Профили экспрессии генов, вовлеченных в синтез лигнанов, в развивающихся семенах льна
- Авторы: Пушкова Е.Н.1, Дворянинова Е.М.1, Повхова Л.П.1, Рожмина Т.А.1,2, Новаковский Р.О.1, Сигова Е.А.1, Дмитриев А.А.1, Мельникова Н.В.1
-
Учреждения:
- Институт молекулярной биологии им. В.А. Энгельгардта Российской академии наук
- Федеральный научный центр лубяных культур
- Выпуск: Том 60, № 7 (2024)
- Страницы: 112-117
- Раздел: КРАТКИЕ СООБЩЕНИЯ
- URL: https://journal-vniispk.ru/0016-6758/article/view/267690
- DOI: https://doi.org/10.31857/S0016675824070113
- EDN: https://elibrary.ru/BGNLFZ
- ID: 267690
Цитировать
Полный текст
Аннотация
Семена льна являются богатейшим растительным источником лигнанов, препятствующих развитию многих заболеваний. Среди лигнанов в семени культивируемого вида Linum usitatissimum преобладает диглюкозид секоизоларицирезинола (SDG). Нами выполнено секвенирование транскриптомов семян льна на пяти стадиях развития для восьми сортов/линий, различающихся по содержанию лигнанов, для трех вариантов условий выращивания и проведена оценка экспрессии генов PLR1 и UGT74S1, играющих ключевую роль в синтезе SDG. Выявлены коэкспрессия генов PLR1 и UGT74S1 и изменение уровня экспрессии этих генов в десятки и сотни раз в процессе развития семян, что подтверждает их роль в синтезе SDG льняного семени. Пониженная температура (16 °С) и избыточный полив приводили к сдвигу максимального уровня экспрессии обоих генов на более поздние сроки (14-й день после раскрытия цветка) по сравнению с условиями недостаточного полива и повышенной температуры (24 °С) и оптимальными условиями (20 °С) (7-й день после раскрытия цветка). При этом при повышенной температуре и недостаточном поливе уровень экспрессии генов PLR1 и UGT74S1 был ниже, чем при оптимальных условиях. Не выявлено ассоциации между содержанием лигнанов в семенах исследованных сортов/линий льна и уровнем экспрессии генов PLR1 и UGT74S1. Наши результаты дают важную информацию о вкладе генотипа и среды в экспрессию ключевых генов синтеза SDG, что в том числе необходимо для разработки оптимальных подходов для получения семян льна с высоким содержанием лигнанов.
Ключевые слова
Полный текст
Семена льна содержат биологически активные вещества и все шире используются для производства полезных для здоровья продуктов питания и биологически активных добавок [1–5]. Льняное семя – один из богатейших растительных источников лигнанов, препятствующих развитию рака, сердечно-сосудистых заболеваний и сахарного диабета [1, 6–14]. Среди лигнанов в семенах Linum usitatissimum L. преобладает диглюкозид секоизоларицирезинола (secoisolariciresinol diglucoside, SDG) [11]. У разных сортов льна различия в содержании SDG достигают нескольких раз, и данная характеристика может определять потенциал использования сорта для лечебного питания или производства лекарственных средств [11, 15–18]. Известно, что пинорезинол-ларицирезинол редуктазы (pinoresinol-lariciresinol reductases, PLRs) играют ключевую роль в синтезе лигнанов растений [19]. В семенах льна PLR1 сначала катализирует превращение (−)-пинорезинола в (−)-ларицирезинол, а затем в (+)-секоизоларицирезинол [20–23]. Уридин-гликозилтрансферазы (uridine glycosyl transferases, UGTs) катализируют образование гликозидных связей и играют важную роль в синтезе SDG льна, причем наибольший вклад вносит UGT74S1 [24, 25].
Целью работы являлось выявление закономерностей в экспрессии генов UGT74S1 и PLR1 при развитии семян льна в разных условиях для сортов, различающихся по содержанию лигнанов.
