Сульфидная и селенидная ЭПГ-минерализация в хромититах Дунжугурского офиолитового массива (Восточный Саян, Россия)
- Авторы: Киселева О.Н.1, Айриянц Е.В.1, Жмодик С.М.1, Белянин Д.К.1
-
Учреждения:
- Институт геологии и минералогии СО РАН им. В.С. Соболева
- Выпуск: Том 66, № 2 (2024)
- Страницы: 210-238
- Раздел: Статьи
- URL: https://journal-vniispk.ru/0016-7770/article/view/259846
- DOI: https://doi.org/10.31857/S0016777024020054
- EDN: https://elibrary.ru/yqkkgu
- ID: 259846
Цитировать
Полный текст
Аннотация
В статье приводятся первые данные о сульфидной и селенидной ЭПГ-минерализации, формировавшейся в подиформных хромититах на различных стадиях эволюции Дунжугурского офиолитового массива. Хромитовые тела локализованы в лиственитизированных апосерпентинитах, входящих в состав Дунжугурского офиолитового комплекса. Методом сканирущей электронной микроскопии изучены формы нахождения, микроструктурные особенности и состав минералов платиновой группы в хромититах. Обогащение хромититов тугоплавкими ЭПГ, платинометальная ассоциация сульфидов и Os-Ir-Ru интерметаллидов свидетельствуют о мантийных условиях формирования магматических минералов платиновой группы. При взаимодействии мантийных перидотитов и хромититов с As‒Sb содержащим флюидом, генерирующимся при дегидратации и плавлении субдуцирующей плиты, первичные минералы платиновой группы замещались сульфоарсенидами, сульфоантимонидами иридия. Самородный осмий формировался в результате десульфуризации магматических сульфидов ЭПГ на стадии серпентинизации, при участии восстановленных флюидов. Замещение Ru‒Os сульфидов селенидами этих металлов в хромититах могло произойти на этапах субдукции, либо обдукции, в условиях высокой фугитивности кислорода при воздействии кислых гидротермальных/метаморфогенных флюидов. Проведена качественная оценка физико-химических параметров формирования селенидов рутения. Значения фугитивности кислорода, оцененные по ассоциации магнетит-гематит, составляют log fO2 (–30.5) при 300оC и log fO2 (–40.5) при 200оC. Минимальное значение фугитивности серы принято по линии устойчивости лаурита при 300оC, log fS2 = –20. Максимальная фугитивность серы принята по области устойчивости сульфидов железа и никеля: log fS2 < –4.5 при 300оC и log fS2 < –10.5 при 200оC. Оценка фугитивности селена показала значения при T = 300оC logSe2 (-8) ÷ (–13), при T = 200°C log fSe2 (–12) до (–17). Au-Ag селениды формировались при T = 200оC, logfS2 (–9) ÷ (–10.5), log fSe2 оценивается от (–13.5) до (–20.5), log fO2 (–40). Важным фактором для возможности замещения Ru‒Os сульфидов селенидами является появление Se в рудоформирующей системе. Источником Se могло быть вещество субдуцирующего слэба – вулканогенно-осадочные породы, содержащие фрагменты гидротермально-осадочных сульфидных руд, обогащенных Se и вовлеченных в процессы магмогенерации и сопутствующую гидротермальную циркуляцию.
Ключевые слова
Полный текст
ВВЕДЕНИЕ
Основная форма существования Se в эндогенных условиях представлена либо собственными минералами селена, либо в виде изоморфного замещения серы в кристаллической решетке сульфидов (Эгель, 1962; Hattori et al., 2002). Кроме того, являясь рассеянным элементом, Se входит в качестве примеси в состав сульфидов, теллуридов и висмутидов (Эгель, 1962; Simon et al., 1997). Эти формы селена характерны для мантийных перидотитов и сульфидов вулканических пород (океанических базальтов) (Barnes, Mansur, 2022). Селениды, связанные с гидротермальными процессами, концентрируются преимущественно в вулканогенно-осадочных породах – в сульфидах колчеданных месторождений и “черных курильщиков” (Синдеева, 1959; Блинов, 2015); в осадочных породах (Бурьянова, 1969). Селенидная минерализация обнаружена в континентальной и подводной зонах окисления Южно-Уральских вулканогенно-колчеданных месторождений (Belogub et al., 2020).
Pt-Pd cелениды являются широко распространенными фазами в крупнейшем золоторудном месторождении с бонанцевыми рудами (Серра Пелада, Бразилия) с селеновой геохимической специализацией (Cabral et al., 20021). Другое крупное золоторудное месторождение с Pt-Pd-Se минерализацией связано с золотосодержащими гематитовыми жилами типа Джакутинга в итабиритах на железорудном месторождении Кауэ, Бразилия (Cabral et al., 20022). Pt-Pd самородки, обогащенные селеном, задокументированы в аллювиальной россыпи реки Коррего Бом Сусессо, провинция Минас Герайс, Бразилия (Cabral et al., 2006). Многочисленные селенидные ЭПГ фазы (Pt-Pd-Se) совместно с селенидами Ni, Co, Bi, Pb, Hg установлены в известном Au-Pt-Pd-U месторождении Коронэйшн Хилл, район Южный Аллигатор, Австралия (Wide et al., 1989; Mernagh et al., 1994). Pt-Pd cелениды, наряду с селен-содержащими сульфидами, сульфосолями, сульфатами и самородным Se, обнаружены в фумарольных отложениях вулкана Кудрявый (Курильские острова) (Yudovskaya et al., 2006). В целом, редкие зерна Pt и Pd селенидов встречаются в относительно низкотемпературных ассоциациях: метасланцах, метадоломитах, малахит-кварцевых жилах, метаосадочных породах, платиноносных россыпях (Jedwab et al., 1992; Полеховский и др., 1997; Nickel, 2002).
Селениды платиновых элементов Ir-подгруппы в природных объектах чрезвычайно редки и установлены в россыпях, в том числе формирующихся за счет золоторудных объектов. В золотоносных россыпях реки Ауник (Западное Забайкалье) установлены селениды иридия c примесями Os, Te (Airiyants et al., 2020), в аллювиальных россыпях Западного Саяна (Куртушубинский офиолитовый комплекс) соединения Ir(As, Se, S)2 (Толстых и др., 1997), (Pt, Rh)(As, Se, S), PtSe2 (Barkov et al., 2018), в аллювиальных россыпях Восточного Саяна – селениды и селено-арсениды Ir-ЭПГ (Kiseleva et al., 2021; Airiyants et al., 2022).
В данной работе представлены результаты исследования минералого-геохимических особенностей селенидов платиновых элементов Ir-подгруппы из коренных пород – подиформных хромититов, локализованных в лиственитизированных мантийных перидотитах, среди пород Дунжугурского офиолитового комплекса (Восточный Саян). Минералы платиновой группы (МПГ) представлены как традиционными Os–Ir–Ru интерметаллидами и Ru–Os сульфидами ряда лаурит-эрликманит, так и необычными для хромититов Ru–Os селенидами. Проведена качественная оценка физико-химических параметров формирования селенидной минерализации в хромититах.
Впервые приводятся петрохимические и минералого-геохимические характеристики (распределение ЭПГ, минеральный парагенезис и химический состав МПГ) лиственитов и хромититов, локализованных среди пород Дунжугурского офиолитового комплекса. Обсуждаются следующие вопросы: (1) с каким этапом эволюции и трансформации офиолитов и подиформных хромититов связано формирование различных платинометальных ассоциаций в Дунжугурском офиолитовом массиве; (2) влияет ли процесс лиственитизации на формирование селенидной минерализации в хромититах; (3) качественная оценка физико-химических параметров благороднометалльной ассоциации.
ГЕОЛОГИЧЕСКАЯ ПОЗИЦИЯ И СТРОЕНИЕ ДУНЖУГУРСКОГО ОФИОЛИТОВОГО КОМПЛЕКСА
Дунжугурский офиолитовый комплекс, расположенный в юго-восточной части Восточного Саяна, входит в структуру Тувино-Монгольского террейна Центрально-Азиатского складчатого пояса (ЦАСП). ЦАСП состоит из амальгамированных террейнов от архейского до мезопротерозойского возраста (Dobretsov et al., 2003; Жмодик и др., 2006; Windley et al., 2007; Gordienko et al., 2021), которые были тектонически совмещены в период неопротерозойской аккреционной орогении (фиг. 1). Наиболее ранние этапы формирования ЦАСП связаны с развитием Палеоазиатского океана, открытого в ходе позднерифейского раскола суперконтинента Лавразия на Сибирский и Лаврентийский кратоны и ряд микроконтинентов (Dobretsov et al., 2003; Гордиенко и др., 2021). События континентального рифтинга, субдукции океанической коры и формирование окраинных бассейнов начались около 1000 млн лет назад и завершились примерно 570 млн лет назад (Windley et al., 2007).
Дунжугурский офиолитовый комплекс, расположенный на западной окраине Гарганского блока, представляет собой фрагмент офиолитовых комплексов, которые распространены в юго-восточной части Восточного Саяна в виде деформированных тектонических покровов, надвинутых на Гарганскую глыбу (фиг. 1). Массив сложен породами офиолитовой ассоциации и островодужных комплексов. В его структуре выделяется три тектонических покрова, разбитых на ряд чешуй (Геология …, 1988) (фиг. 2). Нижний покров представлен расслоенным, габбровым и дайковым комплексами. Средний покров сложен базальтами, андезитами и черными сланцами ильчирской свиты. Офиолитовые породы (дайковый и вулканический комплекс) Дунжугурского массива представлены андезито-базальтами известково-щелочной серии. Установлены дайки и отдельные лавовые потоки, сложенные породами бонинитовой серии (Скляров и др., 2016; Khain et al., 2002; Kuzmichev, 2015). Верхний покров сложен реститовыми серпентинизированными гарцбургитами, серпентинизированными и лиственитизированными дунитами с линзами и жилами подиформных хромититов. Возраст Дунжугурского офиолитового массива и одноименной островной дуги оценивается как мезо-неопротерозойский MP3–PR2–3 – 1100–800 млн лет (Khain et al., 2002). Считается, что на рубеже около 800 млн лет произошла обдукция Дунжугурских офиолитов на Гарганский континентальный блок (Kuzmichev, 2015).
