Role of molecular genetic factors in formation of the clinical type of neurofibromatosis type 2
- Authors: Karandasheva K.O.1, Makashova E.S.2,3, Ageeva F.A.1, Anoshkin K.I.1, Sparber P.A.1, Borovikov A.O.1, Vasiluev P.A.1, Pashchenko M.S.1, Tanas A.S.1, Strelnikov V.V.1
-
Affiliations:
- Research Centre for Medical Genetics
- Burdenko National Medical Research Center of Neurosurgery
- Loginov Moscow Clinical Scientific Center
- Issue: Vol 60, No 2 (2024)
- Pages: 78-88
- Section: ГЕНЕТИКА ЧЕЛОВЕКА
- URL: https://journal-vniispk.ru/0016-6758/article/view/259171
- DOI: https://doi.org/10.31857/S0016675824020087
- EDN: https://elibrary.ru/DQQBCD
- ID: 259171
Cite item
Full Text
Abstract
Neurofibromatosis type 2 is a hereditary disease with predisposition to the development of multiple tumors of the central and peripheral nervous system. The disease is characterized by significant variability in the clinical picture; the number of neoplasms, their location and growth rate largely determine the severity of the course. However, assessing the rate of tumor growth requires the availability of a consistent series of instrumental studies conducted within a certain time range, which is not always available at the time of initial treatment. In this study, based on quantitative (age of onset, age of examination) and qualitative (large number of intracranial tumors, large number of spinal tumors, severity of neurological symptoms, mosaic status of the genetic variant) characteristics, an alternative classification of clinical subtypes of neurofibromatosis type 2 was developed. We have revealed statistically significant differences (p-value = 0.037) in the representation of Halliday prognostic classes between the groups identified using the proposed classification which allows us to suggest the possibility of integrating this approach into clinical practice.
Full Text
Поиск предиктивных маркеров является одним из основных направлений персонализированной медицины. При нейрофиброматозе 2-го типа (OMIM #101000), генетическом заболевании, предрасполагающего к развитию множественных опухолей центральной и периферической нервной системы, значительный интерес представляют исследования, направленные на описание клинических подтипов и поиск корреляций между ними и типом каузальной мутации [1].
Устоявшейся классификацией нейрофиброматоза 2-го типа стало разделение на клинические подтипы Wishart (тяжелый) и Gardner (умеренно-тяжелый), предложенное R. Eldridge и соавт. в 1991 году [2]. В 1992 году D. Evans с соавт. уточнили характеристики обоих подтипов: клинический дебют до 30 лет и множественные (>2) интракраниальные или спинальные опухоли характерны для более тяжелого течения заболевания, в то время как умеренно-тяжелый подтип ассоциирован с более поздним появлением вестибулярных шванном (после 15 лет) и меньшей опухолевой нагрузкой (не более одной менингиомы или спинальной опухоли) [3].
Альтернативная классификация дополнительно включает подтип Lee-Abbott – наиболее тяжелый и редкий вариант течения заболевания, характеризуемый вариабельным возрастом клинического дебюта, потерей слуха, катарактой, а также менингиоматозом головного и спинного мозга [4]. Однако так как ранние исследования показали отсутствие статистически значимых различий между клиническим течением подтипов Wishart и Lee-Abbott данная классификация является наименее популярной и употребляемой [5].
В 1996 г. M.H. Ruttledge и соавт. показали статистически значимую ассоциацию мутаций, приводящих к преждевременной терминации трансляции в гене NF2, с более тяжелым течением заболевания [6]. Это исследование имело революционный характер, так как продемонстрировало существование клинико-генетических корреляций для нейрофиброматоза 2-го типа и заложило базис для серии работ, посвященных уточнению закономерностей, связывающих тип мутации с клиническими проявлениями заболевания.
Так, было показано, что мутации в канонических сайтах сплайсинга экзонов 1–5 приводят к более тяжелому клиническому течению в сравнении с мутациями сплайсинга в экзонах 11–15 [7]. При соматическом мозаицизме отмечено более легкое течение заболевания в сравнении с герминальными мутациями того же типа [8]. Протяженные делеции, захватывающие промотор или экзон 1, дают более мягкий фенотип в сравнении с теми, которые не включают данный участок [9].
В 2017 г. D. Halliday и соавт. обобщили известные клинико-генетические корреляции при нейрофиброматозе 2-го типа и представили прогностическую шкалу, позволяющую предсказывать тяжесть течения заболевания в зависимости от типа мутации, ее положения в транскрипте и доли мутантных клеток в организме [10]. В настоящий момент ведутся исследования, направленные на оценку прогностической силы данной шкалы и возможность ее интеграции в клиническую практику [11].
Необходимо отметить, что в настоящий момент отсутствуют четкие критерии, позволяющие однозначно определить клинический подтип. Характеристики, описанные D. Evans с соавт., не могут быть использованы в современной клинической практике в качестве критериев классификации, так как с появлением магнитно-резонансной томографии (МРТ) высокого разрешения и других методов детальной нейровизуализации возросла выявляемость экстрамедуллярных новообразований малого размера, что увеличивает количество опухолей, выявляемых у пациентов с умеренно-тяжелым течением нейрофиброматоза 2-го типа [12].