В анализе использовались растения восьми сортов/линий льна с различным содержанием лигнанов в семенах: AGT 427, Atalante, AGT 981, Entre-Rios, Raciol, AGT 422, Lola, AGT 1535 (табл. 1). Данные о содержании секоизоларицирезинола в семенах исследованных сортов/линий льна предоставлены Институтом льна (г. Торжок, Россия) и получены совместно с чешской компанией Agritek (не опубликованы). Растения льна выращивали в 15-литровых горшках с почвой в течение месяца в оптимальных условиях (20 °С и полив через день), а затем переносили в три климатические камеры. В первой камере растения выращивали при 16 °С и ежедневном поливе (далее – 16 °С), во второй камере – при 20 °С и поливе через день (далее – 20 °С), в третьей камере – при 24 °С и поливе раз в три дня (далее – 24 °С). Режим освещения: 16 часов – день, 8 часов – ночь. Сбор семян проводили на 3, 7, 14, 21 и 28 день после цветения (ДПЦ, день после раскрытия цветка). Выделение РНК выполняли по методике, описанной в работе L. Wang и соавт. [26], с рядом модификаций. Оценку качества и концентрации РНК выполняли методом гель-электрофореза, а также на приборах 2100 Bioanalyzer (Agilent Technologies, США) и Qubit (Thermo Fischer Scientific, США).
Таблица 1. Содержание секоизоларицирезинола в семенах восьми сортов/линий льна
Сорт/линия | Секоизоларицирезинол, мг/кг |
AGT 427 | 5125 |
Atalante | 4650 |
AGT 981 | 4300 |
Entre-Rios | 3900 |
Raciol | 3900 |
AGT 422 | 3625 |
Lola | 2900 |
AGT 1535 | 2125 |
Для подготовки кДНК-библиотек для высокопроизводительного секвенирования применяли набор QIAseq Stranded mRNA Select Kit (Qiagen, США). Использовали пулы РНК, полученные от пяти одинаковых образцов (один и тот же сорт/линия, условия выращивания, стадия развития). Контроль качества кДНК-библиотек выполняли на 2100 Bioanalyzer (Agilent Technologies) и Qubit (Thermo Fischer Scientific). В результате получены 212 кДНК-библиотек высокого качества (для линии AGT 422 на 21 и 28 ДПЦ при 24 °С и сорта Lola на 28 ДПЦ при 24 °С пригодные для дальнейшего анализа библиотеки получить не удалось). Для 3, 7, 14 и 21 ДПЦ кДНК-библиотеки подготовлены в двухкратной биологической повторности, а для 28 ДПЦ – в однократной повторности. Секвенирование полученных транскриптомных библиотек выполняли на приборе NextSeq 2000 (Illumina, США) с использованием набора NextSeq 2000 P3 Reagents (100 Cycles) (Illumina), прочтения по 51 нуклеотиду с двух сторон. В среднем для каждой кДНК-библиотеки получено 2 млн парноконцевых прочтений. Данные секвенирования депонированы в базе NCBI Sequence Read Archive (SRA), номер биопроекта PRJNA1039849.
Полученные прочтения Illumina обрезали по качеству и фильтровали по длине с использованием Trimmomatic [27]. Для анализа экспрессии генов использовали приложение PPline [28]. Прочтения картировали на геном льна сорта Атлант (GCA_014858635.1 в базе NCBI Genome) [29], после чего определяли число прочтений для каждого гена в расчете на 1 млн прочтений (counts per million, CPM). Для дальнейшего анализа использовали данные CPM для транскриптов H1233_034242 + H1233_034241 (соответствуют UGT74S1 из работы K. Ghose и соавт. [24]) и H1233_076413 (соответствует PLR1 из работы D. Dalisay и соавт. [30]).
