Exosomal miRNA-146a and miRNA-424 as possible predictors of immune checkpoint inhibitors therapy response in clear cell renal cell carcinoma
- Authors: Asadullina D.D.1,2, Gilyazova I.R.1,2, Ivanova E.A.1, Izmailova S.M.2, Gilyazova G.R.2, Pavlov V.N.2, Khusnutdinova E.K.1,2
-
Affiliations:
- Institute of Biochemistry and Genetics – Subdivision of the Ufa Federal Research Centre of the Russian Academy of Sciences
- Federal State Budgetary Educational Institution of Higher Education “Bashkir State Medical University” of the Ministry of Health of the Russian Federation
- Issue: Vol 60, No 3 (2024)
- Pages: 94-103
- Section: ГЕНЕТИКА ЧЕЛОВЕКА
- URL: https://journal-vniispk.ru/0016-6758/article/view/262305
- DOI: https://doi.org/10.31857/S0016675824030107
- EDN: https://elibrary.ru/DOGQTN
- ID: 262305
Cite item
Full Text
Abstract
Clear cell renal cell carcinoma (ccRCC) is a malignant kidney tumor with a poor prognosis and difficult to treat. Despite significant advances in the treatment of ccRCC, immune checkpoint in-hibitors (ICI) still have limited therapeutic efficacy. A growing body of work has demonstrated that exosomal microRNAs are key modulators of tumor signaling and determinants of the tumor microenvironment. Disruption of microRNA regulation may affect ccRCC immunogenicity and response to ICI therapy, making them attractive for use as prognostic molecular genetic bi-omarkers. We evaluated exosomal miRNAs (miRNA-424,-146a,-503, -144) expression levels before and after ICI therapy in plasma samples obtained from 42 ccRCC patients. Expression analysis was performed by real-time PCR method. The results showed that the expression levels of miRNA-424 and miRNA-146a were upregulated after ICI therapy treatment (miRNA-424 = Mean ± SEM 1.202 ± 0.15 and miRNA-146a = 12.22 ± 1.45) compared expression levels before therapy (miRNA-424=Mean±SEM 0.63 ± 0.17; p-value = 0.03 and miRNA-146a = 7.03 ± 0.90; p-value = 0.006). miRNA-424 and miRNA-146a can be used to create a panel of molecular markers for evaluating the effectiveness of immune checkpoint inhibitors therapy. Even though this is very preliminary and requires further studying on a larger sample, it further increases the interest in using microRNAs, as additional ICI therapeutic markers capable of modulating immune tolerance.
Full Text
В последние годы произошла существенная эволюция в терапии рака, направленная главным образом на применение иммунотерапевтических подходов, заменяющих классические методы лечения, такие как химиотерапия, лучевая терапия и хирургия, или в сочетании с ними [1]. Ингибиторы контрольных точек иммунитета (ИКТИ) являются хорошо зарекомендовавшими себя высокоэффективными препаратами для лечения различных видов рака, включая светлоклеточную почечно-клеточную карциному (скПКК). Несмотря на прогресс и беспрецедентные достижения в области иммунотерапии рака, резистентность остается серьезной клинической проблемой [2, 3].
Некодирующие РНК в последние несколько лет стали ключевыми игроками в эпигенетической регуляции генов, среди них микроРНК (miRNAs) широко изучаются на предмет их потенциальной роли в регуляции различных клеточных процессов в норме и патологии. МикроРНК – это некодирующие РНК длиной около 22 нуклеотидов, которые являются посттранскрипционными регуляторами экспрессии генов [4]. Способность микроРНК ингибировать трансляцию онкогенов и опухолевых супрессоров предполагает их участие в канцерогенезе [5–7]. Предыдущие исследования показали, что микроРНК стабильны в плазме или сыворотках крови, тканеспецифичны и имеют прогностическую клиническую ценность в качестве биомаркеров [8, 9].
Цель данного исследования – оценка профиля экспрессии экзосомальных микроРНК (микроРНК-424, -146а, -503, -144) у пациентов со светлоклеточной почечно-клеточной карциномой до и после терапии ингибиторами контрольных точек иммунного ответа для поиска дополнительных биомаркеров эффективности иммунотерапии.
