Toll-like receptor gene polymorphisms in a population-based study of HIV and tuberculosis patients from Eastern Europe and Central Asia
- Authors: Salamaikina S.А.1,2, Korchagin V.I.1, Mironov К.О.1, Kulabukhova Е.I.1,3, Zimina V.N.4, Kravtchenko А.V.1
-
Affiliations:
- Central Research Institute of Epidemiology Federal service for surveillance on consumer rights protection and human wellbeing
- Moscow institute of physics and technology
- Peoplesʹ Friendship University of Russia (RUDN University)
- Kemerovo state medical university of the ministry of health of the Russian Federation
- Issue: Vol 60, No 4 (2024)
- Pages: 84-93
- Section: ГЕНЕТИКА ЧЕЛОВЕКА
- URL: https://journal-vniispk.ru/0016-6758/article/view/263451
- DOI: https://doi.org/10.31857/S0016675824040071
- EDN: https://elibrary.ru/crdrpp
- ID: 263451
Cite item
Full Text
Abstract
Genetic diversity of human populations is determined by polymorphic variants of immune response genes and can be linked to the variation in responses to infectious agents. This study compared allele and genotype frequencies of polymorphic variants of TLR1, TLR2, TLR4, TLR6 and TLR8 genes between samples from Eastern Europe and Central Asia. We included 680 unrelated individuals from Eastern Slavic (n = 308), Armenian (n = 137), Tajik (n = 138) and Kyrgyz (n = 97) samples of patients with confirmed diagnoses of HIV and tuberculosis. The international 1000 Genomes Project data - samples of Caucasians (EUR) and countries of eastern (EAS) and southern (SAS) Asia – were used for comparison. Despite the lack of genetic diversity and population differences in allele frequencies of the analyzed genes, the samples differed in a number of loci both from each other and from EAS, SAS samples.
Full Text
Лавинообразное накопление результатов ассоциативных исследований, подтверждающих или опровергающих наличие связей полиморфных вариантов генов с заболеваниями абсолютно разной этиологии на выборках из разных стран и этнических групп, диктует необходимость валидации найденных ассоциаций на независимых выборках, поскольку на распределение аллелей риска могут влиять факторы, не учтенные в исходном исследовании. Одними из таких факторов являются межпопуляционные различия. В исследованиях предрасположенности к инфекционным заболеваниям у носителей разных аллелей полиморфных генов иммунной системы, в частности генов Толл-подобных рецепторов (TLR), часто наблюдается невозможность воспроизвести полученные результаты на независимых выборках. Толл-подобные рецепторы – рецепторы адаптивного иммунитета, расположенные на поверхности и внутри клеток, отвечают за распознавание патогенов, проникающих в организм.
Нами проведен анализ научных публикаций и отобрано шесть наиболее часто упоминаемых однонуклеотидных полиморфизмов (SNP) в генах TLR: rs5743551 (TLR1), rs5743708 (TLR2), rs3804100 (TLR2), rs4986790 (TLR4), rs5743810 (TLR6), rs3764880 (TLR8), для которых показана ассоциация с риском развития серьезных инфекционных патологий, включая туберкулез и ВИЧ [1]. rs5743551-A TLR1 в иранской популяции ассоциирован с риском возникновения туберкулеза легких [2], однако для этого же полиморфизма в популяции, проживающей на территории США (штат Вашингтон), повышенная восприимчивость к возникновению осложнений на фоне инфекционных заболеваний выявлена у носителей rs5743551-G TLR1 [3]. По результатам мета анализа генотип rs3804100-C/C TLR2 связан с повышенным риском развития туберкулеза [4]. В другом исследовании получены доказательства непосредственного влияния полиморфизма TLR2 rs5743708-A на риск развития сепсиса, особенно у лиц европейского происхождения [5]. Анализ TLR2 rs5743708 в подгруппах из разных популяций выявил, что аллель А ассоциирован с повышенной восприимчивостью к туберкулезу в азиатской этнической группе, но имеет протективный характер в группе латинского происхождения [4]. Полиморфизм rs4986790-G TLR4 ассоциирован с риском развития активного туберкулеза у ВИЧ-инфицированных пациентов в Танзании и Испании, несмотря на то что у больных туберкулезом, не инфицированных ВИЧ, связь не подтверждается [6, 7]. rs5743810-T TLR6 оказывает протективный эффект к развитию туберкулеза во всех этнических группах [4]. В ряде исследований показана ассоциация SNP в локусе rs3764880 TLR8 с туберкулезом у жителей Индонезии, России, Молдавии, Турции и в двух индийских когортах как для легочного, так и для внелегочного туберкулеза [8–13]. Аллель rs3764880-G TLR8 связан с восприимчивостью к туберкулезу и бактериальной нагрузкой среди жителей Пакистана, генотип rs3804100-C/C TLR2 – с восприимчивостью к латентной туберкулезной инфекции в китайской популяции, SNP в локусе rs4986790 TLR4 – к легочному туберкулезу у жителей Ирана [14, 15].
Большая часть исследований генетической предрасположенности проводится внутри определенных этнических или национальных групп, что связано с необходимостью учитывать различия в частотах аллелей, характерные для них. В этой связи исследование генетического разнообразия популяций человека, в том числе малоизученных, и особенно исследование полиморфных генов иммунной системы представляются актуальными и необходимыми для проведения в дальнейшем эпидемиологических и медико-биологических исследований.
