Cadmium behavior in sulfur-bearing aqueous environments: insight from CdS solubility measurements at 25-80°C
- Authors: Bazarkina E.F.1, Zotov A.V.2, Chareev D.A.2,3, Truche L.4, Tarnopolskaya M.E.2
-
Affiliations:
- Institute of Geology of Ore Deposits, Mineralogy, Petrography and Geochemistry, Russian Academy of Sciences
- Institute of Geology of Ore Deposits, Mineralogy, Petrography and Geochemistry, Russian Academy of Sciences, IGEM RAS
- Institute of Experimental Mineralogy, IEM RAS
- Université Grenoble Alpes, ISTerre
- Issue: Vol 65, No 1 (2023)
- Pages: 32-45
- Section: Articles
- URL: https://journal-vniispk.ru/0016-7770/article/view/134668
- DOI: https://doi.org/10.31857/S0016777023010045
- EDN: https://elibrary.ru/LAUBWE
- ID: 134668
Cite item
Full Text
Abstract
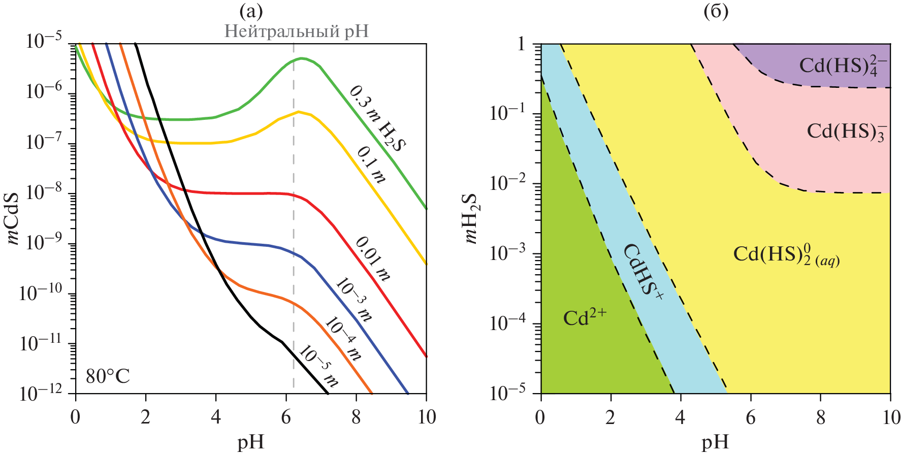
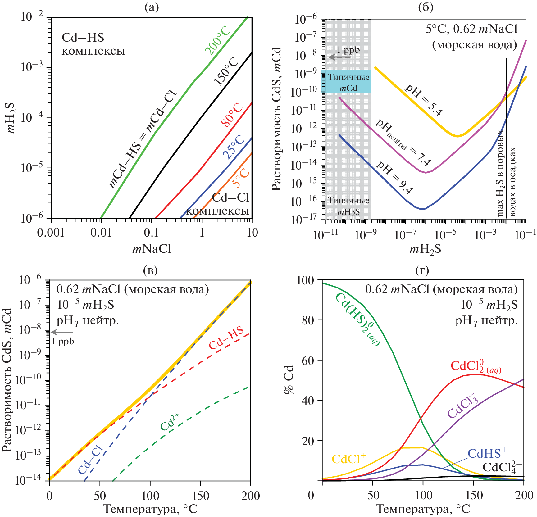
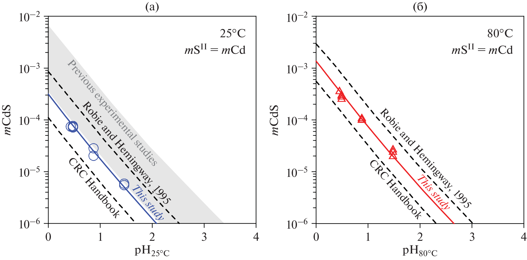
The present experimental study explores the effects of temperature and sulfur in Cd aqueous geochemistry under reduced conditions. Greenockite CdS solubility is measured in H2O-H2S-HClO4-NaHS solutions at 25-80°C as a function of pH and sulfur concentration. Based on solubility product measurements in highly acid solutions, the standard thermodynamic properties of greenockite (CdS) are revised, and the recommended value of ∆fG0298.15 for greenockite CdS(s) is -151.5±0.3 kJ mol-1. The stability of greenockite (CdS) is higher than predicted by calculations using previous literature data. At 80°C, the stability constants for Cd-HS complexes are measured for the first time, the values are 10–5.65±1.00 for CdS(s) + H+ = CdHS+, 10–6.00±0.40 for CdS(s) + H2S0(aq) = Cd(HS)20(aq), 10–3.87±0.10 for CdS(s) + H2S0(aq) + HS- = Cd(HS)3-, and 10–3.53±0.20 for CdS(s) + H2S0(aq) + 2HS- = Cd(HS)42-. Modeling of Cd behavior at 3-200°C shows that Cd-HS species are more important than previously believed. The fraction of Cd(HS)n2-n (n = 1-4) complexes increases with mH2S and decreases with T. Thus, in euxinic marine environments with mH2S ≥ 10-5, Cd speciation changes from Cd-Cl to Cd-HS. This speciation change is expected to affect Cd isotope fractionation and should be accounted for when applying Cd isotopic signature as a paleo tracer in marine sediments. The new thermodynamic data are indispensable for modeling Cd behavior in response to pH, T, and mH2S. As a function of these parameters, sulfur has the main control on Cd geochemistry being the main factor of Cd precipitation at low mH2S and favoring Cd mobilization at high mH2S.
