Sb-As LOJAN DEPOSIT (REPUBLIC OF NORTH MACEDONIA): ORE TYPES, CONDITIONS OF ORE TYPES LOCALIZATION AND GEOCHEMICAL FEATURES
- Authors: Serafimovskiy T.1, Volkov A.V.2, Georgevich T.3, Tasev G.1, Serafimovskiy D.1, Murashov K.Y.2, Georgiev L.1
-
Affiliations:
- Goce Delcev University, Stip, North Macedonia
- nstitute of Geology of Ore Deposits, Petrography, Mineralogy, and Geochemistry, Russian Academy of Sciences
- Department of Mineralogy and Crystallography, University of Vienna
- Issue: Vol 65, No 4 (2023)
- Pages: 337-353
- Section: Articles
- URL: https://journal-vniispk.ru/0016-7770/article/view/134682
- DOI: https://doi.org/10.31857/S0016777023040056
- EDN: https://elibrary.ru/WJLQIB
- ID: 134682
Cite item
Full Text
Abstract
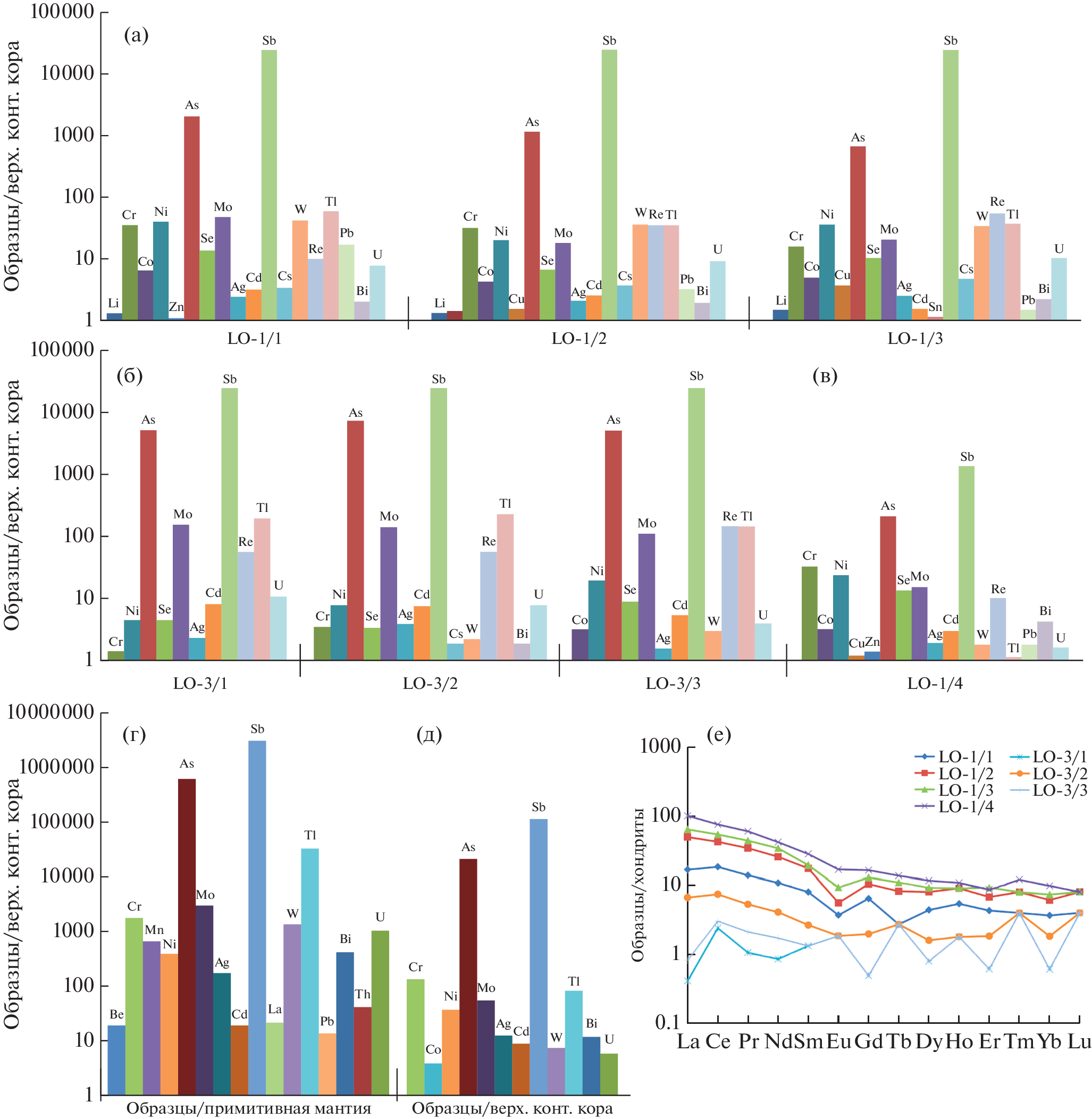
This article discusses the results of comprehensive studies of Sb-As ores of the Lojan deposit, located in the north-east of the Republic of North Macedonia (RSM), near the border with Serbia. 5 types of Sb-As ores have been identified: breccated realgar-auripigment ores, realgar breccias, breccated antimonite ores, massive, almost monomineral realgar ores, as well as realgar-antimonite nest-shaped ores. The ores are characterized not only by an unusual paragenesis of nickel, arsenic and antimony minerals, but also by a very close fusion of antimonite, realgar and collomorphic quartz. A wide range of elements in ores (As, Sb, Cr, Ti, Mn, Ni, Mo, Co, Ag, Tl, U, etc.) is apparently due to the combination of mineralization in ores of several different-time parageneses. As a result of thermometric studies of fluid inclusions in quartz, Thom vary from 180 OC to 220 OC (the average value is 201 OC). Studies of the isotopic composition of sulfur in antimonite and realgar have shown rather narrow ranges of δ34S values from -5.19 to -0.26 and from -4.80 to 1.92, respectively, which indicates an endogenous source of sulfur. The results obtained allow us to attribute the Lojan deposit to the epithermal class
