Population and Genetic Structure of the Siberian Population According to Data on the Frequencies of Polymorphic Variants of Vitamin D Transport and Reception Genes
- Authors: Tkhorenko B.A.1, Meyer A.V.1, Vavin G.V.1, Imekina D.O.1, Ulyanova M.V.1, Luzina F.A.2, Lavryashina M.B.1
-
Affiliations:
- Kemerovo State Medical University of the Ministry of Health of the Russian Federation
- Research Institute for Complex Problems of Hygiene and Occupational Diseases
- Issue: Vol 60, No 12 (2024)
- Pages: 83–93
- Section: ГЕНЕТИКА ЧЕЛОВЕКА
- URL: https://journal-vniispk.ru/0016-6758/article/view/277601
- DOI: https://doi.org/10.31857/S0016675824120092
- EDN: https://elibrary.ru/vzzyto
- ID: 277601
Cite item
Full Text
Abstract
The gene pools of Siberian peoples are a potential source of data on the compositions of haplotypes of polymorphic gene variants formed during the evolution of populations under the influence of a specific set of natural and climatic factors, in conditions of relative geographical and cultural isolation, as well as traditional subsistence practices. In order to study genetic adaptation to insufficient supply of vitamin D (low level of insolation and availability of nutrients containing cholecalciferol and ergocalciferol) in samples of indigenous Turkic-speaking (Teleuts, Tomsk Tatars, Shors) and foreign East Slavic (Russians) population of Siberia, a study of the frequencies of polymorphic variants (14 SNPs) of genes responsible for transport of vitamin D – GC (Group-Specific Component), the structure of its main receptor – gene VDR (vitamin D receptor) and the RXR receptor (retinoid X receptor) in form of genes RXRA and RXRG was conducted. The total sample size was 411 people. The analysis of polymorphic variant frequencies demonstrated specific features of the gene pools of Siberian indigenous populations compared to the Russian population, global frequencies and frequencies characteristic of populations of Europe and East Asia. In pairwise comparison with the sample of Russians, statistically significant differences were found in terms of frequencies rs7041 (Shors), rs3847987 (Tomsk Tatars, Teleuts, Shors), rs9409929 (Tomsk Tatars, Teleuts), rs877954 (Tomsk Tatars), rs283696 (Teleuts). According to data of average genetic distances (d), the minimum distances were noted between Teleuts and Tomsk Tatars. The sample of Russians in general turned out to be the most distant in the genetic space of the studied peoples of Siberia. The study of haplotype frequencies of polymorphic variants of vitamin D transport and receptor genes demonstrated the accumulation of SNP in the indigenous gene pool associated, according to the literature, with a higher levels of serum vitamin D. According to the GC and VDR genes, the haplotypic profile of polymorphic variants was characterized by pronounced specificity and differed in composition from that of the Russian population. The study allows us to conclude that structure of gene pools of indigenous peoples of Siberia retains a distinctiveness that reflects the history of their composition and demonstrates the features of the genetic adaptation of indigenous populations to environmental conditions.
Keywords
Full Text
Витамин D в основной активной форме (кальциферол, эргокальциферол [1]) и в виде метаболитов (около 50 вариантов с различиями по функциональной активности и тканям-мишеням) – регулятор широкого спектра процессов (ремоделирование хроматина, клеточный рост и дифференцировка, фосфорно-кальциевый обмен, иммунный ответ и др.), действующий на геномном и негеномном уровнях [2–5]. Эффективность трансдукции витамина D детерминируется балансом взаимодействий эндогенных и экзогенных факторов, обусловливающих его метаболизм, транспорт и рецепцию [5, 6]. Природно-климатические условия, а также особенности питания, определяемые доступностью нутриентов, этнокультурными и религиозными традициями, формируют пул экзогенных факторов [7]. К эндогенным относятся особенности составов микробиомных сообществ желудочно-кишечного тракта [8–10]. Однако ведущую роль в этом ключе, несомненно, играют генные комплексы, сложившиеся в процессе приспособления индивидуальных геномов к среде обитания и закрепившиеся в генофондах популяций [11, 12].
Подавляющее большинство регионов России и Сибирь в их числе относятся к территориям, для населения которых характерен недостаток или даже дефицит витамина D [13, 14]. Это обусловлено коротким периодом инсоляции на достаточном уровне и низкой обеспеченностью нутриентами, содержащими холекальциферол (D3) и эргокальциферол (D2). В этом контексте значительный интерес представляют генофонды коренных сибирских народов. Их сложение до недавнего времени проходило под влиянием специфического комплекса природно-климатических факторов, в условиях относительной географической, культурной изоляции и особенностей питания. Ряд работ [15–19] демонстрирует специфику структуры генофондов коренных популяций, свидетельствующую о приспособлении к условиям окружающей природной среды. Прицельное изучение особенностей генофондов народов Сибири может послужить источником данных о вариантах аллелей, встречающихся в популяции с высокой частотой. Дальнейшие исследования in silico на клеточных моделях или иными способами – путь к прецизионной медицине и персонализированному нутрициологическому подходу [20, 21] для профилактики и коррекции алиментарных заболеваний.
В рамках сформулированной задачи в выборках коренного тюркоязычного (телеуты, томские татары, шорцы) и пришлого восточнославянского (русские) населения Сибири проведено исследование частот полиморфных вариантов генов, продукты которых отвечают за транспорт витамина D – ген GC (Group-Specific Component), а также за структуру его основного рецептора VDR (vitamin D receptor) – ген VDR и рецепторов-партнеров RXR (retinoid X receptor) – гены RXRA и RXRG.