Keywords
About the authors
E. F. Bazarkina
Institute of Geology of Ore Deposits, Mineralogy, Petrography and Geochemistry, Russian Academy of Sciences
Email: akinfiev@igem.ru
Staromonetny per. 35, 119017 Moscow, Russia
A. V. Zotov
Institute of Geology of Ore Deposits, Mineralogy, Petrography and Geochemistry, Russian Academy of Sciences, IGEM RAS
Email: akinfiev@igem.ru
Staromonetny per. 35, 119017 Moscow, Russia
D. A. Chareev
Institute of Geology of Ore Deposits, Mineralogy, Petrography and Geochemistry, Russian Academy of Sciences, IGEM RAS;Institute of Experimental Mineralogy, IEM RAS
Email: akinfiev@igem.ru
Staromonetny per. 35, 119017 Moscow, Russia;
Institutskaya str. 4, 142432 Chernogolovka, Moscow region, Russia
L. Truche
Université Grenoble Alpes, ISTerre
Email: akinfiev@igem.ru
France, Grenoble, ISTerre, UMR 5275 CNRS, BP 53, 38041
M. E. Tarnopolskaya
Institute of Geology of Ore Deposits, Mineralogy, Petrography and Geochemistry, Russian Academy of Sciences, IGEM RAS
Author for correspondence.
Email: akinfiev@igem.ru
Staromonetny per. 35, 119017 Moscow, Russia
References
- Базаркина Е.Ф., Зотов А.В., Акинфиев Н.Н. Устойчивость хлоридных комплексов кадмия в зависимости от давления: потенциометрические измерения при 1–1000 бар и 25°С // Геология руд. месторождений. 2010. Т. 52. № 2. С. 186–197.
- Гричук Д.В. Отношение Cd/Zn как индикатор вклада магматических флюидов в питание гидротермальных систем // Новые идеи в науках о Земле: Матер. VII междунар. конф. –М.: МГРИ-РГГРУ. 2005. Т. 2. С. 83.
- Рыженко Б.Н., Брызгалин О.В., Артамкина И.Ю., Спасенных М.Ю., Шапкин А.Л. Электростатическая модель электролитической диссоциации растворенных в воде неорганических веществ // Геохимия. 1985. № 6. С. 884–890.
- Шваров Ю.В. HCh: новые возможности термодинамического моделирования геохимических систем, предоставляемые Windows // Геохимия. 2008. №8. С. 898 – 903.
- Al-Farawati R. and Van Den Berg C.M.G. Metal-sulfide complexation in seawater // Mar. Chem. 1999. V. 63. P. 331–352.
- Archer D.J. Thermodynamic properties of import to environmental processes and remediation. I. Previous thermodynamic property values for cadmium and some of its compounds // J. Phys. Chem. Ref. Data. 1989. V. 27. P. 915–946.
- Bazarkina E.F., Pokrovski G.S., Zotov A.V. and Hazemann J.-L. Structure and stability of cadmium chloride complexes in hydrothermal fluids // Chem. Geol. 2010. V. 276. P. 1–17.
- Belcher R., Townshen A. and Farr J.P.G. Solubility product of cadmium sulphide // Talanta 1969. V. 16. P. 1089–1093.