В современном представлении скорость роста опухолей и скорость нарастания тяжести неврологического дефицита точнее характеризуют клинический подтип, чем общее количество опухолей [13]. Однако так как оценка скорости опухолевого роста изначально предполагает проведение последовательного ряда инструментальных исследований в определенном диапазоне времени по-прежнему существует необходимость в методе, позволяющем спрогнозировать скорость нарастания симптоматики и определить тактику лечения и наблюдения.
В настоящий момент также остаются открытыми вопросы классификации фенотипов при нейрофиброматозе 2-го типа и прогностической силы известных клинико-генетических корреляций.
МАТЕРИАЛЫ И МЕТОДЫ
Исследуемая выборка
Когорту исследования составили пациенты с клиническим диагнозом нейрофиброматоз 2-го типа (n = 98), установленным в соответствии с клиническими критериями Baser [14] или Манчестерскими диагностическими критериями [15].
Для молекулярно-генетической диагностики пробандов и их родителей использовали геномную ДНК, выделенную стандартным методом фенол-хлороформной экстракции из лейкоцитарной фракции периферической венозной крови или биоптатов опухолевого материала, фиксированных в формалине и заключенных в парафиновые блоки (FFPE).
Поиск точковых мутаций
Для поиска точковых мутаций использовали высокопроизводительное-параллельное секвенирование на приборах Ion PGM и Ion S5 (Life Technologies, USA) и технологию таргетного обогащения IonAmpliSeq (Life Technologies, USA). Панель праймеров включала экзоны генов NF2, SMARCB1, LZTR1, NF1, SPRED1, а также прилежащие к ним участки интронов (до 50 пн). Дизайн панели праймеров был разработан при помощи программного обеспечения AmpliSeqDesigner (Life Technologies).
Биоинформатический анализ данных высокопроизводительного параллельного секвенирования осуществляли при помощи программного обеспечения TorrentSuite (версия 5.12) в составе TorrentBaseCaller (TBC), TorrentMappingAlignmentProgram (TMAP) и TorrentVariantCaller (TVC) с настройками, рекомендуемыми производителем программного обеспечения (Life Technologies), а также собственного программного обеспечения AmpliSep [16]. Для функциональной аннотации генетических вариантов использовали программное обеспечение ANNOVAR. Патогенность выявленных генетических вариантов интерпретировали в соответствии с руководством по интерпретации данных последовательности ДНК человека, полученных методами массового параллельного секвенирования (MPS) (редакция 2018, версия 2) [17], и рекомендациями ACMG [18].
В случаях выявления вероятно-патогенного генетического варианта, не описанного в базах данных (ClinVar, LOVD, HGMD), проводили анализ сегрегации мутации в семье.
При AF < 0.35 генетический вариант интерпретировали как мозаичный.
Поиск протяженных делеций
Поиск протяженных делеций осуществляли методом мультиплексной лигаза-зависимой амплификации зондов (MLPA) набором SALSA MLPA Probemix P044 (MRC Holland, Netherlands) в соответствии с протоколом производителя.
Клинические характеристики
Для диагностики интракраниальных и экстракраниальных опухолей пациентам с подтвержденным молекулярно-генетическим диагнозом (n = 64) выполняли МРТ головного мозга (n = 64) и спинного мозга по всей длине (n = 53) в стандартных режимах T1, T2, T2 FLAIR с контрастным усилением. Пациентам с нарастанием двигательного и чувствительного дефицита, обусловленного поражением пояснично-крестцового или плечевого сплетений, проводили ультразвуковое исследование или МРТ соответствующего нервного сплетения (n = 12).
При наличии более 10 интракраниальных и более 10 спинальных новообразований опухолевый процесс считали распространенным. Тяжелый неврологический статус присваивали пациентам с множественным поражением черепных и периферических нервов и наличием грубых мышечных атрофий, в остальных случаях неврологический статус оценивали как умеренно-тяжелый.
Семейный анамнез пациентов старше 18 лет собирали со слов пациентов, при наличии клинических проявлений нейрофиброматоза 2-го типа у родителей семейный характер заболевания подтверждали методами молекулярно-генетической диагностики (n = 9).Также во всех семьях, где родители пробанда не достигли возраста 40 лет, проводили анализ сегрегации мутации в семье с целью выявления семейных случаев заболевания вне зависимости от наличия клинических признаков нейрофиброматоза 2-го типа у родителей пробанда (n = 12).
Статистический анализ
Статистический анализ и визуализация данных выполнены средствами языка программирования R с использованием пакетов FactoMineR [19], missMDA [20], factoextra [21], ggplot2 [22], ggpubr [23].
Для проверки на нормальность распределения случайной величины использовали критерий Шапиро–Уилка. Для описательной статистики нормально распределенных величин в качестве меры центральной тенденции использовали среднее арифметическое и стандартное отклонение, для распределений отличных от нормального – медиану и интерквартильный размах.