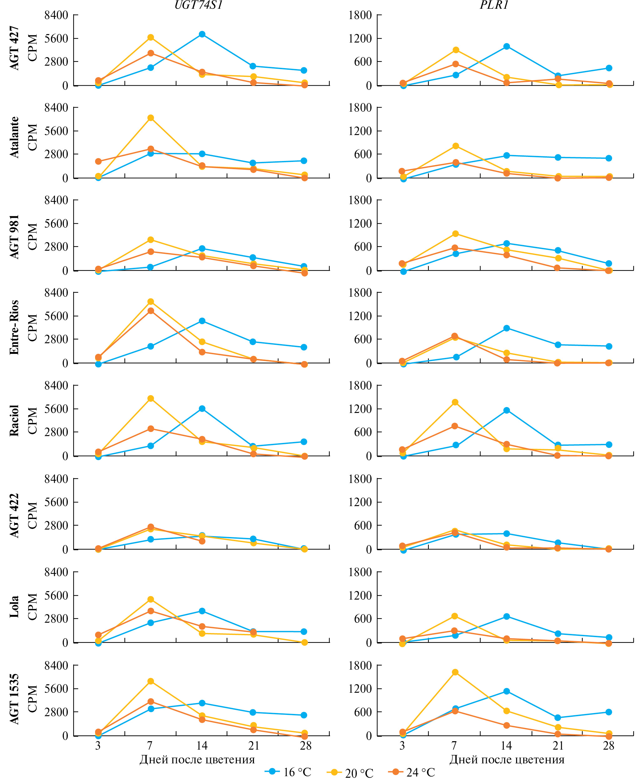
В результате проведенного анализа получили данные об уровне экспрессии генов UGT74S1 и PLR1 в семенах восьми сортов/линий льна, выращенных в трех вариантах температуры и полива, для 3, 7, 14, 21 и 28 ДПЦ (рис. 1). Профили экспрессии UGT74S1 и PLR1 были весьма похожи между собой при одних и тех же условиях выращивания для каждого из генотипов, что может свидетельствовать о коэкспрессии этих генов. О коэкспрессии PLR1 и UGT74S1 уже сообщалось ранее [24, 30], и наши данные согласуются с теми результатами.
Рис. 1. Профили экспрессии генов UGT74S1 и PLR1 при развитии семян льна (3, 7, 14, 21 и 28 ДПЦ) для сортов/линий AGT 427, Atalante, AGT 981, Entre-Rios, Raciol, AGT 422, Lola, AGT 1535, выращенных при 16 °С и избыточном поливе (16 °С), 20 °С и оптимальном поливе (20 °С), 24 °С и недостаточном поливе (24 °С). Отсутствуют данные для AGT 422 для 21 и 28 ДПЦ при 24 °С и для Lola для 28 ДПЦ при 24 °С.
Экспрессия изучаемых генов в целом изменялась сходным образом для разных сортов/линий при развитии семян в одних и тех же условиях. На 3 ДПЦ уровень экспрессии UGT74S1 и PLR1 был низким для всех генотипов в трех условиях выращивания. Для всех исследованных сортов/линий наиболее высокого уровня экспрессия изучаемых генов достигала на 7 ДПЦ в условиях 20 и 24 °С. Затем на 14 ДПЦ в условиях 20 и 24 °С происходило снижение уровня экспрессии, которое продолжалось при дальнейшем развитии семян. В условиях 16 °С уровень экспрессии генов начинал повышаться на 7 ДПЦ и достигал максимального значения на 14 ДПЦ в большинстве сортов/линий (исключение – Atalante для гена UGT74S1, для которого уровень экспрессии был близким на 7 и 14 ДПЦ). На 21 и 28 ДПЦ в условиях 16 °С наблюдалось снижение экспрессии обоих генов, однако имелись различия между генотипами – у одних сортов/линий уровень экспрессии достигал минимума на 28 ДПЦ, а у других все еще оставался достаточно высоким на этой стадии развития.
Таким образом, нами выявлены сходные закономерности в динамике уровня экспрессии UGT74S1 и PLR1 в большинстве исследованных генотипов льна. При развитии семян наблюдалось изменение экспрессии этих генов в десятки и сотни раз, что подтверждает их важность в синтезе SDG в семенах льна. Различные условия температуры и полива влияли на профили экспрессии анализируемых генов – пониженная температура и избыточный полив приводили к сдвигу максимального уровня экспрессии на более поздние сроки (14 ДПЦ) по сравнению с условиями недостаточного полива и повышенной температуры и оптимальными условиями (7 ДПЦ). Кроме того, в условиях 16 °С в большей степени проявлялись межсортовые различия в профилях экспрессии изучаемых генов по сравнению с условиями 20 и 24 °С. Наши результаты согласуются с данными, полученными в работе D. Dalisay и соавт. [30], где также анализировалась динамика изменения экспрессии генов PLR, и для PLR1 наиболее высокий уровень экспрессии в исследуемых условиях был отмечен на 6 ДПЦ. Однако в настоящей работе впервые показано, как контролируемые условия внешней среды отражаются на профилях экспрессии генов UGT74S1 и PLR1, играющих ключевую роль в синтезе SDG льняного семени.