МАТЕРИАЛЫ И МЕТОДЫ
В исследовании приняли участие 42 пациента с гистологически подтвержденным диагнозом “светлоклеточная почечно-клеточная карцинома”, получавшиx терапию ингибиторами контрольных точек иммунного ответа в период с 2020 по 2023 г., проживающиx на территории Республики Башкортостан. Забор образцов венозной крови у пациентов до и после терапии осуществлялся сотрудниками Республиканского клинического онкологического диспансера, отделения онкологии и урологии клиники Башкирского государственного медицинского университета. От каждого пациента было получено информированное согласие на забор биологического материала и проведение молекулярно-генетического исследования.
Выделение экзосомальных микроРНК из 1 мл плазмы крови, синтез кДНК и количественную ПЦР в реальном времени проводили, как описано ранее [10] с использованием соответствующих наборов miRCURY LNA (Qiagen, Hilden, Германия) на приборе для ПЦР в реальном времени Rotor-Gene Q (Qiagen, Hilden). МикроРНК-16 и микроРНК-1228 были использованы в качестве референсных генов (эндогенный контроль), а UniSp2, UniSp4, UniSp5, UniSp6 и синтетическая микроРНК-39 – в качестве экзогенных контролей выделения, обратной транскрипции и амплификации, входящих в состав наборов (Qiagen, Hilden). Уровень экзосомальных микроРНК оценивали методом 2–ΔΔCt.
РЕЗУЛЬТАТЫ
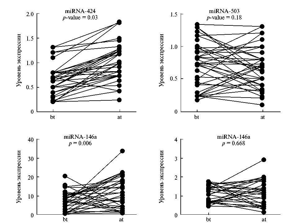
Анализ экспрессии был проведен с помощью количественной ПЦР в реальном времени. Наблюдалась статистически значимая дисрегуляция экспрессии экзосомальных микроРНК-424 и микроРНК-146а. Уровни экспрессии микро-РНК увеличились после терапии (микро-РНК-424 = Mean ± SEM 1.202 ± 0.15 и микроРНК-146a = 12.22 ± 1.45) по сравнению с уровнями до терапии (микроРНК-424 = Mean ± SEM 0.63 ± 0.17; p-value = 0.03 и микроРНК-146a = 7.03 ± 0.90; p-value = 0.006). Остальные микроРНК не продемонстрировали существенных различий в уровнях экспрессии микроРНК между двумя группами (p-value > 0.05) (рис. 1,а–г; табл. 1).
Рис. 1. Уровни экспрессии экзосомальных микроРНК у пациентов с скПКК, получавших терапию ИКТИ. а – miRNA-424; б – miRNA-503; в – miRNA-146a; г – miRNA-144. Уровень значимости p-value рассчитывался с использованием критерия Вилкоксона. bt – до терапии; at – после терапии.
Таблица 1. Анализ экспрессии экзосомных микроРНК
МикроРНК | До терапии ИКТИ (Mean ± SEM) | После терапии ИКТИ (Mean ± SEM) | p-value |
146a | 7.03 ± 0.90 | 12.22 ± 1.45 | 0.006 |
424 | 0.63 ± 0.17 | 1.202 ± 0.15 | 0.03 |
503 | 0.77 ± 0.05 | 0.71 ± 0.05 | 0.18 |
144 | 2.42 ± 0.46 | 2.58 ± 0.65 | 0.668 |
Примечание. Полужирным шрифтом даны статистически значимые результаты.
Целевые микроРНК обладают широким спектром биологических функций. Было обнаружено, что многие из изученных генов – функциональные, тесно связанные с ПКК и иммунитетом. Анализ KEGG-путей показал, что микроРНК-424 и микроРНК-146а были значительно обогащены в нескольких путях (табл. 2, рис. 2).