- Belissont R., Boiron M.-C., Luais B. and Cathelineau M. LA-ICP‑MS analyses of minor and trace elements and bulk Ge isotopes in zoned Ge-rich sphalerites from the Noailhac – Saint-Salvy deposit (France): Insights into incorporation mechanisms and ore deposition processes. Geochim. Cosmochim. Acta 126, 518–540.
- Beyer R.P., Ferrante M.J. and Mrazek R.V. An automated calorimeter for heat-capacity measurements from 5 to 300 K The heat capacity of cadmium sulfide from 5.37 to 301.8 K and the relative enthalpy to 1103.4 K // J. Chem. Thermodyn. 15, 827–834.
- Bonnet J., Mosser-Ruck R., Caumon M.-C., Rouer O., Andre-Mayer A.-S., Cauzid J. and Peiffert C. Trace Element Distribution (Cu, Ga, Ge, Cd, and Fe) IN Sphalerite From the Tennessee MVT Deposits, USA, By Combined EMPA, LA-ICP-MS, Raman Spectroscopy, and Crystallography // Can. Mineral. 54, 1261–1284.
- Carolin C.F., Kumar P.S., Saravanan A., Joshiba G. J. and Naushad Mu. Efficient techniques for the removal of toxic heavy metals from aquatic environment: A review // J. Environ. Chem. Eng. 5, 2782–2799.
- Chen S.H., Cheow Y.L., Ng S.L. and Ting A.S.Y. Mechanisms for metal removal established via electron microscopy and spectroscopy: a case study on metal tolerant fungi Penicillium simplicissimum // J. Hazard. Mater. 2019. P. 394–402.
- Colantonio N. and Kim Y. Cadmium (II) removal mechanisms in microbial electrolysis cells // J. Hazard. Mater. 2016. P. 134–141.
- Cox J.D., Wagman D.D. and Medvedev V.A. CODATA Key Values for Thermodynamics., Hemisphere Publishing Corporation, New York.
- Crea F., Foti C., Milea D. and Sammartano S. Speciation of Cadmium in the Environment. In Cadmium: From Toxicity to Essentiality Metal Ions in Life Science. Astrid Sigel, Helmut Sigeel, Roland K.O. Sigel. pp. 63–83.
- Cullen J.T. and Maldonado M.T. Biogeochemistry of Cadmium and Its Release to the Environment. In Cadmium: From Toxicity to Essentiality Metal Ions in Life Science. Astrid Sigel, Helmut Sigeel, Roland K.O. Sigel. pp. 31–62.
- Daskalakis K.D. and Helz G.R. Solubility of cadmium sulfide (greenockite) in sulfidic waters at 25°C // Environ. Sci. Technol. 1992. V. 26. P. 2462–2468.
- Deore S. and Navrotsky A. Oxide melt solution calorimetry of sulfides: Enthalpy of formation of sphalerite, galena,greenockite, and hawleyite. Am. Mineral. 2006. V. 91. P. 400–403.
- Foti C., Lando G., Millero F.J. and Sammartano S. Experimental study and modelling of inorganic Cd2+ speciation in natural waters // Environ. Chem. 2011. V. 8. P. 320–331.
- Janssen D.J., Conway T.M., John S.G., Christian J.R., Kramer D.I., Pedersen T.F. and Cullen J.T. Undocumented water column sink for cadmium in open ocean oxygen-deficient zones // Proc. Natl. Acad. Sci. U. S. A. 2014. V. 19. P. 6888–6893.
- Johnson J.W. SUPCRT92: A software package for calculating the standard molal thermodynamic properties of minerals, gases, aqueous species, and reactions from 1 to 5000 bar and 0 to 1000°C // Comput. Geosci. 1992. V. 18. P. 899–947.
- Kamyshny A., Gun J., Rizkov D., Voittsekovski T. and Lev O. Equilibrium distribution of polysulfide ions in aqueous solutions at different temperatures by rapid single phase derivatization // Environ. Sci. Technol. 2007. V. 41. P. 2395–2400.
- Li M.-L., Liu S.-A., Xue C.-J., Li D. Zinc, cadmium and sulfur isotope fractionation in a supergiant MVT deposit with bacteria // Geochim. Cosmochim. Acta. 2019. V. 265. P. 1–18.
- Lide D.R. CRC Handbook of Chemistry and Physics. 84th ed., CRC Press. 2003.