Цель работы – определить популяционные особенности распространенности шести полиморфных вариантов генов TLR (rs5743551 TLR1, rs5743708 TLR2, rs3804100 TLR2, rs4986790 TLR4, rs5743810 TLR6, rs3764880 TLR8) среди пациентов с ВИЧ и туберкулезом в странах Восточной Европы и Центральной Азии.
Материалы и методы
Исследуемые выборки
В исследовании использовались образцы биологического материала (цельная кровь), полученные на территории Российской Федерации, Республики Беларусь, Республики Киргизия, Республики Армения и Республики Таджикистан. В качестве целевой группы были отобраны пациенты с диагнозами ВИЧ-инфекция и туберкулез (ТБ), не имеющие родственных связей. Критериями включения в исследование были: 1) для группы ВИЧ-положительных пациентов – диагноз ВИЧ-инфекции, подтвержденный иммуноферментным анализом и иммуноблоттингом; 2) для группы ТБ и ВИЧ/ТБ – диагноз туберкулез, подтвержденный обнаружением Mycobacterium tuberculosis в биологическом материале. Принадлежность индивида к этнической группе основывалась на самоопределении.
Для проведения сравнительного анализа нами были использованы данные из базы проекта “1000 Геномов” (The 1000 Genomes Project Phase 3) [16] по частотам полиморфных локусов в объединенных выборках европеоидов (EUR, n = 503), жителей стран Южной (SAS, n = 489) и Восточной (EAS, n = 504) Азии. В базе данных отсутствует информация о наличии у индивидов каких-либо заболеваний, поэтому этот фактор не учитывался как значимо влияющий на популяционные частоты.
Выбор и генотипирование SNP
На основе анализа опубликованных результатов научных исследований выбраны наиболее часто изучаемые SNP в генах TLR, ассоциированные с туберкулезом и ВИЧ-инфекцией, и проверены на неравновесие по сцеплению с использованием калькулятора LDlink Tool [17]. Для генотипирования исследуемых выборок использовались образцы периферической венозной крови, антикоагулированные ЭДТА. Геномную ДНК выделяли с помощью набора РИБОпреп (АмплиСенс, Россия) в соответствии с протоколом производителя. Генотипирование образцов проводили методом ПЦР в режиме реального времени c использованием референсных последовательностей из базы данных SNP [18] разработаны и апробированы методики для определения аллелей в исследуемых локусах [19].
Статистическая обработка данных
Статистический анализ проводили с использованием среды R (версия 4.3.1), включающей встроенные функции для анализа таблиц сопряженности (χ2-тест Пирсона и точный тест Фишера) и межгрупповых различий (тест Стьюдента). Генетические характеристики выборок анализировали с помощью пакетов Hardy–Weinberg [20], poppr [21–23], adegenet [24]. Для введения поправки на множественные сравнения использовали метод Бонферрони. Результаты считались статистически значимыми при p < 0.05. Информативность локусов оценивали, рассчитывая показатель PIC (информационное содержание полиморфизма) [25].
Таблица 1. Характеристики выборок из стран ВЕЦА.
Страна | SLV | ARM | KGZ | TJK |
Структура выборок | ||||
Российская Федерация | 124 | 2 | – | – |
Республика Беларусь | 147 | 1 | – | – |
Республика Армения | 1 | 134 | – | – |
Республика Киргизия | 35 | – | 97 | 1 |
Республика Таджикистан | 1 | – | - | 137 |
Итого | 308 | 137 | 97 | 138 |
Характеристика выборок | ||||
Пол, м/ж | 203/105 | 107/30 | 67/30 | 109/29 |
Возраст, лет, среднее (SD) | 41.7 (8.1) | 44.9 (11.3) | 44.3 (10.3) | 41.8 (10.0) |
Результаты
Характеристика выборок
Выборки населения стран Восточной Европы и Центральной Азии (ВЕЦА) были гетерогенны по национальному составу, в связи с чем были перераспределены на группы в зависимости от этнической принадлежности: восточнославянскую (обозначена по преобладающим этносам SLV, n = 308), включающую русских (n = 162), белорусов (n = 140), украинцев (n = 4), литовцев (n = 1) и поляков (n = 1); армянскую (ARM, армяне, n = 137), киргизскую (KGZ, киргизы, n = 97) и таджикскую (TJK, таджики, n = 138). Структура и демографические характеристики сформированных выборок приведены в табл. 1. Во всех выборках наблюдается преобладание мужчин (SLV и KGZ – в 2 раза; ARM и TJK – более чем в 3.5 раза). Однако попарное сравнение выборок обнаруживает статистически значимые различия по соотношению мужчин/женщин только между выборками SLV и TJK (pbonferroni = 0.03). Однако статистически значимых различий по частотам аллелей между мужчинами и женщинами по анализируемым локусам не обнаружено ни в одной из выборок. Средний возраст статистически значимо различался между выборками SLV и ARM (pbonferroni = 0.02).