About the authors
T. Serafimovskiy
Goce Delcev University, Stip, North Macedonia
Email: tma2105@mail.ru
Респ. Северная Македония, Штип
A. V. Volkov
nstitute of Geology of Ore Deposits, Petrography, Mineralogy, and Geochemistry, Russian Academy of Sciences
Email: tma2105@mail.ru
Россия, 119017, Москва, Старомонетный пер., 35
T. Georgevich
Department of Mineralogy and Crystallography, University of Vienna
Email: tma2105@mail.ru
Vienna, 1090 Austria
G. Tasev
Goce Delcev University, Stip, North Macedonia
Email: tma2105@mail.ru
Респ. Северная Македония, Штип
D. Serafimovskiy
Goce Delcev University, Stip, North Macedonia
Email: tma2105@mail.ru
Респ. Северная Македония, Штип
K. Yu. Murashov
nstitute of Geology of Ore Deposits, Petrography, Mineralogy, and Geochemistry, Russian Academy of Sciences
Email: tma2105@mail.ru
Россия, 119017, Москва, Старомонетный пер., 35
L. Georgiev
Goce Delcev University, Stip, North Macedonia
Author for correspondence.
Email: tma2105@mail.ru
Респ. Северная Македония, Штип
References
- Бортников Н.С., Гамянин Г.Н., Викентьева О.В., Прокофьев В.Ю., Алпатов В.А., Бахарев А.Г. Состав и происхождение флюидов в гидротермальной системе Нежданинского золоторудного месторождения (Саха-Якутия, Россия) // Геология рудн. месторождений. 2007. Т. 49. № 2. С. 99–145.
- Волков А.В., Серафимовский Т., Кочнева Н.Т., Томсон И.Н., Тасев Г. Au-As-Sb-Tl эпитермальное месторождение Алшар (Южная Македония) // Геология рудн. месторождений. 2006. Т. 48. № 3. С. 205–224.