В качестве метода уменьшения размерности многомерных клинических данных применяли факторный анализ смешанных данных (FAMD) с применением регуляризованного итеративного алгоритма импутации данных (функция imputeFAMD пакета missMDA). Для анализа таблиц сопряженности использовали точный тест Фишера. Для сравнения двух независимых выборок использовали p-критерий Стьюдента или U-критерий Манна–Уитни, для сравнения нескольких – однофакторный дисперсионный анализ и H-критерий Краскела–Уоллиса.
РЕЗУЛЬТАТЫ
Эффективность молекулярно-генетического тестирования составила 65.3% (64/98). В исследуемую выборку вошло 64 пациента с клиническим диагнозом нейрофиброматоз 2-го типа, подтвержденным методами ДНК-диагностики. Когорта исследования состояла из 24 мужчин и 40 женщин в возрасте от 3 до 60 лет. Средний возраст на момент осмотра составил 27.7 ± 11.9 лет.
Возраст клинического дебюта находился в диапазоне от 0 (признаки нейрофиброматоза 2-го типа наблюдались с рождения) до 35 лет (MED = 15.5; IQR = 12.3) (рис. 1,а). Длительность течения заболевания к моменту осмотра составила от 0 до 40 лет (MED = 10.5; IQR = 13.0) (рис. 1,б).
Рис. 1. Возрастная характеристика исследуемой выборки и результаты молекулярно-генетического тестирования. а – распределение возраста клинического дебюта (зеленым) и возраста на момент осмотра (желтым) в исследуемой выборке, длина сегмента соответствует длительности течения заболевания; б – плотность распределения длительности течения заболевания; в – частота встречаемости различных типов мутации в исследуемой выборке, включая герминальные (оранжевым) и мозаичные (синим) генетические варианты; г – частота семейных и спорадических случаев, включая герминальные (оранжевым) и мозаичные (синим) генетические варианты.
Для всех пациентов исследуемой выборки было получено молекулярно-генетическое подтверждение клинического диагноза – выявлена патогенная (n = 57) или вероятно-патогенная (n = 7) мутация в гене NF2. Мутационный спектр был представлен изменениями копийности участков ДНК (n = 9), а также точковыми генетическими вариантами (n = 55): нонсенс-мутациями (n = 20), инделами со сдвигом рамки считывания (n = 20), мутациями сплайсинга (n = 8), миссенс-мутациями (n = 5) и инделами без сдвига рамки считывания (n = 2) (рис. 1,в). Для всех мутаций был определен прогностический класс тяжести течения заболевания по шкале D. Halliday и соавт. [10]. Для 15 пациентов был установлен мозаичный статус каузальной мутации. Доля соматического мозаицизма в исследуемой когорте составила 23.4% от всей выборки (15/64) и 27.2% от предполагаемого числа спорадических случаев (15/55). Девять случаев являлись семейными (рис. 1,г). Список выявленных генетических вариантов и их соматический статус представлены в табл. 1.
Таблица 1. Патогенные (П) и вероятно-патогенные (ВП) генетические варианты, выявленные в исследуемой выборке
ID | Мозаицизм | Генетический вариант | Класс по Halliday | Пат. |
P01 | – | c.C260G:p.S87X (экзон 3) | 3 | П |
P02 | – | c.675+1G>A (экзон 7) | 2B | П |
P03 | – | c.G1114T:p.E372X (экзон 11) | 3 | П |
P04 | – | c.349_351del:p.117_117del (экзон 3) | 2A | П |
P05 | – | c.161dupT:p.L54fs (экзон 2) | 3 | П |
P06 | – | c.655G>A:p.V219M (экзон 16) | 2A | ВП |
P07 | – | c.C586T:p.R196X (экзон 6) | 3 | П |
P08 | – | c.C1606T:p.Q536X (экзон 15) | 2B | П |
P09 | – | c.172_179del:p.R57fs (экзон 2) | 3 | П |
P10 | – | Делеция экзона 1 | 2A | П |
P11 | – | Делеция экзона 7 | 2B | П |
P12 | – | c.70delG:p.V24X (экзон 1) | 2A | П |
P13 | – | c.949_962del:p.E317fs (экзон 10) | 3 | П |
P14 | – | c.447G>A (экзон 4) | 2B | П |
P15 | – | c.C198G:p.Y66X (экзон 2) | 3 | П |
P16 | – | c.C863G:p.S288X (экзон 9) | 3 | П |
P17 | – | c.757dupA:p.P252fs (экзон 8) | 3 | П |
P18 | – | Делеция экзона 4 | 2B | П |
P19 | – | Делеция экзона 1 | 2A | П |
P20 | – | c.934delA:p.K312fs (экзон 10) | 3 | П |
P21 | – | c.C169T:p.R57X (экзон 2) | 3 | П |