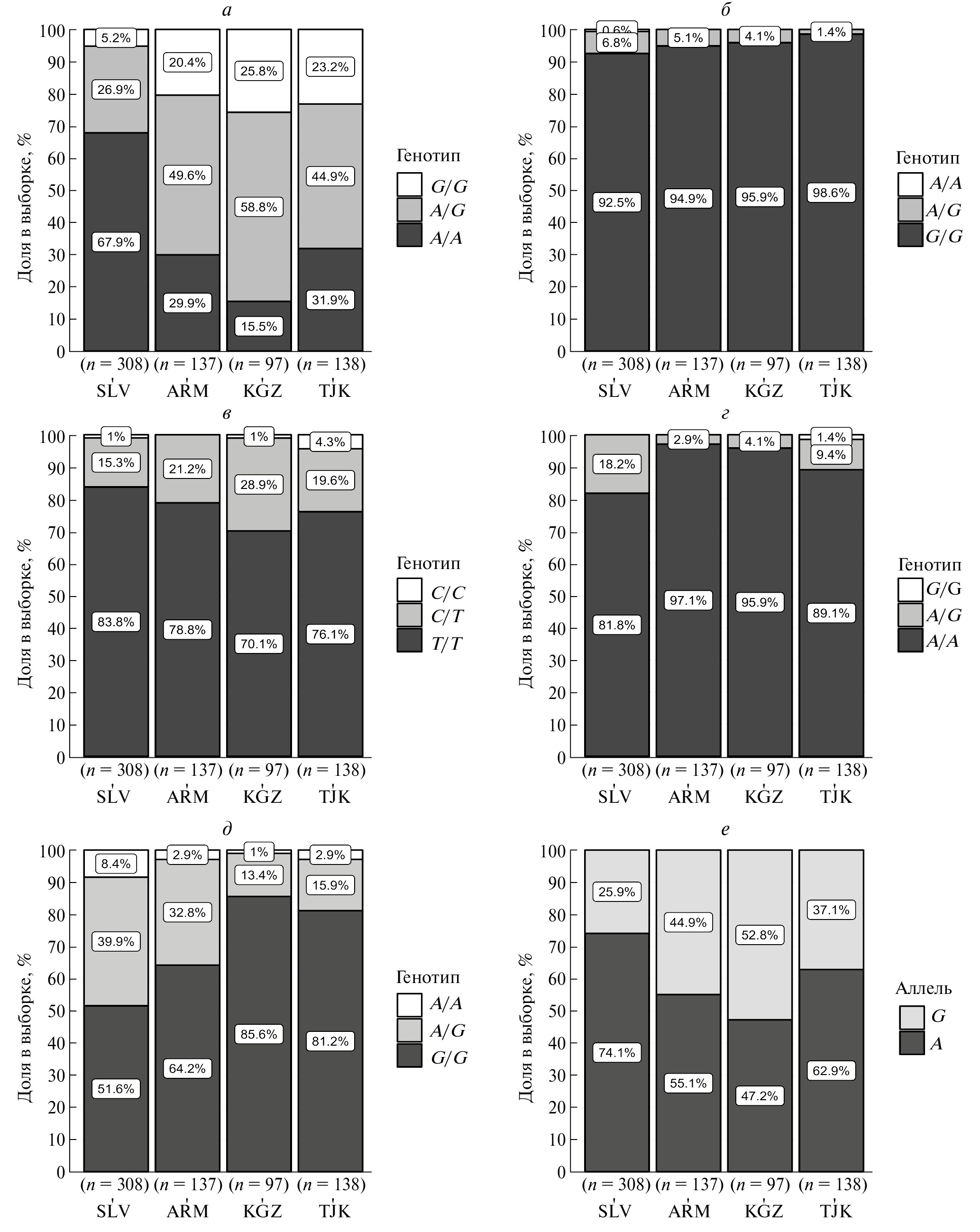
Проведено сравнение частот аллелей в исследуемых группах и популяционных частот EUR, EAS и SAS (табл. 2). Распределение генотипов в популяциях в большинстве случаев соответствовало равновесию Харди–Вайнберга (РХВ). Статистически значимое отклонение наблюдается только в выборке TJK по полиморфным локусам rs3804100 TLR2 и rs3764880 TLR8. При этом отклонение от РХВ локуса rs3764880 TLR8 в выборке TJK связано с тем, что он локализуется на X-хромосоме, а в данной выборке наблюдается значительное превышение числа мужчин над женщинами. Для ряда локусов частота аллелей в анализируемых выборках не отличалась значимо от частот в географически близких выборках из базы 1000 Genomes. Так, выборка SLV не отличалась от популяции EUR по частотам локусов rs5743708 TLR2, rs3804100 TLR2 и rs3764880 TLR8 (p > 0.05) и значимо отличалась от EAS и SAS (p < 0.01). Также по ряду локусов выборки ARM, KGZ и TJK характеризовались сходными частотами с популяциями EAS и SAS, но в то же время по другим локусам (rs5743708 TLR2, rs4986790 TLR4) не отличались по частотам аллелей от EUR. Для выборок из стран Центральной Азии характерно, что частоты локусов rs5743551 TLR1, rs3804100 TLR2, rs3764880 TLR8 в них оказались ближе к SAS, чем к EAS. Для полиморфного варианта rs5743810 TLR6 распределение аллелей во всех выборках оказалось уникальным и значимо (p < 0.001) отличалось от популяций из базы 1000 Genomes.
