Индекс метилирования ретротранспозона LINE-1 коррелирует с уровнем сестринских хроматидных обменов и частотой аберраций хроматидного типа у персонала радиохимического производства с инкорпорированным плутонием-239
- Авторы: Васильев С.А.1, Толмачева Е.Н.1, Саженова Е.А.1, Суханова Н.Н.2, Яковлева Ю.С.1,3, Торхова Н.Б.1, Плаксин М.Б.4, Лебедев И.Н.1,3
-
Учреждения:
- Томский национальный исследовательский медицинский центр Российской академии наук
- Томский национальный исследовательский медицинский центр Российской академии наук
- Сибирский государственный медицинский университет
- Сибирский федеральный научно-клинический центр Федерального медико-биологического агентства
- Выпуск: Том 60, № 4 (2024)
- Страницы: 114-122
- Раздел: ГЕНЕТИКА ЧЕЛОВЕКА
- URL: https://journal-vniispk.ru/0016-6758/article/view/263467
- DOI: https://doi.org/10.31857/S0016675824040106
- EDN: https://elibrary.ru/cqpqmj
- ID: 263467
Цитировать
Полный текст
Аннотация
Уровень хромосомных аномалий в соматических клетках взрослых индивидов характеризуется значительной межиндивидуальной изменчивостью, на которую частично могут влиять генетические и эпигенетические факторы. При этом эпигенетический ландшафт в клетках в значительной степени определяется метилированием генома. Цель настоящего исследования – анализ взаимосвязи между глобальным метилированием генома и частотой хромосомных аномалий в лимфоцитах работников, работавших с плутонием. В лимфоцитах 40 мужчин-работников радиохимического предприятия (Северск, Россия) с инкорпорированным плутонием-239 и 49 здоровых мужчин-добровольцев, которые не подвергались профессиональному воздействию ионизирующего излучения, были проанализированы частоты хромосомных аберраций, микроядер, анеуплоидии хромосом 2, 7, 8, 12, X и Y и уровень сестринских хроматидных обменов. Индекс метилирования ретротранспозона LINE-1 был оценен как хорошо известный маркер глобального метилирования генома. В группе работников по сравнению с контролем были достоверно выше частоты центромеро-негативных микроядер (4.74 ± 2.26‰ против 3.02 ± 1.69‰), аберраций хромосомного типа (0.81 ± 0.79 против 0.44 ± 0.69%) и суммарного хромосомного нерасхождения (0.93 ± 0.43 против 0.50 ± 0.25%) (р < 0.05). Индекс метилирования LINE-1 достоверно не отличался между группой работников и контрольной группой (74.93 ± 3.63 против 73.92 ± 4.62%). В контрольной группе наблюдалась корреляция между метилированием LINE-1 и частотой микроядер (R = –0.35, p = 0.031), тогда как в группе работников отмечались корреляции между индексом метилирования LINE-1 и частотой аберраций хроматидного типа (R = –0.42, p = 0.012) (но не аберраций хромосомного типа) и уровнем сестринских хроматидных обменов (R = –0.53, p = 0.004). Таким образом, гипометилирование LINE-1 после воздействия плутония связано главным образом с репарированными или неправильно репарированными разрывами хроматид.
Полный текст
Уровень хромосомных аномалий в соматических клетках взрослых индивидов характеризуется значительной межиндивидуальной изменчивостью [1], на которую частично могут влиять генетические и эпигенетические факторы. При этом одним из основных компонентов эпигенетического ландшафта в клетке является метилирование ДНК.
Ретротранспозон LINE-1 наиболее распространен в геноме человека, и индекс метилирования его промотора является хорошо известным маркером глобального метилирования генома [2]. В нескольких исследованиях было показано, что индекс метилирования LINE-1 может снижаться после воздействия различных мутагенов, включая ионизирующее излучение [3–9], при этом промоторы отдельных генов в этом случае гиперметилируются [10]. Однако неизвестно, пропорциональны ли эти изменения уровня метилирования генома частоте структурных и численных хромосомных аномалий, которые возникают в соматических клетках человека после мутагенного воздействия.
Ранее мы наблюдали повышенную частоту анеуплоидии и хромосомных аберраций в лимфоцитах периферической крови индивидов с инкорпорированным плутонием-239 [11]. Цель настоящего исследования – анализ взаимосвязей между глобальным метилированием генома и частотами хромосомных аберраций, анеуплоидии и сестринскими хроматидными обменами в лимфоцитах работников, работающих на радиохимическом производстве.
Материалы и методы
Участники исследования и культивирование
Образцы периферической цельной крови были получены у 40 мужчин-пенсионеров радиохимического предприятия (Северск, Россия) с инкорпорированным плутонием-239 (средний возраст 57.0 ± 8.3, 36–67 лет, 22 курящих, 18 некурящих) и 49 здоровых мужчин-добровольцев из Томска и Северска (Россия), которые не подвергались профессиональному воздействию ионизирующего излучения (средний возраст 52.8 ± 9.9, 22–69 лет, 26 курящих, 23 некурящих). Среди участников не было лиц, злоупотребляющих алкоголем. У работников радиохимического производства активность инкорпорированного плутония-239 составляла от 43 до 9028 Бк (1974 ± 2426 Бк). Всеми участниками исследования было подписано информированное согласие. Анализируемые группы не отличались по возрасту (р > 0.05).