P22 | – | Делеция экзонов 11‒17 | 2B | П |
P23 | – | c.374_381del:p.Q125fs (экзон 4) | 3 | П |
P24 | – | c.C193T:p.Q65X (экзон 2) | 3 | П |
P25 | – | c.C432G:p.Y144X (экзон 4) | 3 | П |
P26 | – | c.781delА:p.I261fs (экзон 8) | 3 | П |
P27 | – | c.1058delG:p.R353fs (экзон 11) | 3 | П |
P28 | + | c.1015_1018del:p.L339fs (экзон 11) | 2B | П |
P29 | – | c.C784T:p.R262X (экзон 8) | 3 | П |
P30 | – | c.459delinsTG:p.D154X (экзон 5) | 3 | П |
P31 | – | c.1502dupT:p.I501fs (экзон 14) | 2B | П |
P32 | + | c.519_522del:p.V173fs (экзон 6) | 2B | П |
P33 | – | c.G268T:p.E90X (экзон 3) | 3 | П |
ID | Мозаицизм | Генетический вариант | Класс по Halliday | Пат. |
P34 | – | c.884delT:p.L295fs (экзон 9) | 3 | П |
P35 | + | Делеция экзонов 1‒3 | 2A | П |
P36 | + | c.C784T:p.R262X (экзон 8) | 2B | П |
P37 | – | c.999+1G>A (экзон 10) | 2A | П |
P38 | + | c.1227dupG:p.Q410fs (экзон 12) | 2B | П |
P39 | – | c.241-9A>G (экзон 3) | 2B | ВП |
P40 | – | c.676-1G>T (экзон 8) | 2A | П |
P41 | – | c.810dupG:p.E270fs (экзон 8) | 3 | П |
P42 | + | c.1503_1504insGGTGACA: p.I501fs (экзон 14) | 2A | П |
P43 | + | c.G1340C:p.R447T (экзон 12) | 2A | ВП |
P44 | + | c.811delT:p.F271fs (экзон 9) | 2B | П |
P45 | + | c.C586T:p.R196X (экзон 6) | 2B | П |
P46 | – | c.1123-2A>G (экзон 12) | 2A | П |
P47 | – | c.1447delC:p.P483fs (экзон 14) | 2B | П |
P48 | – | c.C1009T:p.Q337X (экзон 11) | 3 | П |
P49 | + | c.995_999del:p.K332fs (экзон 10) | 2B | П |
P50 | – | Делеция экзонов 5‒6 | 2B | П |
P51 | – | c.C361T:p.Q121X (экзон 3) | 3 | П |
P52 | – | c.C592T:p.R198X (экзон 6) | 3 | П |
P53 | + | c.1580delA:p.E527fs (экзон 15) | 2A | П |
P54 | – | c.33delC:p.F11fs (экзон 1) | 2A | П |
P55 | + | c.C592T:p.R198X (экзон 6) | 2B | П |
P56 | – | c.346_348del:p.116_116del (экзон 3) | 2A | ВП |
P57 | – | Делеция экзонов 5‒17 | 2B | П |
P58 | + | Делеция экзонов 15‒16 | 2B | П |
P59 | – | c.363+1G>A (экзон 3) | 2B | П |
P60 | – | c.G1340A:p.R447K (экзон 12) | 2A | ВП |
P61 | + | c.C592T:p.R198X (экзон 6) | 2B | П |
P62 | – | c.447G>A (экзон 4) | 2B | П |
P63 | + | c.T896C:p.L299P (экзон 10) | 2A | ВП |
P64 | – | c.T896C:p.L299P (экзон 10) | 2A | ВП |
Примечание. Столбец ID соответствует персональному идентификатору пациента, в столбце Мозаицизм уточнен мозаичный (+) или герминальный (‒) статус генетического варианта. Все точковые мутации указаны в номенклатуре транскрипта NM_000268.
Так как для большинства пациентов отсутствовали данные, позволяющие объективно оценить скорость прогрессии заболевания, достоверно определить клинический подтип (Wishart/Gardner) не представлялось возможным.
При манифестации заболевания до достижения пациентом возраста 25 лет, клинический дебют оценивали как “ранний” (n = 54), в остальных случаях – “поздний” (n = 10).
Для пациентов с герминальной мутацией (n = 49) спектры генетических вариантов при раннем и позднем клиническом дебюте имели статистически значимые различия (p-value = 0.003). Однако зависимости между непосредственно возрастом клинического дебюта и типом мутации или эффектом, оказываемым мутацией на транскрипт, выявлено не было (p-value = 0.58 и 0.38 соответственно). Кроме того, так как при разделении пациентов на группы с умеренно-выраженным (n = 45) и тяжелым (n = 15) неврологическим статусом и сравнении возраста манифестации данных групп не выявлено статистически значимых различий (p-value = 0.13), было принято решение о разработке альтернативной клинической классификации.
В качестве критериев клинической классификации использовали характеристики: 1) количественные (возраст дебюта, возраст осмотра) и 2) качественные (большое количество интракраниальных опухолей (10 и более), большое количество спинальных опухолей (10 и более), тяжесть неврологического статуса (умеренно-выраженная или тяжелая), статус генетического варианта (герминальный или мозаичный)). В качестве метода уменьшения размерности применяли факторный анализ смешанных данных (FAMD) (рис. 2).