Сравнение выборок из стран ВЕЦА между собой показало, что для полиморфных вариантов гена TLR2 (rs5743708, rs3804100) не характерна популяционная специфичность, и наоборот для rs5743810 TLR6 обнаружены значимые различия (p < 0.05) в частотах генотипов при сравнении выборок SLV/ARM, SLV/KGZ, SLV/TJK, ARM/KGZ и ARM/TJK (рис. 1). При этом имеющие сходные частоты генотипов rs5743810 TLR6 выборки KGZ и TJK значимо различались при сравнении частот генотипов rs5743551 TLR1 и аллелей rs3764880 TLR8. Последнее, впрочем, может быть объяснено тем, что в выборке TJK женщин в 3.76 раз меньше чем мужчин, а в выборке KGZ это соотношение составляет 2.23. Для восточнославянской выборки SLV обнаружены наибольшие отличия от остальных выборок по частотам генотипов rs5743551 TLR1, rs4986790 TLR4, rs5743810 TLR6.
Таблица 2. Сравнительная характеристика SNP в локусах rs5743551 (TLR1), rs5743708 (TLR2), rs3804100 (TLR2), rs4986790(TLR4), rs5743810 (TLR6), rs3764880 (TLR8) в выборках стран ВЕЦА и популяциях EUR, EAS и SAS базы данных 1000 Genomes
rs-номер в базе данных NCBI (ген) | Выборки стран ВЕЦА | Аллель (٪) | HWE, p* | Выборки из базы данных 1000 Genomes | |||||
EUR | EAS | SAS | |||||||
аллель (٪) | p*** | аллель (٪) | p | аллель (٪) | p | ||||
rs5743551 (TLR1) | SLV | G (18.7) | 0.06 | G (28.5) | <0.001 | A (39.8) | <0.001 | G (48.3) | <0.001 |
ARM | G (45.3) | 1.00 | <0.001 | <0.001 | 0.412 | ||||
KGZ | A (44.8) | 1.00 | <0.001 | 0.202 | 0.168 | ||||
TJK | G (45.7) | 0.30 | <0.001 | <0.001 | 0.454 | ||||
rs5743708 (TLR2) | SLV | A (4.06) | 0.08 | A (2.4) | 0.072 | A (0.1) | <0.001 | A (0.1) | <0.001 |
ARM | A (2.55) | 1.00 | 0.826 | <0.001 | <0.001 | ||||
KGZ | A (2.06) | 1.00 | 1.000 | 0.009 | 0.009 | ||||
TJK | A (0.72) | 1.00 | 0.281 | 0.281 | 0.281 | ||||
rs3804100 (TLR2) | SLV | C (8.60) | 0.48 | C (6.4) | 0.090 | C (23.9) | <0.001 | C (13.7) | 0.005 |
ARM | C (10.6) | 0.36 | 0.050 | <0.001 | 0.200 | ||||
KGZ | C (15.5) | 0.46 | <0.001 | 0.022 | 0.500 | ||||
TJK | C (14.1) | 0.03 | <0.001 | <0.001 | 0.800 | ||||
rs4986790 (TLR4) | SLV | G (9.09) | 0.15 | G (5.7) | 0.023 | G (0.0) | <0.001 | G (12.6) | 0.034 |
ARM | G (1.46) | 1.00 | <0.001 | <0.001 | <0.001 | ||||
KGZ | G (2.06) | 1.00 | 0.033 | 0.001 | <0.001 | ||||
TJK | G (6.16) | 0.08 | 0.771 | <0.001 | <0.001 | ||||
rs5743810 (TLR6) | SLV | A (28.4) | 0.78 | A (40.9) | <0.001 | A (0.0) | <0.001 | A (1.7) | <0.001 |
ARM | A (19.3) | 0.78 | <0.001 | <0.001 | <0.001 | ||||
KGZ | A (7.73) | 0.44 | <0.001 | <0.001 | <0.001 | ||||
TJK | A (10.9) | 0.05 | <0.001 | <0.001 | <0.001 | ||||
rs3764880 (TLR8) | SLV | G (25.9) | 0.58** | G (26.9) | 0.730 | A (19.2) | <0.001 | A (41.9) | <0.001 |
ARM | G (44.9) | 0.40 | <0.001 | <0.001 | 0.002 | ||||
KGZ | A (52.8) | 0.34 | <0.001 | <0.001 | 0.285 | ||||
TJK | G (37.1) | 0.0017 | 0.011 | <0.001 | <0.001 | ||||
Уровень генетического разнообразия исследуемых выборок оценивали по показателям HЕ (средняя ожидаемая гетерозиготность), HO (средняя наблюдаемая гетерозиготность) и HT (показатель общего генетического разнообразия) (табл. 3). Среднее значение наблюдаемой гетерозиготности по всем изученным локусам составило 0.21. Наименьший уровень этой гетерозиготности показан для локуса rs5743708 в выборке TJK – 0.0145. Наибольший вклад в межпопуляционное разнообразие (GST = 0.074) вносят различия в частотах аллелей rs5743551 TLR1, который единственный из анализируемых характеризуется высоким значением средней ожидаемой гетерозиготности (достигает 0.45). При этом выборки ARM, KGZ и TJK показывают наиболее высокое значение индекса среднего внутрипопуляционного разнообразия (>0.49). Для остальных полиморфных локусов характерны низкое генетическое разнообразие (0.014–0.407) во всех анализируемых выборках и незначительный вклад в межпопуляционное разнообразие (GST = 0.004–0.044). Рассчитанное по шести локусам SNP генетическое расстояние [26] между выборками составило 0.0064–0.1482. Выборка SLV – наиболее удаленная от остальных популяций, дистанция по Нею между этой популяцией и всеми остальными варьирует от 0.07 до 0.1482 (между SLV и KGZ). Значение показателя информативности PIC варьирует от 0.05 (низко информативный локус) до 0.35 (средняя информативность) и в среднем для шести локусов составляет 0.19 (±0.12).