Таблица 2. Анализ путей обогащения KEGG для экзосомальных микроРНК-146а и микроРНК-424
FDR | Число генов-мишеней | Число генов сигнального пути | Название сигнального пути |
2.9 *10–8 | 5 | 89 | Экспрессия PD-L1 и сигнальный путь контрольных точек в онкологии |
4.8*10–7 | 4 | 76 | Коклюш |
1.1*10–6 | 4 | 101 | Болезнь Шагаса |
2.5*10–5 | 3 | 76 | Лейшманиоз |
1.1*10–6 | 4 | 103 | Сигнальный путь Toll-подобных рецепторов |
1.1*10–6 | 4 | 104 | Сигнальный путь NF-kappa B |
1.4*10–7 | 5 | 139 | Корь |
1.4*10–6 | 4 | 112 | Токсоплазмоз |
1.9*10–7 | 5 | 161 | Гепатит В |
2.8*10–6 | 4 | 137 | Иерсиниозная инфекция |
2.9*10–6 | 4 | 141 | Алкогольная болезнь печени |
2.4*10–7 | 5 | 179 | Туберкулез |
6.7*10–5 | 3 | 109 | Сигнальный путь HIF-1 |
4.4*10–7 | 5 | 210 | Инфекция вируса иммунодефицита человека 1 |
1.0*10–5 | 4 | 197 | Инфекция патогенной кишечной палочки |
1.0*10–5 | 4 | 202 | Инфекция вируса Эпштейна-Барр |
1.2*10–5 | 4 | 214 | Липиды и атеросклероз |
1.6*10–5 | 4 | 232 | Коронавирусная инфекция |
2.0*10–5 | 4 | 249 | Инфекция сальмонелл |
3.4*10–5 | 4 | 294 | Сигнальный путь MAPK |
Рис. 2. Анализ обогащения сигнальных путей GO и диаграмма, отражающая результаты анализа обогащения KEGG-путей, проведенного для микроРНК-146a и микроРНК-424 и их валидированных мишеней.
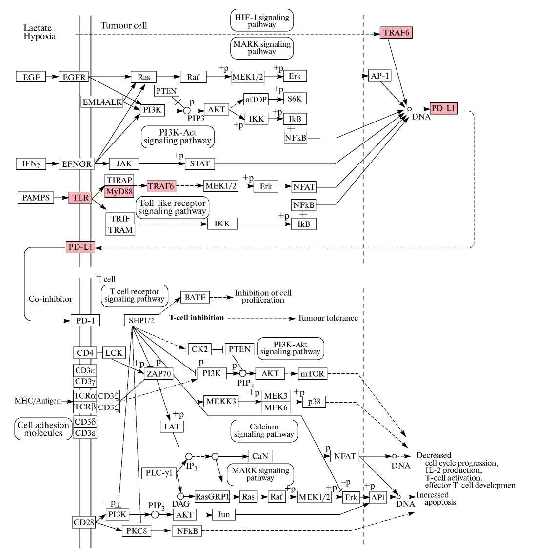
Для оценки участия валидированных генов-мишеней микроРНК-424 и микроРНК-146а в соответствующих сигнальных путях, развивающих иммуновоспалительные реакции при раке, был проведен анализ Gene Ontology (GO) (рис. 3).
Рис. 3. Сигнальный путь экспрессии PD-L1 и контрольных точек PD-1, включая валидированные гены-мишени микроРНК-146а и микроРНК-424 (выделены красным цветом), согласно базе данных KEGG.
Для оценки диагностической точности экзосомальных микроРНК как маркеров эффективности терапии ИКТИ были построены ROC-кривые. Результаты показали, что площадь под кривой (AUC) микроРНК-424 составляет 0.804 (95% ДИ: 0.7082–0.9006) и обеспечивает 73.8% специфичности и 88.1% чувствительности; диагностическая точность микроРНК-424 выше, чем у комбинации микроРНК (рис. 4).
Рис. 4. ROC-анализ для прогнозирования ответа на терапию ИКТИ при скПКК на основе анализа экспрессии экзосомальной микроРНК-424.
ОБСУЖДЕНИЕ
Несмотря на то, что иммунотерапия высокоэффективна при многих видах рака на поздних стадиях, часть пациентов остается резистентной к терапии или вынуждена отменить терапию из-за тяжелых побочных эффектов, связанных с иммунитетом. Ввиду того, что для назначения иммунотерапии используется опухолевая (тканевая) экспрессия PD-L, которая не является специфичным и точным маркером, существует острая потребность в более достоверных биомаркерах для прогнозирования ответа на иммунотерапию, что позволит избирательно стратифицировать пациентов. Экспрессия микроРНК у пациентов, получавших иммунотерапию, и потенциальная роль микроРНК в реакции пациентов на терапию – на сегодняшний день актуальная тема для исследования. Работы по изучению профиля экспрессии экзосомальных микроРНК у пациентов с скПКК, получающих терапию ИКТИ, представлены единичными исследованиями, что требует более детального изучения роли микроРНК в прогнозировании эффективности терапии ИКТИ.
В исследовнии Z. Wang с соавт. сообщалось, что циркулирующая микроРНК-21 функционирует как неинвазивный прогностический биомаркер ответа при иммунотерапии рака [11]. L. Chen с соавт. [12] продемонстрировали, что микроРНК-200 ингибирует PD-L1, предотвращая эпителиально-мезенхимальный переход (ЭМП) и метастазирование при раке легких. Известно, что p53 регулирует PD-L1 с помощью микроРНК-34a [13], которая непосредственно связывается с 3'-нетранслируемой областью PD-L1 при немелкоклеточном раке легкого (НМРЛ), подавляя экспрессию PD-L1.