Фиг. 1. Упрощенная схема структурно-вещественных комплексов северо-восточного сегмента ЦАСП (по Kuzmichev, 2015). Условные обозначения: 1–2 Гарганская глыба: 1 – фундамент (AR-PR), 2 – чехол (>790 млн лет); 3 – офиолиты (MP3-PR2–3); 4 – Сумсунурские тоналиты (PR3); 5 – вулканогенно-осадочные породы (PR3); 6 – Сархойский комплекс, граниты (О1–2); 7 – тектонические контакты; 8 – надвиги.
Фиг. 2. Фрагмент геологической схемы Боксонского участка Дунжугурского офиолитового комплекса (по Kuzmichev, 2015).
Тектонический контакт офиолитов и чехла Гарганского континентального блока представляет собой чередование линз апосерпентинитовых кварц-тальк-магнезитовых метасоматитов, лиственитов и талькитов со сланцами ильчирской свиты. На правом борту р. Ока установлены выходы серпентинитов, кварц-тальк-магнезитовых апосерпентинитов с телами хромититов и лиственитов (фиг. 2).
В зоне контакта серпентинитов и вулканогенно-осадочной толщи наблюдаются зоны интенсивного катаклаза (фиг. 3а–в). Зоны лиственитизации на рассматриваемом участке приурочены к серпентинизированным мантийным перидотитам. Мощность зоны тектонического меланжа составляет несколько сотен метров.
Фиг. 3. Фото обнажений площади на участке опробования: (а) выходы серпентинитов и кварц-тальк-магнезитовых апосерпентинитов; (б) зона тектонического меланжа – катаклазированные и меланжированные серпентиниты; (в) шлировидные обособления хромитита в кварц-тальк-магнезитовом апосерпентините.
МАТЕРИАЛЫ И МЕТОДЫ ИССЛЕДОВАНИЯ
Хромититы отбирались из коренных линзовидных и шлировых обособлений хромитовых тел в кварц-тальк-магнезитовом апосерпентините. Для геохимических и минералогических исследований были отобраны четыре пробы густовкрапленных и массивных хромититов, которые анализировались на содержание ЭПГ в породе.
Микроэлементный состав пород определялся с использованием синхротронного излучения (методом РФА-СИ) на оборудовании ЦКП “СЦСТИ” на базе УНУ “Комплекс ВЭПП – 4–2000” в ИЯФ СО РАН, оснащенной Si(Li) полупроводниковым детектором производства фирмы “Oxford Instruments” с площадью кристалла 10 мм2 и энергетическим разрешением 160 эВ (на линии 5.9 кэВ) с двухкристальным монохроматором из пиролитического графита, позволяющим генерировать первичное излучение в диапазоне энергии от 15 до 47 кэВ (Piminov et al., 2016) (аналитик Ю.П. Колмогоров).
Содержание элементов платиновой группы в хромититах и кварц-тальк-магнезитовом апосерпентините определялось микропробирным методом ИСП-МС с предварительным концентрированием на никелевый штейн в аналитической лаборатории ЦНИГРИ (г. Москва). Пределы обнаружения: 2 мг/т для Os, Ir, Ru, Rh и 5 мг/т для Pt, Pd.
Для изучения микроструктурных особенностей и химического состава минералов платиновой группы in situ было подготовлено 3 препарата-пластинки (аншлифы). В связи с тем, что ЭПГ в хромититах распределены крайне неравномерно и в аншлифах обнаружить МПГ не всегда удается, то в качестве основного способа изучения ЭПГ минерализации в хромититах было использовано промывание крупнообъемных проб густовкрапленных и массивных руд и выделение тяжелого концентрата. Всего промыто четыре крупнообъемных пробы хромититов общей массой 10 кг, тяжелая фракция монтировалась в шашки – 6 шт. Проанализировано 35 зерен платинометальных фаз.
Химический состав минералов определялся на электронно-сканирующем микроскопе с термополевой эмиссией Tescan-MIRA 3 LMU. Условия проведения анализов: ускоряющее напряжение 20 кВ, ток зонда 1.6 нА. Линия L и химически чистые элементы были использованы в качестве стандартов для Pd, Rh, Ru, Ag, Sb, Se (соединения PtAs2 и HgTe для As и Te). Линия K и чистые элементы использованы для Fe, Cu, Ni и Co (FeS2 для S). Линия M (или линия L в соответствующих случаях) и чистые элементы использованы для Pt, Ir, Os и Au (аналитик М.В. Хлестов). В хромшпинелидах содержание FeO и Fe2O3 рассчитывалось из FeOtot по стехиометрии.
РЕЗУЛЬТАТЫ
Петрография вмещающих пород и руд
Листвениты характеризуются полным разложением серпентина с формированием карбонат-кварцевых пород с рассеянной рудной вкрапленностью (магнетит, гематит, хромшпинелид, пирит FeS2, борнит Cu5FeS4, зигенит (Ni, Co)3S4, полидимит NiNi2S4), присутствуют единичные зерна барита. Рудовмещающие кварц-тальк-магнезитовые апосерпентиниты имеют лепидо-гранобластовую структуру. Текстура пород неоднородная, пятнистая, содержит жильные, линзообразные и шлирообразные обособления (3–10 см), густовкрапленных и массивных хромититов (фиг. 3в). Минеральный состав рудовмещающих апосерпентинитов представлен магнезит-брейнеритом, серпентином, Ni-серпентином, тальком, небольшим количеством кварца; по трещинам в породе развивается Cr-содержащий хлорит (кеммерерит, 6–10 мас.% Cr2O3), установлены единичные находки мелкозернистого агрегата калиевого полевого шпата.
Хромититы имеют гипидиоморфнозернистую и аллотриаморфнозернистую структуры. Некоторые из них имеют катакластическую структуру, которая характеризуется наличием расщепленных, раздробленных, деформированных зерен хромшпинелидов. Текстуры хромититов – густовкрапленные, полосчатые, шлировые и массивные.
Акцессорная минерализация в хромититах представлена, главным образом, сульфидами и арсенидами никеля. Присутствуют единичные микрочастицы фишессерит – наумманитового ряда (Ag3AuSe2) – (Ag2Se), Au-Ag сплавы (табл. 1), таэнит (Ni, Fe), пирит (FeS2), киноварь (HgS), уранинит (UO2). Несмотря на небольшое количество анализов самородного золота, по составу выделяется четыре группы соединений Au-Ag (в мас. %): 1 – весьма высокопробное (98.99 Au); 2 – высокопробное (от 90.64 до 93.8 Au и от 4.54 до 9.86 Ag); 3 – умеренно-высокопробное (от 82.92 до 88.79 Au и от 7.74 до 15.59 Ag); 4 – весьма низкопробное, высокосеребристое золото (от 56.0 до 57.33 Au и от 39.01 до 4.53 Ag), содержащее медь (2.73 ‒ 2.83 Cu) (Петровская, 1973). Установлены необычные для хромититов Ru–Os селениды. Платинометальная минерализация будет детально обсуждена ниже в соответствующем разделе.
Таблица 1. Химический состав самородного Au, Au-Ag сплавов и селенидов (мас. %) в хромититах Дунжугурского массива
3–1_4–3 | 3–2_7 2–1 | 3–2_7 2–2 | 3–1_4–1 | 3-C_5–2 | Pl 1_7–1 | 3–1_3 2–3 | 3–1_3 2–4 | 3-C_5–1 | 3-C_5–2 | 3-C_10–1 | 3-C_10–2 | |
Au | 98.99 | 93.80 | 91.18 | 90.64 | 88.79 | 88.31 | 87.45 | 82.93 | 56 | 54.24 | 20.87 | ‒ |
Ag | ‒ | 4.54 | 4.19 | 9.86 | 7.74 | 9.05 | 12.05 | 15.59 | 39.01 | 42.53 | 53.49 | 68.5 |
Fe | ‒ | ‒ | ‒ | ‒ | ‒ | ‒ | ‒ | ‒ | 0.31 | 0.2 | ‒ | ‒ |
Ni | ‒ | ‒ | ‒ | ‒ | ‒ | ‒ | ‒ | ‒ | ‒ | ‒ | ‒ | ‒ |
Cu | ‒ | ‒ | ‒ | ‒ | ‒ | ‒ | ‒ | ‒ | 2.87 | 2.73 | ‒ | ‒ |
S | ‒ | ‒ | ‒ | ‒ | ‒ | ‒ | ‒ | ‒ | ‒ | ‒ | 0.51 | 0.41 |
Se | ‒ | ‒ | ‒ | ‒ | ‒ | ‒ | ‒ | ‒ | ‒ | ‒ | 25.3 | 29.49 |
Total | 98.99 | 98.34 | 95.37 | 100.5 | 96.53 | 97.36 | 99.5 | 98.52 | 98.19 | 99.7 | 100.17 | 98.4 |
Примечание: “‒” содержание элементов ниже предела обнаружения.
Геохимические особенности пород
Микроэлементный состав лиственитов, кварц-тальк-магнезитового апосерпентинита и хромитита представлен в табл. 2. Примечательной особенностью состава является присутствие Se в хромитите в концентрации 11 г/т. Также Se установлен в сульфидизированных черносланцевых толщах и оруденелом метабазите ильчирской свиты с содержанием от 7 до 213 г/т, в то время как в лиственитах и кварц-тальк-магнезитовом апосерпентините Se отсутствует.