- Горячев Н.А., Викентьева О.В., Бортников Н.С., Прокофьев В.Ю., Алпатов В.А., Голуб В.В. Наталкинское золоторудное месторождение мирового класса: распределение РЗЭ, флюидные включения, стабильные изотопы кислорода и условия формирования руд (Северо-Восток России) // Геология рудн. месторождений. 2008. Т. 50. № 5. С. 414–444.
- Жариков В.А., Горбачев Н.С., Латфутт П., Дохерти В. Распределение редкоземельных элементов и иттрия между флюидом и базальтовым расплавом при давлениях 1–12 кбар (по экспериментальным данным) // Докл. РАН. 1999. Т. 366. № 2. С. 239–241.
- Минеев Д.А. Лантаноиды в рудах редкоземельных и комплексных месторождений. М.: Наука, 1974. 241 с.
- Тейлор С.Р., Мак-Леннан С.М. Континентальная кора: ее состав и эволюция. М.: Мир, 1988. 384 с.
- Alderton D., Serafimovski T., Burns L., Tasev G. Distribution and mobility of arsenic and antimony at mine sites in FYR Macedonia // CarpaTгoмian J. Earth and Environmental Sciences. 2014. V. 9. № 1. P. 43–56.
- Antonovic A. Geology, tectonic structure and genesis of the arsenic-antimony ore deposits in Tгoмe Lojane and Nikustak district (Skopska Crna Gora Mts) // Skopje: Geological Institute, 1965. Special Issue № 1. 77 p. (in Serbian).
- Augé T., Morin G., Bailly L., Serafimovski T. Platinum-group minerals and the host chromitites in Macedonian ophiolites // European J. Mineralogy. 2017. V. 29. P. 585–596.
- Bau M. Rare-earth element mobility during hydrothermal and metamorphic fluid-rock interaction and the significance of the oxidation state of europium // Chem. Geol. 1991. V. 93. P. 219–230.
- Boev B., Jankovic S. Nickel and nickelferous iron deposits of the Vardar Zone (SE Europe) with particular reference to the Rzanovo-Studena Voda ore-bearing series // University St. Cyril and Methodius Skopje, Faculty of Mining and Geology – Stip, 1996. Special Issue № 3. P. 270–278.
- Deleon G. Structural characteristics of arsenic-antimony ore from the Lojane mine // Glasnik Prirod. muzeja u Beogradu. 1959. Ser. A. V. 11. P. 109–114. (in Serbian)
- Djordjevic T., Kolitsch U., Serafimovski T., Tasev G., Tepe N., Stoger-Pollach M., Hofmann T., Boev B. Mineralogy and weathering of realgar-rich tailings at a former As-Sb-Cr mine at Lojane, North Macedonia // Can. Mineral. 2019. V. 57. P. 1–21.
- Ferrini V., Martarelli L., De Vito C., Cina A., Deda T. The Koman dawsonite and realgar-orpiment deposit, Northern Albania: Inferences on processes of formation // Can. Mineral. 2003. V. 41. P. 413–427.
- Grafenauer S. Genesis of chromite in Yugoslavian peridotite // Time- and Strata-Bound Ore Deposits (D.D. Klemm & H.-J. Schneider, eds.). Verlag-Berlin – Heidelburg: Springer, 1977. P. 327–351.
- Hagemann S.G, Gebre-Mariam M, Groves D.I. Surface-water influx in shallow-level Archean lode-gold deposits in Western Australia // Geology. 1994. V. 22. P. 1067–1070.
- Hiessleitner G. Geologie mazedonischer Chromeisenlagerstäatten. Berg- und Hüttenmännisches // Jahrbuch der Montanistischen Hochschule in Leoben. 1931. V. 179. P. 47–57 (in German).
- Hiessleitner G. Einbruch von Granit und Andesit in Chromerze führenden Serpentin von Lojane, NNW Kumanovo in Südserbie // Zeitschrift für Praktische Geologie. 1934. V. 42. P. 81–88 (in German).
