Mechanisms of modulating action of thymoquinone (component of black cumin, Nigella sativa), affecting the activity of some nuclear and mitochondrial genes in mice tissue after exposure to X-Ray radiation
- Authors: Abdullaev S.A.1,2, Fomina D.V.1, Raeva N.F.1, Popov M.A.3, Maksimova T.N.4, Zasukhina G.D.1,5
-
Affiliations:
- Burnazyan Federal Medical Biophysical Center of Russia
- Institute of Theoretical and Experimental Biophysics, Russian Academy of Sciences
- Vladimirsky Moscow Regional Research Clinical Institute
- Sechenov First Moscow State Medical University
- Vavilov Institute of General Genetics, Russian Academy of Sciences
- Issue: Vol 61, No 1 (2025)
- Pages: 38-44
- Section: ОБЩАЯ ГЕНЕТИКА
- URL: https://journal-vniispk.ru/0016-6758/article/view/285508
- DOI: https://doi.org/10.31857/S0016675825010033
- EDN: https://elibrary.ru/VFHEAX
- ID: 285508
Cite item
Full Text
Abstract
The paper discusses a promising herbal preparation – thymoquinone, a component of black cumin (Nigella sativa), studied in experimental animals (mice, rats) in many pathologies, characterized by a positive effect and lack of toxic effect. The drug has been studied in a wide range of doses for injection and oral administration. Thymoquinone has antimicrobial, antiviral, anti-inflammatory, and radioprotective properties. The main damaging component of ionizing radiation is oxidative stress. For this reason, radioprotectors have recently been evaluated based on the drug’s ability to reduce oxidative stress. As markers of oxidative stress, we used parameters of changes in the expression of nuclear and mitochondrial DNA genes that perform essential functions in the cell. C57Bl/6 mice were administered thymoquinone (10 mg/kg) after 30 min. irradiation was performed (6 Gy). After 6 and 24 hours, gene expression in brain and spleen cells was studied using real-time PCR. It was shown that the activity of nuclear genes increased after exposure to radiation, but was normalized if thymoquinone was administered to mice 30 minutes before irradiation. Mitochondrial genes were also modified to target the activity of control cells. The test results show that thymoquinone has protective properties and may be promising as a radioprotector.
Full Text
Необходимость изучения радиационного воздействия на человека связана с широким спектром его применения в медицине с диагностическими или лечебными целями, при контакте с различными дозами радиации в производственных условиях [1]. Предполагается увеличение продолжительности и длительности космических полетов, что может сопровождаться усилением воздействия радиоактивного фона, поэтому необходимы дополнительные профилактические меры для сохранения здоровья космонавтов. Например, некоторые растительные препараты, обладающие широким спектром защитных эффектов, в том числе радиопротекторными свойствами, могут быть использованы в профилактических целях [2].
Особое внимание уделяется влиянию радиотерапии как одному из методов лечения онкозаболеваний, поскольку побочные эффекты действия радиации в ряде случаев могут превышать положительные результаты лечения. Это связано с оксидативным стрессом, сопровождающим действие радиации, так как воздействие свободных радикалов играет немалую роль в патогенезе некоторых заболеваний и, как следствие, ведет к нарушению баланса между оксидативными и антиоксидантными параметрами. Так, оксидативный стресс может быть причиной развития радиационно-индуцированной пневмонии, которая может развиться даже через 6 мес. после радиотерапии рака легких. Радиопротекторы с антиоксидантными свойствами могут предохранять клеточные мембраны и ДНК организма от побочных эффектов проведения радиотерапии [3]. Осложнениями при радиотерапии рака простаты могут быть циститы, ректиты, а при раке груди – фиброзы, что также диктует необходимость применения защиты окружающих опухоли тканей. Одним из путей защиты нормальных тканей при применении радиотерапии может служить использование малых доз радиации, которые стабилизируют нормальные клетки, делая их более устойчивыми к высоким дозам радиации [4].