МАТЕРИАЛЫ И МЕТОДЫ
Материалом для исследования послужили образцы ДНК населения Сибири – русских (n = 100) и коренных народов – телеутов (n = 98), томских татар (n = 100), шорцев (n = 113). Обследование коренных групп населения осуществлено в ходе экспедиций в места их компактного расселения в административных границах Кемеровской (Беловский, Междуреченский, Таштагольский районы) и Томской (Томский район) областей в период с 2010 по 2023 гг. Русские представлены жителями г. Кемерово и Кемеровской области. Суммарный объем выборки составил 411 человек.
Исследование проведено под контролем комитета по этике и доказательности медицинских научных исследований ФГБОУ ВО КемГМУ Минздрава России (протокол № 285 от 13.04.2022 г.). Биологические материалы получены в сопровождении генеалогических анкет, демографических данных и информированных согласий на участие в исследовании. Выборки сформированы с учетом пола и этнической принадлежности (по само- определению) согласно правилам, обоснованным в работе Е. В. Балановской и соавт. [22]. Потомков межнациональных браков из анализа исключали.
ДНК получали методом фенол-хлороформной экстракции. Генотипирование проводили с помощью ПЦР в режиме реального времени по панели 14 полиморфных вариантов генов, обеспечивающих транспорт (GC), связывание (VDR) и сигналинг (RXRA, RXRG) витамина D (табл. 1).
Таблица 1. Характеристика исследованных генов системы витамина D
Ген | Наименование продукта гена | Хромосомная локализация | Экзоны, n | SNP, тыс.* |
GC | GC vitamin D binding protein | 4q13.3 | 15 | 25.1 |
VDR | vitamin D receptor | 12q13.11 | 12 | 25.5 |
RXRA | retinoid X receptor alpha | 9q34.2 | 12 | 51.3 |
RXRG | retinoid X receptor gamma | 1q23.3 | 12 | 17.0 |
Примечание. * – по данным NCBI (http://www.ncbi.nlm.nih.gov/gene).
Выбор полиморфных вариантов генов, потенциально ассоциированных с уровнем сывороточного витамина D (25(OH)D) и витамина D в активной форме (1-25(OH)2D), осуществлен с учетом популяционной частоты минорного аллеля (MAF) (Ensembl, http://www.ensembl.org) и литературных данных о связи полиморфного варианта со статусом витамина D. Локализацию SNP в структуре гена указывали по данным NCBI, https://www.ncbi.nlm.nih.gov (в качестве референсной последовательности использованы данные MANE Project v1.3), аннотацию – с помощью Ensembl VEP, http://www.ensembl.org/info/docs/tools/vep/index.html.
Расчет аллельных, гаплотипических частот, показателей гетерозиготности и равновесия Харди – Вайнберга осуществляли при помощи программы Genepop 4.7 (https://genepop.curtin.edu.au/) и веб-инструмента SNPstat (https://www.snpstats.net/start.htm). Различия частот считали статистически значимыми при уровне p < 0.05. Для сравнения привлекали общемировые частоты исследованной панели SNP, а также частоты в популяциях Европы и Восточной Азии. Источником информации послужили ALFA dataset (https://ncbiinsights.ncbi.nlm.nih.gov/2020/03/26/alfa/) и 1000Genomes (https://www.internationalgenome.org/).
РЕЗУЛЬТАТЫ И ОБСУЖДЕНИЕ
Анализ соответствия частот полиморфных вариантов генов распределению Харди–Вайнберга выявил в исследованных выборках ряд отклонений от состояния равновесия. У русских Сибири в одном случае – в отношении rs3847987 в гене VDR. Что касается коренных сибирских народов, то спектр таких SNP оказался несколько шире: от двух – у шорцев до четырёх – у телеутов. Отметим, что исследование всех SNP проведено на единых выборках, с использованием единых методов, реактивов и аппаратуры. Проверка воспроизводимости генотипирования (10% образцов, а в случае rs7041 – тотально в выборках телеутов и томских татар) подтвердила результаты в 100% случаев. Анализ направленности отклонения показателей гетерозиготности выявил общую для всех популяций тенденцию к некоторому снижению уровня гетерозиготности, которое оказалось более выражено у телеутов (табл. 2).
Таблица 2. Усредненные показатели гетерозиготности в исследованных выборках по данным полиморфных вариантов генов GC, VDR, RXRA и RXRG
Национальность | Hо | Hе | D |
Русские | 0.407 | 0.413 | –0.017 |
Телеуты | 0.363 | 0.409 | –0.101 |
Томские татары | 0.363 | 0.396 | –0.090 |
Шорцы | 0.382 | 0.404 | –0.049 |
Примечание. Hо – наблюдаемая гетерозиготность, Hе – ожидаемая гетерозиготность, D – показатель отклонения гетерозиготности.
Известно, что общая численность этого народа на протяжении XIX–XXI вв. не превышала 2–2.5 тыс. человек [23, 24], а индекс эндогамии в местах компактного расселения в период с 1940-х по 2010-е гг. возрос с 58 до 89% [24]. Небольшая численность и высокая частота однонациональных браков – основа роста инбридинга и снижения гетерозиготности в популяции телеутов. Кроме того, ранее проведенные нами исследования [24, 25] позволяют предположить, что зафиксированная в настоящем исследовании динамика популяционной структуры телеутов – это результат дрейфа генов вследствие генетико-демографических процессов, связанных с переходом на суженный тип воспроизводства, со снижением фертильности и рождаемости, а также с усилением брачной ассортативности по этническому признаку. Их совокупный эффект в исследованной выборке, по всей видимости, превысил влияние межэтнического смешения, так как, несмотря на принципы формирования выборок, исключающие из исследования потомков от смешанных браков, нельзя не принимать в расчет возможности наличия таковых за пределами трех поколений.