- Hiessleitner G. Serpentin- und Chromerz-Geologie der Balkanhalbinsel und eines Teiles von Kleinasien // Jahrbuch der Geologischen Bundesanstalt Sonderband. 1951. V. 1. P. 1–255 (in German).
- Hodkiewicz P.F., Groves D.I., Davidson G.J., Weinberg R.F., Hagemann S.G. Influence of structural setting on sulphur isotopes in Archean orogenic gold deposits, Eastern Goldfields Province, Yilgarn, Western Australia // Miner. Depos. 2009. V. 44. P. 129–150.
- Jankovic S. General characteristics of the antimony ore deposits of Yugoslavia // Neues Jahrbuch für Mineralogie – Abhandlungen. 1960. V. 94. P. 506–538. (in German).
- Jones B., Manning D.A.C. Comparison of geochemical indices used for the interpretation of palaeoredox conditions in ancient mudstones // Chem. Geol. 1994. V. 111. P. 111–129.
- Kesler E.S., Ewing R., Deditius A., Reich M.M., Utsunomiya S., Chryssoulis S. Role of Arsenian Pyrite in Hydrothermal Ore Deposits: A History and Update // 6th Geological Society of Nevada on Great Basin Evolution and Metallogeny. Reno, USA: Lancaster Penn., DEStech Publ., 2010. P. 233–245.
- Kolitsch U., Dordevic T., Tasev G., Serafimovski T., Boev I., Boev B. Supergene mineralogy of the Lojane Sb-As-Cr deposit, Republic of Macedonia: tracing the mobilization of toxic metals // Geologica Macedonica. 2018. V. 32. № 2. P. 95–117.
- Kun L., Ruidong Y., Wenyong Ch. Trace element and REE geochemistry of the Zhewang gold deposit, southeastern Guizhou Province, China // Chin. J. Geochem. 2014. V. 33. P. 109–118.
- McDonough W.F., Sun S.S. The Composition of the Earth // Chem. Geol. 1995. V. 120. P. 223–253.
- Monecke T., Kempe U., Gotze J. Genetic significance of the trace element content in metamorphic and hydrothermal quartz: a reconnaissance study // Earth. Planet. Sci. Lett. 2002. V. 202. P. 709–724.
- Mudrinic C. Geochemical features of Sb-As associations wiTгoмin Tгoмe Serbo-Macedonian metallogenic province // PhD Thesis, Faculty of Mining and Geology. Belgrade. 1978. 129 p. (in Serbian).
- Munoz M., Shepherd T.J. Fluid inclusion study of the bournac polymetallic (Sb-As-Pb-Zn-Fe-Cu…) vein deposit (montagne noire, France) // Miner. Depos. 1987. V. 22. P. 11–17.
- Ohmoto H., Rye R.O. Isotopes of sulfur and carbon. // Geochemistry of hydrothermal ore deposits, 2nd edn. / Barnes HL (ed). New York: Wiley, 1979. P. 509–567.
- Ohmoto H. Systematics of sulfur and carbon isotopes in hydrothermal ore deposits // Econ. Geol. 1972. V. 67. P. 551–578.
- Oreskes N., Einaudi M.T. Origin of rare-earth element enriched hematite breccias at the Olympic Dam Cu‒U‒Au‒Ag deposit, Roxby Downs, South Australia // Econ. Geol. 1990. V. 85. № 1. P. 1–28.
- Ozgur N., Halbach P., Pekdeger A., Sommer-von Jarmersted C., Sonmez N., Dora, O.O., Ma D.S., Wolf M., Stichler W. Epithermal antimony, mercury and gold deposits in the rift zone of the Küçük Menderes, Western Anatolia, Turkey: preliminary studies // Mineral Deposits, Research and Exploration (Where do they meet?), Proc. 4th Biennial SGA Meeting, Turku, Finland, August, 1997. P. 269–272.
- Pamic J., Tomljenovic B., Balen D. Geodynamic and petrogenetic evolution of Alpine ophiolites from the central and NW Dinarides: an overview // Lithos. 2002. V. 65. P. 113–142.