Образцы цельной крови (1.5 мл) здоровых индивидов отбирали в вакуумных пробирках с гепарином натрия (Greiner, Германия) и культивировали в 6 мл среды RPMI 1640 (Панэко, Россия) с 10%-ной фетальной бычьей сывороткой (FBS) (HyClone, США) в присутствии 20 мкг/мл фитогемагглютинина. Для метафазного анализа культуры обрабатывали 0.06 мкг/мл демекольцина через 70 ч и фиксировали в метанол : уксусной кислоте (3 : 1) на 72 ч. Для анализа уровня сестринских хроматидных обменов в культуральную смесь добавляли 0.24 мкм 5ʹ-бром-2ʹ-дезоксиуридина (BrdU) (Sigma, США) (10 мкг/мл) с последующей обработкой демекольцином через 70 ч и фиксацией через 72 ч после начала культивирования. Для анализа частоты микроядер, хромосомного нерасхождения и отставания в двухъядерных клетках добавляли цитохалазин В (Sigma, США) в концентрации 6 мкг/мл через 44 ч культивирования и фиксировали клетки через 72 ч в метанол : уксусной кислоте (3 : 1).
Высушенные предметные стекла с метафазными пластинками окрашивали 5%-ным раствором красителя Гимза в течение 10 мин. Микроскопический анализ более 300 метафаз на образец при увеличении в 1000 раз был проведен с помощью светового микроскопа Axio Imager M1 (Zeiss, Германия), а изображения были получены с помощью CCD-камеры (Applied Spectrum Imaging, США).
Анализ сестринских хроматидных обменов
Препараты для исследования сестринских хроматидных обменов (СХО) готовили из стимулированных ФГА-стимулированных культур клеток периферической крови. Для дифференциального окрашивания СХО на начальном этапе в культуральную смесь добавляли 5-бромдезоксиуридин в конечной концентрации 10 мкг/мл. Клетки для анализа СХО собирали через 72 ч культивирования путем трипсинизации, центрифугировали и ресуспендировали в 0.075 М KCl при 37°C в течение 40 мин перед фиксацией в метанол : уксусной кислоте (3 : 1). Препараты метафазных хромосом готовили на холодных влажных предметных стеклах перед окрашиванием красителем Гимза в течение 15 мин и воздействием ультрафиолетового излучения в течение 12 мин. Окрашенные метафазы визуализировали с помощью светового микроскопа Axio Imager M1 (Zeiss, Германия), а изображения получали с помощью CCD-камеры (Applied Spectrum Imaging, США). На каждой метафазной пластинке регистрировали количество хромосом и обменов. Хромосомы, которые явно перекрывались или скручивались, были исключены из подсчета. Подсчет СХО проводили на 50 метафазных пластинках для каждого индивида.
Микроядерный тест в комбинации с флуоресцентной in situ гибридизацией
Микроядерный тест проводили в сочетании с флуоресцентной in situ гибридизацией (FISH) с панцентромерными и центромеро-специфичными ДНК-зондами. Панцентромерный ДНК-зонд был сгенерирован методом ПЦР, как описано [12], и помечен TAMRA-dUTP (БиоСан, Россия) с использованием ник-трансляции. Центромеро-специфичные ДНК-зонды для хромосом 2, 7, 8, 12, X и Y были получены с использованием клонов плазмид E. coli. Флуоресцентную метку (TAMRA-dUTP или Fluorescein-dUTP) включали в ДНК-зонды с использованием стандартной реакции ник-трансляции [13]. Специфичность полученных ДНК-зондов оценивали на нормальных метафазных пластинках человека.
FISH проводили следующим образом. Предметные стекла с фиксированными лимфоцитами трижды промывали в 2×SSC по 5 мин при 37°С и в 0.01%-ном пепсине (Sigma, США) в течение 10 мин при 37°С. Затем предметные стекла подвергали фиксации в 1%-ном параформальдегиде (Sigma, США) в течение 10 мин при комнатной температуре, промывали PBS в течение 5 мин и обезвоживали в 70-, 80-, 100%-ном этаноле по 5 мин в каждом. Панцентромерные ДНК-зонды или два центромерно-специфичных ДНК-зонда, меченных различными флуорофорами, в буфере для гибридизации (50%-ного деионизированного формамида (Sigma, США), 12.5%-ного декстрансульфата (Sigma, США), 0.1 мкг/мкл ДНК спермы лосося (Sigma, США)) добавляли на предметные стекла с последующей денатурацией в течение 5 мин при 75°С и гибридизацией в течение ночи при температуре 37°С во влажной камере (ThermoBrite, Германия). После промывки в 0.4×SSC, 0.3%-ным Nonidet P-40 (Amresco, США) в течение 2 мин при 70°С и 2×SSC, 0.1%-ным Nonidet P-40 в течение 5 мин при комнатной температуре клетки окрашивали и заключали в Vectashield с красителем DAPI (VectorLabs, США) под покровным стеклом.