Лекарственная устойчивость – одна из наиболее значимых проблем в клинической практике. Было показано, что потеря микроРНК-424(322)/503 способствует развитию химиорезистентности за счет регуляции двух ее мишеней – регулятора апоптоза BCL-2 и рецептора инсулиноподобного фактора роста-1 IGF1R, а таргетная терапия, блокирующая аберрантную активность этих мишеней, восстанавливает чувствительность к химиотерапии [14].
Имеются данные, что микроРНК-424 участвует в формировании лекарственной устойчивости больных раком желудка, получающих химиотерапию препаратами платины. Одним из генов-мишеней микроРНК-424 является SMURF1, который участвует в убиквитиназной активности. У пациентов, резистентных к цисплатину, снижение экспрессии микроРНК-424 увеличивало экспрессию гена Е3-убиквитин-протеинлигазы SMURF1, а также стимулировало экспрессию гена члена семейства гомологов Ras A RHOA, который играет роль в лекарственной устойчивости [15]. В другом исследовании было показано, что снижение экспрессии микроРНК-424-3p препятствует увеличению экспрессии гена ABCC2, кодирующего белок 2, связанного с множественной лекарственной устойчивостью, и приводит к лекарственной устойчивости и прогрессии опухоли, а противоположные результаты были получены Y. Li с соавт., которые показали, что как in vivo, так и in vitro сверхэкспрессия микроРНК-424-3p играет важную роль в устойчивости клеток рака желудка к цисплатину [16]. Известно, что гипоксия индуцирует экспрессию микроРНК-424, а сверхэкспрессия этой микроРНК подавляет опухолевый супрессор PDCD4, участвующий в апоптозе. В исследовании D. Zhang с соавт. снижение регуляции микроРНК-424 повышало гибель клеток под воздействием доксорубицина, обусловленную усилением апоптоза [17].
В другом исследовании стимуляция экспрессии микроРНК-424-3p способствовала сенсибилизации клеток рака яичников к цисплатину за счет снижения экспрессии белка галектина-3, кодируемого геном LGALS3 [18]. Также был идентифицирован ряд микроРНК (микроРНК-34a, -34b, -187, -199a, -199b, -146a, -15b, -130a, -214, и -424), которые дифференциально экспрессируются при лечении доксорубицином. Исследование биологической значимости идентифицированных микроРНК выявило взаимосвязь с функцией кардиомиоцитов и кардиотоксичностью, что позволит в дальнейшем использовать определенные сигнатуры микроРНК в качестве потенциальных биомаркеров лекарственно-индуцированной кардиотоксичности [19].
Известно, что в формировании лекарственной резистентности при остеосаркоме большую роль играет длинная некодирующая РНК (lncRNA) LINC01116, которая ингибирует экспрессию микроРНК-424-5p, связываясь с геном EZH2, кодирующим гистон-лизин-N-метилтрансферазу, и тем самым повышает устойчивость клеток остеосаркомы к доксорубицину [20]. B. Ralla с соавт. исследовали роль микроРНК-9-5p в резистентности к другой группе препаратов, ингибиторам тирозинкиназ (ИТК), в сравнении с другими клиническими признаками (возраст, пол, стадия опухоли, статус метастазирования и др). Сверхэкспрессия микроРНК-9-5p и пониженная экспрессия микроРНК-489-3p были ассоциированы с отсутствием ответа на терапию ИТК у пациентов с метастатической ПКК [21]. В другом исследовании, проведенном A. Gamez-Pozo с соавт., изучалась прогностическая способность моделей, включающих экспрессию микроРНК, в отношении резистентности к терапии сунитинибом. При сравнении таких моделей с классификацией риска MSKCC для прогнозирования общей выживаемости модель, включающая микроРНК-192, -193-3p и -501-3p, показала хорошую способность выявлять пациентов с плохим ответом на терапию и хорошую точность прогнозирования общей выживаемости [22]. По данным исследования, проведенного J. Kovacova и соавт., микроРНК-376b-3p может быть использована для прогнозирования ответа на терапию сунитинибом при метастатических опухолях [23].