Таблица 2. Микроэлементный состав лиственитов, рудовмещающего кварц-тальк-магнезитового апосерпентинита, хромитита Дунжугурского офиолитового массива и черных сланцев ильчирской свиты (г/т)
Г/т | 1 | 2 | 3 | 4 | 5 | 6 | 7 | 8 |
V | ‒ | 5.29 | ‒ | 1257 | 19.3 | 149 | 273 | 31.4 |
Ni | 2967 | 5064 | 3822 | 1123 | 132 | 116 | 180 | 192 |
Cu | 17 | 13.9 | 7.62 | 7.09 | 47.4 | 72 | 42.8 | 114 |
Zn | 42 | 29 | 23.3 | 1064 | 85 | 86 | 78 | 460 |
Ga | 1.78 | 0.57 | 0.29 | 4.63 | 3.08 | 8.3 | 8.42 | 29.0 |
Ge | 1.51 | 0.99 | ‒ | ‒ | 2.23 | 1.56 | ‒ | 88.0 |
Se | ‒ | ‒ | ‒ | 11.3 | 6.59 | 10.5 | 18.6 | 213.0 |
Sr | 20.5 | 1.22 | 0.63 | ‒ | 74 | 43.9 | 38.5 | 2.5 |
Zr | ‒ | ‒ | ‒ | 1.24 | 17.6 | 51.8 | 72 | 7.2 |
Mo | 0.93 | 1.73 | 0.86 | ‒ | 14.6 | 24 | 25.2 | 7.1 |
Pb | 8.7 | 6.2 | 6.8 | ‒ | 11.7 | 22.9 | 51 | 142.0 |
Sb | ‒ | ‒ | ‒ | 5.67 | 4.35 | 17.6 | 39.1 | 534.0 |
Cd | ‒ | ‒ | ‒ | 0.86 | 0.89 | 1.47 | 0.31 | 19.80 |
Ag | ‒ | ‒ | ‒ | 0.37 | 1.07 | 1.44 | 4.07 | 44.90 |
Примечание: “‒” содержание элементов ниже предела обнаружения. 1–4 –Дунжугурский массив: 1,2 – листвениты, 3–кварц-тальк-магнезитовый апосерпентинит, 4–хромитит; 5–7–сульфидизированные черные сланцы ильчирской свиты, 8 – оруденелелый метабазит. Анализы выполнены методом РФА-СИ (аналитик Ю.П. Колмогоров).
Содержание ЭПГ в рудовмещающем апосерпентините составляет 0.2 г/т (табл. 3), при преобладании Pt-ЭПГ (PPGE) над Ir-ЭПГ (IPGE), PPGE/IPGE = 11.5. В хромититах диапазон содержаний ЭПГ выше, чем в апосерпентинитах, и варьирует от 0.28 до 0.55 г/т, с хорошо выраженным максимумом по Ru в хондрит-нормализованных спектрах распределения (табл. 3. фиг. 4).
Таблица 3. Содержание ЭПГ в рудовмещающем апосерпентините и хромититах (г/т) Дунжугурского офиолитового массива
Порода | Образец | Os | Ir | Ru | Rh | Pt | Pd | Total | PPGE/IPGE |
Кварц-тальк магнезитовый метасоматит | ВСЖ-1–17 | 0.003 | 0.004 | 0.009 | 0.012 | 0.055 | 0.117 | 0.2 | 11.50 |
хромитит 70–80 об.% | Бок-3–12 | 0.06 | 0.061 | 0.161 | 0.016 | 0.061 | 0.193 | 0.552 | 0.96 |
хромитит 90 об.% | ВС-6–17 | 0.064 | 0.063 | 0.178 | 0.016 | 0.054 | 0.121 | 0.496 | 0.63 |
хромитит 70–80 об.% | ВС-14–17 | 0.03 | 0.036 | 0.073 | 0.009 | 0.041 | 0.085 | 0.275 | 0.96 |
Примечание: об.% – объемный процент хромшпинелида в хромитите. Анализы выполнены микропробирным методом ИСП-МС в ЦНИГРИ (г. Москва).
Фиг. 4. Распределение ЭПГ, нормированные на С1 (Naldrett, Duke, 1980) в рудовмещающем кварц-тальк-магнезитовом апосерпентините и хромититах Дунжугурского массива; лиственит Оспино-Китойского массива (Дамдинов, 2004).
Химические особенности хромшпинелидов
Хромшпинелиды в лиственитах имеют состав, соответствующий хромиту (в мас. %): 4–8.7 Al2O3, 59–67 Cr2O3, 16–29 FeO, 1–2.3 Fe2O3, 8–11 MgO, до 0.6 ZnO (фиг. 5а). Зерна по периферии и в участках трещиноватости замещаются магнетитом, редко гематитом.
Рудные хромшпинелиды из жил и шлировых обособлений соответствуют хромиту и алюмохромиту (фиг. 5а). Химический состав (мас. %): 5–14 Al2O3, 55–64 Cr2O3, 12–27 FeO, 0.6–9 Fe2O3, 7–14 MgO, до 0.2 V2O3, до 1 ZnO (табл. 4). По химическому составу хромшпинелиды Дунжугурского массива более хромистые, чем хромшпинелиды Оспино-Китойского массива (фиг. 5б).
Фиг. 5. Классификационные диаграммы хромшпинелидов: (а) Дунжугурский офиолитовый массив: 1, 2 – хромшпинелиды и магнетиты из лиственитов и рудовмещающего кварц-тальк-магнезитового апосерпентинита, 1 – хромиты, 2 – каймы магнетита; 3 – рудные хромишпинелиды; 4 – рудные хромшпинелиды в парагенезисе с платинометальными фазами; 5 – хромит с включением селенида рутения; 6 – катаклазированные хромиты; 7 – реликты хромита в гематите; (б) рудные хромшпинелиды Оспино-Китойского офиолитового массива (Киселева и др., 2014; Kiseleva et al., 2017), Северная пластина: 1 – участок Харьх; Южная пластина, участки: 2 – Ильчирский, 3 – Змеевиковый, 4 – Хуша-Гол, 5 – хромититы из углеродизированных гипербазитов. На диаграммах поля составов построены по Н.В. Павлову (Павлов и др., 1968): I – хромит, II – алюмохромит, III – хромпикотит, IV – субферрихромит, V – субферриалюмохромит, VI – феррихромит, VII – субалюмоферрихромит, VIII – хроммагнетит, IX – субалюмохромагнетит, X – магнетит.
Таблица 4. Химический состав акцессорных и рудных хромшпинелидов Дунжугурского офиолитового массива (мас.%)
№ ан. | Al2O3 | Cr2O3 | FeO | MnO | Fe2O3 | MgO | V2O3 | ZnO | NiO | Total | Al# | Cr# | Mg# | Z | f | Fe2+/Fe3+ | |
4–1 | 1 | 5.35 | 67.13 | 16.05 | – | 1.09 | 10.91 | – | 0.56 | – | 101.1 | 0.11 | 0.89 | 0.55 | 1.37 | 0.61 | 16.3 |
1–1 | 2 | 8.69 | 60.26 | 21.04 | 0.44 | 1.98 | 7.86 | – | – | – | 100.27 | 0.18 | 0.82 | 0.4 | 2.51 | 0.75 | 11.83 |
2–1 | 3 | 4.4 | 63.02 | 29.41 | – | 0.85 | 1.94 | – | 0.46 | – | 100.1 | 0.09 | 0.91 | 0.11 | 1.14 | 0.94 | 38.67 |
4–2 | 4 | – | 1.42 | 31.41 | – | 68.33 | – | – | – | – | 101.16 | – | 0.02* | – | 97 | 1 | 0.51 |
2–2 | 5 | 0.53 | 2.21 | 30.08 | – | 63.72 | – | – | – | – | 96.54 | 0.01* | 0.03* | – | 95 | 1 | 0.52 |
3–1 | 6 | 8.79 | 59.56 | 20.36 | – | 2.17 | 8.41 | – | 0.32 | – | 99.6 | 0.18 | 0.82 | 0.42 | 2.76 | 0.73 | 10.42 |
4–5 | 7 | 9.09 | 58.52 | 20.11 | 0.31 | 2.52 | 8.52 | 0.12 | – | – | 99.19 | 0.19 | 0.81 | 0.43 | 3.22 | 0.73 | 8.87 |
1–8 | 8 | 7.65 | 55.29 | 14.63 | 0.66 | 9.81 | 7.45 | 0.24 | – | – | 95.72 | 0.17 | 0.83 | 0.48 | 12.28 | 0.77 | 1.66 |
4–8 | 9 | 8.86 | 59.17 | 21.86 | – | 2.37 | 7.31 | – | – | – | 99.57 | 0.18 | 0.82 | 0.37 | 3.02 | 0.77 | 10.25 |
4–12 | 10 | 8.90 | 58.86 | 21.02 | – | 2.4 | 7.76 | – | 0.36 | – | 99.3 | 0.18 | 0.82 | 0.4 | 3.07 | 0.75 | 9.72 |
2–5 | 11 | 5.23 | 64.02 | 21.87 | 0.71 | 1.56 | 6.77 | – | – | – | 100.16 | 0.11 | 0.89 | 0.36 | 2.02 | 0.78 | 15.59 |
2–1 | 12 | 8.58 | 59.4 | 19.97 | – | 2.58 | 8.59 | – | – | – | 99.12 | 0.18 | 0.82 | 0.43 | 3.29 | 0.72 | 8.59 |
2–4 | 13 | 12.09 | 55.01 | 19.27 | – | 1.77 | 8.49 | – | – | 0.95 | 97.6 | 0.25 | 0.75 | 0.44 | 2.26 | 0.71 | 12.07 |
4–10 | 14 | 12.96 | 57.54 | 13.03 | 0.61 | 13.28 | 0.21 | – | – | 97.63 | 0.25 | 0.75 | 0.65 | 0.74 | 0.51 | 23.92 | |
4–11 | 15 | 13.02 | 58.14 | 15.35 | 0.35 | 0.76 | 12.01 | 0.22 | – | – | 99.84 | 0.25 | 0.75 | 0.58 | 0.92 | 0.57 | 22.56 |
12–9 | 16 | 13.72 | 56.69 | 11.48 | 0.36 | 2.56 | 14.51 | 0.19 | – | – | 99.51 | 0.27 | 0.73 | 0.69 | 3.06 | 0.49 | 4.98 |
2–4 | 17 | 14.47 | 57.48 | 13.25 | – | 0.07 | 13.55 | – | – | – | 98.83 | 0.27 | 0.73 | 0.65 | 0.08 | 0.50 | 210.33 |
3–5 | 18 | 8.35 | 58.68 | 20.41 | – | 1.58 | 7.81 | – | – | – | 96.84 | 0.18 | 0.82 | 0.41 | 2.07 | 0.74 | 14.36 |
1–2 | 19 | 8.43 | 51.51 | 27.2 | – | 5.99 | 2.72 | – | 1.06 | – | 96.9 | 0.20 | 0.8 | 0.15 | 8.17 | 0.92 | 5.04 |
5–5 | 20 | 8.54 | 57.92 | 21.3 | – | 2.74 | 7.48 | – | – | – | 97.98 | 0.18 | 0.82 | 0.38 | 3.56 | 0.76 | 8.64 |
16–5 | 21 | 14.15 | 59.39 | 14.07 | – | 1.06 | 13.40 | – | – | 0.53 | 102.6 | 0.26 | 0.74 | 0.63 | 1.24 | 0.53 | 14.75 |
16–6 | 22 | 9.4 | 54.36 | 17.5 | – | 9.80 | 8.00 | – | – | 0.52 | 99.58 | 0.20 | 0.8 | 0.45 | 12.01 | 0.77 | 1.98 |
11–10 | 23 | 7.6 | 54.25 | 16.39 | 0.66 | 5.68 | 6.95 | – | – | 4.63 | 96.16 | 0.17 | 0.83 | 0.43 | 7.61 | 0.76 | 3.21 |
Примечание: Al# = Al/(Al + Cr), Cr# = Cr/(Cr + Al), Mg# = Mg/(Mg + Fe) (мол.%), Z = Fe2O3/(Fe2O3 + Cr2O + Al2O3) f = (FeO + Fe2O3)/(FeO + Fe2O3 + MgO) (мас.%); * – хромшпинелиды с высоким содержанием Fe2O3, для них Cr#=Cr/(Cr + Al + Fe3+), Al# = Al/(Al + Cr + Fe3+).