Рис. 1. Распределение частот генотипов полиморфных вариантов генов TLR в исследуемых выборках: а – rs5743551 (TLR1), б – rs5743708 (TLR2), в – rs3804100 (TLR2), г – rs4986790 (TLR4), д – rs5743810 (TLR6), е – rs3764880 (TLR8).
Таблица 3. Характеристика внутри- и межпопуляционного разнообразия выборок стран ВЕЦА по полиморфным вариантам генов TLR
SLV | ARM | KGZ | |||||
HO | HЕ/HT | HO | HЕ/HT | HO | HЕ/HT | ||
rs5743551 (TLR1) | 0.2695 | 0.3042 | 0.4964 | 0.4973 | 0.5876 | 0.4968 | |
rs5743708 (TLR2) | 0.0682 | 0.0780 | 0.0511 | 0.0500 | 0.0412 | 0.0406 | |
rs3804100 (TLR2) | 0.1526 | 0.1575 | 0.2117 | 0.1899 | 0.2887 | 0.2627 | |
rs4986790 (TLR4) | 0.1818 | 0.1655 | 0.0292 | 0.0289 | 0.0412 | 0.0406 | |
rs5743810 (TLR6) | 0.3994 | 0.4074 | 0.3285 | 0.3131 | 0.1340 | 0.1435 | |
Суммарно | 0.2143 | 0.2225 | 0.2234 | 0.2158 | 0.2186 | 0.1968 | |
TJK | Суммарные показатели | ||||||
HO | HЕ/HT | HO | HЕ/HT | GST | PIC | ||
rs5743551 (TLR1) | 0.4493 | 0.4982 | 0.4507 | 0.4491/0.4848 | 0.0737 | 0.3505 | |
rs5743708 (TLR2) | 0.0145 | 0.0144 | 0.0438 | 0.0458/0.0459 | 0.0036 | 0.0528 | |
rs3804100 (TLR2) | 0.1957 | 0.2437 | 0.2121 | 0.2134/0.2144 | 0.0044 | 0.1779 | |
rs4986790 (TLR4) | 0.0942 | 0.1161 | 0.0866 | 0.0878/0.0895 | 0.0191 | 0.1057 | |
rs5743810 (TLR6) | 0.1594 | 0.1946 | 0.2553 | 0.2648/0.2770 | 0.0441 | 0.2694 | |
Суммарно | 0.1826 | 0.2134 | 0.2097 | 0.2122/0.2223 | 0.0457 | – | |
Примечание. HO – средняя наблюдаемая гетерозиготность; HЕ – показатель среднего внутрипопуляционного разнообразия; HT – показатель общего генетического разнообразия; GST – показатель межпопуляционного разнообразия [26, 27]; PIC – информационное содержание полиморфизма (PIC, polymorphisminformationcontent).
Обсуждение
Наблюдаемые различия частот SNP генов TLR между анализируемыми выборками из стран ВЕЦА и популяциями EUR, EAS и SAS коррелируют с их этногеографическим положением. Белорусы вместе с украинцами и русскими представляют восточнославянскую языковую группу, крупнейшую как по численности, так и по территории, проживающую в Восточной Европе наряду с балтийскими, финно-пермскими и тюркоязычными народами [28]. Для восточнославянских популяций не характерна высокая изолированность. По результатам молекулярного дисперсионного анализа во всех группах наблюдается высокая диверсификация гаплотипов, но низкая межпопуляционная дисперсия [29]. Согласно результатам, полученным другими исследовательскими группами, генетические расстояния между восточнославянскими популяциями могут оказаться значительными [29]. В настоящем исследовании выборка SLV отличалась не только от KGZ, TJK и ARM, но и от EUR по локусам rs5743551 TLR1, rs4986790 TLR4, rs5743810 TLR6. Это можно рассматривать как следствие того, что на формирование генофонда восточнославянских популяций повлияли потоки генов между западом и востоком Евразии. В то же время выборка ARM показывает отличия как от центральноазиатских выборок KGZ и TJK (rs5743810 TLR6), так и от SLV и EUR (rs5743551 TLR1, rs4986790 TLR4, rs5743810 TLR6). Распределение гаплотипов и структура генетических расстояний свидетельствуют о высокой степени генетической изоляции в горных южных и восточных регионах Армении, в то время как в северных, центральных и западных регионах наблюдалось более значительное смешение с популяциями из соседних стран Ближнего Востока [30]. Расположенное на стыке Европы и Ближнего Востока, Армянское нагорье служило переходным коридором для крупных волн миграций [31]. Популяции, проживающие в Центральной Азии, так же, как и армянские популяции, находятся на месте большого количества торговых путей. Генетическая самобытность этих народностей может быть объяснена языковыми и культурными различиями, которые возникли относительно недавно и действуют как барьеры для потока генов между этническими группами с вероятно общей демографической историей [32]. Полученные нами результаты показывают различия между выборками KGZ и TJK и восточнославянской (SLV) по локусам rs5743551 TLR1 и rs5743810 TLR6, что согласуется с данными, полученными ранее с использованием других генетических маркеров, а в выборках TJK, KGZ (как и ARM) значение индекса среднего внутрипопуляционного разнообразия локуса rs5743551 TLR1 подтверждает, что в этих странах наблюдается уровень генетической вариабельности более характерный для азиатских популяций [33, 34]. Масштабное генотипирование этнических киргизов по 246544 сайтам аутосомных SNP и последующий анализ главных компонент (PCA) установили, что они образуют разреженный кластер, не пересекающийся ни с EAS, ни с SAS [33], что подтверждает высокий уровень миграции, характерный для Киргизстана, и соответствует полученным нами результатам по локусам rs5743708 TLR2, rs4986790 TLR4 и rs5743810 TLR6. Генетические исследования показали, что миграции из Восточной Азии способствовали распространению тюркско-монгольского населения (казахи, киргизы) в Центральной Азии и частичной замене индоиранского населения (таджики), существовавшего на этих территориях задолго до тюркско-монгольского [35]. Однако по данным Б. Мартинез-Круз и соавт. [36] в геноме таджиков содержание восточноазиатского (тюркско-монгольского) компонента остается низким.