J. He с соавт. [24] предположили, что микроРНК-31-5p, транспортируемая внеклеточными везикулами, участвует в развитии резистентности к мультитаргетному рецептору тирозинкиназ сорафенибу. Y. Liu с соавт. исследовали систему доставки лекарственных средств в виде нановезикул, нагруженных комбинацией анти PD-L1 и микроРНК-424. Эти нановезикулы активировали Т-клетки, которые высвобождали большое количество цитокинов, таких как IFN-γ и IL-2, для активации макрофагов и NK-клеток, что способствовало ингибированию роста подкожно трансплантированной гепатоцеллюлярной карциномы у мышей [25].
Во многих исследованиях микроРНК-146а рассматривается как негативный регулятор иммунной активации, сопоставимый с молекулами иммунных чекпоинтов. Известно, что микроРНК-146a играет центральную роль в оси STAT1/IFNγ в микроокружении меланомы, влияя на миграцию, пролиферацию, функцию митохондрий и уровень PD-L1[26]. Установлено, что при снижении экспрессии микроРНК-146a развиваются заметно более тяжелые иммуноопосредованные нежелательные явления (иоНЯ). А полиморфный вариант (SNP) rs2910164, приводящий к снижению экспрессии микроРНК-146a, ассоциирован с повышенным риском развития тяжелых иоНЯ [27]. В нашей работе мы также подтвердили, что снижение экспрессии микроРНК-146 у больных с скПКК с тяжелыми иоНЯ и SNP rs2910164 коррелируют с повышенным риском развития тяжелых осложнений [10]. Ранее было описано, что регуляция микроРНК-146a играет важную роль в усилении иммунной супрессии путем увеличения популяции регуляторных Т-клеток и может модулировать лекарственную устойчивость опухолевых клеток [28].
В другом исследовании выявили снижение микроРНК-150, -146a и -424 в мононуклеарных клетках периферической крови у пациентов с сахарным диабетом 1-го типа, вероятно ассоциированных с позитивностью аутоантител и разрушением эндогенной остаточной функции бета-клеток, что указывает на участие этих микроРНК в регуляции имунного ответа [29].
X.-X. Peng и соавт. оценили возможность использования экзосомальных микроРНК плазмы крови в качестве биомаркеров у пациентов с НМРЛ, получающих иммунотерапию [30]. В этом исследовании три микроРНК семейства hsa-miRNA-320 (микроРНК-320d, -320c и -320b) были определены как потенциальные предикторы ответа, поскольку их уровни были значительно повышены в группе пациентов с прогрессирующим заболеванием по сравнению с группой пациентов с частичным ответом на исходном уровне до начала лечения. Кроме того, было обнаружено, что уровень микроРНК-125b-5p снижен у пациентов, ответивших на лечение ИКТИ. A.R. Halvorsen с соавт. провели секвенирование следующего поколения (NGS) с профилированием микроРНК в образцах сыворотки крови, собранных у пациентов с НМРЛ до начала иммунотерапии ниволумабом [31]. Они выявили сигнатуру, состоящую из семи микроРНК (микроРНК-215-5p, -411-3p, -493-5p, -494-3p, -495-3p, -548-5p и -93-3p), которая была статистически значимо связана с общей выживаемостью. M. Boeri и соавт. проспективно оценивали экспрессию микроРНК плазмы крови у пациентов с НМРЛ до начала терапии ИКТИ. Анализ профиля ряда микроРНК позволил оценить взаимосвязь с такими показателями как общая частота ответа, выживаемость без прогрессирования и общая выживаемость. Уровень экспрессии микроРНК во время терапии снижался и оставался низким до прогрессирования опухоли у пациентов, отвечающих на терапию. Анализ профиля ряда микроРНК позволил оценить взаимосвязь с такими показателями как общая частота ответа, выживаемость без прогрессирования и общая выживаемость. Уровень экспрессии микроРНК во время терапии снижался и оставался низким до прогрессирования опухоли у пациентов, отвечающих на терапию [32].
N. Rajakumar с соавт. также оценивали профиль экспрессии различных микроРНК при НМРЛ и выявили пять микроРНК (микроРНК-2115-3р, -218-5р,-224-5р,-4676-3р,6503-5р) для оценки риска, позволяющие предсказать общую выживаемость пациентов с НМРЛ IV стадии, получающих монотерапию ингибитором PD-1 [33]. Другие итальянские исследователи признали экзосомальную микроРНК-625-5p новым независимым биомаркером ответа и выживаемости у пациентов, получающих ИКТИ в первой, второй или третьей линии терапии при НМРЛ [34].