Рис. 2. FAMD клинических особенностей выборки (возраст дебюта, возраст на момент осмотра, тяжесть неврологической симптоматики, наличие более 10 интракраниальных опухолей, наличие более 10 опухолей в спинном мозге (СМ), представленность мутации в организме). а – каждая точка соответствует пациенту, отдельные панели характеризуют выборку (1) по наличию более 10 интракраниальных опухолей, выборку (2) – по наличию более 10 опухолей в спинном мозге, (3) – по представленности патогенного аллеля в организме, (4) – по тяжести неврологического статуса. Серые точки соответствуют отсутствию информации по конкретному признаку; б, в – вклад исследуемых признаков в измерения 1 и 2; г, д, – положение признаков в координатах проекции.
Вне зависимости от особенностей клинического течения пациенты с мозаичными мутациями имели более поздний возраст клинического дебюта, чем пациенты с герминальными генетическими вариантами (p-value = 0.002). Несмотря на то что пациенты с мозаичными мутациями реже характеризовались тяжелым неврологическим дефицитом, это наблюдение не является статистически значимым (p-value = 0.16).
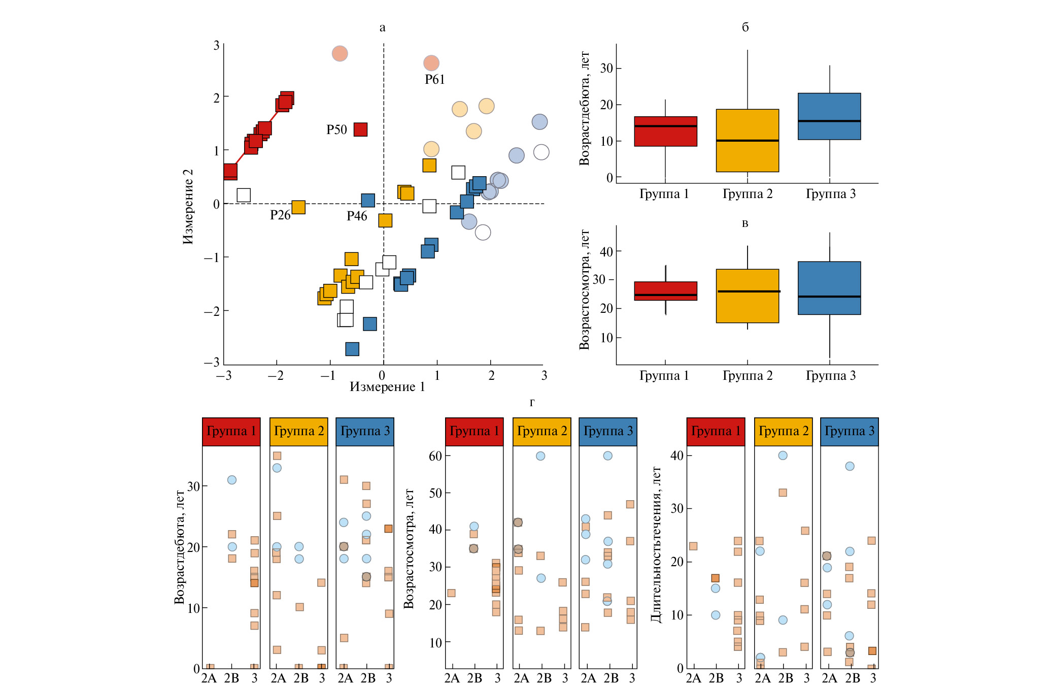
На основании распространенности опухолевого процесса было выделено три группы пациентов. Пациенты группы 1 характеризовались большим количеством (≥10) и интракраниальных, и спинальных опухолей (n = 15). К группе 2 относили пациентов с большим количеством (≥10) или интракраниальных, или спинальных опухолей (n = 16). Пациентов группы 3 определяло отсутствие большого количества опухолей и интракраниально, и в спинном мозге (n = 22). Часть пациентов не удалось отнести к определенной группе по причине отсутствия части клинических данных (n = 11) (рис. 3,а, табл. 2).
Рис. 3. Сравнение выделенных групп распространенности опухолевого процесса. а – FAMD клинических особенностей выборки. Красный цвет соответствует группе 1, желтый – группе 2, синий – группе 3. Квадратная форма маркера соответствует пациенту с герминативной мутацией, круглая – с мозаичной; б – распределение возраста дебюта в выделенных группах; в – распределение возраста осмотра в выделенных группах; г – возраст клинического дебюта, возраст осмотра, длительность течения заболевания для различных категорий по Halliday в выделенных группах. Оранжевый квадратный маркер соответствует герминальным вариантам, синий круглый – мозаичным.