Частоты микроядер и анеуплоидий анализировали с помощью микроскопа Axio Imager Z2 (Carl Zeiss, Германия) с фильтрами для DAPI, TAMRA и FITC в 2000 и 1000 двухъядерных клеток соответственно. Микроядро считалось центромерно-позитивным (MnC+) или центромерно-негативным (MnC–) в зависимости от наличия или отсутствия флуоресцентного сигнала панцентромерного ДНК-зонда. Комбинации сигналов 3 : 1, 4 : 0 для аутосом и 2 : 0 для половых хромосом в двухъядерных клетках рассматривались как результаты нерасхождения хромосом. Хромосомное отставание оценивали как частоту хромосомоспецифичных центромерно-позитивных микроядер.
Анализ метилирования LINE-1
Геномную ДНК выделяли из цельной крови стандартным методом фенол-хлороформной экстракции. Бисульфитную конверсию ДНК проводили с использованием набора EZ DNA methylation Direct Kit (Zymo Research, США) в соответствии с протоколом производителя. Индекс метилирования ретротранспозона LINE-1 определяли методом пиросеквенирования с использованием набора PyroMark Q24 CpG LINE-1 (Qiagen, Германия) в соответствии с протоколом производителя. Образцы для ПЦР содержали буфер (1.5 мм MgCl2, 0.2 мм каждого dNTP, по 1 мкл прямого и обратного праймеров (по 10 мкм каждый)), 2 единицы HotStart Taq-полимеразы и 1 мкл ДНК (после бисульфитной конверсии) общим объемом 25 мкл. Условия ПЦР были следующими: первичная денатурация, 15 мин при 95°С; 45 циклов: 20 с при 95°С, 20 с при 50°С и 20 с при 72°С; и финальная элонгация, 5 мин при 72°С. Размер продукта ПЦР составил 149 пн. Биотинилированный продукт ПЦР был очищен, и одноцепочечная ДНК была иммобилизована в соответствии с рекомендациями производителя. Затем к каждому образцу добавляли 0.3 мкм праймера для пиросеквенирования и проводили реакцию с использованием пиросеквенатора PyroMark Q24 (Qiagen, Германия). Индекс метилирования рассчитывали как отношение метилированного цитозина к сумме метилированных и неметилированных цитозинов с использованием программного обеспечения PyroMark Q24 в трех CpG-сайтах промоторной области LINE-1 (позиции 318, 321 и 328 в GenBank X58075.1).
Статистический анализ
Статистический анализ проводился с использованием программного обеспечения STATISTICA 8.0 (Statsoft, США). Сравнение между группами проводилось с помощью U-критерия Манна–Уитни. Корреляции были проанализированы с использованием теста ранговой корреляции Спирмена. Для всех анализов различия были приняты как статистически значимые при р < 0.05. Числовые данные представлены в виде среднего значения ± стандартное отклонение.
Результаты
В группе работников радиохимического производства частота центромеро-негативных микроядер, аберраций хромосомного типа и суммарной частоты нерасхождения хромосом 2, 7, 8, 12, X и Y были достоверно выше, чем в контрольной группе (р < 0.001) (табл. 1). Однако индекс метилирования LINE-1 существенно не различался между группами.