В настоящем исследовании это находит подтверждение в значимых различиях частот аллелей и генотипов полиморфных генов TLR1 (rs5743551) и TLR8 (rs3764880) между выборками KGZ и TJK и в то же время в отсутствии различий по остальным генам TLR. По данным исследований, относительно недавний поток генов из популяций Южной Азии в Центральную Азию привел к генетическому сближению этих популяций [37]. Наблюдаемые различия в частотах аллелей генов TLR могут быть связаны не только с этническими и географическими особенностями выборок, но и с тем, что в выборку стран ВЕЦА включены не случайные популяционные образцы, а группы пациентов с тяжелыми инфекционными заболеваниями – ВИЧ-инфекция и туберкулез. Масштабный мета анализ показал, что полиморфные варианты TLR1 (rs4833095, rs5743557, rs5743596, rs5743618), TLR2 (rs3804099, rs5743704, rs5743708), TLR4 (rs4986790, rs4986791), TLR6 (rs5743810) и TLR8 (rs3764879) значимо ассоциированы с туберкулезом в определенных этнических группах [38]. Гетерогенность, наблюдаемая между исследованиями rs4506565 TLR1, rs4986790 TLR4, rs4986791 TLR4 и rs5743836 TLR9 в мета анализе, указывает на то, что распределение аллелей этих полиморфных генов значительно различается в разных популяциях. Поэтому генетические ассоциации между этими полиморфными вариантами генов TLR и риском развития туберкулеза могут быть этнически специфичными и не должны обобщаться на более широкую популяцию. Результаты исследования генетической предрасположенности, проведенные на выборке населения г. Москвы, установили, что аллель rs4986790-G TLR4 ассоциирован с повышенным риском развития туберкулеза у ВИЧ-инфицированных [39]. В то же время по результатам исследования проведенного на независимой выборке, этот аллель ассоциирован с протективным эффектом по отношению к риску туберкулеза у ВИЧ-инфицированных [19]. Наблюдаемые прямо противоположные результаты могут быть связаны как с тем, что в нашем исследовании [19] использовалась выборка иного этнического состава, чем в работе [39], так и со значительными различиями в размерах самих выборок между этими исследованиями. Несмотря на низкую информативность (значение показателя PIC 0.05–0.35) анализируемых полиморфных вариантов, обнаруженные различия в частотах аллелей риска могут не совпадать между выборками, что важно учитывать при проведении генетических и эпидемиологических исследований [40, 41].
Исследование не получало внешнего финансирования.
Исследование одобрено Этическим комитетом ФБУН “Центральный научно-исследовательский институт эпидемиологии”: дата 26.03.2019, номер протокола 90.
Все процедуры, выполненные в исследовании с участием людей, соответствуют этическим стандартам институционального и/или национального комитета по исследовательской этике и Хельсинкской декларации 1964 г. и ее последующим изменениям или сопоставимым нормам этики. Все обследованные – совершеннолетние.
От каждого из включенных в исследование участников было получено информированное добровольное согласие.
Авторы заявляют об отсутствии конфликта интересов.
About the authors
S. А. Salamaikina
Central Research Institute of Epidemiology Federal service for surveillance on consumer rights protection and human wellbeing; Moscow institute of physics and technology
Author for correspondence.
Email: salamaykina@cmd.su
национальный исследовательский университет
Russian Federation, Moscow, 111123; Dolgoprudny, 141701V. I. Korchagin
Central Research Institute of Epidemiology Federal service for surveillance on consumer rights protection and human wellbeing
Email: salamaykina@cmd.su
Russian Federation, Moscow, 111123
К. О. Mironov
Central Research Institute of Epidemiology Federal service for surveillance on consumer rights protection and human wellbeing
Email: salamaykina@cmd.su
Russian Federation, Moscow, 111123
Е. I. Kulabukhova
Central Research Institute of Epidemiology Federal service for surveillance on consumer rights protection and human wellbeing; Peoplesʹ Friendship University of Russia (RUDN University)
Email: salamaykina@cmd.su
Russian Federation, Moscow, 111123; Moscow, 117198
V. N. Zimina
Kemerovo state medical university of the ministry of health of the Russian Federation
Email: salamaykina@cmd.su
Russian Federation, Kemerovo, 650056
А. V. Kravtchenko
Central Research Institute of Epidemiology Federal service for surveillance on consumer rights protection and human wellbeing
Email: salamaykina@cmd.su
Russian Federation, Moscow, 111123
References
- Саламайкина С.А., Миронов К.О. Однонуклеотидные полиморфизмы генов толл-подобных рецепторов, ассоциированные с риском развития туберкулеза и другими заболеваниями нижних дыхательных путей // Эпидемиология и инфекционные болезни. Актуальные вопросы. 2023. Т. 4. С. 57–61.