В последние годы в качестве радиопротекторов или соединений, ослабляющих токсическое действие излучения при радиотерапии, стали использовать натуральные продукты: растения и их компоненты [5]. Все больше исследований посвящено изучению профилактических и лечебных свойств тимохинона (ТХ) – компонента Nigella sativa, не обладающего токсическими свойствами и положительно влияющего на различные эндогенные и экзогенные патологии человека [6]. Черный тмин и его активный компонент – ТХ – проявляют различные фармакологические активности в отношении многих заболеваний (вирусных, бактериальных, а также при кардиопатологии и опухолеобразовании) благодаря антиоксидантным свойствам. Защита клеток от оксидативного стресса и воспаления регулируется через Nrt2- и NFkB-пути. Этот препарат характеризуется нейро-, нефро-, гастро- и антиканцерогенными эффектами [7]. ТХ ингибирует пролиферацию опухолевых клеток, что связано с повышением активности фосфатазы и гомолога тензина, что в конечном итоге приводит к подавлению Р13K (AKT-путь). Известно, что остановка клеточного цикла при действии ТХ сопровождается влиянием на активность генов Р53, STAT3, а также на митохондриальный путь апоптоза. Некоторые авторы считают, что ТХ перспективен для профилактики и лечения ряда патологий [8]. ТХ обладает также радиопротекторными свойствами, так как способен снижать показатели оксидативного стресса в клетках головного мозга крыс, подвергшихся тотальному облучению. Это связано с повышением активности супероксиддисмутазы и перехватом свободных радикалов, образующихся при воздействии радиации. Такой механизм защищает клеточные мембраны, что способствует предохранению клеток головного мозга от радиационно-индуцированных повреждений [9]. ТХ способствовал активации антиоксидантных ферментов (глутатионпероксидазы, глутатион S-трансферазы, супероксиддисмутазы и др.) у крыс после краниального облучения. ТХ предотвращал повышение уровня малонового диальдегида, вызванного воздействием радиации [10]. Как известно, повреждающее действие ионизирующего излучения на опухолевые клетки сопровождается также влиянием и на нормальные клетки организма [11]. У крыс, которым за 30 мин до облучения всего тела (6 Гр) вводили ТХ в концентрации 10 мг/кг, исследовали клетки печени, околоушные железы, мозг, яички по критерию содержания малондиальдегида, который является маркером оксидативного стресса, а также глутатионпероксидазы. В облученных клетках с предварительно введенным ТХ отмечались снижение уровня малондиальдегида и активация антиоксидантных ферментов. У крыс, получавших масло Nigella sativa при облучении головы, восстанавливалась гистологическая структура околоушных желез, уменьшался фиброз вокруг протоков и снижался уровень TGF-β [12]. Авторы считают, что ТХ является идеальным протектором, защищающим нормальные клетки при облучении опухолей. Таким образом, показано, что ТХ снижает эффект радиации, защищая нормальные клетки от повреждающего действия и повышая иммунный статус организма.
Авторы настоящей статьи, изучая радиопротекторную активность ТХ, использовали показатели оксидативного стресса. Исследованы также показатели влияния ТХ на активность ряда генов, в том числе митохондриальных, которые были ранее охарактеризованы ими как чувствительные к действию радиации [4, 13, 14]. Митохондриальные гены более чувствительны к повреждающим факторам. Так, при воздействии на клетку радиацией или химическими мутагенами в митохондриальных генах возникает в 3–50 раз больше повреждений, чем в ядерных генах [15]. По этой причине была исследована активность ряда генов ядерной и митохондриальной ДНК (я- и мтДНК) после действия радиации и введения ТХ.
Материалы и методы
В исследовании использованы самцы мышей линии C57Bl/6 двухмесячного возраста и массой 22–25 г, полученных из питомника экспериментальных животных Филиала Института биоорганической химии РАН (Пущино, Московская обл.). В ходе эксперимента животные находились в стандартных условиях вивария ФГБУ ГНЦ ФМБЦ им. А. И. Бурназяна ФМБА России. Животных содержали в поликарбонатных клетках на установке ИВК (индивидуальная вентиляция клеток) с подачей стерильного воздуха (Фармбиолайн, Финляндия). Они были акклиматизированы в течение одной недели до начала экспериментов. Мышей кормили стандартным гранулированным кормом для лабораторных животных (ООО “Мест”, Москва) со свободным доступом к чистой питьевой воде. Они были размещены по пять особей в клетках при стандартном 12-часовом цикле свет/темнота при температуре 22 ± 2°С и при влажности 45 ± 5%.