Таблица 2. Характеристика выборки и выделенных клинических групп распространенности опухолевого процесса
Показатель | Всего | Группа 1 | Группа 2 | Группа 3 | p-value |
N | 64 | 15 | 16 | 22 | ‒ |
Пол (муж./жен.) | 24/40 | 7/8 | 6/10 | 5/17 | 0.31 |
Возраст дебюта, лет | 0‒35 MED = 15.5 IQR = 12.3 | 0‒31 MED = 15 IQR = 8 | 0‒35 MED = 16 IQR = 17 | 0‒31 MED = 19 IQR = 8 | 0.31 |
Возраст осмотра, лет | 3‒60 MED = 26.5 IQR = 16.3 | 18‒41 MED = 27 IQR = 9.5 | 13‒60 MED = 28 IQR = 19 | 3‒60 MED = 31.5 IQR = 17.5 | 0.82 |
Длительность течения, лет | 0‒40 MED = 10.5 IQR = 13 | 4‒24 MED = 13 IQR = 7.5 | 0‒40 MED = 10.5 IQR = 18.8 | 0‒38 MED = 12 IQR = 16 | 0.71 |
Неврологический статус (тяж./ум./н.д.) | 15/45/4 | 13/2/0 | 1/13/2 | 1/21/0 | 2.39e-08 |
Семейный анамнез (есть/нет) | 9/55 | 2/13 | 0/16 | 4/18 | 0.22 |
Соматический мозаицизм (есть/нет) | 15/49 | 2/13 | 4/12 | 7/15 | 0.47 |
Эффект мутации (терм./альт./н.д.)* | 40/7/17 | 12/1/2 | 6/4/6 | 15/2/5 | 0.13 |
Класспо Halliday (2A/2B/3) | 17/23/24 | 1/4/10 | 8/4/4 | 7/9/6 | 0.037 |
Примечание. * – Эффект, оказываемый мутацией на транскрипт. Сокращения: терм. – преждевременная терминация транскрипции (нонсенс-мутации, инсерции и делеции со сдвигом рамки считывания), альт. ‒ изменение аминокислотной последовательности (миссенс-мутации, инсерции и делеции без сдвига рамки считывания), н.д. – эффект, оказываемый мутацией на транскрипт, неизвестен (протяженные делеции, мутации в сайтах сплайсинга).
Абсолютное большинство пациентов с тяжелым неврологическим статусом относилось к группе 1 (p-value = 2.4e-08), за исключением двух (ID: P25, P46). Также неврологический статус двух пациентов из группы 1 (ID: P50, P61) был определен как умеренно-выраженный, несмотря на высокую опухолевую нагрузку.
Примечательно, что между пациентами вышеперечисленных групп с герминальными мутациями отсутствуют статистическизначимые различия по возрасту клинического дебюта (p-value = 0.31), возрасту на момент осмотра (p-value = 0.82) или продолжительности течения заболевания (p-value = 0.71). Среди подтвержденных семейных случаев, два пациента были отнесены к группе 1, четыре пациента – к группе 3, при этом возраст клинического дебюта варьировал от 0 до 31 года (MED = 13). Данные наблюдения позволяют предположить наличие генетического модификатора, определяющего разницу в тяжести течения заболевания пациентов одинаковых возрастных групп (рис. 3,б, в).
Выявлены статистически значимые различия по представленности прогностических классов по Halliday между выделенными группами (p-value = 0.037). Большинство мутаций в группе 1 относились к прогностическому классу “3” по Halliday, ассоциированному с наиболее тяжелым течением заболевания (n = 10), в то же время у пациентов с мутациями класса “2B” (n = 4) отмечалось более позднее начало заболевания, а у одного пациента была выявлена мутация класса “2A” – точковая мутация p.V219M (P06). В группе 3 необходимо отметить взрослых пациентов – носителей мутации, относящихся к прогностическому классу “3” по Halliday: p.Q121X (P51) и p.R198X (P52), возраст на момент осмотра 47 и 37 лет соответственно (рис. 3,г).
ОБСУЖДЕНИЕ
Нами было проведено исследование когорты пациентов с нейрофиброматозом 2-го типа, состоящей из 64 пробандов. Распределение возраста клинического дебюта, смещенное в сторону относительно ранней манифестации (MED = 15.5), позволяет предположить, что выборку преимущественно составили пациенты с тяжелым клиническим подтипом. Данное замечание предупреждает о необходимости соблюдения осторожности при экстраполяции закономерностей, выявленных в данной работе, на генеральную совокупность пациентов с данным диагнозом.
С точки зрения клинической практики значительный интерес представляют пациенты, у которых клинический дебют заболевания произошел в младенческом или раннем детском возрасте (n = 10). В некоторых случаях ранний дебют осложняет диагностический поиск. Например, в связи с наличием кожных проявлений в совокупности с подкожными шванномами, диагнозом, предполагаемым изначально для пациента P03, являлся нейрофиброматоз 1-го типа. У данного пациента необходимо также отметить наличие двусторонних вестибулярных шванном к трехлетнему возрасту при сохранном слухе. Данный клинический признак не является исключительно редким явлением среди педиатрических пациентов с нейрофиброматозом 2-го типа [24], что свидетельствует о необходимости регулярных контрольных исследований для пациентов детского возраста. Однако в настоящее время единого мнения о тактике наблюдения и старта терапии в этой группе пациентов не существует, также не исследована безопасность и отдаленная эффективность существующих методов лечения, а также влияние раннего старта терапии на риск развития неврологического дефицита.
Доля соматического мозаицизма в исследуемой выборке составила 23.4%, что согласуется с ожидаемой частотой данного явления при нейрофиброматозе 2-го типа [25]. Пациенты с соматическим мозаицизмом характеризовались более поздним возрастом клинического дебюта, чем пациенты с герминальной мутацией. Однако в некоторых случаях пациенты с мозаичной мутацией имели высокую опухолевую нагрузку (40.0%) или выраженный неврологический дефицит (6.6%), что свидетельствует о необходимости осторожной оценки мозаичного статуса мутации в качестве предиктора благоприятного прогноза.