Ответ на иммунотерапию, вероятно, определяется сложным взаимодействием между опухолью и иммунозависимыми факторами, что по своей сути ограничивает прогнозирование ответа на основе отдельно взятых биомаркеров и односторонних параметров опухоли. К тому же ограниченность выборки, гетерогенность опухоли, межпопуляционные различия также требуют дальнейшего углубленного изучения для восполнения пробела в знаниях. Очевидно, что выявление и валидация дополнительных прогностических биомаркеров для оценки эффективности и безопасности иммунотерапии будут активным направлением исследований на несколько лет вперед. В эпоху персонализированной медицины необходимы дальнейшие исследования и подтверждение результатов на более крупной независимой когорте пациентов, а также моделирование in vitro и in vivo, что позволит внедрить микроРНК для мониторинга и прогнозирования реакции на лечение и резистентности терапии ИКТИ в клинических условиях.
Исследование выполнено за счет гранта Российского научного фонда № 23-25-00392, https://rscf.ru/project/23-25-00392/.
Все процедуры, выполненные в исследовании с участием людей, соответствуют этическим стандартам институционального и/или национального комитета по исследовательской этике и Хельсинкской декларации 1964 г. и ее последующим изменениям или сопоставимым нормам этики.
От каждого из включенных в исследование участников было получено информированное добровольное согласие.
Авторы заявляют, что у них нет конфликта интересов.
About the authors
D. D. Asadullina
Institute of Biochemistry and Genetics – Subdivision of the Ufa Federal Research Centre of the Russian Academy of Sciences; Federal State Budgetary Educational Institution of Higher Education “Bashkir State Medical University” of the Ministry of Health of the Russian Federation
Author for correspondence.
Email: dilara.asadullina@yandex.ru
Russian Federation, Ufa, 450054; Ufa, 450008
I. R. Gilyazova
Institute of Biochemistry and Genetics – Subdivision of the Ufa Federal Research Centre of the Russian Academy of Sciences; Federal State Budgetary Educational Institution of Higher Education “Bashkir State Medical University” of the Ministry of Health of the Russian Federation
Email: gilyasova_irina@mail.ru
Russian Federation, Ufa, 450054; Ufa, 450008
E. A. Ivanova
Institute of Biochemistry and Genetics – Subdivision of the Ufa Federal Research Centre of the Russian Academy of Sciences
Email: dilara.asadullina@yandex.ru
Russian Federation, Ufa, 450054
S. M. Izmailova
Federal State Budgetary Educational Institution of Higher Education “Bashkir State Medical University” of the Ministry of Health of the Russian Federation
Email: dilara.asadullina@yandex.ru
Russian Federation, Ufa, 450008
G. R. Gilyazova
Federal State Budgetary Educational Institution of Higher Education “Bashkir State Medical University” of the Ministry of Health of the Russian Federation
Email: dilara.asadullina@yandex.ru
Russian Federation, Ufa, 450008
V. N. Pavlov
Federal State Budgetary Educational Institution of Higher Education “Bashkir State Medical University” of the Ministry of Health of the Russian Federation
Email: dilara.asadullina@yandex.ru
Russian Federation, Ufa, 450008
E. K. Khusnutdinova
Institute of Biochemistry and Genetics – Subdivision of the Ufa Federal Research Centre of the Russian Academy of Sciences; Federal State Budgetary Educational Institution of Higher Education “Bashkir State Medical University” of the Ministry of Health of the Russian Federation
Email: dilara.asadullina@yandex.ru
Russian Federation, Ufa, 450054; Ufa, 450008
References
- Najberg M., Mansor M.H., Boury F. et al. Reversing the tumor target: establishment of a tumor trap // Front. Pharmacol. 2019. V. 10. https://doi.org/10.3389/fphar.2019.00887