Облучение животных проводили на рентгеновской биологической установке РУСТ-М1 при напряжении 200 кВ, токе на трубке 2.5 мА, фильтре алюминиевом 1.5 мм. Мощность дозы рентгеновского облучения – 1 Гр/мин. Мышей в пластиковых контейнерах (по 5 особей вместе) подвергали облучению в дозе 6 Гр.
Тимохинон (2-изопропил-5-метил-1,4-бензохинон) (Merck, Darmstadt, Германия) вводили животным внутрибрюшинно по 10 мг/кг массы тела. Вещество вводили за 30 мин до облучения.
Для изолирования тканей головного мозга и селезенки мышей умерщвляли путем обезглавливания через 6 и 24 ч после облучения. В качестве контроля использовали группы как необлученных, так и облученных мышей, не получавших ТХ. Головной мозг и селезенку изолировали и замораживали при –80°C до проведения анализов.
Общая РНК из тканей селезенки и головного мозга была извлечена с помощью набора для выделения РНК (ExtractRNA, “Евроген”, Россия) в соответствии с инструкциями производителя. Концентрацию РНК определяли с использованием спектрофотометра NanoVuePlus (GEHealthcareTM, США) и доводили до 400 нг/мкл. 2 мкг РНК подвергали обратной транскрипции в комплементарную ДНК (кДНК) с использованием обратной транскриптазы MMLV (“Евроген”) в соответствии с протоколом производителя в общем объеме реакции 20 мкл. ПЦР в реальном времени проводили на приборе ДТ-прайм (ДНК-технология, Россия) с использованием набора qPCRmix-HS SYBR LowROX (Евроген) в соответствии с протоколом производителя. Реакционная смесь содержала 4 мкл кДНК, разбавленной в 20 раз, и 250 нМ каждого праймера. Последовательности праймеров и условия ПЦР к ядерным генам были использованы из ранее опубликованной нами работы [16], последовательности праймеров к митохондриальным генам представлены в работе [17]. Анализ кривых плавления был выполнен для всех генов, и специфичность, а также целостность продуктов ПЦР были подтверждены присутствием одного пика. Для анализа использовали метод 2–ΔΔCT. ПЦР-тесты проводили в трех экземплярах для каждого образца. Уровни транскрипции генов-мишеней были нормализованы по уровню эталонного гена GAPDH. Нормализованные значения экспрессии генов анализировали с использованием программного обеспечения Prism GraphPad 7.0. Экспрессия гена у контрольных (интактных) мышей была принята за 100%. Статистическую обработку результатов осуществляли с помощью программы STATISTICA7.0. Для оценки значимости различий применяли непараметрический критерий Манна–Уитни. Различия считали значимыми при уровне показателя р < 0.05.
Результаты
Исследована экспрессия ряда ядерных и митохондриальных генов ДНК в тканях селезенки и головного мозга мышей, которым до облучения (6 Гр) вводили ТХ в дозе 10 мг/кг.
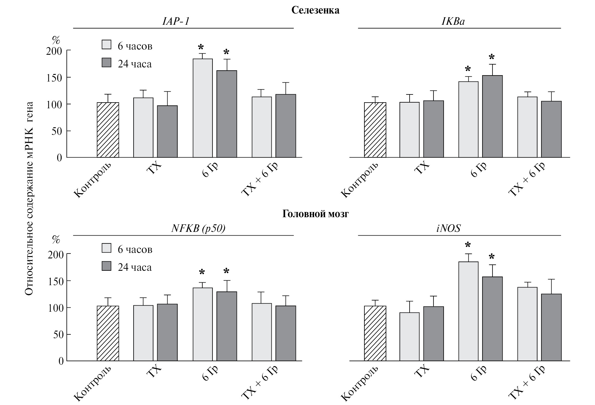
На рис. 1 видно, что в ткани селезенки после облучения мышей отмечалось статистически значимое повышение экспрессии онкогенов IAP-1 и IKBa по сравнению с животными, которым вводили только ТХ без облучения. В тканях головного мозга облученных мышей наблюдали повышение экспрессии гена NFKB (p50), контролирующего процессы пролиферации клеток и воспаления, и онкогена iNOS по сравнению с контрольными животными. Из данных рис. 1 видно, что введение ТХ мышам приводило к снижению экспрессии этих генов как в тканях селезенки, так и головного мозга мышей через 24 ч после облучения. Эти данные могут свидетельствовать о протекторном действии ТХ на исследованные ядерные гены по показателю модификации их активности.