Индекс метилирования LINE-1 и частота каких-либо хромосомных аномалий не коррелировали ни с возрастом индивидов как в группе работников радиохимического производства (R = 0.12, p = 0.61), так и в контрольной группе (R = –0.04, p = 0.77), ни с активностью плутония-239 в группе работников.
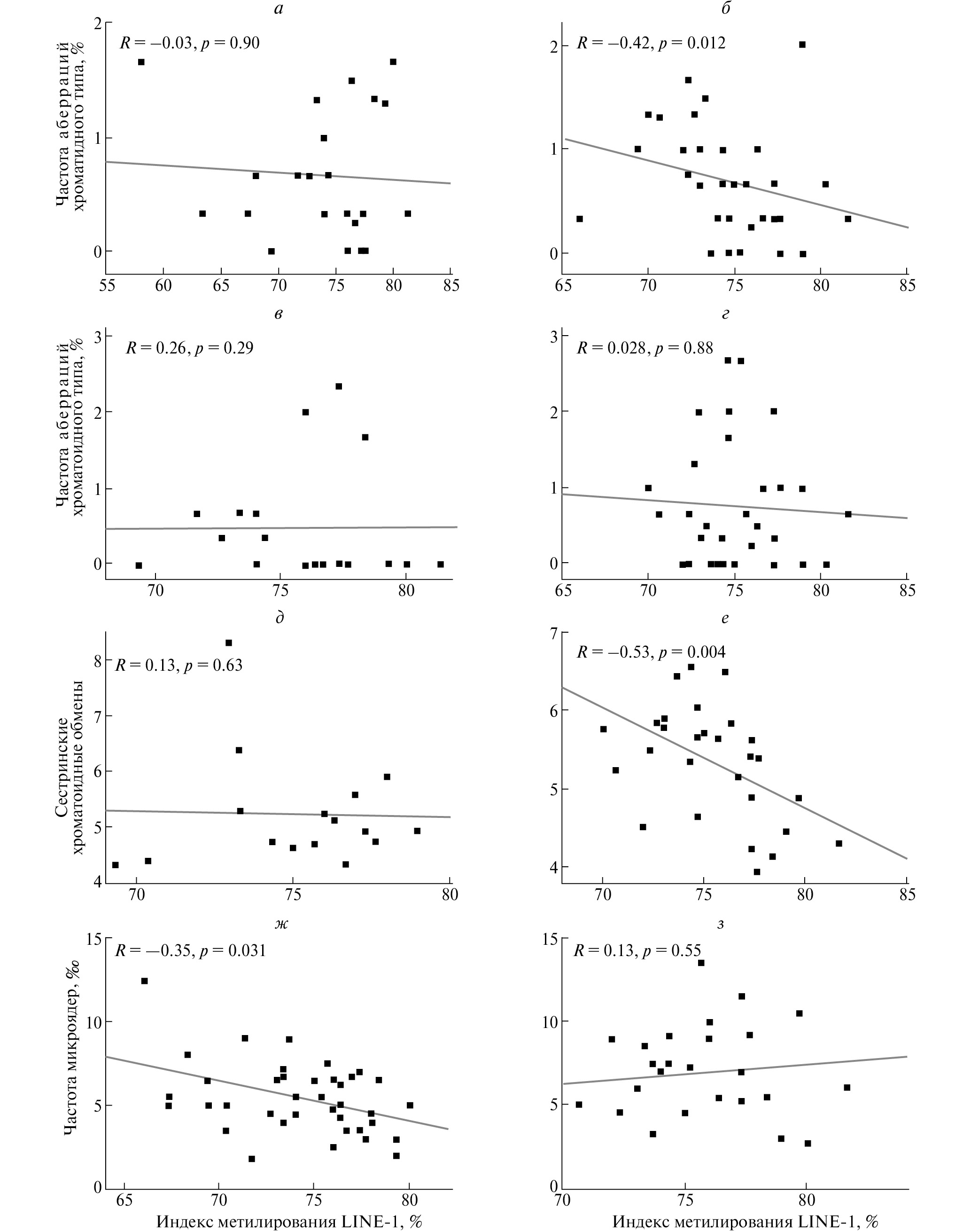
В группе работников радиохимического производства индекс метилирования LINE-1 значимо коррелировал с частотой аберраций хроматидного типа (рис. 1,б). Однако не было обнаружено корреляции между индексом метилирования LINE-1 и частотой аберраций хромосомного типа (рис. 1,г). Более того, была также обнаружена корреляция между индексом метилирования LINE-1 и уровнем сестринских хроматидных обменов в группе работников радиохимического производства (рис. 1,е). В контрольной группе не было обнаружено корреляции частот хромосомных аберраций и уровня сестринских хроматидных обменов с индексом метилирования LINE-1 (рис. 1,а, в, д).
В контрольной группе наблюдалась корреляция между индексом метилирования LINE-1 и общей частотой микроядер (R = –0.35, p = 0.031) (рис. 1,ж). Корреляции между индексом метилирования LINE-1 и частотами отдельно MnC– и MnC+ были статистически незначимыми (R = –0.26, p = 0.10 и R = –0.19, p = 0.23 соответственно). В группе работников радиохимического производства значимых корреляций не наблюдалось (R = 0.07, p = 0.75 и R = –0.02, p = 0.94 для MnC– и MnC+ соответственно) (рис. 1,з). Суммарная частота хромосомного нерасхождения незначительно снижалась с увеличением индекса метилирования LINE-1 как в группе работников плутониевого производства, так и в контрольной группе, но различия были статистически незначимыми.
Обсуждение
Мы наблюдали повышенную частоту аберраций хромосомного типа, микроядер и анеуплоидии в группе работников радиохимического производства. Результаты настоящего исследования подтверждают опубликованные данные о влиянии инкорпорированного плутония на частоту хромосомных аберраций [14–18] и отсутствии влияния на уровень сестринских хроматидных обменов [14]. Однако ни один из этих маркеров не коррелировал с индексом метилирования LINE-1 в группе работников. Более того, в группе с инкорпорированным плутонием не наблюдалось дифференциального метилирования LINE-1. Это позволяет предположить, что инкорпорированный плутоний приводит к повышению уровня окислительных повреждений и однонитевых разрывов ДНК индуцирует двунитевые разрывы ДНК в лимфоцитах in vivo, которые трансформируются в аберрации хромосомного типа и микроядра. Повышенный уровень анеуплоидии может быть объяснен неправильной сегрегацией аберрантных хромосом.