- Pokrovski G.S., Zakirov I.V., Roux J., Testemale D., Hazemann J., Bychkov A.Y., Golikova G.V. Experimental study of arsenic speciation in vapor phase to 500°C: Implications for As transport and fractionation in low-density crustal fluids and volcanic gases // Geochim. Cosmochim. Acta. 2002. V. 66. P. 3453–3480.
- Radusinovic D.R. Greigite from the Lojane chromium deposit, Macedonia // Amer. Mineral. 1966. V. 51. P. 209–215.
- Robertson A.H.F. Overview of the genesis and emplacement of Mesozoic ophiolites in the Eastern Mediterranean Tethyan region // Lithos 2002. V. 65. P. 1–67.
- Saravanan C.S., Mishra B. Uniformity in sulfur isotope composition in the orogenic gold deposits from the Dharwar Craton, Southern India // Miner. Depos. 2009. V. 44. P. 597–605.
- Schmid S.M., Bernoulli D., Fugenschuh B., Matenco L., Schefer S., Schuster R., Tischler M., Ustaszewski K. The Alpine-Carpathian-Dinaridic orogenic system: correlation and evolution of tectonic units // Swiss J. Geosci. 2008. V. 101. P. 139–183.
- Schumacher F. The ore deposits of Yugoslavia and the development of its mining industry // Econ. Geol. 1954. V. 49. P. 451–492.
- Seal R.R. Sulfur Isotope Geochemistry of Sulfide Minerals // Rev. Mineral. Geochem. 2006. V. 61. P. 633–677.
- Serafimovski T., Tasev G. Sulfur isotope compositions from different type of deposits in the Buchim-Damjan-Borov Dol ore district, Eastern Macedonia // 10th Applied Isotope Geochemistry Conference, Hungarian Academy of Sciences, 22–27th September 2013. Budapest, Hungary, 2013. P. 8–13.
- Serafimovski T. Structural-metallogenic features of the Lece-Chalkidiki zone: Types of mineral deposit and distribution. Stip: Faculty of Mining, 1993. Special Issue no. 2. 325 p.
- Strmic Palinkas S., Hofstra H.A., Percival J.T., Borojevic Sostaric S., Palinkas L., Bermanec V., Pecskay Z., Boev B. Comparison of the Allchar Au-As-Sb-Tl Deposit, Republic of Macedonia, with Carlin-Type Gold Deposits // Chapter 10. Reviews in Economic Geology. 2018. V. 20. P. 335–363.
- Tasev G., Serafimovski T., Djordjevic T., Boev B. Soil and groundwater contamination around Tгoмe Lojane As-Sb mine, Republic of Macedonia // 17th International Multidisciplinary Scientific GeoConference SGEM. 2017. V. 17. P. 809–817.
- Tasev G., Serafimovski T., Boev B., Gjorgjiev L. Morphological types of mineralization in the Lojane As-Sb deposit, Republic of Macedonia // 18th International Multidisciplinary Scientific GeoConference SGEM. 2018. V. 13. P. 601–608.
- Tzamos E., Gamaletsos N.P., Grieco G., Bussolesi M., Xenidis A., Zouboulis A., Dimitriadis D., Pontikes Y., Godelitsas A. New Insights into the Mineralogy and Geochemistry of Sb Ores from Greece // Minerals. 2020. V. 10. 236. P. 1–16. https://doi.org/10.3390/min10030236
- Voudouris P., Melfos V., Spry P.G., Bonsall T., Tarkian M., Economou-Eliopoulos M. Mineralogical and fluid inclusion constraints on the evolution of the Plaka intrusion-related ore system, Lavrion, Greece // Mineralogy and Petrology. 2008. V. 93. P. 79–110.
- Zotov A.V., Shikina N.D., Akinfeev N.N. Thermodynamic properties of the Sb(III) hydroxide complex Sb(OH)3(aq) at hydrothermal conditions // Geochim. Cosmochim. Acta. 2003. V. 67. P. 1821–1836.
Supplementary files