Исследование частот полиморфных вариантов сформированной панели генов GC, VDR, RXRA и RXRG продемонстрировало своеобразие генофонда коренных популяций Сибири по сравнению с русским населением, а также с общемировыми частотами (TOT – Total) и частотами, характерными для популяций Европы (EUR – Europa) и Восточной Азии (EAS – East Asian) (табл. 3–5).
Сравнение частоты полиморфных вариантов гена GC в выборках коренных народов с русским населением Сибири выявило статистически значимые отличия (p < 0.05) в отношении частоты аллелей SNP rs7041 (шорцы). В целом в выборках шорцев и телеутов отмечена общая тенденция – меньшая распространенность аллелей, ассоциированных с пониженным по данным литературы (табл. 3) содержанием витамина D в сыворотке крови, в том числе из-за сниженного аффинитета продукта гена и следовательно способности к связыванию и транспорту данного витамина. В выборках томских татар и русских частоты аллелей гена GC, ассоциированные с потенциально худшим адаптационным потенциалом к условиям недостаточной обеспеченности витамином D, более распространены и несколько превышают среднемировые значения и показатели, характерные для популяций Европы и Восточной Азии (табл. 3).
Таблица 3. Характеристика исследованных полиморфных вариантов гена GC
SNР | Аннотация SNР* | Выборки | χ2х-в | Частота аллеля | χ2 |
rs7041 A> C экзон 12 | Сниженное содержание 25(OH)D в крови [26] | Русские | 0.40 | (C) 0.572 | |
Телеуты | 12.65 | 0.463 | 2.27 | ||
Татары | 20.35 | 0.635 | 0.80 | ||
Шорцы | 2.39 | 0.389 | 6.40 | ||
TOT/EUR/EAS | 0.537/0.566/0.264 | ||||
rs4588 G> T экзон 12 | Сниженное содержание 25(OH)D в крови [27] | Русские | 0.11 | (Т) 0.317 | |
Телеуты | 0.01 | 0.252 | 0.99 | ||
Татары | 0.09 | 0.328 | 0.03 | ||
Шорцы | 0.12 | 0.265 | 0.62 | ||
TOT/EUR/EAS | 0.270/0.281/0.288 | ||||
rs3755967 C> T интрон 13 | Сниженное содержание 25(OH)D в крови [28] | Русские | 0.02 | (Т) 0.317 | |
Телеуты | 3.99 | 0.251 | 0.25 | ||
Татары | 0.56 | 0.278 | 0.35 | ||
Шорцы | 0.08 | 0.244 | 1.24 | ||
TOT/EUR/EAS | 0.170/0.218/0.260 | ||||
Примечание. Для табл. 3–5: * – данные литературы, χ2х-в – критерий оценки соответствия частот распределению Харди–Вайнберга, χ2 – критерий для попарного сравнения частот. Полужирным шрифтом отмечены статистически значимые величины при сравнении коренных групп с выборкой русских; TOT – общемировые частоты, EUR – частоты популяций Европы, EAS – частоты популяций Восточной Азии.
В отношении генетических частот VDR значимые различия (p < 0.05) выявлены для rs3847987 при сравнении выборки русских с выборками коренных народов Сибири. По данному полиморфному варианту, как и по всем другим, проанализированным в исследовании SNP VDR, выборка русских характеризовалась более низкими частотами альтернативных аллелей, в том числе по сравнению со среднемировыми и среднеевропейскими показателями (табл. 4). Для коренного населения Сибири в целом выявлены частоты, близкие (rs7975232, rs2228570, rs7968585) и превышающие (rs3847987) общемировые, европейские и восточноазиатские.
Таблица 4. Характеристика исследованных полиморфных вариантов гена VDR
SNР | Аннотация SNР* | Выборки | χ2х-в | Частота аллеля | χ2 |
rs1544410 (BsmI) C> T интрон 9 | Сниженное содержание 25(OH)D в крови [29] | Русские | 0.25 | (Т) 0.315 | |
Телеуты | 4.36 | 0.274 | 0.37 | ||
Татары | 1.29 | 0.208 | 2.84 | ||
Шорцы | 0.19 | 0.295 | 0.08 | ||
TOT/EUR/EAS | 0.388/0.398/0.064 | ||||
rs731236 (TaqI) A> G экзон 10 | Сниженное одержание 25(OH)D в крови [30] | Русские | 0.26 | (G) 0.307 | |
Телеуты | 2.58 | 0.236 | 1.12 | ||
Татары | 4.49 | 0.234 | 1.26 | ||
Шорцы | 0.06 | 0.293 | 0.04 | ||
TOT/EUR/EAS | 0.384/0.398/0.067 | ||||
rs7975232 (ApaI) C> A интрон 9 | Сниженное содержание 25(OH)D в крови [31] | Русские | 0.89 | (A) 0.390 | |
Телеуты | 2.17 | 0.511 | 2.67 | ||
Татары | 1.96 | 0.437 | 0.43 | ||
Шорцы | 2.92 | 0.469 | 1.09 | ||
TOT/EUR/EAS | 0.554/0.537/0.290 | ||||