- Naderi M., Hashemi M., Mirshekari H. et al. Toll-like receptor 1 polymorphisms increased the risk of pulmonary tuberculosis in an iranian population sample // BES. 2016. V. 29. № 11. P. 825–828. https://doi.org/10.3967/bes2016.110
- Thompson C.M., Holden T.D., Rona G. et al. Toll-like receptor 1 polymorphisms and associated outcomes in sepsis after traumatic injury: А candidate gene association study // Annals of Surgery. 2014. V. 259. № 1. P. 179–185. https://doi.org/10.1097/SLA.0b013e31828538e8
- Schurz H., Daya M., Möller M. et al. TLR1, 2, 4, 6 and 9 variants associated with tuberculosis susceptibility: А systematic review and meta-analysis // PLoS One. 2015. V. 10. https://doi.org/10.1371/journal.pone.0139711
- Gao J., Zhang A., Wang X. et al. Association between the TLR2 Arg753Gln polymorphism and the risk of sepsis: a meta-analysis // Critical Care. 2015. V. 19. № 1. P. 416. https://doi.org/10.1186/s13054-015-1130-3
- Ferwerda B., Kibiki G., Netea M. et al. The Toll-like receptor 4 Asp299Gly variant and tuberculosis susceptibility in HIV-infected patients in Tanzania // AIDS. 2007. V. 21. № 10. P. 1375–1377. https://doi.org/10.1097/QAD.0b013e32814e6b2d
- Pulido I., Leal M., Genebat M. et al. The TLR4 ASP299GLY polymorphism is a risk factor for active tuberculosis in Caucasian HIV-infected patients // Curr. HIV Res. 2010. V. 8, № 3. P. 253–258. https://doi.org/10.2174/157016210791111052
- Wang C.-H., Eng H.-L., Lin K.-H. et al. Functional polymorphisms of TLR8 are associated with hepatitis C virus infection // Immunology. 2014. V. 141. № 4. P. 540–548. https://doi.org/10.1111/imm.12211
- El-Bendary M., Neamatallah M., Elalfy H. et al. The association of single nucleotide polymorphisms of Toll-like receptor 3, Toll-like receptor 7 and Toll-like receptor 8 genes with the susceptibility to HCV infection // British J. Biomedical Science. 2018. V. 75. № 4. P. 175–181. https://doi.org/10.1080/09674845.2018.1492186
- Davila S., Hibberd M., Hari Dass R. et al. Genetic association and expression studies indicate a role of Toll-like receptor 8 in pulmonary tuberculosis // PLoS Genet. 2008. V. 4. № 10. https://doi.org/10.1371/journal.pgen.1000218
- Varzari A., Deyneko I., Vladei I. et al. Genetic variation in TLR pathway and the risk of pulmonary tuberculosis in a Moldavian population // Infection, Genetics and Evolution. 2019. V. 68. P. 84–90. https://doi.org/10.1016/j.meegid.2018.12.005
- Dalgic N., Tekin D., Kayaalti Z. et al. Relationship between Toll-like receptor 8 gene polymorphisms and pediatric pulmonary tuberculosis // Disease Markers. 2011. V. 31. № 1. P. 33–38. https://doi.org/10.3233/DMA-2011-0800
- Ugolini M., Gerhard J., Burkert S. et al. Recognition of microbial viability via TLR8 drives TFH cell differentiation and vaccine responses // Nat. Immunol. 2018. V. 19. № 4. P. 386–396. https://doi.org/10.1038/s41590-018-0068-4
- Selvaraj P., Harishankar M., Singh B. et al. Toll-like receptor and TIRAP gene polymorphisms in pulmonary tuberculosis patients of South India // Tuberculosis. 2010. V. 90. № 5. P. 306–310. https://doi.org/10.1016/j.tube.2010.08.001
- Harishankar M., Selvaraj P., Bethunaickan R. Influence of genetic polymorphism towards pulmonary tuberculosis susceptibility // Front. Med. 2018. V. 5. https://doi.org/10.3389/fmed.2018.00213
- The 1000 Genomes Project Consortium et al. A global reference for human genetic variation // Nature. 2015. V. 526. № 7571. P. 68–74. https://doi.org/10.1038/nature15393
- Machiela M.J., Chanock S.J. LDlink: A web-based application for exploring population-specific haplotype structure and linking correlated alleles of possible functional variants // Bioinformatics. 2015. V. 31. № 21. P. 3555–3557. https://doi.org/10.1093/bioinformatics/btv402
- dbSNP Summary [электронный ресурс]. URL: https://www.ncbi.nlm.nih.gov/projects/SNP/snp_summary.cgi (accessed: 05.10.2023).