При сравнении уровня экспрессии генов UGT74S1 и PLR1 между условиями 20 и 24 °С на 7 ДПЦ (в этот срок в этих условиях достигался максимальный уровень экспрессии) для большинства генотипов экспрессия была выше в условиях 20 °С. Это может свидетельствовать о том, что повышенная температура и недостаточный полив способны отрицательно влиять на экспрессию генов UGT74S1 и PLR1. Сравнение уровня экспрессии этих генов между условиями 16 и 20 °С провести сложнее, так как профили экспрессии для этих условий существенно различаются. Однако можно отметить значительные межсортовые различия – для одних генотипов максимальный уровень экспрессии в условиях 20 °С превышал таковой в условиях 16 °С, а для других генотипов наблюдалось обратное.
Мы также провели сравнение уровня экспрессии генов UGT74S1 и PLR1 между генотипами с высоким и низким содержанием лигнанов в семени. Так, высокий уровень лигнанов имеют AGT 427 и Atalante, а низкий – Lola и AGT 1535 (табл. 1). Мы не обнаружили существенных различий в максимальном уровне экспрессии изучаемых генов для этих сортов/линий в условиях 20 и 24 °С. В условиях 16 °С сравнение проводить несколько сложнее из-за более выраженных межсортовых различий, однако проследить ассоциации между максимальным уровнем экспрессии и содержанием секоизоларицирезинола в семенах разных генотипов нам также не удалось. В то же время в работе L. Garros и соавт. [17] выявлена положительная корреляция между содержанием SDG и уровнем экспрессии UGT74S1 и PLR1. Однако в том исследовании данные по экспрессии представлены только для одной временной точки, а не в процессе развития семян.
Таким образом, на представленной выборке сортов/линий льна нами показано влияние условий выращивания на экспрессию генов UGT74S1 и PLR1, вовлеченных в синтез лигнанов льняного семени. В то же время нами не обнаружена связь между различным содержанием лигнанов в семенах разных сортов/линий льна и уровнем экспрессии генов UGT74S1 и PLR1. Наша работа расширяет знания о вкладе генотипа и среды в экспрессию ключевых генов синтеза SDG, что в том числе необходимо для разработки оптимальных подходов для выращивания льна с целью получения богатых лигнанами семян.
Работа выполнена при финансовой поддержке Российского научного фонда, грант № 21-16-00111.
Настоящая статья не содержит каких-либо исследований с использованием в качестве объекта животных.
Настоящая статья не содержит каких-либо исследований с участием в качестве объекта людей.
Авторы заявляют, что у них нет конфликта интересов.
Об авторах
Е. Н. Пушкова
Институт молекулярной биологии им. В.А. Энгельгардта Российской академии наук
Автор, ответственный за переписку.