Хромшпинелиды, находящиеся в парагенезисе с платинометальными фазами, соответствуют по составу низкоглиноземистым хромитам. Катаклазированнные зерна хромшпинелидов, располагающиеся в поле хромита, характеризуются низким содержанием Al2O3 и пониженным содержанием Mg O. В участках интенсивного катаклаза хромита развивается Cr-Ni-содержащий магнетит.
Хромшпинелиды имеют отрицательную корреляцию между Cr2O3 и Al2O3, а также между хромистостью Cr# и магнезиальностью Mg# (толеитовый тренд), что типично для подиформных хромититов из офиолитов (фиг. 6а, б). Отрицательная корреляция между Al2O3-Fe2+/Fe3+ и отношениями других химических параметров состава хромитов, представленных на фиг. 6д–е, характеризует ряд постмагматических процессов, которые будут обсуждаться далее в разделе “Обсуждение”.
Фиг. 6. Бинарные диаграммы для хромшпинелидов: (а) Al2O3 – Cr2O3 (мас. %); (б) Mg# – Cr#, Mg# = Mg/(Mg + Fe), Cr# = Cr/(Cr + Al) (мол. %); (в) Al2O3 (мас. %) – Fe2+/Fe3+ (ат. %); (г) Y – f, Y = Cr2O3/(Cr2O3 + Al2O3) (мас. %),(f) = (FeO + Fe2O3)/(FeO + Fe2O3 + MgO) (мас. %); (д) f – Z, Z = Fe2O3/(Fe2O3+ Cr2O + Al2O3) (мас. %); (е) Y – Z.
ЭПГ-минерализация в хромититах
Минералы ЭПГ представлены характерной для подиформных хромититов ассоциацией: Os-Ir-Ru интерметаллидами, сульфидами ряда лаурит – эрликманит (Ru, Os)S2, самородным осмием, ирарситом (IrAsS), толовкитом (IrSbS) и “экзотическими” для хромититов фазами – Ru–Os селенидами (Ru, Os)Se2.
Os-Ir-Ru интерметаллиды имеют химический состав (мас. %): 24–54 Os, 21–65 Ir, 2–52 Ru, Ru/Os варьирует от 0.07 до 2 (табл. 5). На классификационной диаграмме составы интерметаллидов лежат в полях составов осмия, иридия и рутения (фиг. 7а). Интерметаллиды встречаются в виде небольших (10 × 20 микрон) зерен изометричной формы (фиг. 8а, фиг. 11в) и часто замещаются ирарситом (фиг. 8б), либо входят в состав полифазных агрегатов в парагенезисе с (Os, Ru)S2, Ir(S, As, Sb) и (Ru, Os)Se2. В единичных случаях Os-Ir-Ru интерметаллиды образуют срастания с RuSe2 (фиг. 8в).
Таблица 5. Химический состав Os-Ir-Ru интерметаллидов из хромититов Дунжугурского офиолитового массива (мас.%)
Образец | № ан. | Минерал | Os | Ir | Ru | Rh | Fe | Ni | Сумма | Ru/Os | Примечание |
6–1 | 1 | Os-Ir-Ru | 28.47 | 61.82 | 7.67 | 2.17 | 0.41 | 0.28 | 100.82 | 0.26 | Фиг. 8 а |
9–1 | 2 | Os-Ir-Ru | 54.24 | 41.99 | 4.08 | 0.67 | 0.34 | – | 101.32 | 0.07 | Фиг. 11 в |
1–18–1 | 3 | Os-Ir-Ru | 46.02 | 40.25 | 13.19 | 1.06 | 0.49 | – | 101.01 | 0.29 | Фиг. 8 в |
9–2 | 4 | Ru-Os-Ir | 24.11 | 21.06 | 50.52 | 1.43 | – | 97.12 | 2.1 | Фиг. 8 г | |
14–1 | 5 | Самородный Os | 88.55 | – | – | – | 0.79 | 89.34 | Фиг. 8 е | ||
1_5–2 | 6 | Самородный Os | 85.31 | 9.87 | 2.2 | – | – | 97.38 | Фиг. 8 д | ||
Атомные пропорции | |||||||||||
6–1 | 1 | Os-Ir-Ru | 25.79 | 55.42 | 13.07 | 3.63 | 1.26 | 0.83 | 100 | ||
9–1 | 2 | Os-Ir-Ru | 51.23 | 39.25 | 725 | 1.18 | 1.09 | 100 | |||
1–18–1 | 3 | Os-Ir-Ru | 40.26 | 34.85 | 21,71 | 1.72 | 1.46 | 100 | |||
9–2 | 4 | Ru-Os-Ir | 22.78 | 16.06 | 61.16 | 100 | |||||
14–1 | 5 | Самородный Os | 97.03 | 2.97 | 100 | ||||||
1_5–2 | 6 | Самородный Os | 84.66 | 9.53 | 3.76 | 100 | |||||
Фиг. 7. Классификационная диаграмма для минералов платиновой группы из хромититов Дунжугурского массива и аллювиальной россыпи р. Китой: (а) Os-Ir-Ru интерметаллидов; (б) Ru-Os сульфидов (поля составов по Cabri, 2002).
Фиг. 8. Снимки СЭМ зерен МПГ из хромититов Дунжугурского офиолитового массива: (а) высокотемпературный Os-Ir-Ru интерметаллид (табл. 5, ан. № 1); (б) реликт Os-Ir-Ru интерметаллида, замещается ирарситом IrAsS (табл. 7, ан. № 1); в) срастание Os-Ir-Ru интерметаллида (табл. 5, ан. № 3) с селенидом рутения RuSe2 (табл. 8, ан. № 2); г) реликт Ru-Ir-Os интерметаллида (табл. 5, ан. № 4) замещается (Ru, Os, Ir)Se2 (табл. 8, ан. № 13); д) самородный Os (табл. 5, ан. № 6); е) полифазный агрегат ирарсита (табл. 7, ан. № 2), хизлевудита, самородного осмия (табл. 5, ан. № 5).
Аббревиатура: Irs – ирарсит IrAsS, Os – самородный осмий, Hzl – хизлевудит (Ni3S2).
Составы самородного Os на классификационной диаграмме интерметаллидов группируются в области крайнего члена – вершины осмия (табл. 5, фиг. 7а). Проявления самородного Os включают эмульсионные микрочастицы в лаурите (фиг. 9в), ирарсите, хизлевудите (фиг. 8е), в полифазных агрегатах в парагенезисе с ирарситом, толовкитом, хизлевудитом. Реже самородный Os встречается в форме отдельных зерен (25 × 100 микрон), для которых характерна “рыхлая” микроструктура зерна (фиг. 8д).
Фиг. 9. Снимки СЭМ зерен МПГ: (а) зерно лаурита-эрликманита (Ru, Os)S2 (табл. 6, ан. № 2) с каймой (Ru, Os)Se2 (табл. 8, ан. № 4); (б) включение лаурита-эрликманита (Ru, Os)S2 (табл. 6, ан. № 1) в хромшпинелиде, по кристаллографическим направлениям в лаурите-эрликманите развивается (Ru, Os)Se2 (табл. 8, ан. № 1), селенид формирует кайму вокруг лаурита-эрликманита; (в) лаурит с микрочастицами самородного Os, в зерне по трещинкам – (Ir, Ru)(S, As, Sb, Se), кайма (Ru, Os)Se2 (табл. 8, ан. № 10); (г) лаурит-эрликманит (табл. 6, ан. №№ 3,4) с микрочастицами (Ir, Ru, Os)(S, Sb, Se) (табл. 7, ан. № 6) и кайма (Ru, Os, Ir)Se2 (табл. № 8, ан. № 8); (д) срастание Os-Ir-Ru интерметаллида и лаурита (табл. 6, ан. № 10), замещается толовкитом IrSbS и RuSe2 (табл. 8, ан. № 7); (е) полифазный агрегат состоящий из маухерита, хромита, серпентина, в маухерите микровключения лаурита (табл. 6, ан. № 13) и фазы ЭПГ непостоянного состава (Ir, Rh, Ni, Pt, Pd, As, Sb, S). Аббревиатура: Lrt – лаурит RuS2, Erl – эрликманит OsS2, Tol – толовкит IrSbS, Chr – хромит, Muc – маухерит Ni11As8, Srp – серпентин.