Рис. 1. Влияние ТХ на экспрессию онкогенов (IAP-1, IKBa, NFKB (p50), iNOS) в тканях селезенки и головного мозга мышей через 6 и 24 ч после воздействия рентгеновского излучения в дозе 6 Гр. Уровень экспрессии генов у необлученных (контроль) мышей принят за 100%. Данные представлены как среднее ± SEM из 5-6 независимых экспериментов. Отличия от контроля статистически значимы при p < 0.05 (*).
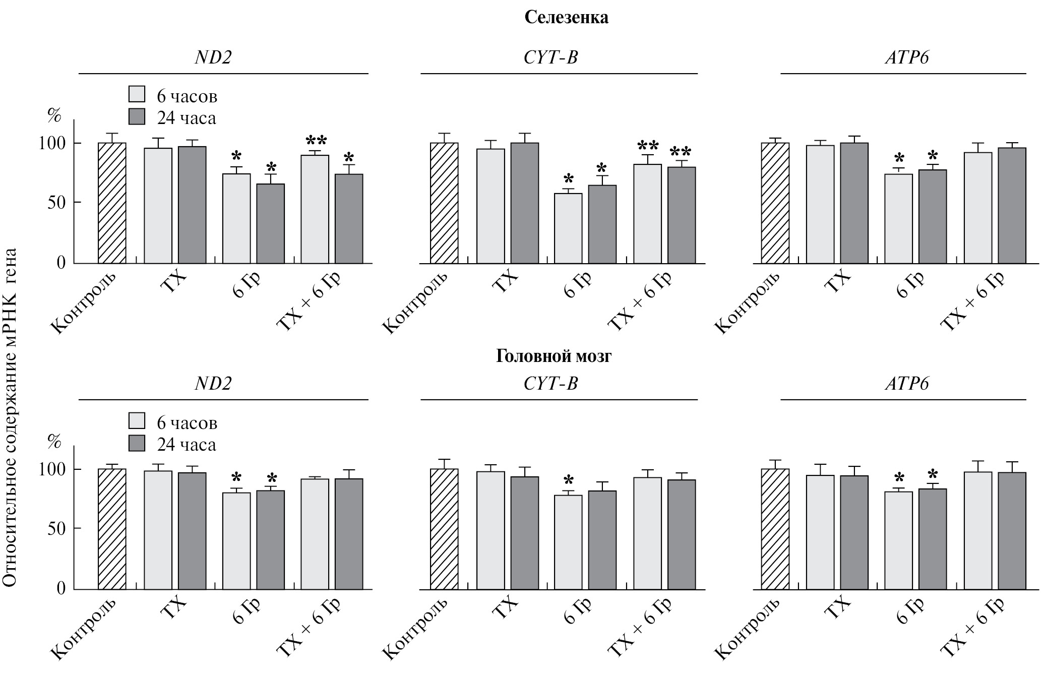
На рис. 2 представлены результаты влияния ТХ на экспрессию генов мтДНК, участвующих в окислительном фосфорилировании и энергетическом балансе в тканях селезенки и головного мозга облученных мышей. Эти результаты показывают, что через 6 и 24 ч после облучения происходит снижение активности всех исследованных генов: вторая субъединица NADH-дегидрогеназы – компонент комплекса 1, ген цитохрома b (CYT-B) – компонент комплекса III, шестая субъединица АТФ-синтазы – компонент комплекса 5. Снижение экспрессии этих генов регистрировали в тканях селезенки и головного мозга. Более выраженное снижение активности этих генов в пострадиационный период наблюдали в ткани селезенки по сравнению с показателями в ткани головного мозга. Однако у облученных животных, которым вводили ТХ, наблюдали повышение активности генов в обеих исследованных тканях, что также подтверждает способность ТХ к защите не только ядерной, но и митохондриальной ДНК.