- Salamaikina S., Korchagin V., Kulabukhova E. et al. Association of Toll-like receptor gene polymorphisms with tuberculosis in HIV-positive participants // Epigenomes. 2023. V. 7. № 3. https://doi.org/10.3390/epigenomes7030015
- Graffelman J. Exploring diallelic genetic markers: the Hardy–Weinberg package // J. Stat. Soft. 2015. V. 64. № 3. https://doi.org/10.18637/jss.v064.i03
- Kamvar Z.N., Tabima J.F., Grünwald N.J.Poppr : An R package for genetic analysis of populations with clonal, partially clonal, and/or sexual reproduction // Peer.J. 2014. V. 2. https://doi.org/10.3389/fgene.2015.00208
- Jombart T. adegenet : A R package for the multivariate analysis of genetic markers // Bioinformatics. 2008. V. 24. № 11. P. 1403–1405. https://doi.org/10.1093/bioinformatics/btn129
- Jombart T., Ahmed I.adegenet 1.3-1: New tools for the analysis of genome-wide SNP data // Bioinformatics. 2011. V. 27. № 21. P. 3070–3071. https://doi.org/10.1093/bioinformatics/btr521
- Winter D.J. mmod: An R library for the calculation of population differentiation statistics // Mol. Ecol. Resources. 2012. V. 12. № 6. P. 1158–1160. https://doi.org/10.1111/j.1755-0998.2012.03174.x
- Serrote C.M.L., Reiniger L., Silva K.B. et al. Determining the polymorphism information content of a molecular marker // Gene. 2020. V. 726. https://doi.org/10.1016/j.gene.2019.144175
- Nei M. Molecular evolutionary genetics // Molecular Evolutionary Genetics. Columbia Univ. Press, 2019.
- Nei M., Chesser R.K. Estimation of fixation indices and gene diversities // Ann. Human. Genet. 1983. V. 47. № 3. P. 253–259. https://doi.org/10.1111/j.1469-1809.1983.tb00993.x
- Kushniarevich A., Sivitskaya L., Danilenko N. et al. Uniparental genetic heritage of Belarusians: encounter of rare Middle Eastern matrilineages with a Central European mitochondrial DNA pool // PLoS One. 2013. V. 8. № 6. https://doi.org/10.1371/journal.pone.0066499
- Roewer L., Willuweit S., Krüger C. et al. Analysis of Y chromosome STR haplotypes in the European part of Russia reveals high diversities but non-significant genetic distances between populations // Int. J. Legal. Med. 2008. V. 122. № 3. P. 219–223. https://doi.org/10.1007/s00414-007-0222-2
- Weale M.E., Yepiskoposyan L., Jager R. et al. Armenian Y chromosome haplotypes reveal strong regional structure within a single ethno-national group // Hum. Genet. 2001. V. 109. № 6. P. 659–674. https://doi.org/10.1007/s00439-001-0627-9
- Yepiskoposyan L., Hovhannisyan A., Khachatryan Z. Genetic structure of the Armenian population // Arch. Immunol. Ther. Exp. 2016. V. 64. № 1. P. 113–116. https://doi.org/10.1007/s00005-016-0431-9
- Heyer E., Balaresque P., Jobling M. et al. Genetic diversity and the emergence of ethnic groups in Central Asia // BMC Genetics. 2009. V. 10. № 1. https://doi.org/10.1186/1471-2156-10-49
- Xing J., Watkins W., Shlien A. et al. Toward a more uniform sampling of human genetic diversity: A survey of worldwide populations by high-density genotyping // Genomics. 2010. V. 96. № 4. P. 199–210. https://doi.org/10.1016/j.ygeno.2010.07.004
- Guarino-Vignon P., Marchi N., Bendezu-Sarmiento J. et al. Genetic continuity of Indo-Iranian speakers since the Iron Age in southern Central Asia // Sci. Rep. 2022. V. 12. № 1. P. 733. https://doi.org/10.1038/s41598-021-04144-4
- Palstra F.P., Heyer E., Austerlitz F. Statistical inference on genetic data reveals the complex demographic history of human populations in Central Asia // Mol. Biol. and Evolution. 2015. V. 32. № 6. P. 1411–1424. https://doi.org/10.1093/molbev/msv030
- Martínez-Cruz B., Vitalis R., Ségurel L. et al. In the heartland of Eurasia: The multilocus genetic landscape of Central Asian populations // Eur. J. Hum. Genet. 2011. V. 19. № 2. P. 216–223. https://doi.org/10.1038/ejhg.2010.153
- Narasimhan V.M., Patterson N., Moorjani P. et al. The formation of human populations in South and Central Asia // Science. 2019. V. 365. № 6457. https://doi.org/10.1126/science.aat7487
- Zhou Y., Zhang M. Associations between genetic polymorphisms of TLRs and susceptibility to tuberculosis: A meta-analysis // Innate Immun. 2020. V. 26. № 2. P. 75–83. https://doi.org/10.1177/1753425919862354
- Кулабухова Е.И., Миронов К.О., Дунаева Е. А. и др. Ассоциация полиморфизмов в генах Toll-подобных рецепторов и маннозосвязывающего лектина с риском развития туберкулеза у пациентов с ВИЧ-инфекцией // ВИЧ-инфекция и иммуносупрессии. 2020. Т. 11. № 4. С. 61–69. https://doi.org/10.22328/2077-9828-2019-11-4-61-69
- Martin A.R., Gignoux C., Walters R. et al. Human demographic history impacts genetic risk prediction across diverse populations // Am. J. Hum Genet. 2017. V. 100. № 4. P. 635–649. https://doi.org/10.1016/j.ajhg.2017.03.004
- Peterson R.E., Kuchenbaecker K., Walters R. et al. Genome-wide association studies in ancestrally diverse populations: opportunities, methods, pitfalls, and recommendations // Cell. 2019. V. 179. № 3. P. 589–603. https://doi.org/10.1016/j.cell.2019.08.051
Supplementary files