rs2228570 (FokI) A> G экзон 3 | Повышенное содержание 25(OH)D в крови [32] | Русские | 0.40 | (G) 0.572 | |
Телеуты | 3.39 | 0.623 | 0.49 | ||
Татары | 0.01 | 0.619 | 0.43 | ||
Шорцы | 0.21 | 0.543 | 0.15 | ||
TOT/EUR/EAS | 0.611/0.612/0.568 | ||||
rs3847987 C> A экзон 10 | Ассоциации с уровнем триглицеридов [33] | Русские | 6.80 | (A) 0.116 | |
Телеуты | 1.27 | 0.268 | 7.24 | ||
Татары | 2.99 | 0.258 | 6.39 | ||
Шорцы | 4.21 | 0.217 | 3.52 | ||
TOT/EUR/EAS | 0.124/0.125/0.216 | ||||
rs7968585 C> T экзон 3 | Сниженное содержание 25(OH)D в крови [34] | Русские | 1.86 | (T) 0.440 | |
Телеуты | 4.83 | 0.511 | 2.68 | ||
Татары | 2.14 | 0.573 | 0.43 | ||
Шорцы | 0.01 | 0.522 | 1.09 | ||
TOT/EUR/EAS | 0.520/0.519/0.275 | ||||
Таблица 5. Характеристика исследованных полиморфных вариантов генов RXR
SNР | Аннотация SNР* | Выборки | χ2х-в | Частота аллеля | χ2 |
RXRA rs9409929 G> A интрон 1 | Повышенный уровень 1,25(OH)2D в крови [35] | русские | 0.04 | (A) 0.430 | |
телеуты | 0.38 | 0.250 | 6.86 | ||
татары | 0.74 | 0.276 | 4.93 | ||
шорцы | 0.67 | 0.398 | 0.14 | ||
TOT/EUR/EAS | 0.340/0.353/0.217 | ||||
rs3132299 C> G интрон 2 | Ассоциации с уровнем витамина D в крови [5] | русские | 0.08 | (G) 0.842 | |
телеуты | 0.40 | 0.794 | 0.74 | ||
татары | 1.94 | 0.822 | 0.14 | ||
шорцы | 2.28 | 0.801 | 0.54 | ||
TOT/EUR/EAS | 0.843/0.825/0.806 | ||||
rs877954 A> G интрон 9 | Ассоциации с уровнем витамина D в крови [5] | русские | 0.36 | (G) 0.697 | |
телеуты | 1.77 | 0.578 | 2.93 | ||
татары | 0.29 | 0.526 | 5.88 | ||
шорцы | 0.03 | 0.734 | 0.32 | ||
TOT/EUR/EAS | 0.633/0.658/0.662 | ||||
RXRG rs2651860 A> C интрон 4 | Ассоциация с дислипидемией [36] | русские | 1.73 | (C) 0.182 | |
телеуты | 0.43 | 0.247 | 1.17 | ||
татары | 2.07 | 0.197 | 0.07 | ||
шорцы | 0.26 | 0.226 | 0.56 | ||
TOT/EUR/EAS | 0.149/0.205/0.101 | ||||
rs283696 T> C интрон 9 | Ассоциация с дислипидемией [36] | русские | 0.010 | (C) 0.752 | |
телеуты | 0.23 | 0.873 | 4.58 | ||
татары | 0.36 | 0.821 | 1.37 | ||
шорцы | 3.07 | 0.857 | 3.34 | ||
TOT/EUR/EAS | 0.872/0.796/0.927 | ||||
Исследованная панель полиморфных вариантов по генам ретиноидных рецепторов RXRA и RXRG оказалась более информативной (табл. 5). Статистически значимые различия получены при сравнении выборок коренных сибирских народов с русскими по rs9409929 и rs877954 гена RXRA, а также rs283696 гена RXRG. У телеутов чаще (p < 0.05) фиксировался аллель С rs283696. Данный аллельный вариант оказался более распространенным во всех исследованных выборках сибирских народов. У телеутов и томских татар продемонстрирована сниженная (p < 0.05) частота аллеля А rs9409929, для которого показан более высокий уровень содержания активной формы витамина D (1.25(OH)2D) в крови. У томских татар также реже выявлялся аллель G rs877954, в отношении которого также есть данные литературы[5] об ассоциации с уровнем витамина D в сыворотке крови.
По данным о частотах аллелей методом Nei была построена матрица генетических расстояний, проиллюстрированная дендрограммой (рис. 1).
Рис. 1. Положение генофондов исследованных народов в общем генетическом пространстве по данным панели 14 SNР генов системы витамина D (метод Уорда).
Ожидаемо наиболее дистанцированной в общем генетическом пространстве оказалась выборка русских – усредненное значение d, характеризующее удаленность русских от всех исследованных популяций, составило 0.028. Минимальные генетические расстояния получены между телеутами – томскими татарами (0.008), а также шорцами – телеутами (0.009). Полученные результаты отражают этногенез, географическую локализацию этнических популяций и межэтнические контакты сибирских народов. Так, по данным истории и этнографии, в сложении томских татар приняли участие выезжие телеуты, откочевавшие с князем Иркой Уделековым на новые территории. А интенсивные межэтнические связи шорцев и телеутов определены близостью расположения мест компактного расселения.