Наиболее значимой является корреляция распространенности опухолевого процесса и тяжелого неврологического статуса (p-value = 2.4e–08). В случаях, противоречащих данному правилу (P25, P46), тяжесть неврологического статуса предположительно обусловлена большими интрамедуллярными новообразованиями, а также отсутствием своевременной терапии (на момент первичного обращения у обоих пациентов уже присутствовал тяжелый неврологический дефицит с развитием нижнего парапареза и проводниковых чувствительных расстройств.
В современном представлении клинический подтип определяется возрастом клинического дебюта и скоростью роста новообразований. Для оценки последнего необходимо проведение последовательного ряда инструментальных исследований в определенном диапазоне времени, что часто отсутствует на момент первичного обращения пациента в медицинскую организацию. Кроме того, в настоящий момент отсутствуют четкие критерии классификации на клинические подтипы Wishart и Gardner и их дифференциация во многом остается субъективной оценкой.
На основании данных о возрасте дебюта, возрасте осмотра, наличии соматического мозаицизма, распространенности опухолевого процесса и тяжести неврологической симптоматики нами разработан альтернативный подход, основанный только на использовании данных о распространенности опухолевого процесса на момент осмотра для клинической классификации нейрофиброматоза 2-го типа, который может быть применен на этапе первичного осмотра с целью выбора оптимальной частоты контрольных исследований. Наличие статистически значимых различий (p-value = 0.037) в представленности прогностических классов по Halliday между группами, выделенными при помощи альтернативной классификации, позволяет предположить, что данный подход может быть интегрирован в клиническую практику.
Исследование выполнено за счет гранта Российского научного фонда №21-15-00262 и в рамках Государственного задания Минобрнауки России для ФГБНУ МГНЦ
Авторы благодарят Центр коллективного пользования (ЦКП) “Геном” ФГБНУ МГНЦ за помощь в выполнении высокопроизводительного секвенирования ДНК.
Все процедуры, выполненные в исследовании с участием людей, соответствуют этическим стандартам институционального и/или национального комитета по исследовательской этике и Хельсинкской декларации 1964 г. и ее последующим изменениям или сопоставимым нормам этики.
От каждого из включенных в исследование участников было получено информированное добровольное согласие.
Авторы заявляют, что у них нет конфликта интересов.
About the authors
K. O. Karandasheva
Research Centre for Medical Genetics
Author for correspondence.
Email: vstrel@list.ru
Russian Federation, Moscow, 115522
E. S. Makashova
Burdenko National Medical Research Center of Neurosurgery; Loginov Moscow Clinical Scientific Center
Email: vstrel@list.ru
Russian Federation, Moscow, 125047; Moscow, 111123
F. A. Ageeva
Research Centre for Medical Genetics
Email: vstrel@list.ru
Russian Federation, Moscow, 115522
K. I. Anoshkin
Research Centre for Medical Genetics
Email: vstrel@list.ru
Russian Federation, Moscow, 115522
P. A. Sparber
Research Centre for Medical Genetics
Email: vstrel@list.ru
Russian Federation, Moscow, 115522
A. O. Borovikov
Research Centre for Medical Genetics
Email: vstrel@list.ru
Russian Federation, Moscow, 115522
P. A. Vasiluev
Research Centre for Medical Genetics
Email: vstrel@list.ru
Russian Federation, Moscow, 115522
M. S. Pashchenko
Research Centre for Medical Genetics
Email: vstrel@list.ru
Russian Federation, Moscow, 115522
A. S. Tanas
Research Centre for Medical Genetics
Email: vstrel@list.ru
Russian Federation, Moscow, 115522
V. V. Strelnikov
Research Centre for Medical Genetics
Email: vstrel@list.ru
Russian Federation, Moscow, 115522
References
- Coy S., Rashid R., Stemmer-Rachamimov A., Santagata S. An update on the CNS manifestations of neurofibromatosis type 2 // Acta Neuropathologica. 2020. V. 139. P. 643–665. https://doi.org/10.1007/s00401-019-02029-5
- Eldridge R., Parry D.M., Kaiser-Kupfer M.I. Neurofibromatosis 2 (NF2): Clinical heterogeneity and natural history based on 39 individuals in 9 families and 16 sporadic cases // Am. J. Hum. Genet.1991. V. 49. № 4. P. 133–133.
- Evans D.G., Huson S.M., Donnai D. et al. A genetic study of type 2 neurofibromatosis in the United Kingdom. I. Prevalence, mutation rate, fitness, and confirmation of maternal transmission effect on severity // J. Med. Genet. 1992. V. 29. № 12. P. 841–846. https://doi.org/10.1136/jmg.29.12.841
- Ragge N.K. Clinical and genetic patterns of neurofibromatosis 1 and 2 // British J. Ophthalmology. 1993. V. 77. № 10. P. 662–672.