- Jackson C.M., Choi J., Lim M. Mechanisms of immunotherapy resistance: Lessons from glioblastoma // Nat. Immunol. 2019. V. 20. № 9. P. 1100–1109. https://doi.org/10.1038/s41590-019-0433-y
- Gilyazova I.R., Asadullina D.D., Ivanova E.A. et al. Germline mutations as possible biomarkers of immune checkpoint inhibitor therapy efficacy in patients with renal cell carcinoma (mini review) // Res. Results in Biomed. 2022. V. 8. № 2. P. 164–179. https://doi.org/10.18413/2658-6533-2022-8-2-0-3
- Vishnoi A., Rani S. miRNA biogenesis and regulation of diseases: An updated overview // Methods Mol. Biol. 2023. P. 1–12. https://doi.org/10.1007/978-1-0716-2823-2_1
- Hill M., Tran N. miRNA interplay: Mechanisms and consequences in cancer // Dis. Model Mech. 2021. V. 14. № 4. https://doi.org/10.1242/dmm.047662
- Khan A., Ahmed E.I., Elareer N.R. et al. Role of mi RNA-regulated cancer stem cells in the pathogenesis of human malignancies // Cells. 2019. V. 8. № 8. https://doi.org/10.3390/cells8080840
- Hussen B.M., Hidayat H.J., Salihi A. et al. MicroRNA: A signature for cancer progression // Biomedicine & Pharmacotherapy. 2021. V. 138. https://doi.org/10.1016/j.biopha.2021.111528
- He B., Zhao Zh.,Cai Q. et al. miRNA-based biomarkers, therapies, and resistance in cancer // Int. J. Biol. Sci. 2020. V. 16. № 14. P. 2628–2647. https://doi.org/10.7150/ijbs.47203
- Tao M., Zheng M., Xu Y. et al. CircRNAs and their regulatory roles in cancers // Mol. Medicine. 2021. V. 27. № 1. P. 94. https://doi.org/10.1186/s10020-021-00359-3
- Ivanova E., Asadullina D., Gilyazova G. et al. Exosomal MicroRNA levels associated with immune checkpoint inhibitor therapy in clear cell renal cell carcinoma // Biomedicines. 2023. V. 11. № 3. https://doi.org/10.3390/biomedicines11030801
- Wang Z., Han J., Cui Y. et al. Circulating microRNA-21 as noninvasive predictive biomarker for response in cancer immunotherapy // Med. Hypotheses. 2013. V. 81. № 1. P. 41–43. https://doi.org/10.1016/j.mehy.2013.03.001
- Chen L., Gibbons D.L., Goswami S. et al. Metastasis is regulated via microRNA-200/ZEB1 axis control of tumour cell PD-L1 expression and intratumoral immunosuppression // Nat. Commun. 2014. V. 5. № 1. https://doi.org/0.1038/ncomms6241
- Cortez M.A., Ivan C.,Valdecanas D. et al. PDL1 regulation by p53 via miR-34 // J. Nat. Cancer Institute. 2016. V. 108. № 1. https://doi.org/10.1093/jnci/djv303
- Rodriguez-Barrueco R., Nekritz E.A., Bertucci F. et al. miR-424(322)/503 is a breast cancer tumor suppressor whose loss promotes resistance to chemotherapy // Genes Dev. 2017. V. 31. № 6. P. 553–566. https://doi.org/10.1101/gad.292318.116
- Lu L., Wu M., Lu Y. et al. MicroRNA-424 regulates cisplatin resistance of gastric cancer by targeting SMURF1 based on GEO database and primary validation in human gastric cancer tissues // Onco. Targets Ther. 2019. V.12. P. 7623–7636. https://doi.org/10.2147/OTT.S208275
- Li Y., Liu H., Cui Y. et al. miR-424-3p contributes to the malignant progression and chemoresistance of gastric cancer // Onco. Targets Ther. 2020. V. 13. P. 12201–12211. https://doi.org/10.2147/OTT.S280717
- Zhang D., Shi Z., Li M. et al. Hypoxia-induced miR-424 decreases tumor sensitivity to chemotherapy by inhibiting apoptosis // Cell Death Dis. 2014. V. 5. № 6. P. e1301–e1301. https://doi.org/10.1038/cddis.2014.240
- Bieg D., Sypniewski D., Nowak E. et al. MiR-424-3p suppresses galectin-3 expression and sensitizes ovarian cancer cells to cisplatin // Arch. Gynecol. Obstet. 2019. V. 299. № 4. P. 1077–1087. https://doi.org/10.1007/s00404-018-4999-7
- Holmgren G., Synnergren J., Andersson Ch. X. et al. MicroRNAs as potential biomarkers for doxorubicin-induced cardiotoxicity // Toxicology in Vitro. 2016. V. 34. P. 26–34. https://doi.org/10.1016/j.tiv.2016.03.009