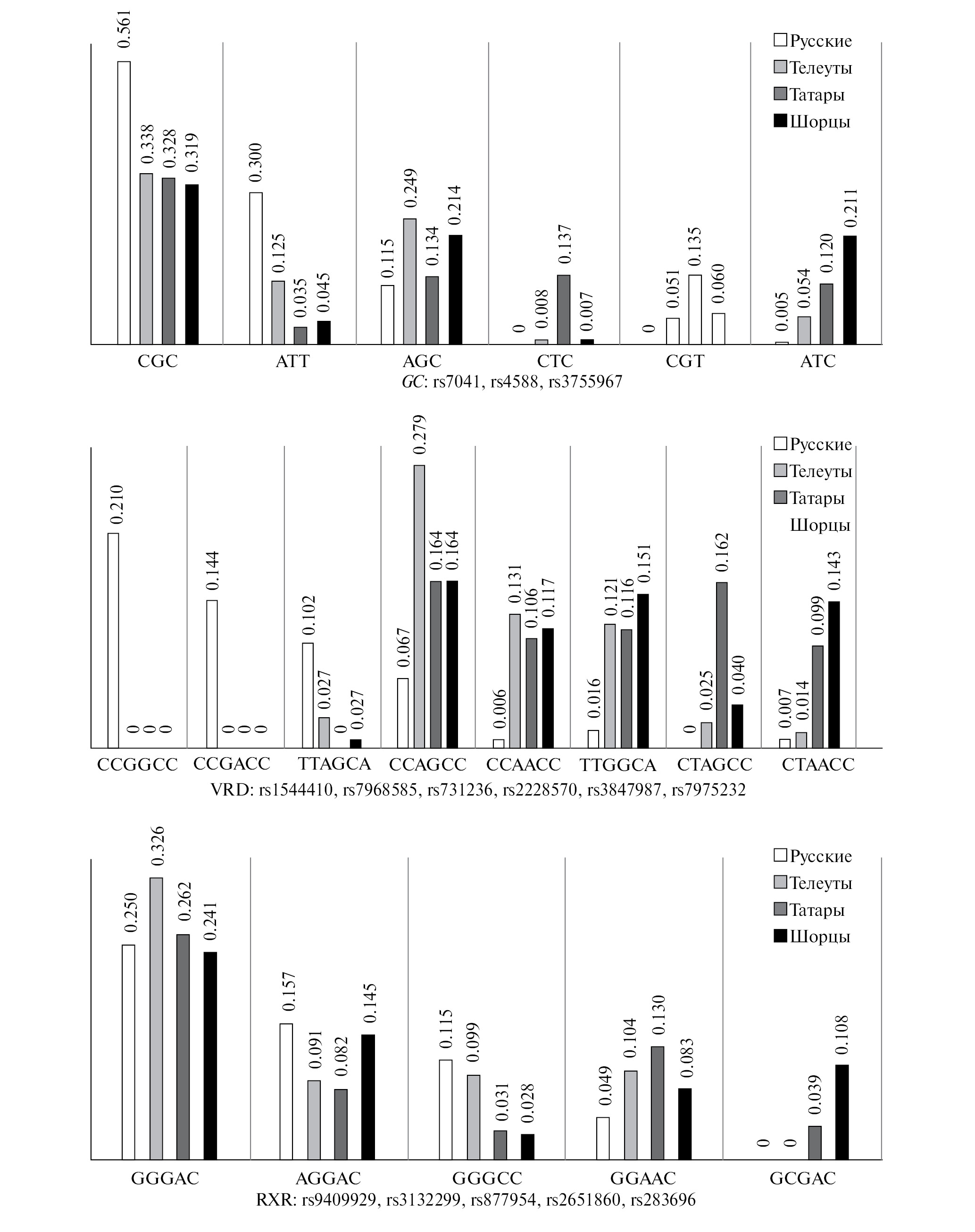
Для получения данных о потенциале популяций в контексте генетической адаптации к недостаточной обеспеченности витамином D был проведен анализ частот гаплотипов полиморфных вариантов генов. Частоты наиболее распространенных вариантов “Топ-3” показаны на столбчатых гистограммах (рис. 2).
Рис. 2. Частоты распространенных гаплотипов полиморфных вариантов исследованного комплекса генов в выборках коренных народов и русских Сибири.
Значительный интерес в этом ключе представляет продукт гена GC – DBP (vitamin D binding protein, витамин D-связывающий белок), который несет уникальный сайт связывания для всех метаболитов витамина D. Комплекс DBP–25(OH)D образует циркулирующий резервуар витамина, предотвращающий гиповитаминоз D, когда поступление нового витамина D недостаточно. Таким образом, DBP регулирует биодоступность всех метаболитов витамина D для тканей и клеток организма.
Ген GC содержит несколько функциональных полиморфных вариантов С доказанным по данным литературы [26, 27] влиянием D в сыворотке крови. Наиболее важными и изученными являются два – rs7041 и rs4588. Первый – rs7041 (c. 1296A > C) кодирует глутаминовую кислоту вместо аспарагиновой в положении 432 (p.Asp432Glu), второй – rs4588 (c.1307G> T) – лизин вместо треонина в положении 436 (p.Thr436Lys). Сочетание этих полиморфных вариантов приводит к трем основным и наиболее распространенным изоформам гена GC: GC1s (rs7041C–rs4588G, кодирующим 432Glu/436Thr); GC1f (rs7041A–rs4588G, кодирующим 432Asp/436Thr); GC2 (rs7041A–rs4588T, кодирующим 432Asp/436Lys). Эти три изоформы генерируют шесть различных фенотипов (GC1f-GC1f, GC1f-GC1s, GC1s-Gc1s, GC1f-GC2, GC1s-GC2 и GC2-GC2) и модулируют концентрацию циркулирующего DBP и следовательно биодоступность витамина D. Еще одним SNP стал интронный вариант rs3755967, для которого также установлена ассоциация со сниженным уровнем витамина D [28].