Ru–Os cульфиды ряда лаурит-эрликманит (Os, Ru)S2 редко встречаются в хромшпинелиде в мономинеральных включениях (фиг. 8а, б), чаще всего они входят в состав полифазных срастаний (фиг. 9в–д), состоящих из минералов: лаурит-эрликманит, Os-Ir-Ru интерметаллид, Ru–Os селенид, Ir–Ru сульфоантимонид и Os самородный, находящихся в различных количественных соотношениях (фиг. 9в). Лаурит-эрликманит установлен в составе полифазного агрегата, состоящего из маухерита, магнезита, серпентина и ЭПГ-фаз непостоянного состава, содержащих Ir, Rh, Ni, Pt, Pd, As, Sb, S (фиг. 9е). Лаурит-эрликманит встречается как “реликтовый” минерал в селенидах (фиг. 9в). Практически повсеместно зерна (Ru, Os)S2 имеют кайму Ru-Os селенида. Кайма может иметь четкие границы, либо селенид, проникая по ослабленным трещиноватым участкам внутрь зерна сульфида, формирует структуры замещения (фиг. 9а–д). На классификационной диаграмме точки составов сульфидов лежат в поле лаурита, составы обогащены лауритовым компонентом (фиг. 7б, табл. 6). Лаурит-эрликманит имеет неоднородный состав. Включения лаурита в хромшпинелиде имеют состав (мас. %): 40–53 Ru, 11–21 Os, 4–8 Ir, 17–34 S, присутствует небольшая примесь Rh, Fe, Ni. На контакте лаурита-эрликманита и селенида содержание Se увеличивается от 0.8 до 5 мас. %. Химический состав реликтовых участков сульфидов (мас. %): 4–57 Ru, 2–21 Os, 2–8 Ir, 17–34 S, до 13 Se, а также отмечается небольшая примесь Rh, Pd, Fe, Ni и As. В краевой части зерен сульфидов часто увеличивается содержание примесей Fe, As, Sb и Se. Лаурит из полифазного агрегата с хромитом, серпентином, маухеритом (фиг. 9е) имеет состав, богатый Ru, и не содержит Os (мас. %): 54–56 Ru, 34–36 S, присутствует примесь Rh от 2.5 до 3 мас.%. В других сульфидах содержание Rh очень низкое (не превышает 0.5 мас. %), Pd до 0.5 мас. % и повышенное содержание As от 3 до 4 мас. %.
Таблица 6. Химический состав лаурита-эрликманита и Se-содержащих Ru-Os сульфидов из хромититов (мас.%)
Os | Ir | Ru | Rh | Pd | Fe | Ni | S | Se | As | Sb | Сумма | Примечание | ||
3_3б_5–3 | 1 | 12.33 | 6.08 | 53.22 | – | – | 1.54 | – | 19.41 | 3.91 | – | – | 96.5 | Фиг. 9б В ассоциации с RuSe2 |
4_1 | 2 | 20.66 | 3.68 | 40.81 | 0.56 | – | 0.19 | – | 33.73 | – | – | – | 99.6 | Фиг. 9а Кайма RuSe2 |
12б_1–4 | 3 | 19.20 | 6.65 | 43.04 | – | – | – | – | 24.35 | 5.38 | 0.7 | – | 99.3 | Фиг. 9г В ассоциации с RuSe2 |
12б_1–2 | 4 | 5.21 | 54.24 | – | – | – | – | 32.31 | 3.33 | 1.03 | – | 96.1 | Фиг. 9г | |
12б_7–2 | 5 | 20.63 | 8.39 | 41.42 | – | 0.31 | – | 0.46 | 24.75 | 3.88 | 1.8 | – | 101.6 | Кайма RuSe2 |
12б_7–3 | 6 | 17.28 | 6.61 | 40.79 | – | 0.46 | 0.27 | 0.6 | 21.45 | 13.32 | 1.65 | – | 102.4 | Кайма RuSe2 |
3–2_10–3 | 7 | 12.71 | 7.32 | 52.54 | – | – | 0.76 | 0.41 | 24.88 | – | 0.82 | – | 99.4 | Фиг. 11г В ассоциации с RuSe2 |
12б_5–5 | 8 | 6.71 | 2.30 | 56.30 | – | – | 0.50 | 0.76 | 31.73 | 1.51 | 0.4 | – | 100.2 | Кайма RuSe2 |
12б_9–1 | 9 | 15.13 | 4.92 | 51.27 | – | 0.53 | 0.41 | 0.54 | 26.34 | 2.33 | 0.38 | – | 101.9 | Фиг. 11б В ассоциации с RuSe2 |
3–2_9–5 | 10 | 16.23 | 8.59 | 44.77 | – | – | – | 0.61 | 29.91 | – | – | – | 100.1 | Фиг. 9д В ассоциации с RuSe2 |
3–2_13–1 | 11 | 4.29 | 3.06 | 55.49 | – | – | 0.28 | 0.60 | 32.53 | – | – | – | 96.3 | Фиг. 11а В ассоциации с RuSe2 |
3–2_13–2 | 12 | 14.02 | 5.35 | 45.04 | – | – | 0.32 | 1.28 | 27.15 | – | 0.96 | 0.67 | 94.8 | Фиг. 11а |
3–1_17–12 | 13 | 1.76 | 57.45 | 2.49 | – | – | 1.28 | 37.07 | – | 2.84 | – | 102.9 | Фиг. 9е | |
Формульные коэффициенты | ||||||||||||||
3б_ 5–3 | 1 | 0.2 | 0.1 | 1.61 | 0.08 | 1.85 | 0.15 | |||||||
4_1 | 2 | 0.2 | 0.04 | 0.77 | 0.01 | 0.02 | 2 | |||||||
12б_1–4 | 3 | 0.24 | 0.08 | 1.02 | 1.81 | 0.16 | 0.02 | |||||||
12б_1–2 | 4 | 0.05 | 1.01 | 1.89 | 0.08 | 0.03 | ||||||||
12б_7–2 | 5 | 0.26 | 0.1 | 0.97 | 0.01 | 1.83 | 0.12 | 0.06 | ||||||
12б_7–3 | 6 | 0.21 | 0.08 | 0.94 | 0.01 | 0.01 | 1.56 | 0.39 | 0.05 | |||||
3–2_10–3 | 7 | 0.17 | 0.1 | 1.32 | 0.04 | 1.97 | 0.03 | |||||||
12б_5–5 | 8 | 0.07 | 0.02 | 1.1 | 0.018 | 1.95 | 0.04 | 0.01 | ||||||
12б_9–1 | 9 | 0.19 | 0.06 | 1.18 | 0.11 | 0.02 | 1.92 | 0.07 | 0.01 | |||||
3–2_9–5 | 10 | 0.18 | 0.1 | 0.95 | 2 | |||||||||
3–2_13–1 | 11 | 0.04 | 0.03 | 1.08 | 0.01 | 2 | ||||||||
3–2_13–2 | 12 | 0.17 | 0.06 | 1.03 | 0.01 | 0.1 | 1.96 | 0.03 | 0.16 | |||||
3–1_17–12 | 13 | 0.02 | 0.95 | 0.05 | 0.01 | 0.04 | 1.94 | 0.06 | ||||||
Ирарсит IrAsS (табл. 7) замещает высокотемпературные Os-Ir-Ru интерметаллиды. Сульфоарсениды часто формируют полифазные агрегаты совместно с сульфидами и арсенидами никеля (фиг. 8е) и фазами ЭПГ переменного нестехиометричного состава Ir-Pt-Pd-Ni-Cu-S-As-Sb (фиг. 9е).
Таблица 7. Химический состав сульфоарсенидов, сульфоантимонидов ЭПГ Ir-подгруппы в хромититах (мас. %)
Образец | Os | Ir | Ru | Rh | Pt | Fe | Ni | Cu | S | As | Sb | Se | Сумма | Примечание | |
4 2–3 | 1 | 5.41 | 52.59 | 4.80 | 2.66 | – | 0.33 | 0.46 | 13.29 | 20.39 | – | – | 99.93 | Фиг.8_б | |
14–3 | 2 | – | 60.70 | 1.93 | 0.27 | – | 0.34 | 1.72 | 0.43 | 10.99 | 23.24 | – | – | 99.62 | Фиг.8_е |
4–3 | 3 | 8.84 | 54.89 | – | 0.47 | – | 0.33 | – | – | 13.11 | 25.71 | – | – | 103.35 | |
С_9–6 | 4 | – | 53.16 | 2.2 | 1.69 | – | – | – | – | 11.03 | 14.23 | 14.34 | 1.01 | 97.66 | Фиг. 11_в |
2–1 | 5 | – | 43.92 | 3.62 | 1.48 | 4.47 | – | – | – | 9.9 | 5.07 | 24.44 | 4.51 | 97.41 | |
1–6 | 6 | 14.78 | 37.21 | 12.3 | – | – | – | – | – | 9.4 | 0.68 | 23.48 | – | 97.85 | Фиг.9_г |
С_9–5 | 7 | – | 46.16 | 8.32 | 1.16 | – | 0.92 | 0.23 | – | 8.63 | 10.83 | 7.89 | 9.11 | 93.25 | Фиг.11_в |
Формульные коэффициенты | |||||||||||||||
4 2–3 | 1 | 0.04 | 0.40 | 0.07 | 0.04 | 0.01 | 0.01 | 0.6 | 0.40 | ||||||
14–3 | 2 | 0.48 | 0.03 | 0.01 | 0.04 | 0.01 | 0.53 | 0.47 | |||||||
4–3 | 3 | 0.06 | 0.38 | 0.04 | 0.01 | 0.01 | 0.54 | 0.46 | |||||||
9–6 | 4 | 0.42 | 0.03 | 0.02 | 0.52 | 0.29 | 0.18 | 0.02 | |||||||
2–1 | 5 | 0.36 | 0.06 | 0.02 | 0.04 | 0.49 | 0.11 | 0.32 | 0.09 | ||||||
1–6 | 6 | 0.16 | 0.39 | 0.25 | 0.59 | 0.02 | 0.39 | 0.00 | |||||||
С_9–5 | 7 | 0.40 | 0.14 | 0.02 | 0.03 | 0.01 | 0.45 | 0.24 | 0.11 | 0.19 | |||||
Примечание: 1–3 – ирарситы IrAsS; 4 – Ir(As, Sb)S; 5–7 – (Os, Ir, Pt, S, As, Sb, Se).