Рис. 2. Влияние ТХ на экспрессию генов мтДНК, участвующих в окислительном фосфорилировании (ND2, CYT-B, ATP6) в тканях селезенки и головного мозга мышей, через 6 и 24 ч после воздействия рентгеновского излучения в дозе 6 Гр. Уровень экспрессии генов у необлученных (контроль) мышей принят за 100%. Данные представлены как среднее ± SEM из 5-6 независимых экспериментов. Отличия от контроля статистически значимы при p < 0.05 (*), p < 0.01 (**).
Обсуждение
Одним из эффективных и распространенных методов лечения онкозаболеваний является радиотерапия. Однако радиация влияет не только на опухолевые клетки, но и на нормальные за счет повышения уровня свободных радикалов. Ранее было показано, что такие изменения могут быть причиной повреждения легочной ткани и приводят к развитию через 6 мес. радиационно-индуцированной пневмонии, часто фатальной. На крысах при облучении (5 Гр) легких и введении ТХ за 30 мин до облучения (50 мг/кг) и в течение десяти дней после облучения было показано снижение всех показателей оксидативного стресса [3]. ТХ не обладает токсическими свойствами, но разнообразие его активности связано с концентрацией соединения и методом введения (внутривенное, внутримышечное или пероральное). Протекторный эффект ТХ перитонеально при исследовании на печени мышей был эффективен при дозах 4, 8, 12, 5, 25 и 50 мг/кг, однако увеличение дозы до 90.3 мг/кг могло привести к гибели животных. Субхроническое применение ТХ не сопровождалось какими-либо признаками токсичности с питьем для мышей в течение 90 дней [6]. Авторы доказывают, что использование ТХ до радиотерапии предохраняло крыс от побочных эффектов. Так, было показано, что у 80% животных при радиотерапии головного мозга развивалась катаракта, однако ее развитие снижалось при использовании ТХ до или после облучения. Таким образом, авторы также полагают, что ТХ обладает протекторным эффектом. Измерение радиопротекторного эффекта рядом авторов осуществляется показателями индуцированного оксидативного стресса, который вызывает дисбаланс между повреждающим воздействием и защитными механизмами клетки. Защита клетки сопряжена с активностью генов и их регуляторов (некодирующих РНК). Активация онкогенов после воздействия радиации и снижение их экспрессии при действии протекторов могут, несомненно, служить маркером эффективности препарата. Авторами настоящей статьи было показано, что онкогены яДНК после воздействия радиации активировались, тогда как в опытах с радиацией и ТХ наблюдалось снижение их экспрессии. Гены мтДНК также модифицировались после радиационного воздействия и активировались в опытах с ТХ. Следует подчеркнуть, что в последнее время мтДНК стала исследоваться наиболее интенсивно, так как ее связь с яДНК оказалась сопряженной и оказывающей влияние на ее активность. Так, ген Р53, контролирующий клеточный гомеостаз и ряд других функций, при болезнях сердечно-сосудистой системы связан с митохондриальной дисфункцией и оказывает влияние на энергетический метаболизм, оксидативный стресс, митохондриальный апоптоз и аутофагию [18].
Обсуждая действие ТХ, нельзя не остановиться на особенностях его влияния на опухолевые клетки. Ряд авторов считают, что ТХ способен ингибировать пролиферацию и индуцировать апоптоз. При этом задействуются некоторые эпигенетические механизмы, включая убиквитин-подобный растительный гомеодомэн (PHD), ген RING fingerdomains (UHRF1), ДНК-метилтрансферазу 1 и гистондиацетилазу (HDAC1). ТХ обладает способностью связываться с UHRF1 и HDAC1. Следует отметить, что ТХ формирует стабильную связь с цинком, находящимся в активном центре белка HDAC1. Эти данные были получены на клеточных линиях MCF-7, HELA, Jurkat, где ТХ действовал дозозависимым образом, индуцируя апоптоз [19]. В эксперименте на крысах, которые получали перорально 50 мг/кг ТХ 3 раза в неделю, было показано ингибирование числа метастазов в печени и селезенке животных. В клеточных культурах ТХ снижал экспрессию ДНК-метилтрансферазы 1 (DNMT1). Авторы работы [20] считают, что ТХ обладает протекторными свойствами против канцерогенов, вызывающих рак грудной железы, через эпигенетические механизмы DNMT1.