Анализ составов гаплотипов исследованных полиморфных вариантов гена GC свидетельствует о генетической адаптации популяций коренных сибирских народов к условиям недостаточной обеспеченности витамином D. В их генофондах отмечено накопление вариантов гена, кодирующего белок с лучшей способностью к связыванию и удержанию данного витамина. Отметим, что во всех проанализированных выборках самым распространенным оказался GC1s в составе гаплотипа СGC, однако в выборке русских вторым по частоте был гаплотип АТТ (GC2 и минорный вариант – аллель Т по rs3755967). Для белка фенотипа GC2-2 установлена сниженная аффинность к 25(OH)D. В группах коренных народов Сибири частота такого варианта ниже (в 2–10 раз), а гаплотип AGC, включающий три исходных “предковых” варианта гена, напротив, занимает в “Топ-3” вторую или третью позицию.
В отношении гена VDR у русских и коренных народов Сибири выявлен совершенно разный гаплотипический профиль. Продукт гена VDR – рецептор витамина D – экспрессируется в различных клетках и тканях с максимальным уровнем в тонкой, двенадцатиперстной и толстой кишке, почках и коже. В клетке он концентрируется в ядре, цитозоле и на цитоплазматической мембране, реализуя регуляцию на геномном и негеномном уровнях. Белок VDR специфически связывает активную форму витамина D (1.25(OH)2D) и опосредует ее действие – активирует экспрессию широкого спектра генов-мишеней с элементом VDRE в промоторе, в том числе генов иммунного ответа и генов, поддерживающих клеточные процессы роста и дифференцировки.
Распространенные в выборке русских гаплотипы гена VDR – ССGGCC, CCGACC и TTAGCA – в исследованных нами выборках коренных народов не зарегистрированы или крайне редки. В составе первых двух гаплотипов содержится аллель G rs7968585, ассоциированный по данным литературы со сниженным уровнем витамина D (25(OH)D), и/или G rs2228570 (повышенное содержание 25(OH)D в сыворотке крови). Для третьего гаплотипа можно предположить негативный эффект – три полиморфных варианта потенциально ассоциированы со сниженным содержанием сывороточного витамина D (25(OH)D). В генофондах сибирских татар, телеутов и шорцев самым частым оказался гаплотип CCAGCC, включающий варианты “нормы” по исследованному комплексу SNP и один минорный вариант – rs2228570, кодирующий укороченную форму рецептора FokI VDRА. Отметим, что существуют три изоформы рецептора витамина D, различающиеся по длине: VDRA (427 а.о.), VDRB1 (477 а.о.) и FokI VDRА (424 а.о.). Для последней – укороченной – формы, детерминируемой на генетическом уровне SNP rs2228570, характерен высокий уровень трансляции, что предполагает повышенную чувствительность тканей и клеток-мишеней к лиганду – витамину D – в условиях его недостаточного поступления.
Что касается сочетаний исследованных полиморфных вариантов генов RXRA и RXRG, то их распределение в исследованных выборках населения Сибири оказалось более однородным, несмотря на выявленные статистически значимые различия при попарном сравнении частот отдельных SNP. Вероятно, это связано с полифункциональностью ретиноидных рецепторов, которые способны образовывать гетеродимеры с широким спектром рецепторов-партнеров (VDR, PPAR, FXR, LXR, TR), модифицируя их сигналинг, обеспечивающий экспрессию генов и метаболизм веществ в клетке. Самым частым вариантом во всех выборках без исключения стал GGGAC. В составе этого комплекса присутствуют два потенциально “негативных” SNP, ассоциированных со сниженным уровнем витамина D – rs3132299, rs877954, и два варианта “нормы” по риску дислипидемий – rs2651860, rs283696. В выборке шорцев вторым по распространенности стал гаплотип AGGAC, содержащий полиморфный вариант rs9409929 (аллель А, по некоторым данным, ассоциирован с повышенным уровнем сывороточного витамина D).
Исследование структуры генофондов коренного и пришлого населения Сибири по данным 14 полиморфных вариантов генов системы витамина D позволяет сделать заключение о том, что структура генофондов коренных народов Сибири сохраняет своеобразие, отражающее историю сложения и демонстрирующее черты генетической адаптации коренных популяций к условиям среды обитания.
Данное исследование выполнено за счет средств гранта Российского научного фонда № 22-25-20209, https://rscf.ru/project/22-25-20209 и Министерства науки и высшего образования Кузбасса.
Все процедуры, выполненные в исследовании с участием людей, соответствуют этическим стандартам институционального и/или национального комитета по исследовательской этике и Хельсинкской декларации 1964 г. и ее последующим изменениям или сопоставимым нормам этики.
От каждого из включенных в исследование участников было получено информированное добровольное согласие. Все обследованные – совершеннолетние.
Авторы заявляют, что у них нет конфликта интересов.
About the authors
B. A. Tkhorenko
Kemerovo State Medical University of the Ministry of Health of the Russian Federation
Author for correspondence.