Сульфоантимониды (Ir, Os, Ru) (As, Sb)S встречаются чаще, чем сульфоарсениды (ирарсит). Химический состав приведен в табл. 7. Установленные минеральные фазы по соотношению катионной и анионной групп идентичны или близки к толовкиту IrSbS, в котором часть Sb может быть замещена на As, часто присутствует Se (1–15 мас. %). Сульфоантимониды являются продуктом замещения лаурита, находятся в тесном парагенезисе с Ru-Os селенидами (фиг. 9в–д). В сульфоантимонидах отсутствует корреляция между S – Se, но имеет место отрицательная корреляция As – Se, Sb – Se (фиг. 12).
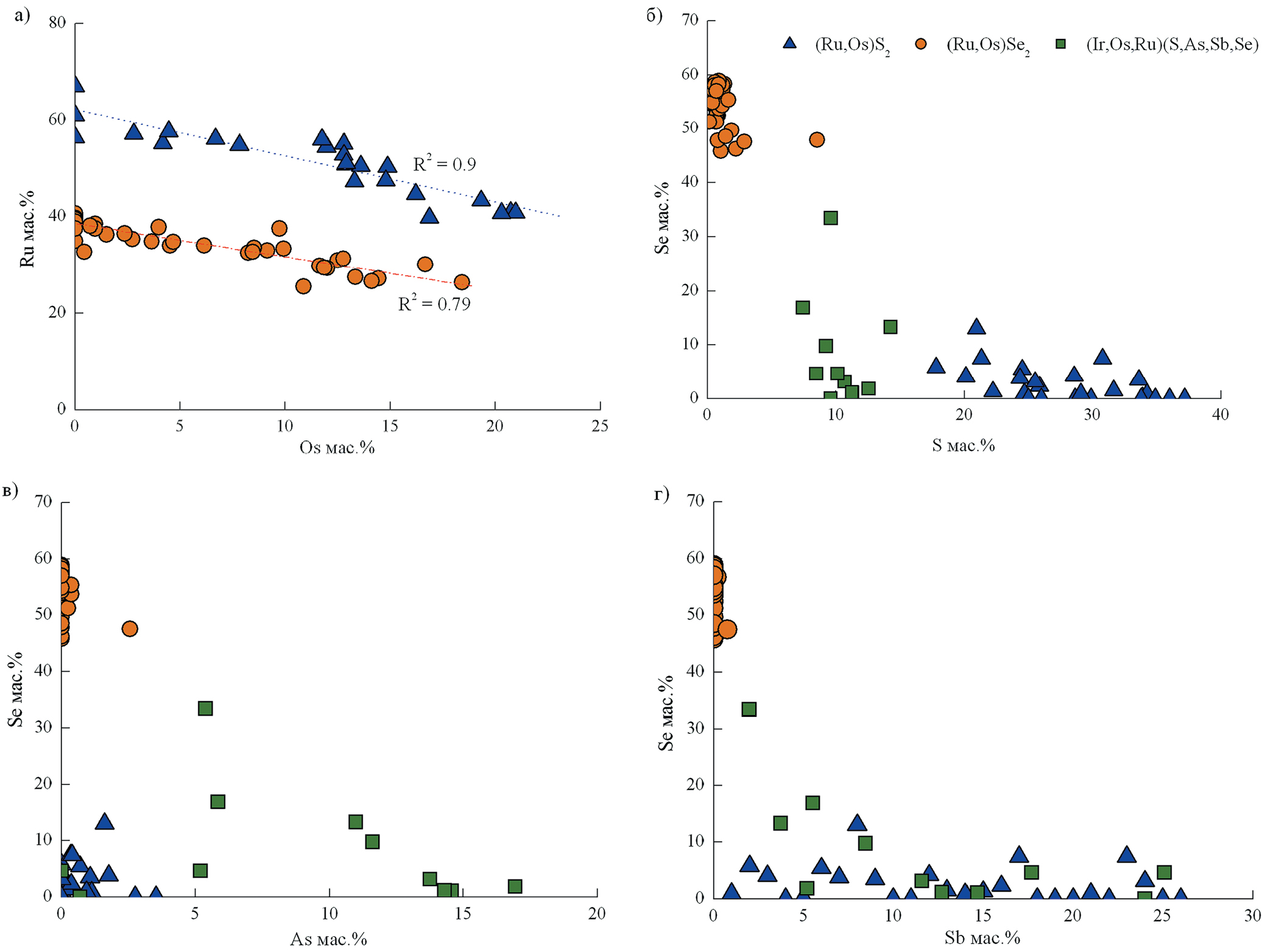
Ru-Os cелениды (Ru, Os)Se2 в хромититах Дунжугурского комплекса являются широко распространенными минеральными фазами среди изученных МПГ. В селенидах главными элементами являются Ru и Se, в катионной части практически всегда присутствует Os, присутствует незначительное количество Ir, Rh; в анионной части – Se, практически всегда S и редко As и Sb (фиг. 10, табл. 8).
Фиг. 10. Диаграммы состава селенидов ЭПГ: (а) катионный состав, (б) анионный состав. Составы селенидов россыпей р. Китой (Восточный Саян) и Ауник (западное Забайкалье) по (Airiyants et al., 2020, 2022; Kiseleva et al., 2021).
Таблица 8. Химический состав Ru-Os селенидов в хромититах (мас. %)
образец | № п/п | Os | Ir | Ru | Rh | Pd | Fe | Ni | S | As | Se | Te | Сумма | Примечание | |
5–4 | 1 | 4.62 | 3.44 | 34.79 | 0.60 | 0.85 | 57.65 | 101.95 | Фиг. 9_б | ||||||
18–3 | 2 | 2.83 | 1.17 | 36.80 | 0.34 | 0.13 | 58.03 | 4.44 | 103.74 | Фиг. 8_в | |||||
9_1–2 | 3 | 1.40 | 39.93 | 0.44 | 1.18 | 57.56 | 100.51 | Фиг. 11 _в | |||||||
Pl 1_4–3 | 4 | 13.48 | 2.68 | 27.86 | 0.18 | 0.37 | 0.25 | 56.32 | 101.14 | Фиг. 9_а | |||||
2_13_5 | 5 | 9.99 | 4.68 | 33.66 | 0.68 | 51.57 | 100.58 | Фиг. 11_а | |||||||
7–7 | 6 | 12.14 | 5.11 | 30.23 | 0.35 | 0.22 | 0.78 | 53.59 | 102.42 | замещает RuS2 | |||||
2_9–4 | 7 | 39.96 | 0.45 | 1.18 | 57.87 | 99.46 | Фиг. 9_д | ||||||||
1–1 | 8 | 39.74 | 0.39 | 1.31 | 58.02 | 99.46 | Фиг. 9_г | ||||||||
5–1 | 9 | 39.81 | 0.34 | 0.95 | 0.88 | 60.17 | 102.15 | замещает RuS2 | |||||||
8–2 | 10 | 1.44 | 42.05 | 0.69 | 0.31 | 0.53 | 8.83 | 49.47 | 103.32 | Фиг. 9_в | |||||
9–2 | 11 | 8.23 | 3.45 | 32.52 | 0.00 | 0.42 | 0.27 | 0.91 | 0.36 | 53.61 | 99.77 | Фиг. 11_б | |||
10–6 | 12 | 6.25 | 4.04 | 34.68 | 0.39 | 1 | 54.82 | 0.37 | 101.55 | Фиг.11_в | |||||
3–2 | 13 | 10.54 | 10.43 | 24.76 | 0.19 | 0.13 | 0.30 | 0.06 | 0.14 | 0.23 | 49.64 | 0.39 | 96.81 | Фиг. 8_г | |
C_1–1 | 14 | 8.56 | 3.12 | 33.09 | 0.22 | 1.17 | 54.85 | 101.01 | Фиг. 11_е | ||||||
1_1a-2 | 15 | 1.62 | 1.13 | 31.97 | 0.24 | 0.24 | 0.74 | 0.20 | 0.83 | 0.12 | 47.12 | 0.14 | 84.35 | Фиг. 11_д | |
Формульные коэффициенты | |||||||||||||||
Os | Ir | Ru | Rh | Pd | Fe | Ni | S | As | Se | Te | |||||
5–4 | 1 | 0.06 | 0.05 | 0.91 | 0.03 | 0.07 | 1.93 | ||||||||
18–3 | 2 | 0.04 | 0.02 | 0.99 | 0.02 | 0.01 | 1.99 | 0.09 | |||||||
9_1–2 | 3 | 0.02 | 1.03 | 0.00 | 0.02 | 0.10 | 1.90 | ||||||||
Pl 1_4–3 | 4 | 0.20 | 0.04 | 0.76 | 0.01 | 0.02 | 0.02 | 1.98 | |||||||
2_13_5 | 5 | 0.16 | 0.07 | 0.99 | 0.06 | 1.94 | |||||||||
7–7 | 6 | 0.18 | 0.08 | 0.85 | 0.01 | 0.01 | 0.07 | 1.93 | |||||||
2_9–4 | 7 | 1.03 | 0.02 | 0.10 | 1.90 | ||||||||||
1–1 | 8 | 1.01 | 0.02 | 0.11 | 1.89 | ||||||||||
5–1 | 9 | 1 | 0.01 | 0.04 | 0.07 | 1.93 | |||||||||
8–2 | 10 | 0.02 | 0.92 | 0.01 | 0.01 | 0.02 | 0.61 | 1.39 | |||||||
9–2 | 11 | 0.12 | 0.05 | 0.90 | 0.02 | 0.01 | 0.08 | 0.01 | 1.91 | ||||||
10–6 | 12 | 0.09 | 0.06 | 0.95 | 0.02 | 0.09 | 1.91 | 0.01 | |||||||
3–2 | 13 | 0.17 | 0.17 | 0.77 | 0.01 | 0.02 | 0.01 | 0.01 | 1.98 | 0.01 | |||||
C_1–1 | 14 | 0.12 | 0.04 | 0.90 | 0.01 | 0.10 | 1.90 | ||||||||
1_1a-2 | 15 | 0.01 | 0.01 | 1 | 0.01 | 0.02 | 0.03 | 0.05 | 1.95 | ||||||
Преобладающей формой нахождения Ru-Os селенидов являются каймы вокруг лаурита-эрликманита (фиг. 9а–д, 11а–б), границы главного минерала и каймы могут быть четкими, резкими, либо с плавным переходом. Селениды часто формируют микроструктуры замещения по лауриту-эрликманиту, где селенид с другими поздними фазами ЭПГ формируют полифазные агрегаты сложного состава и строения (фиг. 11а, в), в том числе с сульфоарсенидами, сульфоантимонидами ЭПГ Ir-подгруппы. Селениды образуют полифазные тонкозернистые агрегаты, состоящие из (Ru, Os)Se2 и силикатных фаз, в том числе и с микровключениями Au (фиг. 11г). Отмечены редкие срастания селенидов с Os-Ir-Ru интерметаллидами (фиг. 8в), либо замещение Ru-Os-Ir интерметаллидов, существенно рутениевого состава (фиг. 8г). Установлены единичные самостоятельные зерна Ru селенидов, размером 20 × 40 микрон, которые имеют “рыхлую” пористую поверхность (фиг. 11д, е). Химический состав селенидов рутения приведен в табл. 8 и на диаграммах составов (фиг. 10а, б). Они имеют значительные вариации состава (мас.%): 24–43 Ru, 0–18 Os, 1–10 Ir, 46–60 Se, 0.2–9 S, до 1 Rh, до 0.7 Ni, до 0.5 Pd, до 0.4 As, в отдельных случаях достигая 3 мас. %; редко присутствует в качестве примеси Te до 4 мас. %. Примечательно, что в каймах селенидов появляется примесь никеля, которая отсутствует в лаурите-эрликманите. Для селенидов характерна отрицательная корреляция для элементов Os – Ru (аналогично и для (Ru, Os)S2), S-Se (фиг. 12а, б) и отсутствие корреляции Se-As, Se-Sb (фиг. 12в, г).