Таблица 1. Индекс метилирования LINE-1 и частоты хромосомных аберраций в лимфоцитах работников радиохимического производства и индивидов контрольной группы
Маркер | Работники радиохимического производства | Контрольная группа | Значение p | ||
n | Среднее ± станд. отклон.; мин–макс | n | Среднее ± станд. отклон.; мин–макс | ||
Индекс метилирования LINE-1, % | 40 | 74.93 ± 3.63; 64.67–81.67 | 49 | 73.92 ± 4.62; 58.00–81.33 | 0.446 |
Частота микроядер, ‰ | 25 | 6.93 ± 2.88; 2.50–13.50 | 38 | 5.45 ± 2.13; 1.82–12.50 | 0.032 |
MnC–, ‰ | 25 | 4.74 ± 2.26; 1.00–9.23 | 38 | 3.02 ± 1.69; 0.91–9.50 | 0.001 |
MnC+, ‰ | 25 | 2.19 ± 1.96; 0.00–8.00 | 38 | 2.44 ± 1.19; 0.50–5.50 | 0.158 |
Аберрации хромосомного типа, % | 35 | 0.81 ± 0.79; 0.00–2.67 | 22 | 0.44 ± 0.69; 0.00–2.33 | 0.046 |
Дицентрические хромосомы, % | 35 | 0.15 ± 0.25; 0.00–1.00 | 22 | 0.06 ± 0.17; 0.00–0.67 | 0.210 |
Кольцевые хромосомы, % | 35 | 0.04 ± 0.11; 0.00–0.33 | 22 | 0.08 ± 0.14; 0.00–0.33 | 0.451 |
Парные фрагменты, % | 35 | 0.48 ± 0.66; 0.00–2.33 | 22 | 0.20 ± 0.37; 0.00–1.00 | 0.071 |
Аберрации хроматидного типа, % | 35 | 0.71 ± 0.53; 0.00–2.00 | 22 | 0.67 ± 0.57; 0.00–1.67 | 0.725 |
Сестринские хроматидные обмены, на клетку | 29 | 5.39 ± 0.77; 3.94–6.94 | 17 | 5.38 ± 1.16; 4.33–8.30 | 0.406 |
Хромосомное нерасхождение, % | 16 | 0.93 ± 0.43; 0.47–1.66 | 32 | 0.50 ± 0.25; 0.06–1.17 | 0.000 |
Хромосомное отставание, % | 16 | 0.19 ± 0.21; 0.00–0.60 | 32 | 0.17 ± 0.18; 0.00–0.61 | 1.000 |
Маркер | Работники радиохимического производства | Контрольная группа | Значение p | ||
n | Среднее ± станд. отклон.; мин–макс | n | Среднее ± станд. отклон.; мин–макс | ||
Индекс метилирования LINE-1, % | 40 | 74.93 ± 3.63; 64.67–81.67 | 49 | 73.92 ± 4.62; 58.00–81.33 | 0.446 |
Частота микроядер, ‰ | 25 | 6.93 ± 2.88; 2.50–13.50 | 38 | 5.45 ± 2.13; 1.82–12.50 | 0.032 |
MnC–, ‰ | 25 | 4.74 ± 2.26; 1.00–9.23 | 38 | 3.02 ± 1.69; 0.91–9.50 | 0.001 |
MnC+, ‰ | 25 | 2.19 ± 1.96; 0.00–8.00 | 38 | 2.44 ± 1.19; 0.50–5.50 | 0.158 |
Аберрации хромосомного типа, % | 35 | 0.81 ± 0.79; 0.00–2.67 | 22 | 0.44 ± 0.69; 0.00–2.33 | 0.046 |
Дицентрические хромосомы, % | 35 | 0.15 ± 0.25; 0.00–1.00 | 22 | 0.06 ± 0.17; 0.00–0.67 | 0.210 |
Кольцевые хромосомы, % | 35 | 0.04 ± 0.11; 0.00–0.33 | 22 | 0.08 ± 0.14; 0.00–0.33 | 0.451 |
Парные фрагменты, % | 35 | 0.48 ± 0.66; 0.00–2.33 | 22 | 0.20 ± 0.37; 0.00–1.00 | 0.071 |
Аберрации хроматидного типа, % | 35 | 0.71 ± 0.53; 0.00–2.00 | 22 | 0.67 ± 0.57; 0.00–1.67 | 0.725 |
Сестринские хроматидные обмены, на клетку | 29 | 5.39 ± 0.77; 3.94–6.94 | 17 | 5.38 ± 1.16; 4.33–8.30 | 0.406 |
Хромосомное нерасхождение, % | 16 | 0.93 ± 0.43; 0.47–1.66 | 32 | 0.50 ± 0.25; 0.06–1.17 | 0.000 |
Хромосомное отставание, % | 16 | 0.19 ± 0.21; 0.00–0.60 | 32 | 0.17 ± 0.18; 0.00–0.61 | 1.000 |
Рис. 1. Корреляции между индексом метилирования LINE-1 и частотами аберраций хроматидного и хромосомного типов, уровнем сестринских хроматидных обменов и частотой микроядер в контрольной группе (а, в, д, ж) и группе работников радиохимического производства (б, г, е, з).
Индекс метилирования LINE-1 коррелировал с частотами аберраций хроматидного типа и сестринских хроматидных обменов в группе работников радиохимического производства, которые были незначительно выше, чем в контрольной группе. Оба этих маркера образуются в результате репарации двунитевых разрывов ДНК в G2-фазе клеточного цикла при культивировании лимфоцитов in vitro. Часть этих двунитевых разрывов ДНК может быть обусловлена превращением однонитевых разрывов ДНК в лимфоцитах в фазе G0, подвергшихся воздействию инкорпорированного плутония in vivo, в замершие вилки репликации ДНК [19]. Возможно, этот эффект более выражен в клетках индивидов с гипометилированием LINE-1, но недостаточен для значительного увеличения частоты хроматидных аномалий в клетках работников c инкорпорированным плутонием.
Корреляция индекса метилирования LINE-1 с хромосомными аберрациями была обнаружена ранее в других исследованиях. В когорте норвежских здоровых лиц мужского пола, как и в нашем исследовании, индекс метилирования LINE-1 был более тесно связан с частотой аберраций хроматидного типа, а связь с частотой аберраций хромосомного типа была незначительной [20]. Напротив, в другом исследовании, проведенном на работниках атомных электростанций, частота аберраций хромосомного типа была значительно выше в подгруппе с гипометилированием LINE-1, в то время как частота аберраций хроматидного типа была лишь незначительно повышена [21].