Email: tba2008@mail.ru
Russian Federation, Kemerovo, 650056
A. V. Meyer
Kemerovo State Medical University of the Ministry of Health of the Russian Federation
Email: tba2008@mail.ru
Russian Federation, Kemerovo, 650056
G. V. Vavin
Kemerovo State Medical University of the Ministry of Health of the Russian Federation
Email: tba2008@mail.ru
Russian Federation, Kemerovo, 650056
D. O. Imekina
Kemerovo State Medical University of the Ministry of Health of the Russian Federation
Email: tba2008@mail.ru
Russian Federation, Kemerovo, 650056
M. V. Ulyanova
Kemerovo State Medical University of the Ministry of Health of the Russian Federation
Email: tba2008@mail.ru
Russian Federation, Kemerovo, 650056
F. A. Luzina
Research Institute for Complex Problems of Hygiene and Occupational Diseases
Email: tba2008@mail.ru
Russian Federation, Novokuznetsk, 654041
M. B. Lavryashina
Kemerovo State Medical University of the Ministry of Health of the Russian Federation
Email: tba2008@mail.ru
Russian Federation, Kemerovo, 650056
References
- IUPAC-IUB joint commission on biochemical nomenclature (jcbn). Nomenclature of vitamin D. Recommendations 1981 // Mol. Cell. Biochem. 1982. V. 49. № 3. P. 177–181. doi: 10.1007/BF00231180
- Громова О.А., Торшин И.Ю., Гилельс А.В. и др. Метаболиты витамина D: роль в диагностике и терапии витамин-D-зависимых патологий // Фармакокинетика и фармакодинамика. 2016. № 4. С. 9–18.
- Бочкарникова А.Г., Тришкин А.Г., Пустотина О.А., Мозес В. “D-статус” пациенток с репродуктивными нарушениями // Фундаментальная и клиническая медицина. 2018. Т. 3. № 3. С. 6–11.
- Christakos S., Dhawan P., Verstuyf A. et al. Vitamin D: Metabolism, molecular mechanism of action, and pleiotropic effects // Physiol. Rev. 2016. V. 96. № 1. P. 365–408. doi: 10.1152/physrev.00014.2015
- Voltan G., Cannito M., Ferrarese M. et al. Vitamin D: An overview of gene regulation, ranging from metabolism to genomic effects // Genes (Basel). 2023. V. 14. № 9. doi: 10.3390/genes14091691
- Водолазкая А.Н., Орлова С.В., Батышева Т.Т. и др. Факторы, влияющие на биодоступность витамина D // Мед. алфавит. 2023. № 29. С. 55–60. doi: 10.33667/2078-5631-2023-29-55-60
- Козлов А.И., Вершубская Г.Г. 25-гидроксивитамин D в различных группах населения Севера России // Физиология человека. 2019. Т. 45. № 5. С. 125–136. doi: 10.1134/S0131164619050060
- Luthold R.V., Fernandes G.R., Franco-de-Moraes A.C. et al. Gut microbiota interactions with the immunomodulatory role of vitamin D in normal individuals // Metabolism. 2017. № 69. P. 76–86. doi: 10.1016/j.metabol.2017.01.007
- Bakke D., Sun J. Ancient nuclear receptor VDR with new functions: microbiome and inflammation // Inflamm. Bowel. Dis. 2018. V. 24. № 6. P. 1149–1154. doi: 10.1093/ibd/izy092
- Boughanem H., Ruiz-Limón P., Pilo J. et al. Linking serum vitamin D levels with gut microbiota after 1-year lifestyle intervention with mediterranean diet in patients with obesity and metabolic syndrome: A nested cross-sectional and prospective study // Gut Microbes. 2023. V. 15. № 2. doi: 10.1080/19490976.2023.2249150
- Козлов А.И., Вершубская Г.Г., Лавряшина М.Б., Остроухова И.О. Отражение особенностей традиционного питания в генофондах народов с лесо-таёжным типом природопользования // Вестник МГУ. Серия 23: Антропология. 2020. № 3. С. 46–56. doi: 10.32521/2074-8132.2020.3.046-056
- Manousaki D., Mitchell R., Dudding T. et al. Genome-wide association study for vitamin D levels reveals 69 independent loci // Am. J. Hum. Genet. 2020. V. 106. № 3. P. 327–337. doi: 10.1016/j.ajhg.2020.01.017
- Вильмс Е.А., Добровольская Е.В., Турчанинов Д.В. и др. Обеспеченность взрослого населения Западной Сибири витамином D: данные популяционного исследования // Вопросы питания. 2019. Т. 88. № 4. С. 75–82. doi: 10.24411/0042-8833-2019-10044
- Петрушкина А.А., Пигарова Е.А., Рожинская Л.Я. Эпидемиология дефицита витамина D в Российской Федерации // Остеопороз и остеопатии. 2018. Т. 21. № 3. С. 15–20. doi: 10.14341/osteo10038
- Малярчук Б.А. Полиморфизм гена рецептора витамина D у коренного населения Сибири // Вестник Северо-Восточного науч. центра ДВО РАН. 2020. № 3. С. 120–127. doi: 10.34078/1814-0998-2020-3-120-127
- Малярчук Б.А., Деренко М.В., Денисова Г.А. Адаптивные изменения генов десатурации жирных кислот у коренного населения Северо-Востока Сибири // Генетика. 2021. Т. 57. № 12. С. 1458–1464. (Malyarchuk B.A., Derenko M.V., Denisova G.A. Adaptive changes in fatty acid desaturation genes in indigenous populations of Northeast Siberia // Rus. J. Genetics. 2021. V. 57. № 12. P. 1461–1466.) doi: 10.31857/S0016675821120109
- Козлов А.И., Пылев В.Ю., Вершубская Г.Г., Балановская Е.В. Клинальная изменчивость генетических детерминант трегалазной недостаточности в популяциях Южной Сибири, Казахстана, Центральной Азии и Монголии // Вестник МГУ. Серия 23: Антропология. 2023. № 3. С. 63–71. doi: 10.32521/2074-8132.2023.3.063-071