- Little S.H., Vance D., Lyons T. and McManus J. Controls on trace metal authigenic enrichment in reducing sediments: insights from modern oxygen-deficient settings // Am. J. Sci. 2015. V. 315. P. 77–119.
- Marshall W.L. and Franck E.U. (1981) Ion product of water substance, 0-1000°C, 1-10000 bars. New International Formulation and its background // J. Phys. Chem. Ref. Data. 1981. V. 10. P. 295–304.
- Martinkova E., Chrastny V., Francova M., Sipkova A., Curik J., Myska O. and Mizic L. Cadmium isotope fractionation of materials derived from variousindustrial processes // J. Hazard. Mater. 2016. V. 302. P. 114–119.
- Millero F. J. and DiTrolio B. Use of thermodynamics in examining the effects of ocean acidification // Elements. 2010. V. 6. P. 299–303.
- Millero F. J., Woosley R., DiTrolio B. and Waters J. Effect of ocean acidification on the speciation of metals in seawater // Oceanography. 2009. V. 6. P. 299–303.
- Mills K.C. Thermodynamic Data for Inorganic Sulphides, Selenides and Tellurides., Butterworths, London. 1974.
- Nasar A. and Shamsuddin M. An investigation of the thermodynamic properties of cadmium sulfide // Thermochim. Acta. 1992. V. 197. P. 373–380.
- Oelkers E.H., Bénézeth P. and Pokrovski G.S. Thermodynamic databases for water-rock interaction. In Thermodynamics and Kinetics of Water-Rock Interaction Reviews in Mineralogy and Geochemistry 70. Mineralogical Society of America. 2009. pp. 1–46.
- Paalman M.A.A., van der Weijden C.H. and Loch J.P.G. Sorption of Cd on suspended matter under estuarine conditions; competition and complexation with major seawater ions // Water. Air. Soil Pollut. 1994. V. 73. P. 49–60.
- Pokrovski G.S. and Dubessy J. Stability and abundance of the trisulfur radical ion S3- in hydrothermal fluids // Earth Planet. Sci. Lett. 2015. V. 411. P. 298–309.
- Pokrovsky O.S., Pokrovski G.S. and Feurtet-Mazel A. A structural study of cadmium interaction with aquatic microorganisms // Environ. Sci. Technol. 2008. V. 42. P. 5527–5533.
- Powell K.J., Brown P.L., Byrne R.H., Gajda T., Hefter G., Leuz A.-K., Sjoberg S. and Wanner H. Chemical speciation of environmentally significant metals with inorganic ligands. Part 4: The Cd2+ + OH–, Cl–, and systems (IUPAC Technical Report) // Pure Appl. Chem. 2011. V. 83. P. 1163–1214.
- Robie R. A. and Hemingway B. S. Thermodynamic Properties of Minerals and Related Substances at 298.15 K and 1 bar (105 pascals) pressure and at high temperatures, U. S. Geol. Surv. Bull. 1995. P. 2131.
- Rudnick R. L. and Gao S. Composition of the continental crust. In Treatise on Geochemistry (2nd Edition) (eds. H.D. Holland and K. K.Turekian). Elsevier, Oxford. 2014. pp. 1–51.
- Schafer H. (1962) Chemische Transportreaktionen. Der Transport Anorganischer Stoffe Uber Die Gasphase und Seine Anwendungen., Verlag Chemie, GmbH, Weinheim/Bergstr.
- Schulte M.D., Shock E.L. and Wood R.H. The temperature dependence of the standard-state thermodynamic properties of aqueous nonelectrolytes // Geochim. Cosmochim. Acta. 2001. V. 65. P. 3919–3930.
- Schwartz M.O. Cadmium in zinc deposits: economic geology of a polluting element // International Geolology Review. 2000. V. 42. P. 445–469.
- Shi W., Zhao X., Han Y., Che Z., Chai X. and Liu G. Ocean acidification increases cadmium accumulation in marine bivalves: a potential threat to seafood safety // Sci. Rep. 206. V. 6. P. 20197.
- Shvarov Y.V. A suite of programs, OptimA, OptimB, OptimC, and OptimS compatible with the Unitherm database, for deriving the thermodynamic properties of aqueous species from solubility, potentiometry and spectroscopy measurements // Appl. Geochem. 2015. V. 55. P. 17–27.