Фиг. 11. Снимки СЭМ зерен Ru-Os селенидов: (а, б) реликт лаурита-эрликманита (Ru, Os)S2 (табл. 6, ан. №№ 11, 12), замещается селенидом (Ru, Os)Se2 (табл. 8, ан. № 5); (б) реликт лаурита-эрликманита (табл. 6, ан. № 9) замещается (Ru, Os)Se2, внутренняя зона имеет промежуточный состав (Os, Ru)(S, Se), кайма RuSe2 (табл. 8, ан. № 11); (в) срастание Os-Ir-Ru интерметаллида (табл. 5, ан. № 2) с лаурит-эрликманитом (табл. 6, ан. № 7), который замещается фазами (Os, Ir, Ru)(Se, S, Sb, As) (табл. 7, ан. № 7; табл. 7, ан. №№ 3, 12) и Ir(S, As, Sb) (табл. 7, ан. № 4); (г) полифазный агрегат: лаурит RuS2 с микровключением Au, замещается RuSe2, силикатная фаза в тесном срастании с (Ru, Ir, Os, As, S, Se); (д, е) зерна RuSe2 (табл. 8, ан. № 14, 15) с рыхлым, пористым микрорельефом. Аббревиатура: Lrt – лаурит, Erl – эрликманит.
Фиг. 12. Бинарные диаграммы для сульфидов, сульфоарсенидов, сульфоантимонидов и селенидов ЭПГ Ir-подгруппы: (а) Os –Ru; (б) S – Se; (в) As – Se; (г) Sb – Se.
Pt-Pd содержащие фазы установлены в полифазных агрегатах, сложенных сульфидами и арсенидами никеля, в которых хаотично расположены микрочастицы самородного Os и соединений переменных нестихиометрических составов Pt-Cu-Ni-Sb, Pt-Ru-As, Ir-Rh-Pt-Ni-As, Pd-Pt-Ni-Sb-S, Ir-Ru-Rh-Ni-Pt-S-As, Pd-Ni-As, Pt-Ni-As, Ir-Ni-As, Pd-Ru-Ni-S-Sb (см. фиг. 9е). Примечательной особенностью всех ЭПГ-содержащих фаз данного парагенезиса, в том числе и в лаурите, является отсутствие Se в качестве примеси.
ОБСУЖДЕНИЕ
Хромититы. Обстановки формирования и преобразования
Локализация хромититов в кварц-тальк-магнезитовых апосерпентинитах (метасоматиты по мантийным перидотитам), форма рудных тел и химические особенности хромшпинелидов: высокая Cr#, офиолитовый (толеитовый) тренд для параметров Mg#–Cr# (фиг. 6б) (Mg# = Mg/(Mg + Fe), Cr# = Cr/(Cr + Al)), низкое содержание TiO2 (табл. 4) свидетельствуют о том, что хромититы Дунжугурского массива соответствуют подиформным хромититам мировых офиолитовых комплексов и по составу близки к хромититам I типа Северной ветви офиолитов Восточного Саяна (Киселева и др., 2014), точнее, к хромититам Харанурского массива (фиг. 5а–б). В хромитах происходил вынос Al2O3, MgO с формированием высокожелезистых и высокохромистых разностей в процессе серпентинизации и лиственитизации при Т около 400 и 300օC соответственно (Johannes, 1969; Рампилова и др., 2021). Такой тип преобразований осуществляется при их гидротермальном изменении (Сазонов, 1978; Sideridis et al., 2022). В хромитах при гидротермальном изменении происходил одновременный рост параметров f, Y, Z (фиг. 6г–е) (Y = Cr2O3/(Cr2O3 + Al2O3), f = (FeO + Fe2O3)/(FeO + Fe2O3 + MgO), Z = Fe2O3/ (Fe2O3 + Cr2O+ + Al2O3). Обогащение хромита магнетитовым миналом, а также кристаллизация сульфидов и арсенидов никеля свидетельствуют о среднетемпературном метаморфизме при Т = 450–500օC. Процессы углекислотного метасоматоза при лиственитизации происходят в условиях высокой фугитивности кислорода, достигающей в некоторых участках области стабильности гематита. Развитие гематита по хромиту наблюдалось в одном из образцов хромитита. В процессе метаморфизма происходила перекристаллизация хромита в хроммагнетит и магнетит, при которой высвобождающийся хром и алюминий фиксировались в Cr-содержащем хлорите – кеммерерите. Кроме того, в тальке и серпентине отмечаются повышенные содержания Cr.
Распределение ЭПГ в хромититах, кварц-тальк-магнезитовом апосерпентините
Для хромититов характерно обогащение ЭПГ Ir-подгруппы над ЭПГ Pt-подгруппы, что отражает мантийные условия формирования первичных магматических МПГ (Barnes et al., 1985; Leblanc, Nicolas, 1992; Bockrath et al., 2004). В хромититах установлено обогащение Pd, причем уровень содержаний Pt и Pd в них идентичен содержанию в кварц-тальк-магнезитовом апосерпентините (фиг. 4). Этот факт позволяет предполагать, что обогащение Pt и Pd происходило на поздних этапах гидротермально-метасоматической проработки пород. Аналогично, в лиственитах, кварц-тальк–карбонатных, кварц-карбонатных и кварц-фуксит-карбонатных породах Оспино-Китойского массива, повышенные содержания Rh и Pt приурочены к обогащенным сульфидами зонам (Дамдинов, 2004; Жмодик и др., 2008).
Минеральный парагенезис ЭПГ в хромититах. Последовательность формирования платинометальной ассоциации
В верхнемантийных условиях формировались высокотемпературные Ru–Os сульфиды – лаурит-эрликманит и Os-Ir-Ru интерметаллиды, которые захватывались хромитовыми зернами (Tredoux et al., 1995; González-Jiménez et al., 2014). Согласно экспериментальным данным, лаурит без примеси Os кристаллизуется из расплава при высокой температуре Т = 1200–1300օC, давлении Р = 5–10 кбар и низкой фугитивности серы fS2 от –0.39 до +0.07. Уменьшение температуры, увеличение ƒS2 приводит к замещению Ru на Os, и в результате формируется лаурит, богатый осмием – эрликманит. Лаурит с низким содержанием Os, ассоциирующий с самородным осмием, свидетельствует о том, что уровень f S2 в системе был ниже буфера Os-OsS2 (Andrews, Brenan, 2002).
В процессе субдукции происходит дегидратация и плавление субдуцирующей плиты с генерацией флюидов, содержащих As и Sb. Взаимодействие этих флюидов с мантийными перидотитами и хромититами приводит к тому, что первичные МПГ замещаются сульфоарсенидами, сульфоантимонидами иридия – ирарситом, толовкитом (фиг. 8б, 9в, д).
Снижение температуры, серпентинизация, взаимодействие флюид-порода с участием восстановленных флюидов (H2, CH4), предположительно мантийного происхождения, приводит к неустойчивости первичных фаз МПГ. При этом происходит десульфуризация ранних Ru-Os сульфидов c формированием микрочастиц самородного осмия в лаурите-эрликманите и полифазных агрегатах с сульфидами и арсенидами никеля (Garuti et al., 1997; Zaccarini et al., 2005; Kiseleva, Zhmodik, 2017; Kiseleva et al., 2019).
Халькогениды ЭПГ Ir-подгруппы (RuS2, RuSe2, OsS2, OsSe2) имеют схожие кристаллографические характеристики – кубическая сингония, Pa-3 группа симметрии, структура типа пирита. Для соединений IrS2, IrSe2 установлена орторомбическая сингония, симметрия – Pnam, структура типа марказита (Dey, Jain, 2004). Таким образом, Ru-Os селениды могут также формировать твердые растворы. В свою очередь, селенид иридия изоструктурен сульфиду иридия и также может образовывать твердый раствор. Это важно для понимания процессов формирования селенидов с определенным катионным составом. Ru-Os селениды образуют каймы вокруг лаурита-эрликманита, замещая его (фиг. 9а–г, 11в) и фактически образуя псевдоморфозы по Ru-Os сульфидам, что позволяет относить Ru-Os селениды к самым поздним платинометальным фазам.
