Mineralogy and Conditions of Formation Genesis of Aggregates of Natural and Sulfide Minerals of the Poldnevskoe Demantoid Deposit (Middle Urals)
- Authors: Murzin V.V.1, Varlamov D.A.2, Karaseva E.S.1, Kisin A.Y.1
-
Affiliations:
- Institute of Geology and Geochemistry, Ural Branch, Russian Academy of Sciences
- Institute of Experimental Mineralogy, Russian Academy of Sciences
- Issue: Vol 65, No 6 (2023)
- Pages: 528-550
- Section: Articles
- URL: https://journal-vniispk.ru/0016-7770/article/view/231643
- DOI: https://doi.org/10.31857/S0016777023060060
- EDN: https://elibrary.ru/IBHRUT
- ID: 231643
Cite item
Full Text
Abstract
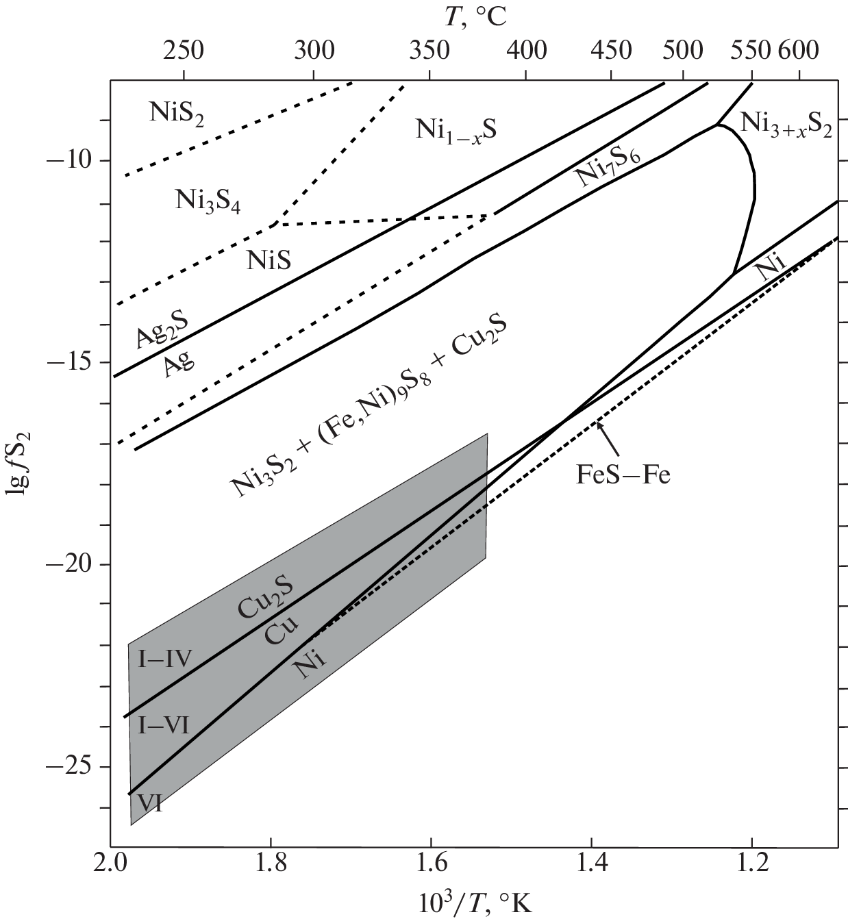
Polymineral aggregates of rounded shapes (“nodules”) composed of native and sulfide minerals of Cu, Ni, Fe, Ag, and other elements from vein magnetite–calcite–chrysotile rocks with jewelry demantoid in the Korkodinskoe hypermafic massif are described. A common feature of the six identified types of native sulfide nodules, composed of native copper, heazlewoodite, pentlandite, cuprite, and other native sulfide minerals, is their spheroidal shape, which makes them similar to individual grains of other gangue minerals (calcite, magnetite, etc.). In heazlewoodite–pentlandite nodules, specific symplectites of mercuric silver and nickel copper in heazlewoodite, as well as awaruite in Co–pentlandite, were found. The matching set of ore minerals in the host serpentinite vein mass (native copper, mercuric silver, heazlewoodite, pentlandite, awaruite) and nodules from the vein material indicates their genetic connection and the conjugation of demantoid mineralization with the evolving processes of serpentinization. It was established that the nodules formed at temperatures below 380°C under reducing conditions at very low sulfur fugacity values (10–17–10–27 bar) and oxygen (10–30 bar at 200°C to 10–21 bar at 350°C). For heazlewoodite–pentlandite nodules, such conditions persisted throughout the entire time of their formation, while, for other nodules, the reducing conditions of early parageneses were replaced by oxidative conditions in late parageneses, which is recorded by the replacement of native copper with cuprite. It is assumed that the features of the morphology and structure of native sulfide nodules and the presence of symplectite intergrowths of ore minerals in them are associated with specific conditions created during the decompression of the crust-mantle mixture rising to the surface in the fault zone. The source of the metals was a deep, high-temperature fluid interacting with mafic and ultramafic rocks under reducing conditions at a low water-to-rock ratio.