С 1980-х годов было известно, что деметилирующие агенты могут вызывать сестринские хроматидные обмены [22–27]. Позже было показано, что в отличие от мутагенов, непосредственно вызывающих увеличение уровня сестринских хроматидных обменов сразу после воздействия (таких как митомицин-С, ультрафиолетовое излучение и перекись водорода), деметилирующие агенты приводят к увеличению частоты обмена сестринскими хроматидами только через два клеточных цикла после самого воздействия. Это указывает на то, что их влияние на возникновение сестринских хроматидных обменов опосредовано снижением метилирования ДНК, которое достигается за два клеточных цикла [28]. Более того, недавно было непосредственно обнаружено, что действие 5-аза-2ʹ-дезоксицитидина вызывает образование разрывов хроматид в клетках, связанных с прохождением репликационной вилки, и требует для их восстановления участия механизма гомологичной рекомбинации, приводящего к образованию сестринских хроматидных обменов [29]. Это указывает на то, что корреляция между индексом метилирования LINE-1, маркером глобального уровня метилирования генома, и частотами хроматидных аберраций и сестринских хроматидных обменов может отражать не только ассоциативные связи, но и нарушение метилирования ДНК может непосредственно приводить к двунитевым разрывам ДНК и образованию аберраций хроматидного типа.
Недавно появилось сообщение о том, что воздействие ионизирующего излучения в низких дозах и с низкой мощностью дозы приводит к преимущественному восстановлению двунитевых разрывов ДНК с использованием механизма гомологичной рекомбинации [30]. Следовательно, воздействие ионизирующего излучения в малых дозах должно приводить к увеличению частоты аберраций хроматидного типа и сестринских хроматидных обменов. Наши результаты, полученные на выборке работников радиохимического производства, подтверждают эти данные. Кроме того, этот эффект подтверждается повышением уровня сестринских хроматидных обменов in vitro при дозах до 100–150 мГр [31] и в условиях профессионального облучения [32–35]. Особый интерес представляют исследования, которые показывают увеличение уровня сестринских хроматидных обменов в зависимости от линейного переноса энергии и дозы заряженных частиц [36, 37].
В настоящем исследовании мы показали корреляцию между индексом метилирования LINE-1 и частотой микроядер в контрольной группе. Ранее показано, что частота центромеро-позитивных микроядер коррелирует с возрастом и индексом метилирования LINE-1 в лимфоцитах здоровых добровольцев [38]. Однако в нашем исследовании ни индекс метилирования LINE-1, ни частота микроядер не коррелировали с возрастом доноров. Это позволяет предположить, на индекс метилирования LINE-1 и микроядра в лимфоцитах могут влиять другие факторы.
Таким образом, была обнаружена связь между метилированием LINE-1 и частотой хроматидных повреждений в лимфоцитах человека. Ключевым механизмом возникновения таких аномалий является увеличение частоты ошибок гомологичной рекомбинации, приводящее как к образованию аберраций хроматидного типа, так и к сестринским хроматидным обменам.
Исследование выполнено при поддержке темы Государственного задания № 122112800024-7.
Исследование одобрено Этическим комитетом Научно-исследовательского института медицинской генетики Томского национального исследовательского медицинского центра (протокол № 3 от 02.06.2015).
Все процедуры, выполненные в исследовании с участием людей, соответствуют этическим стандартам институционального и/или национального комитета по исследовательской этике и Хельсинкской декларации 1964 г. и ее последующим изменениям или сопоставимым нормам этики.
От каждого из включенных в исследование участников было получено информированное добровольное согласие. Все обследованные – совершеннолетние.
Исследование проводилось с использованием оборудования центра коллективного пользования “Медицинская геномика” Томского национального исследовательского медицинского центра Российской академии наук с использованием биоресурсной коллекции “Биобанк Северной Евразии” Научно-исследовательского института медицинской генетики Томского национального исследовательского медицинского центра Российской академии наук.
Авторы заявляют, что у них нет конфликта интересов.
Об авторах
С. А. Васильев
Томский национальный исследовательский медицинский центр Российской академии наук
Автор, ответственный за переписку.