- Li R., Ruan Q., Zheng J. et al. LINC01116 promotes doxorubicin resistance in osteosarcoma by epigenetically silencing miR-424-5p and inducing epithelial-mesenchymal transition // Front. Pharmacol. 2021. V. 12. https://doi.org/10.3389/fphar.2021.632206
- Ralla B., Busch J., Flörcken A. et al. miR-9-5p in nephrectomy specimens is a potential predictor of primary resistance to first-line treatment with tyrosine kinase inhibitors in patients with metastatic renal cell carcinoma // Cancers (Basel). 2018. V. 10. № 9. https://doi.org/10.3390/cancers10090321
- Gámez-Pozo A., Antón-Aparicio L.M., Bayona Ch. et al. MicroRNA expression profiling of peripheral blood samples predicts resistance to first-line sunitinib in advanced renal cell carcinoma patients // Neoplasia. 2012. V. 14. № 12. P. 1144–1150. https://doi.org/10.1593/neo.12734
- Kovacova J., Juracek J., Poprach Al. et al. MiR-376b-3p is associated with long-term response to sunitinib in metastatic renal cell carcinoma patients // Cancer Genomics–Proteomics. 2019. V. 16. № 5. P. 353–359. https://doi.org/10.21873/cgp.20140
- He J., He J., Min L. et al. Extracellular vesicles transmitted miR‐31‐5p promotes sorafenib resistance by targeting MLH1 in renal cell carcinoma // Int. J. Cancer. 2020. V. 146. № 4. P. 1052–1063. https://doi.org/10.1002/ijc.32543
- Liu Y., Xie Q., Ma Y. et al. Nanobubbles containing PD-L1 Ab and miR-424 mediated PD-L1 blockade, and its expression inhibition to enable and potentiate hepatocellular carcinoma immunotherapy in mice // Int. J. Pharm. 2022. V. 629. https://doi.org/10.1016/j.ijpharm.2022.122352
- Mastroianni J., Stickel N., Andrlova H. et al. miR-146a controls immune response in the melanoma microenvironment // Cancer Res. 2019. V. 79. № 1. P. 183–195. https://doi.org/10.1158/0008-5472.CAN-18-1397
- Marschner D., Falk M., Javorniczky N.R. et al. MicroRNA-146a regulates immune-related adverse events caused by immune checkpoint inhibitors // JCI Insight. 2020. V. 5. № 6. https://doi.org/10.1172/jci.insight.132334
- Bhaumik D., Scott G.K., Schokrpur S. et al. Expression of microRNA-146 suppresses NF-κB activity with reduction of metastatic potential in breast cancer cells // Oncogene. 2008. V. 27. № 42. P. 5643–5647. https://doi.org/10.1038/onc.2008.171
- Wang G., Gu Y., Xu N. et al. Decreased expression of miR-150, miR146a and miR424 in type 1 diabetic patients: Association with ongoing islet autoimmunity // Biochem. Biophys. Res. Commun. 2018. V. 498. № 3. P. 382–387. https://doi.org/10.1016/j.bbrc.2017.06.196
- Peng X.-X.,Yu R., Wu X.et al. Correlation of plasma exosomal microRNAs with the efficacy of immunotherapy in EGFR/ALK wild-type advanced non-small cell lung cancer // J. Immunother. Cancer. 2020. V. 8. № 1. https://doi.org/10.1136/jitc-2019-000376
- Halvorsen A.R., Sandhu V., Sprauten M. et al. Circulating microRNAs associated with prolonged overall survival in lung cancer patients treated with nivolumab // Acta. Oncol. (Madr). 2018. V. 57. № 9. P. 1225–1231. https://doi.org/10.1080/0284186X.2018.1465585
- Boeri M., Milione M., Proto Cl. et al. Circulating miRNAs and PD-L1 tumor expression are associated with survival in advanced NSCLC patients treated with immunotherapy: А prospective study // Clin. Cancer Research. 2019. V. 25 № 7. P. 2166–2173. https://doi.org/10.1158/1078-0432.CCR-18-1981
- Rajakumar T., Horos R., Jehn J. et al. A blood-based miRNA signature with prognostic value for overall survival in advanced stage non-small cell lung cancer treated with immunotherapy // NPJ Precis. Oncol. 2022. V. 6. № 1. P. 19. https://doi.org/10.1038/s41698-022-00262-y
- Pantano F., Zalfa Fr., Iuliani M. et al. Large-scale profiling of extracellular vesicles identified miR-625-5p as a novel biomarker of immunotherapy response in advanced non-small-cell lung cancer patients // Cancers (Basel). 2022. V. 14. № 10. https://doi.org/10.3390/cancers14102435
Supplementary files