About the authors
V. V. Murzin
Institute of Geology and Geochemistry, Ural Branch, Russian Academy of Sciences
Email: murzin@igg.uran.ru
620110, Yekaterinburg, Russia
D. A. Varlamov
Institute of Experimental Mineralogy, Russian Academy of Sciences
Email: dima@iem.ac.ru
142432, Moscow, Russia
E. S. Karaseva
Institute of Geology and Geochemistry, Ural Branch, Russian Academy of Sciences
Email: dima@iem.ac.ru
620110, Yekaterinburg, Russia
A. Yu. Kisin
Institute of Geology and Geochemistry, Ural Branch, Russian Academy of Sciences
Author for correspondence.
Email: dima@iem.ac.ru
620110, Yekaterinburg, Russia
References
- Асеева А.В., Высоцкий С.В., Карабцов А.А., Александров И.А., Чувашова И.С. Трансформация гранатовых мегакристов под воздействием щелочных базальтовых магм // Тихоокеанская геология. 2014. Т. 33. № 2. С. 53–63.
- Базылев Б. А. Развитие аваруит-содержащей минеральной ассоциации в перидотитах из зоны разлома 15°20 (Атлантический океан) как одно из проявлений океанического метаморфизма // Российский журн. наук о земле. 2000. Т. 2. № 3. С. 279–293.
- Бартон П.Б., Скиннер Б.Дж. Устойчивость сульфидных минералов // Геохимия гидротермальных рудных месторождений. М.: Мир, 1970. С. 211–285.
- Воган Д., Крейг Дж. Химия сульфидных минералов. Москва: Мир, 1981.
- Диаграммы состояния двойных и многокомпонентных систем на основе железа. Справочник. Банных О.А., Будберг П.Б., Алисова С.П. и др. Москва: Металлургия, 1986.
- Кабанова Л.Я. Симплектиты как показатели декомпрессионных условий образования // Наука ЮУрГУ: матер. 68-й науч. конф. Челябинск: Южно-Уральский государственный университет, 2016. С. 275–283.
- Калугина Р.Д., Копанев В.Ф., Стороженко Е.В. и др. Государственная геологическая карта Российской Федерации. Масштаб 1 : 200 000. Издание второе. Серия Среднеуральская. Лист O-41-XXV. Объяснительная записка. М.: Московский филиал ФГБУ “ВСЕГЕИ”, 2017.
- Карасева Е.С., Кисин А.Ю., Мурзин В.В. Полдневское месторождение демантоида (Средний Урал): Геология и минералогия // Литосфера. 2021. № 5. С. 681–696. https://doi.org/10.24930/1681-9004-2021-21-5-683-698
- Кисин А.Ю., Мурзин В.В., Карасева Е.С., Огородников В.Н., Поленов Ю.А., Селезнев С.Г., Озорнин Д.А. Проблемы структурного контроля демантоидной минерализации на Полдневском месторождении // Известия УГГУ. 2020. Вып. 2(58). С. 64–73. https://doi.org/10.21440/2307-2091-2020-2-64-73
- Макеев А.Б. Минералогия альпинотипных ультрабазитов Урала: Наука. СПб.: Наука, 1992.
- Мурзин В.В., Малюгин А.А. Типоморфизм золота зоны гипергенеза (на примере Урала). Свердловск: УНЦ АН СССР, 1987.
- Попов В.А., Колисниченко С.В., Блинов И.А. Никелистая медь и накаурит из голубой жилы в ультрамафитах (Верхнеуфалейский район, Южный Урал) // Четырнадцатые Всероссийские научные чтения памяти ильменского минералога В.О. Полякова. Миасс: Институт минералогии УрО РАН, 2013. С. 13–24.
- Пушкарев Е.В., Аникина Е.В., Гарути Дж., Заккарини Ф. Родистая самородная медь из миароловых дунитов Нижнетагильского массива // Вестник Уральского отделения РМО № 2. Екатеринбург: УГГГА, 2003. С. 78–82.
- Пушкарев Е.В., Аникина Е.В., Гарути Дж., Заккарини Ф. Хром-платиновое оруденение Нижнетагильского типа на Урале: Структурно-вещественная характеристика и проблема генезиса // Литосфера. 2007. № 3. С. 28–65.
- Пыстин А.М., Потапов И.Л., Пыстина Ю.И., Генералов В.И., Онищенко С.А., Филиппов В.Н., Шлома А.А., Терешко В.В. Малосульфидное платинометалльное оруденение на Полярном Урале. Екатеринбург: УрО РАН, 2011.