Email: mnv-4529264@yandex.ru
Россия, 119991, Москва
Е. М. Дворянинова
Институт молекулярной биологии им. В.А. Энгельгардта Российской академии наук
Email: mnv-4529264@yandex.ru
Россия, 119991, Москва
Л. П. Повхова
Институт молекулярной биологии им. В.А. Энгельгардта Российской академии наук
Email: mnv-4529264@yandex.ru
119991, Москва
Т. А. Рожмина
Институт молекулярной биологии им. В.А. Энгельгардта Российской академии наук; Федеральный научный центр лубяных культур
Email: mnv-4529264@yandex.ru
Россия, 119991, Москва; 172002, Торжок
Р. О. Новаковский
Институт молекулярной биологии им. В.А. Энгельгардта Российской академии наук
Email: mnv-4529264@yandex.ru
Россия, 119991, Москва
Е. А. Сигова
Институт молекулярной биологии им. В.А. Энгельгардта Российской академии наук
Email: mnv-4529264@yandex.ru
Россия, 119991, Москва
А. А. Дмитриев
Институт молекулярной биологии им. В.А. Энгельгардта Российской академии наук
Email: mnv-4529264@yandex.ru
Россия, 119991, Москва
Н. В. Мельникова
Институт молекулярной биологии им. В.А. Энгельгардта Российской академии наук
Email: mnv-4529264@yandex.ru
Россия, 119991, Москва
Список литературы
- Goyal A., Sharma V., Upadhyay N. et al. Flax and flaxseed oil: An ancient medicine & modern functional food // J. Food Sci. and Technology. 2014. V. 51. P. 1633–1653. https://doi.org/10.1007/s13197-013-1247-9
- Fombuena V., Petrucci R., Dominici F. et al. Maleinized linseed oil as epoxy resin hardener for composites with high bio content obtained from linen byproducts // Polymers. 2019. V. 11. P. https://doi.org/10.3390/polym11020301
- Corino C., Rossi R., Cannata S. et al. Effect of dietary linseed on the nutritional value and quality of pork and pork products: Systematic review and meta-analysis // Meat Science. 2014. V. 98. P. 679–688. https://doi.org/10.1016/j.meatsci.2014.06.041
- Singh K.K., Mridula D., Rehal J. et al. Flaxseed: A potential source of food, feed and fiber // Crit. Rev. in Food Sci. and Nutrition. 2011. V. 51. https://doi.org/10.1080/10408390903537241
- Akter Y., Junaid M., Afrose S.S. et al. A comprehensive review on Linum usitatissimum medicinal plant: Its phytochemistry, pharmacology, and ethnomedicinal uses // Mini Rev. in Med. Chemistry. 2021. V. 21. P. 2801–2834. https://doi.org/10.2174/1389557521666210203153436
- Imran M., Ahmad N., Anjum F.M. et al. Potential protective properties of flax lignan secoisolariciresinol diglucoside // Nutrition J. 2015. V. 14. P. 71. https://doi.org/10.1186/s12937-015-0059-3
- Parikh M., Netticadan T., Pierce G.N. Flaxseed: Its bioactive components and their cardiovascular benefits // Am. J. of Physiology. Heart and Circulatory Physiology. 2018. V. 314. P. H146–H159. https://doi.org/10.1152/ajpheart.00400.2017
- Kezimana P., Dmitriev A.A., Kudryavtseva A.V. et al. Secoisolariciresinol diglucoside of flaxseed and its metabolites: Biosynthesis and potential for nutraceuticals // Front. in Genetics. 2018. V. 9. https://doi.org/10.3389/fgene.2018.00641
- Mali A.V., Padhye S.B., Anant S. et al. Anticancer and antimetastatic potential of enterolactone: Clinical, preclinical and mechanistic perspectives // Europ. J. Pharmacology. 2019. V. 852. P. 107–124. https://doi.org/10.1016/j.ejphar.2019.02.022
- Cullis C.A. Genetics and Genomics of Linum. Cham, Switzerland: Springer Int. Publ., 2019. 270 р.
- Muir A.D., Westcott N.D. Flax: The genus Linum. Boca Raton, FL, USA: CRC Press, 2003. 320 р.
- Locke A., Schneiderhan J., Zick S.M. Diets for health: goals and guidelines // Am, Family Physician. 2018. V. 97. P. 721–728.
- Tse T.J., Guo Y., Shim Y.Y. et al. Availability of bioactive flax lignan from foods and supplements // Crit. Rev. Food Sci. Nutr. 2023. V. 63. P. 9843–9858. https://doi.org/10.1080/10408398.2022.2072807
- Chhillar H., Chopra P., Ashfaq M.A. Lignans from linseed (Linum usitatissimum L.) and its allied species: Retrospect, introspect and prospect // Crit. Rev. Food Sci. Nutr. 2021. V. 61. P. 2719–2741. https://doi.org/10.1080/10408398.2020.1784840
- Johnsson P., Kamal-Eldin A., Lundgren L.N. et al. HPLC method for analysis of secoisolariciresinol diglucoside in flaxseeds // J. Agricultural and Food Chemistry. 2000. V. 48. P. 5216–5219. https://doi.org/10.1021/jf0005871
- Ezzat S.M., Shouman S.A., Elkhoely A. et al. Anticancer potentiality of lignan rich fraction of six flaxseed cultivars // Sci. Reports. 2018. V. 8. P. 544. https://doi.org/10.1038/s41598-017-18944-0
- Garros L., Drouet S., Corbin C. et al. Insight into the influence of cultivar type, cultivation year, and site on the lignans and related phenolic profiles, and the health-promoting antioxidant potential of flax (Linum usitatissimum L.) seeds // Molecules. 2018. V. 23. https://doi.org/10.3390/molecules23102636
- Diederichsen A., Fu Y.-B. Flax genetic diversity as the raw material for future success // Genus. 2008. V. 32. P. 33.