- Ste-Marie J., Torma A.E. and Gubeli A.O. The stability of thiocomplexes and solubility products of metal sulfides I. Cadmium sulfide // Can. J. Chem. 1964. V. 42. P. 662–668.
- Stockdale A., Tipping E., Lofts S. and Mortimer R.J.G. Effect of ocean acidification on organic and inorganic speciation of trace metals // Environ. Sci. Technol. 2016. V. 50. P. 1906–1913.
- Suleimenov O.M. and Krupp R.E. Solubility of hydrogen sulfide in pure water and in NaCl solutions, from 20 to 320°C and at saturation pressures // Geochim. Cosmochim. Acta. 1994. V. 58. P. 2433–2444.
- Suleimenov O.M. and Seward T.M. A spectrophotometric study of hydrogen sulphide ionisation in aqueous solutions to 350°C // Geochim. Cosmochim. Acta. 1997. V. 61. P. 5187–5198.
- Tagirov B.R. and Seward T.M. Hydrosulfide/sulfide complexes of zinc to 250 °C and the thermodynamic properties of sphalerite // Chem. Geol. 2010. V. 269. P. 301–311.
- Teng F.-Z., Dauphas N. and Watkins J.M. Non-Traditional stable isotopes: Retrospective and perspective // Rev. Mineral. Geochem. 2017. V. 82. P. 1–26.
- Truche L., Bazarkina E.F., Barre G., Thomassot E., Berger G., Dubessy J. and Robert P. The role of S3- ion in thermochemical sulphate reduction: geological and geochemical implications // Earth Planet. Sci. Lett. 2014. V. 396. P. 190–200.
- Urabe T. Partition of Cadmium and Manganese between Coexisting Sphalerite and Galena from some Japanese Epithermal Deposits // Mineral. Deposita (Berl.) 1997. V. 12. P. 319–330.
- Van Hövell tot Westerflier S.W.F.M., Kolar Z., Binsma J.J.M., Stein H.N. and Vandecasteele C. Solubility of particulate cadmium sulfide at pH = 1–14: A radiotracer study // J. Radioanal. Nucl. Chem. 1987. V. 111. P. 305–317.
- Wagman D.D., Evans W.H., Parker V.B., Schumm R.H., Halow I., Bailey S.M., Churney K.L. and Nuttall R.L. The NBS tables of chemical thermodynamic properties. Selected values for inorganic and C1 and C22 organic substances in SI units // J. Phys. Chem. Ref. Data. 1982. v. 11.
- Wang F. and Tessier A. Cadmium complexation with bisulfide. Environ. Sci. Technol. 1999. V. 33. P. 4270–4277.
- Wang F. and Tessier A. Zero-valent sulfur and metal speciation in sediment porewaters of freshwater lakes // Environ. Sci. Technol. 2009. V. 43. P. 7252–7257.
- WHO ed. Guidelines for Drinking-water Quality. Fourth edition., WHO Press, Geneva. 2011.
- Xu Y. and Morel M.M. Cadmium in Marine Phytoplankton. In Cadmium: From Toxicity to Essentiality Metal Ions in Life Science. Astrid Sigel, Helmut Sigeel, Roland K.O. Sigel. 2013. pp. 509–528.
- Yang J., Li Y., Liu S., Tian H., Chen C., Liu J. and Shi Y. Theoretical calculations of Cd isotope fractionation in hydrothermal fluids // Chem. Geol. 2015. V. 391. P. 74–82.
- Zhang J.-Z. and Millero F.J. Investigation of metal sulfide complexes in sea water using cathodic stripping square wave voltammetry // Anal. Chim. Acta. 1994. V. 284. P. 497–504.
- Zhao Y., Li Y., Matthias W., Jang J., Sarret G., Cheng Q., Liu J. and Shi Y. Theoretical isotope fractionation of cadmium during complexation with organic ligands // Chem. Geol. 2021. V. 571.
- Zhu C., Wen H., Zhang Y., Yin R. and Cloquet C. Cd isotope fractionation during sulfide mineral weathering in the Fule Zn-Pb-Cd deposit, Yunnan Province, Southwest China // Sci. Total Environ. 2018. V. 616–617. P. 64–72.
- Zhu C., Wen H., Zhang Y., Liu Y., Wei R. Isotopic geochemistry of cadmium: A review // Acta Geol. Sin. 2015. V. 89. P. 2048–2057.
Supplementary files