Email: stanislav.vasilyev@medgenetics.ru
Научно-исследовательский институт медицинской генетики
Россия, Томск, 634050Е. Н. Толмачева
Томский национальный исследовательский медицинский центр Российской академии наук
Email: stanislav.vasilyev@medgenetics.ru
Научно-исследовательский институт медицинской генетики
Россия, Томск, 634050Е. А. Саженова
Томский национальный исследовательский медицинский центр Российской академии наук
Email: stanislav.vasilyev@medgenetics.ru
Научно-исследовательский институт медицинской генетики
Россия, Томск, 634050Н. Н. Суханова
Томский национальный исследовательский медицинский центрРоссийской академии наук
Email: stanislav.vasilyev@medgenetics.ru
Научно-исследовательский институт медицинской генетики
Россия, Томск, 634050Ю. С. Яковлева
Томский национальный исследовательский медицинский центр Российской академии наук; Сибирский государственный медицинский университет
Email: stanislav.vasilyev@medgenetics.ru
Научно-исследовательский институт медицинской генетики
Россия, Томск, 634050; Томск, 634050Н. Б. Торхова
Томский национальный исследовательский медицинский центр Российской академии наук
Email: stanislav.vasilyev@medgenetics.ru
Научно-исследовательский институт медицинской генетики
Россия, Томск, 634050М. Б. Плаксин
Сибирский федеральный научно-клинический центр Федерального медико-биологического агентства
Email: stanislav.vasilyev@medgenetics.ru
Россия, Северск, 636035
И. Н. Лебедев
Томский национальный исследовательский медицинский центр Российской академии наук; Сибирский государственный медицинский университет
Email: stanislav.vasilyev@medgenetics.ru
Научно-исследовательский институт медицинской генетики
Россия, Томск, 634050; Томск, 634050Список литературы
- Allshire R.C., Madhani H.D. Ten principles of heterochromatin formation and function // Nat. Rev. Mol. Cell. Biol. 2017. V. 19. № 4. P. 229–244. https://doi.org/10.1038/nrm.2017.119
- Ostertag E.M., Kazazian H.H., Jr. Biology of mammalian L1 retrotransposons // Annu. Rev. Genet. 2001. V. 35. №. P. 501–538. https://doi.org/10.1146/annurev.genet.35.102401.091032
- Lu K.P., Ramos K.S. Identification of genes differentially expressed in vascular smooth muscle cells following benzo[a]pyrene challenge: Implications for chemical atherogenesis // Biochem. Biophys. Res. Commun. 1998. V. 253. № 3. P. 828–833. https://doi.org/S0006-291X(98)99866-7
- Lu K.P., Ramos K.S. Redox regulation of a novel L1Md-A2 retrotransposon in vascular smooth muscle cells // J. Biol. Chem. 2003. V. 278. № 30. P. 28201–28209. https://doi.org/10.1074/jbc.M303888200
- Lu K.P., Hallberg L.M., Tomlinson J. et al. Benzo(a)pyrene activates L1Md retrotransposon and inhibits DNA repair in vascular smooth muscle cells // Mutat. Res. 2000. V. 454. № 1–2. P. 35–44. https://doi.org/S0027-5107(00)00095-6
- Farkash E.A., Kao G.D., Horman S.R. et al. Gamma radiation increases endonuclease-dependent L1 retrotransposition in a cultured cell assay // Nucl. Ac. Res. 2006. V. 34. № 4. P. 1196–1204. https://doi.org/34/4/1196
- Stribinskis V., and Ramos K.S. Activation of human long interspersed nuclear element 1 retrotransposition by benzo(a)pyrene, an ubiquitous environmental carcinogen // Cancer Res. 2006. V. 66. № 5. P. 2616–2620. https://doi.org/66/5/2616
- Teneng I., Stribinskis V., Ramos K.S. Context-specific regulation of LINE-1 // Genes Cells. 2007. V. 12. № 10. P. 1101–1110. https://doi.org/GTC1117
- Wright R.O., Schwartz J., Wright R.J. et al. Biomarkers of lead exposure and DNA methylation within retrotransposons // Environ. Health. Perspect. 2010. V. 118. № 6. P. 790-795. https://doi.org/10.1289/ehp.0901429
- DʹUrso A., Brickner J.H. Mechanisms of epigenetic memory // Trends Genet. 2014. V. 30. № 6. P. 230–236. https://doi.org/10.1016/j.tig.2014.04.004
- Vasilyev S.A., Timoshevsky V.A., Lebedev I.N. Cytogenetic mechanisms of aneuploidy in somatic cells of chemonuclear industry professionals with incorporated plutonium-239 // Rus. J. of Genet. 2010. V. 46. № 11. P. 381–1385. https://doi.org/10.1134/s1022795410110141
- Muller S., Neusser M., Kohler D. et al. Preparation of complex DNA probe sets for 3D FISH with up to six different fluorochromes // CSH Protoc. 2007. V. 2007. https://doi.org/10.1101/pdb.prot4730
- Pembrey M., Golding J., Connelly J. ZNF277 microdeletions, specific language impairment and the meiotic mismatch methylation (3M) hypothesis // Eur. J. Hum. Genet. 2015. V. 23. № 9. https://doi.org/10.1038/ejhg.2014.262
- Brandom W.F., McGavran L., Bistline R.W. et al. Sister chromatid exchanges and chromosome aberration frequencies in plutonium workers // Int. J. Radiat. Biol. 1990. V. 58. № 1. P. 195–207. https://doi.org/352K8BG4CLW1K5PW
- Tawn E.J., Whitehouse C.A., Tarone R.E. FISH chromosome aberration analysis on retired radiation workers from the Sellafield nuclear facility // Radiat. Res. 2004. V. 162. № 3. P. 249–256.