- Рамдор П. О широко распространенном парагенезисе рудных минералов, возникающих при серпентинизации // Геология рудн. месторождений. 1967. № 2. С. 32–43.
- Сибелев О.С. Декомпрессионные симплектиты в апоэклогитах Гридинской зоны меланжа (Беломорский подвижный пояс) // Геология и полезные ископаемые Карелии. 2010. Т. 13. С. 66–72.
- Хисина Н.Р., Лоренц К.А. Дегидрогенизация как механизм образования ориентированных шпинель-пироксеновых симплектитов и магнетит-гематитовых включений в оливинах земного и внеземного происхождения // Петрология. 2015. Т. 23. № 2. С. 195–208. https://doi.org/10.7868/S0869590315020065
- Adamo I., Bocchio R., Diella V., Pavese A., Vignola P., Prosperi L., Palanza V. Demantoid from Val Malenco, Italy: Review and update // Gems and Gemology. 2009. V. 45. P. 280–287. https://doi.org/10.5741/gems.45.4.280
- Adamo I., Bocchio R., Diella V., Caucia F., Schmetzer K. Demantoid from Balochistan, Pakistan: Gemmological and Mineralogical Characterization // J. Gemmol. 2015. V. 34. P. 428–433. https://doi.org/10.15506/JoG.2014.34.4.344
- Ahadnejad V., Krzemnicki M.S., Hirt A.M. Demantoid from Kerman Province, South-east Iran: A Mineralogical and Gemmological Overview // The J. Gemmology. 2022. V. 38. № 4. P. 329–347. https://doi.org/10.15506/JoG.2022.38.4.329
- Degi J., Abart R., Torok K., Wirth R., Rhede D. et al. Symplectite formation during decompression induced garnet breakdown in lower crustal mafic granulite xenoliths: mechanisms and rates // Contrib. Mineral. Petrol. 2010. № 159. P. 293–314.
- Efimov A.A., Malitch K.N. Magnetite-orthopyroxene symplectites in gabbros of the Urals: a structural track of olivine oxidation // Geology of Ore Deposits. 2012. V. 54. № 7. P. 531–539.
- Phillips W.R., Talantsev A.S. Russian demantoid, czar of the garnet family // Gems and Gemology. 1996. V. 32. № 2. P. 100–111. https://doi.org/10.5741/gems.32.2.100
- Kaneda H., Takenouchi S., Shol T. Stability of pentlandite in the Fe–Ni–Co–S system // Mineralium Deposita. 1986. V. 21. P. 169–180.
- Kissin A.Y., Murzin V.V., Karaseva E.S. “Horsetail” Inclusions in the Ural Demantoids: Growth Formations // Minerals. 2021. V. 11. № 8. P. 825. https://doi.org/10.3390/min11080825
- Lorand J.P. The behaviour of the upper mantle sulfide component during the incipient alteration of “Alpine"-type peridotites as illustrated by the Beni Bousera (Northern Morocco) and Ronda (Southern Spain) ultramafic bodies // Tschermaks Min. Petr. Mitt. 1985. V. 34. P. 183–209.
- Murzin V.V., Chudnenko K.V., Palyanova G.A., Varlamov D.A., Naumov E.A., Pirajno F. Physicochemical model of formation of Cu–Ag–Au–Hg solid solutions and intermetallic alloys in the rodingites of the Zolotaya Gora gold deposit (Urals, Russia) // Ore Geol. Rev. 2018. V. 93. P. 81–97. https://doi.org/10.1016/j.oregeorev.2017.12.018
- Murzin V., Palyanova G., Mayorova T., Beliaeva T. The Gold–Palladium Ozernoe Occurrence (Polar Urals, Russia): Mineralogy, Conditions of Formation, Sources of Ore Matter and Fluid // Minerals. 2022. V. 12, 765. https://doi.org/10.3390/ min12060765
- Rondeau B., Fritsch E., Mocquet B., Lulyac Y. Ambanja (Madagascar) – New source of gem demantoid garnet // InColor. 2009. V. 11. P. 16–20.
- Schwarzenbach E.M., Gazel E., Caddick M.J. Hydrothermal processes in partially serpentinized peridotites from Costa Rica: evidence from native copper and complex sulfide assemblages // Contrib Mineral Petrol. 2014. V. 168:1079.
- Sorokina E.S., Albert R., Botcharnikov R.E., Popov M.P., Häger T., Hofmeister W., Gerdes A. Origin of Uralian andradite (var. demantoid): Constraints from in situ U-Pb LA-ICP-MS dating and trace element analysis // Lithos. 2023. V. 444–445. 1070. https://doi.org/10.1016/j.lithos.2023.107091
Supplementary files