- Малярчук Б.А., Деренко М.В. Оценка роли отбора в эволюции митохондриальных геномов коренного населения Сибири // Вавил. журнал генетики и селекции. 2023. Т. 27. № 3. С. 218–223. doi: 10.18699/VJGB-23-28
- Козлов А.И., Малярчук Б.А., Лавряшина М.Б., Вершубская Г.Г. Нарушения усвоения сахарозы подтверждают своеобразие генетической истории эскимосов // Вестник МГУ. Серия 23: Антропология. 2023. № 2. С. 82–91. doi: 10.32521/2074-8132.2023.2.082-091
- Доскина Е.В. Роль различных форм витамина D в лечении пациентов с дефицитом витамина D (клинический случай) // Эндокринология. Новости. Мнения. Обучение. 2021. Т. 10. № 2(35). С. 123–129. doi: 10.33029/2304-9529-2021-10-2-123-129
- Carlberg C., Raczyk M., Zawrotna N. Vitamin D: A master example of nutrigenomics // Redox. Biol. 2023. V. 62. P. 102695. doi: 10.1016/j.redox.2023.102695
- Балановская Е.В., Жабагин М.К., Агджоян А.Т. и др. Популяционные биобанки: принципы организации и перспективы применения в геногеографии и персонализированной медицине // Генетика. 2016. Т. 52. № 12. С. 1371–1387. (Balanovska E.V., Zhabagin M.K. Agdzhoyan A.T. et al. Population biobanks: organizational models and prospects of application in gene geography and personalized medicine // Rus. J. Genetics. 2016. V. 52. № 12. P. 1227–1243.) doi: 10.7868/S001667581612002X
- Функ Д.А. Бачатские телеуты в XVIII – первой четверти XX века: историко-этнографическое исследование. М.: Ин-т этнологии и антропологии им. Н.Н. Миклухо-Маклая РАН, 1993. 325 с.
- Лавряшина М.Б., Ульянова М.В., Поддубиков В.В. и др. Мониторинг сельских популяций шорцев и телеутов: воспроизводство, среда, гены // Генетика человека и патология: Сб. научных трудов. 2017. №. 11. С. 49–51.
- Лузина Ф.А., Колбаско А.В., Лотош О.Е. Демографическая структура и её динамика у телеутов // Бюл. СО РАМН. 2006. № 3. С. 60–63.
- Hibler E.A., Hu C., Jurutka P.W. et al. Polymorphic variation in the GC and CASR genes and associations with vitamin D metabolite concentration and metachronous colorectal neoplasia // Cancer Epidemiol. Biomarkers Prev. 2012. V. 21. № 2. P. 368–375. doi: 10.1158/1055-9965.EPI-11-0916
- Abbas S., Linseisen J., Slanger T. et al. The GC2 allele of the vitamin D binding protein is associated with a decreased postmenopausal breast cancer risk, independent of the vitamin D status // Cancer Epidemiol. Biomarkers Prev. 2008. V. 17. № 6. P. 1339–1343. doi: 10.1158/1055-9965.EPI-08-0162
- Gibbs D.C., Fedirko V., Um C. et al. Associations of circulating 25-hydroxyvitamin D3 concentrations with incident, sporadic colorectal adenoma risk according to common vitamin D-binding protein isoforms // Am. J. Epidemiol. 2018. V. 187. № 9. P. 1923–1930. doi: 10.1093/aje/kwy102
- Ashok N., Saraswathy R. Association of polymorphisms of vitamin D gene in children with asthma and allergic rhinitis – Hospital based study // Heliyon. 2023. V. 10. № 1. doi: 10.1016/j.heliyon. 2023.e23673
- Ferraz R.S., Silva C.S., Cavalcante G.C. et al. Variants in the VDR gene may influence 25(OH)D levels in type 1 diabetes mellitus in a brazilian population // Nutrients. 2022. V. 14. № 5. doi: 10.3390/nu14051010
- Zhao X.Q., Wan H.Y., He S.Y. et al. Vitamin D receptor genetic polymorphisms associate with a decreased susceptibility to extremity osteomyelitis partly by inhibiting macrophage apoptosis through inhibition of excessive ROS production via VDR-Bmi1 signaling // Front. Physiol. 2022. № 13. doi: 10.3389/fphys.2022.808272
- Jia J., Tang Y., Shen C. et al. Vitamin D receptor polymorphism rs2228570 is significantly associated with risk of dyslipidemia and serum LDL levels in Chinese Han population // Lipids Health Dis. 2018. V. 17. № 1. P. 193. doi: 10.1186/s12944-018-0819-0
- Zhang D., Cheng C., Wang Y. et al. The influence of VDR polymorphisms on the type 2 diabetes susceptibility in Chinese: An interaction with hypertriglyceridemia // Mol. Genet. Genomics. 2021. V. 296. № 4. P. 837–844. doi: 10.1007/s00438-021-01784-z
- Levin G.P., Robinson-Cohen C., de Boer I.H. et al. Genetic variants and associations of 25-hydroxyvitamin D concentrations with major clinical outcomes // Jama. 2012. V. 308. № 18. P. 1898–1905. doi: 10.1001/jama.2012.17304
- Hibler E.A., Jurutka P.W., Egan J.B. et al. Association between polymorphic variation in VDR and RXRA and circulating levels of vitamin D metabolites // The J. Steroid Biochemistry and Mol. Biology. 2010. V. 121. № 1–2. P. 438–441. doi: 10.1016/j.jsbmb.2010.03.05
- Sentinelli F., Minicocci I., Montali A. et al. Association of RXR-gamma gene variants with familial combined hyperlipidemia: genotype and haplotype analysis // J. Lipids. 2013. № 2013. doi: 10.1155/2013/51794
Supplementary files