- Tawn E.J., Whitehouse C.A., Riddell A.E. FISH chromosome analysis of plutonium workers from the Sellafield nuclear facility // Radiat. Res. 2006. V. 165. № 5. P. 592–597. https://doi.org/RR3530
- Hande M.P., Azizova T.V., Burak L.E. et al. Complex chromosome aberrations persist in individuals many years after occupational exposure to densely ionizing radiation: An mFISH study // Genes Chrom. Cancer. 2005. V. 44. № 1. P. 1–9. https://doi.org/10.1002/gcc.20217
- Anderson R.M., Tsepenko V.V., Gasteva G.N. et al. mFISH analysis reveals complexity of chromosome aberrations in individuals occupationally exposed to internal plutonium: A pilot study to assess the relevance of complex aberrations as biomarkers of exposure to high-LET alpha particles // Radiat. Res. 2005. V. 163. № 1. P. 26–35. https://doi.org/RR3286
- Kuzminov A. DNA replication meets genetic exchange: Chromosomal damage and its repair by homologous recombination // Proc. Natl Acad. Sci. USA. 2001. V. 98. № 15. P. 8461–8468. https://doi.org/10.1073/pnas.151260698
- Li H., Hilmarsen H.T., Hossain M.B. et al. Telomere length and LINE-1 methylation is associated with chromosomal aberrations in peripheral blood // Genes Chrom. Cancer. 2013. V. 52. № 1. P. 1–10. https://doi.org/10.1002/gcc.22000
- Lee Y., Kim Y.J., Choi Y.J. et al. Radiation-induced changes in DNA methylation and their relationship to chromosome aberrations in nuclear power plant workers // Int. J. Radiat. Biol. 2015. V. 91. № 2. P. 142–149. https://doi.org/10.3109/09553002.2015.969847
- Chambers J.C., and Taylor J.H. Induction of sister chromatid exchanges by 5-fluorodeoxycytidine: Correlation with DNA methylation // Chromosoma. 1982. V. 85. № 5. P. 603–609.
- Hori T.A. Induction of chromosome decondensation, sister-chromatid exchanges and endoreduplications by 5-azacytidine, an inhibitor of DNA methylation // Mutat. Res. 1983. V. 121. № 1. P. 47–52.
- Ikushima T. SCE and DNA methylation // Basic Life Sci. 1984. V. 29. Pt. A. P. 161–172.
- Lavia P., Ferraro M., Micheli A. et al. Effect of 5-azacytidine (5-azaC) on the induction of chromatid aberrations (CA) and sister-chromatid exchanges (SCE) // Mutat. Res. 1985. V. 149. № 3. P. 463–467.
- Shipley J., Sakai K., Tantravahi U. et al. Correspondence between effects of 5-azacytidine on SCE formation, cell cycling and DNA methylation in Chinese hamster cells // Mutat. Res. 1985. V. 150. № 1–2. P. 333–345.
- Bianchi N.O., Larramendy M., and Bianchi M.S. The asymmetric methylation of CG palindromic dinucleotides increases sister-chromatid exchanges // Mutat. Res. 1988. V. 197. № 1. P. 151–156.
- Albanesi T., Polani S., Cozzi R. et al. DNA strand methylation and sister chromatid exchanges in mammalian cells in vitro // Mutat. Res. 1999. V. 429. № 2. P. 239–248.
- Orta M.L., Calderon-Montano J.M., Dominguez I. et al. 5-Aza-2ʹ-deoxycytidine causes replication lesions that require Fanconi anemia-dependent homologous recombination for repair // Nucl. Ac. Res. 2013. V. 41. № 11. P. 5827–5836. https://doi.org/10.1093/nar/gkt270
- Osipov A.N., Grekhova A., Pustovalova M. et al. Activation of homologous recombination DNA repair in human skin fibroblasts continuously exposed to X-ray radiation // Oncotarget. 2015. V. 6. № 29. P. 26876–26885. https://doi.org/10.18632/oncotarget.4946
- Gundy S., Varga L., Bender M.A. Sister chromatid exchange frequency in human lymphocytes exposed to ionizing radiation in vivo and in vitro // Radiat. Res. 1984. V. 100. № 1. P. 47–54.
- Shubber E.K., al-Shaikhly A.W. Cytogenetic analysis of blood lymphocytes from X-ray radiographers // Int. Arch. Occup. Environ. Health. 1989. V. 61. № 6. P. 385–389.
- al-Sabti K., Lloyd D.C., Edwards A.A. et al. A survey of lymphocyte chromosomal damage in Slovenian workers exposed to occupational clastogens // Mutat. Res. 1992. V. 280. № 3. P. 215–223.
- 34. Bozkurt G., Yuksel M., Karabogaz G. et al. Sister chromatid exchanges in lymphocytes of nuclear medicine physicians // Mutat. Res. 2003. V. 535. № 2. P. 205–213.
- Santovito A., Cervella P., Delpero M. Increased frequency of chromosomal aberrations and sister chromatid exchanges in peripheral lymphocytes of radiology technicians chronically exposed to low levels of ionizing radiations // Environ. Toxicol. Pharmacol. 2014. V. 37. № 1. P. 396–403. https://doi.org/10.1016/j.etap.2013.12.009
- Geard C.R. Induction of sister chromatid exchange as a function of charged-particle linear energy transfer // Radiat. Res. 1993. V. 134. № 2. P. 187–192.
- Schmid E., Roos H. Dose dependence of sister chromatid exchanges in humans lymphocytes induced by in vitro alpha-particle irradiation // Radiat. Environ. Biophys. 1996. V. 35. № 4. P. 311–314.
- Cho Y.H., Woo H.D., Jang Y. et al. The association of LINE-1 hypomethylation with age and centromere positive micronuclei in human lymphocytes // PLoS One. 2015. V. 10. № 7. https://doi.org/10.1371/journal.pone.0133909
Дополнительные файлы