- Markulin L., Corbin C., Renouard S. et al. Pinoresinol-lariciresinol reductases, key to the lignan synthesis in plants // Planta. 2019. V. 249. P. 1695–1714. https://doi.org/10.1007/s00425-019-03137-y
- Hemmati S., von Heimendahl C.B., Klaes M. et al. Pinoresinol-lariciresinol reductases with opposite enantiospecificity determine the enantiomeric composition of lignans in the different organs of Linum usitatissimum L. // Planta Medica. 2010. V. 76. P. 928–934. https://doi.org/10.1055/s-0030-1250036
- Hano C., Martin I., Fliniaux O. et al. Pinoresinol-lariciresinol reductase gene expression and secoisolariciresinol diglucoside accumulation in developing flax (Linum usitatissimum) seeds // Planta. 2006. V. 224. P. 1291–1301. https://doi.org/10.1007/s00425-006-0308-y
- Von Heimendahl C.B., Schafer K.M., Eklund P. et al. Pinoresinol-lariciresinol reductases with different stereospecificity from Linum album and Linum usitatissimum // Phytochemistry. 2005. V. 66. P. 1254–1263. https://doi.org/10.1016/j.phytochem.2005.04.026
- Hemmati S., Schmidt T.J., Fuss E. (+)-Pinoresinol/(−)-lariciresinol reductase from Linum perenne Himmelszelt involved in the biosynthesis of justicidin B // FEBS Letters. 2007. V. 581. P. 603–610. https://doi.org/10.1016/j.febslet.2007.01.018
- Ghose K., Selvaraj K., McCallum J. et al. Identification and functional characterization of a flax UDP-glycosyltransferase glucosylating secoisolariciresinol (SECO) into secoisolariciresinol monoglucoside (SMG) and diglucoside (SDG) // BMC Plant Biology. 2014. V. 14. https://doi.org/10.1186/1471-2229-14-82
- Fofana B., Ghose K., McCallum J. et al. UGT74S1 is the key player in controlling secoisolariciresinol diglucoside (SDG) formation in flax // BMC Plant Biology. 2017. V. 17. P. 35. https://doi.org/10.1186/s12870-017-0982-x
- Wang L., Stegemann J.P. Extraction of high quality RNA from polysaccharide matrices using cetyltrimethylammonium bromide // Biomaterials. 2010. V. 31. P. 1612–1618. https://doi.org/10.1016/j.biomaterials.2009.11.024
- Bolger A.M., Lohse M., Usadel B. Trimmomatic: A flexible trimmer for Illumina sequence data // Bioinformatics. 2014. V. 30. P. 2114–2120. https://doi.org/10.1093/bioinformatics/btu170
- Krasnov G.S., Dmitriev A.A., Kudryavtseva A.V. et al. PPLine: An automated pipeline for SNP, SAP, and splice variant detection in the context of proteogenomics // J. of Proteome Res. 2015. V. 14. P. 3729–3737. https://doi.org/10.1021/acs.jproteome.5b00490
- Dmitriev A.A., Pushkova E.N., Novakovskiy R.O. et al. Genome sequencing of fiber flax cultivar Atlant using Oxford Nanopore and Illumina platforms // Front, Genetics. 2020. V. 11. https://doi.org/10.3389/fgene.2020.590282
- Dalisay D.S., Kim K.W., Lee C. et al. Dirigent protein-mediated lignan and cyanogenic glucoside formation in flax seed: Integrated omics and MALDI mass spectrometry imaging // J, Nat, Products. 2015. V. 78. P. 1231–1242. https://doi.org/10.1021/acs.jnatprod.5b00023
Дополнительные файлы



