.2009.01.035
- Yamanaka S., Siomi M.C., Siomi H. PiRNA clusters and open chromatin structure // Mobile DNA. 2014. V. 5. P. 22. https://doi.org/10.1186/1759-8753-5-22
- Zhang Zh., Wang J., Schultz N. et al. The HP1 homolog Rhino anchors a nuclear complex that suppresses piRNA precursor splicing // Cell. 2014. V. 157. № 6. P. 1353–1363. https://doi.org/10.1016/j.cell.2014.04.030
- Claycomb J.M. Emerging from the Clouds: Vasa helicase sheds light on piRNA amplification // Dev. Cell. 2014. V. 29. P. 632–634. https://doi.org/10.1016/j.devcel.2014.06.009
- Tsai S.-Y., Huang F. Acetyltransferase Enok regulates transposon silencing and piRNA cluster transcription // PLoS Genetics. 2021. V. 17. № 2. https://doi.org/10.1371/journal.pgen.1009349
- Yu B., Lin Y.A., Parhad S.S. et al. Structural insights into Rhino–Deadlock complex for germline piRNA cluster specification // EMBO Reports. 2018. V. 19. https://doi.org/10.15252/embr.201745418
- Théron E., Dennis C., Brasset E., Vaury C. Distinct features of the piRNA pathway in somatic and germ cells: From piRNA cluster transcription to piRNA processing and amplification // Mobile DNA. 2014. V. 5. № 28. https://doi.org/10.1186/s13100-014-0028-y
- Kim K.W., Tang N.H., Andrusiak M.G. et al. A neuronal piRNA pathway inhibits axon regeneration in C. elegans // Neuron. 2018. V. 97(3). P. 511–519. https://doi.org/10.1016/j.neuron.2018.01.014
- Wakisaka K.T., Tanaka R., Hirashima T. et al. Novel roles of drosophila FUS and Aub responsible for piRNA biogenesis in neuronal disorders // Brain Research. 2019. V. 1708. P. 207–219. https://doi.org/10.1016/j.brainres.2018.12.028
- Kim K.W. PIWI proteins and piRNAs in the nervous system // Mol. Cells. 2019. V. 42(12). P. 828–835. https://doi.org/10.1016/j.neuron.2018.01.014
- Perrat P.N., DasGupta Sh., Wang J. et al. Transposition driven genomic heterogeneity in the drosophila brain // Science. 2013. V. 340(6128). P. 9195. https://doi.org/10.1126/science.1231965
- Лавренов А.Р., Нефедова Л.Н., Романова Н.И., Ким А.И. Экспрессия генов семейства HP1 и их возможная роль в формировании фенотипа flamenco у D. melanogaster // Биохимия. 2014. Т. 79. № 11. С. 1554–1560.
- Hur J.K., Luo Y., Moon S. et al. Splicing-independent loading of TREX on nascent RNA is required for efficient expression of dual-strand piRNA clusters in drosophila // Genes & Development. 2016. V. 30. P. 840–855. https://doi.org/10.1101/gad.276030.115
- Sayers E.W., Bolton E.E., Brister J.R. et al. Database resources of the national center for biotechnology information // Nucl. Ac. Res. 2022. V. 50. (D1):D20–D26. https://doi.org/10.1093/nar/gkab1112
- Wei X., Eickbush D.G., Speece I., Larracuente A.M. He-terochromatin-dependent transcription of satellite DNAs in the Drosophila melanogaster female germline // eLife. 2021. V. 10. https://doi.org/10.7554/eLife.62375
- Chang T.H., Mattei E., Gainetdinov I. et al. Maelstrom represses canonical polymerase II transcription within bi-directional piRNA clusters in Drosophila melanogaster // Mol. Cell. 2019. V. 73. P. 291–303. https://doi.org/10.1016/j.molcel.2018.10.038
- Radion E., Morgunova V., Ryazansky S. et al. Key role of piRNAs in telomeric chromatin maintenance and telomere nuclear positioning in drosophila germline // Epigenetics & Chromatin. 2018. V. 11:40. https://doi.org/10.1186/s13072-018-0210-4
- Gramates L.S., Agapite J., Attrill H. et al. FlyBase: A guided tour of highlighted features // Genetics. 2022. V. 220. № 4. https://doi.org/10.1093/genetics/iyac035
- Cui M., Bai Y., Li K., Rong Y.S. Taming active transposons at drosophila telomeres: The interconnection between HipHop’s roles in capping and transcriptional silencing // PLoS Genetics. 2021. V. 17(11). https://doi.org/10.1371/journal.pgen.1009925
- Sato K., Siomi M.C. Two distinct transcriptional controls triggered by nuclear Piwi-piRISCs in the drosophila piRNA pathway // Curr. Op. in Structural Biology. 2018. V. 53. P. 69–76. https://doi.org/10.1016/j.sbi.2018.06.005
- Zhang G., Tu S., Yu T. et al. Co-dependent assembly of drosophila piRNA precursor complexes and piRNA cluster heterochromatin // Cell Reports. 2018. V. 24. P. 3413–3422. https://doi.org/10.1016/j.celrep.2018.08.081
- Akulenko N., Ryazansky S., Morgunova V. et al. Transcriptional and chromatin changes accompanying de novo formation of transgenic piRNA clusters // RNA. 2018. V. 24. № 4. P. 574–584. https://doi.org/10.1261/rna.062851.117
- Klattenhoff C., Xi H., Li C. et al. The drosophila HP1 homolog Rhino is required for transposon silencing and piRNA production by dual-strand clusters // Cell. 2009. V. 138. № 6. P. 1137–1149. https://doi.org/10.1016/j.cell.2009.07.014
- Parhad S.S., Yu T., Zhang G. et al. Adaptive evolution targets a piRNA precursor transcription network // Cell Reports. 2020. V. 30. № 8. P. 2672–2685. https://doi.org/10.1016/j.celrep.2020.01.109
- Volpe A.M., Horowitz H., Grafer C.M. et al. Drosophila rhino encodes a female-specific chromo-domain protein that affects chromosome structure and egg polarity // Genetics. 2001. V. 159. P. 1117–1134. https://doi.org/10.1093/genetics/159.3.1117
- Chung W.-J., Okamura K., Martin R., Lai E.C. Endogenous RNA interference provides a somatic defense against drosophila transposons // Curr. Biology. 2008. V. 18. P. 795–802. https://doi.org/10.1016/j.cub.2008.05.006
- Chen P., Luo Y., Aravin A.A. RDC complex executes a dynamic piRNA program during drosophila spermatogenesis to safeguard male fertility // PLoS Genetics. 2021. V. 17(9). https://doi.org/10.1371/journal.pgen.1009591
Дополнительные файлы