Таким образом, ТХ является перспективным препаратом, характеризующимся многовекторностью действия на разные пути жизнедеятельности клетки, направленной на осуществление защитных систем организма. На животных были показаны положительные результаты действия ТХ, или черного тмина при многочисленных болезнях разной природы: антидиабетический, антимикробный, антипаразитарный, противовоспалительный, анти-гиперхолестеринемический и антигистаминный эффекты, эффекты на нервную, кардиоваскулярную, респираторную системы [19, 21]. Вышеперечисленные авторы рекомендуют ТХ для профилактики и лечения многих патологий исходя из многочисленных данных, полученных на животных. Популяционные исследования, по-видимому, ожидаемы. К профилактическим эффектам ТХ можно отнести радиопротекторное действие, которое выражается в модификации активности генов, осуществляющих восстановление баланса защитных систем энзиматической и неэнзиматической природы.
Работа выполнена по теме ФГБУ ГНЦ ФМБЦ им. А. И. Бурназяна “Технология-3” (госзадание № 123011300105-3).
Все эксперименты с животными проводились в соответствии с Европейской конвенцией о защите позвоночных животных, используемых в экспериментальных и других научных целях, директива 2010/63/EU.
Исследование одобрено Комитетом по биомедицинской этике ФГБУ ГНЦ ФМБЦ им. А. И. Бурназяна ФМБА России (протокол № 20 от 9 февраля 2024 г.).
Авторы заявляют, что у них нет конфликта интересов.
About the authors
S. A. Abdullaev
Burnazyan Federal Medical Biophysical Center of Russia; Institute of Theoretical and Experimental Biophysics, Russian Academy of Sciences
Author for correspondence.
Email: saabdullaev@gmail.com
Russian Federation, Moscow; Moscow oblast, Pushchino
D. V. Fomina
Burnazyan Federal Medical Biophysical Center of Russia
Email: saabdullaev@gmail.com
Russian Federation, Moscow
N. F. Raeva
Burnazyan Federal Medical Biophysical Center of Russia
Email: saabdullaev@gmail.com
Russian Federation, Moscow
M. A. Popov
Vladimirsky Moscow Regional Research Clinical Institute
Email: saabdullaev@gmail.com
Russian Federation, Moscow
T. N. Maksimova
Sechenov First Moscow State Medical University
Email: saabdullaev@gmail.com
Russian Federation, Moscow
G. D. Zasukhina
Burnazyan Federal Medical Biophysical Center of Russia; Vavilov Institute of General Genetics, Russian Academy of Sciences
Email: saabdullaev@gmail.com
Russian Federation, Moscow; Moscow
References
- Ильин Л.А. Медицинские аспекты противодействия радиологическому и ядерному терроризму. М.: Наука, 2018. 392 с.
- Ушаков И.Б. Космос, радиация, человек. М.: Научтехлитиздат, 2021. 352 с.
- Dogru S., Taysi S., Yucel A. Effect soft hymoquinone in the lungs of rats against radiation-induced oxidative stress // Eur. Rev. Med. and Pharmacol. Sci. 2024. V. 28. № 1. P. 191–198. https://doi.org/10.26355/eurrev_202401_34904
- Михайлов В.Ф., Засухина Г.Д. Новый подход к стимуляции защитных систем организма малыми дозами радиации // Успехи соврем. биол. 2020. Т. 140. № 3. С. 244–252. https://doi.org/10.31857/S0042132420030060
- Altay H., Demir E., Binici H. et al. Radioprotective effects of propolis and caffeic acid phenethyl ester on the tong-tissues // Eur. J. Theоr. 2020. V. 26. P. 202–207. https://doi.org/10.5152/eurjther.2020.19047
- Taysi S., Algburi F., Mohammed Z. et al. Thymoquinone: А review on its pharmacological importance and its associftion with oxidative stress, COVID 19 and radiotherapy // Mini Rev. Med. Chem. 2022. V. 22. № 14. P. 1874–1875 https://doi.org/10.2174/1389557522666220104151225