- Parry D.M., Eldridge R., Kaiser-Kupfer M.I. et al. Neurofibromatosis 2 (NF2): Clinical characteristics of 63 affected individuals and clinical evidence for heterogeneity // Am. J. Med. Genet. 1994. V. 52. № 4. P. 450–461. https://doi.org/10.1002/ajmg.1320520411
- Ruttledge M.H., Andermann A.A., Phelan C.M. et al. Type of mutation in the neurofibromatosis type 2 gene (NF2) frequently determines severity of disease // Am. J. Med. Genet. 1996. V. 59. № 2. P. 331–342.
- Baser M.E., Kuramoto L., Woods R. et al. The location of constitutional neurofibromatosis 2 (NF2) splice site mutations is associated with the severity of NF2 // J. Med. Genet. 2005. V. 42. № 7. P. 540–546. https://doi.org/10.1136/jmg.2004.029504
- Baser M.E., Wallace A.J., Strachan T., Evans D.G. Clinical and molecular correlates of somatic mosaicism in neurofibromatosis 2 // J. Med. Genet. 2000. V. 37. № 7. P. 542–543. https://doi.org/10.1136/jmg.37.7.542
- Selvanathan S.K., Shenton A., Ferner R. et al. Further genotype–phenotype correlations in neurofibromatosis 2 // Clin. Genet. 2010. V. 77. № 2. P. 163–170. https://doi.org/10.1111/j.1399-0004.2009.01315.x
- Halliday D., Emmanouil B., Pretorius P. et al. Genetic Severity Score predicts clinical phenotype in NF2 // J. Med. Genet. 2017. V. 54. № 10. P. 657–664. https://doi.org/10.1136/jmedgenet-2017-104519
- Bettegowda C., Upadhayaya M., Evans D.G. et al. Genotype-phenotype correlations in neurofibromatosis and their potential clinical use // Neurology. 2021. V. 97. № 7. Suppl. 1. P. S91–S98. https://doi.org/10.1212/WNL.0000000000012436
- Ahlawat S., Fayad L.M., Khan M.S. et al. Current whole-body MRI applications in the neurofibromatoses: NF1, NF2, and schwannomatosis // Neurology. 2016. V. 87. № 7. Suppl 1. P. S31–S39. https://doi.org/10.1212/WNL.0000000000002929
- Gugel I., Grimm F., Teuber C. et al. Management of NF2-associated vestibular schwannomas in children and young adults: Influence of surgery and clinical factors on tumor volume and growth rate // J. Neurosurgery: Pediatrics. 2019. V. 24. № 5. P. 584–592. https://doi.org/10.3171/2019.6.PEDS1947
- Baser M.E., Friedman J.M., Joe H. et al. Empirical development of improved diagnostic criteria for neurofibromatosis 2 // Genet. in Medicine. 2011. V. 13. № 6. P. 576–581. https://doi.org/10.1097/GIM.0b013e318211faa9
- Evans D.G. Neurofibromatosis type 2 // Handbook Clin. Neurology. 2015. V. 132. P. 87–96. https://doi.org/10.1016/B978-0-444-62702-5.00005-6 github.com/kkarandasheva/AmpliSep
- Рыжкова О.П., Кардымон О.Л., Прохорчук Е.Б. и др. Руководство по интерпретации данных последовательности ДНК человека, полученных методами массового параллельного секвенирования (MPS) (редакция 2018, версия 2) // Мед. генетика. 2019. Т. 18. № 2. С. 3–23. https://doi.org/10.25557/2073-7998.2019.02.3-23
- Richards S., Aziz N., Bale S. et al. Standards and guidelines for the interpretation of sequence variants: A joint consensus recommendation of the American College of Medical Genetics and Genomics and the Association for Molecular Pathology // Genet. in Medicine. 2015. V. 17. №. 5. P. 405–423 https://doi.org/10.1038/gim.2015.30
- Lê S., Josse J., Husson F. FactoMineR: An R package for multivariate analysis // J. Stat. Software. 2008. V. 25. P. 1–18. https://doi.org/10.18637/jss.v025.i01
- Josse J., Husson F. missMDA: A package for handling missing values in multivariate data analysis // J. Stat. Software. 2016. V. 70. P. 1–31. https://doi.org/10.18637/jss.v070.i01 https://cran.r-project.org/package=factoextra
- Wickham H. ggplot2: Elegant Graphics for Data Analysis. N. Y.: Springer-Verlag. 2016. 213 p. ISBN 978-3-319-24277-4 https://CRAN.R-project.org/package=ggpubr
- Godel T., Bäumer P., Farschtschi S. et al. Peripheral nervous system alterations in infant and adult neurofibromatosis type 2 // Neurology. 2019. V. 93. №. 6. P. e590–e598. https://doi.org/10.1212/WNL.0000000000007898
- Louvrier C., Pasmant E., Briand-Suleau A. et al. Targeted next-generation sequencing for differential diagnosis of neurofibromatosis type 2, schwannomatosis, and meningiomatosis // Neuro-Oncology. 2018. V. 20. № 7. P. 917-929. https://doi.org/110.1093/neuonc/noy009
Supplementary files