- Sadeghi E., Inenshahidi M., Hosseinzadeh H. Molecular mechanisms and signaling pathways of black cumin (Nigella sativa) and its active constituent, thymoquinone: А review // Mol. Biol. Rep. 2023. V. 50. P. 5439–5454. https://doi.org/10.1007/s11033-023-08363-y
- Tiwari G., Cupta M., Devhare L., Tiwari R. Therapeutic and phytochemical properties of thymoquinone derived from Nigella sativa // Curr. Drug Res. Rev. 2023. https://doi.org/10.2174/2589977515666230811092410
- Demir Е., Taysi S., Ulisal H. et al. Nigella sativa oil and thymoquinone reduce oxidative stress in the brain tissue of rats exposed to total head irradiation // Int. J. Radiat. Biol. 2020. V. 96. № 2. P. 228–235. https://doi.org/10.1080/09553002.2020.1683636
- Akyuz M., Taysi S., Baysal E. et al. Radioprotective effect of thymoquinone on salvary gland of rats exposed to total cranial irradiation // Head Neck. 2017. V. 39. № 10. P. 2027–2035. https://doi.org/10.1002/hed.24861
- Koc M., Deniz C., Eryilmaz M. et al. Radioprotective effects of melatonine and thymoquinone on liver, hfrotid gland, brain, and testis of rats exposed to total body irradiation // Turk. J. Med. Sci. 2023. V. 53. P. 902–908. https://doi.org/10.55730/1300-0144.5654
- Ahmed S., Bakz M. Will Nigella sativa oil protect parotil glands of rats against cranium gamma radiation? Histological and immunohistochemical evaluation // BMC Complement Med. Ther. 2024. V. 24. P. 111. https://doi.org/10.1186/s12906-024-04410-8
- Abdullaev S., Gubina N., Bulanova T. et al. Assessment of nuclear and mitochondrial DNA, expression of mitochondria-related genes in different brain regions in rats after whole-body X-ray irradiation // Int. J. Mol. Sci. 2020. V. 21. https://doi.org/10.3390/ijms21041196
- Abdullaev S.A., Glukhov S.I., Gaziev A.I. Radioprotective and radiomitigative effects of melatonin in tissues with different proliferative activity // Antioxidants (Basel). 2021. V. 10. https://doi.org/10.3390/antiox10121885
- Газиев А.И. Пути сохранения целостности митохондриальной ДНК и функций митохондрий в клетках, подвергшихся воздействию ионизирующей радиации // Радиац. биол. Радиоэкология. 2013. Т. 53. № 2. С. 117–136.
- Михайлов В.Ф., Салеева Д.В., Рождественский Л.М. и др. Активность генов и некодирующих РНК как подход к определению ранних биомаркеров радиоиндуцированного опухолеобразования у мышей // Генетика. 2021. Т. 57. № 10. С. 1131–1140. https://doi.org/10.31857/S0016675821100076
- Long G., Chen H., Wu M. et al. Antianemia drug roxadustat (FG-4592) protects against doxorubicin-induced cardiotoxicity by targeting antiapoptotic and antioxidative pathways // Front. Pharmacol. 2020. V. 11. https://doi.org/10.3389/fphar.2020.01191
- Wang H., Yu W., Wang Y. et al. P53 contributes to cardiovascular diseases via mitochondria dysfunction: A new paradigm // Free Radic. Biol. Med. 2023. V. 208. P. 846–858. https://doi.org/10.1016/j.freeradbiomed.2023.09.036
- Alsanosi S., Sheikh R., Sonbul S. et al. The potential role of Nigella sativa seed oil as epigenetic therapy of cancer // Molecules. 2022. V. 27. https://doi.org/10.3390/molecules27092779
- Kaleem M., Kayali A., Sheikh R. et al. In vitro and in vivo preventive effects of thymoquinone against breast cancer-role of DNMT1 // Molecules. 2024. V. 29. P. 434.
- Салеева Д.В., Раева Н.Ф., Абдуллаев С.А. и др. Профилактический и терапевтический потенциал тимохинона при ряде патологий человека на основе определения активации клеточных компонентов, осуществляющих защитные функции по активности генов и некодирующих РНК // Госпитальная медицина: наука и практика, 2023. T. 6. № 2. C. 27–36. https://doi.org/10.34852/GM3CVKG.2023.75.38.015
Supplementary files