При сравнении Ru-Os селенидов Дунжугурского массива и Ru-Ir-Os селенидов, арсенселенидов россыпи р. Китой (Восточный Саян) и р. Ауник (Западное Забайкалье), установлены различия в составе. Селениды россыпи р. Китой имеют существенно рутениевый катионный состав (Kiseleva et al., 2021; Airiyants et al., 2022), р. Ауник – иридиевый (Airiyants et al., 2020). Это обусловлено тем, что селениды ЭПГ Ir-подгруппы наследуют катионный состав магматических минералов платиновой группы (фиг. 10а), по которым они развиваются. Ru-Os селениды и селениды иридия имеют разные кристаллографические характеристики. Селениды Ru-Os изоструктурны с Ru-Os сульфидами, а селениды иридия изоструктурны сульфидам иридия (в системе Ir-Cu-Pt). В состав Ru-Os сульфидов может входить от 3 до 15 мас. % Se, далее фиксируется разрыв и затем формируется уже чистый селенид (фиг. 10б).
Для формирования селенидных фаз требуется очень низкое значение параметра S/Se. Содержание Se в хондритах С1 составляет 19.6 г/т, S 5400 г/т, а S/Se 2500 ± 270 (Dreibus et al., 1995). В мантии S/Se имеет диапазон 2850–4350 (Lorand et al., 2003; Smith et al., 2016), при содержании Sе 0.075 г/т, S 250 г/т.
Самые низкие отношения S/Se (190–700) определены в сульфидных микрокаплях Платинового Рифа в Скаергаардском расслоенном комплексе (Holwell et al., 2015). Эти данные свидетельствуют о том, что при нормальных условиях селениды ЭПГ Ir-подгруппы имели малую вероятность формироваться в качестве первично магматических фаз, кристаллизующихся из расплава. Отношение S/Se в сульфидах, образовавшихся в постмагматическую стадию, значительно сокращается в связи с увеличением содержания селена. Об этом свидетельствуют более высокие S/Se отношения в магматических пентландитах, по сравнению с вторичным миллеритом. В процессе изменения сульфидов происходит потеря серы (Smith et al., 2016).
Магматический лаурит практически деплетирован Se по сравнению с эндогенными сульфидами, содержащими примесь Se (Hattori et al., 2004). Примеры природных соединений Se и ЭПГ Ir-подгруппы редки, хотя с развитием высокоразрешающих методов электронной микроскопии количество таких находок возросло (Толстых и др., 1997; Barkov et al., 2017; 2018; Ayriants et al., 2020; Kiseleva et al., 2021). Первые сведения о находке селенида рутения в хромититах Восточного Саяна были представлены и опубликованы в 2016 г. (Киселева и др., 2016). В хромититах Дунитового блока массива Падос-Тундра также обнаружены cелениды рутения, и они могли сформироваться в результате потери серы на поздних стадиях эволюции флюида, содержащего H2O, что привело к значительному снижению параметра S/Se (Barkov et al., 2017).
Селениды серебра и других металлов (Fe, Pb, Cu, Ni, Cd) широко распространены в эпитермальных Au-Ag месторождениях и рудопроявлениях, ураноносных песчаниках, где селениды находятся в тесном парагенезисе с гематитом. В вулканогенных массивных сульфидных рудах месторождений Южного Урала Se входит в состав первичных сульфидов и практически не формирует собственных минералов. Тогда как в зонах подводного (субзона вторичного медного обогащения) и континентального окисления (субзона выщелачивания, кварц-пиритовые сажистые пески) этих месторождений установлено более высокое содержание селена, относительно первичных массивных сульфидных руд и широкий спектр селенидной минерализации – галенит-клаусталит (PbS-PbSe), науманнит (Ag2Se), богдановичит (AgBiSe2), тиманнит (HgSe) (Belogub et al., 2020). Зона окисления формируется в результате окислительного разложения первичных минералов под влиянием атмосферных факторов (сезонные осадки, колебание температуры, атмосферный кислород), а также за счет действия Fe(III) и микроорганизмов и достижения новых минеральных равновесий. При окислении Se-содержащих сульфидных руд из структуры изменяющихся сульфидов высвобождается Se, который выносится за пределы рудного тела. Согласно экспериментальным и модельным расчетам, область стабильности селенидов расширяется с понижением температуры и в сторону более высоких значений Eh по сравнению с соответствующими сульфидами (Simon et al., 1997). Значение Eh для наиболее распространенных селенидов выше значения Eh для гематит-магнетитового буфера. Также при низких температурах для образования селенидов требуется более низкая fSe по сравнению fS, необходимой для формирования соответствующих сульфидов. Это можно объяснить тем, что восстановленные формы селеновой кислоты более устойчивы при более высоких значения Eh, чем соответствующие формы серной кислоты. Селенидная минерализация в зонах окисления находится в тесном парагенезисе с гематитом, магнетитом и вторичными сульфидами (халькопирит, халькозин, ковеллин). Показателем повышения фугитивности кислорода, кроме присутствия магнетита и гематита, является осаждение барита при окислении сульфидов. Барит наряду с магнетитом и гематитом находится в тесной ассоциации с селенидами в зонах окисления южноуральских месторождений вулканогенных массивных сульфидных руд. Минеральные парагенезисы селенидов в южноуральских рудопроявлениях свидетельствуют о позднем относительно сульфидов происхождении. Они формируются в окислительных обстановках в окисленных сульфидных рудах, реже в зонах железных шляп (Belogub et al., 2020).
Условия формирования селенидов Pt и Pd наиболее наглядно можно представить на примере всемирно известных крупных Pt-Pd-Au-рудных бразильских месторождений, имеющих селенидную геохимическую специфику и подробно охарактеризованых в работах Кабрал (Cabral et al., 20021, 2; 2006 и в ряде других работ автора). Селенидная геохимическая специфика является типичной для гидротермальных месторождений жильного типа, сформированных при низких температурах. Pd-Au минерализация Гонго-Соко и Итабира, именуемая как Жакутинга (Бразилия), установлена в секущих гематитовых жилах, локализованных в железорудной формации Итабира. Согласно данным по микротермометрии водных включений в рудовмещающем пластинчатом гематите, температура гомогенизации составляет около 160օC и соленость раствора от 10 до 11 мас.% эквивалента NaCl. Полученная температура гомогенизации является минимальной температурой образования селенидной минерализации для Гонго-Соко. Известно, что в случае отсутствия геобарометрической информации для поправки на давление, предварительно верхний предел температуры формирования селенидных минералов оценивается в 300օC, поскольку их большая часть образуется при T < 300օC (Simon et al., 1997). Углеродные включения из пластинчатого гематита с участка Итабира гомогенизировались при температурах до 450 °C, водные включения – около 300օC. Однако температура образования благороднометалльной ассоциации ограничивается по включениям барита и каолинита в хонгшите, рассекающем пластинки гематита, и не превышает 300օC. Селениды ЭПГ, установленные на крупнейшем золоторудном месторождении бонанцевого типа Серра Пелада (провинция Карахас, северная Бразилия), приурочены к паладистому золоту Au7Pd и представлены соединениями Pd-Pt-Se, Pd-Hg-Se, Pd-Bi-Se. Месторождение локализовано в архейской толще, состоящей из слабометаморфизованных конгломератов, песчаников, доломитов и алевролитов. Близповерхностные бонанцевые руды встречаются в брекчированной, кварцсодержащей глинистой массе. На более глубоких горизонтах рудная минерализация локализована в брекчированных углеродистых породах с различным содержанием кварца, мусковита, серицита, каолинита, гематита, гетита и оксида марганца. Агрегаты фаз Pd-Se состава формируют каймы вокруг Au7Pd, что идентично с формой нахождения селенидов рутения в исследованных хромититах Дунжугурского массива. В кристаллах кварца месторождения Серра Пелада, извлеченного из интервала керна, содержащего Se и обогащенного благородными металлами, была проведена микротермометрия с жидкостными включениями. Первичные включения являются водными и метастабильными, что свидетельствует о температурах ниже 150օC. Жидкие включения гомогенезировались в диапазоне температур от 97 до 135օC, что соответствует диапазону, предложенному для селенидов телетермальных рудопроявлений жильного типа. Предполагается, что первичная благороднометалльная минерализация связана с низкотемпературными гидротермальными флюидами (Cabral et al., 20021, 2; 2006). В самородках из россыпного Pt-Pd рудопроявления ручья Коррего Бом Сусессо (провинция Жераис, Бразилия) отношение S/Se < 1. В связи с этим предполагается фракционирование Se из S-содержащих фаз в окислительных условиях при низких температурах. Также окислительные условия в пределах области стабильности гематита отражаются в маложелезистом составе Pt-Pd самородков Коррего Бом Сусессо.
Другой известный объект благороднометальной селенидной минерализации располагается в зоне регионального структурного несогласия – Au-Pt-Pd-U месторождение Коронейшн Хилл (р. Саус Аллигатор, Австралия) (Wide et al., 1989; Mernagh et al., 1994). Рудная минерализация встречается в микротрещинах кварц-Fe-доломит-гематитовых прожилков. Рассеянная минерализация фиксируется в пределах серицит-хлоритового матрикса и в измененных магматических породах, где она тесно ассоциирует с измененным пиритом. Общая модель формирования оруденения представляется как реакция высокоокисленных и кислых растворов, генерирующихся из покровной толщи (слабодеформированные гематит-кварцевые песчаники, осадочные брекчии) и гидросферы с восстановительными флюидами кристаллического фундамента (интрузивные породы, вулканогенно-осадочные толщи, карбонаты), циркулирующих по субвертикальным разломам. Изотопные данные свидетельствуют, что минералообразующий флюид имеет метеорное происхождение. На высокую fO2 указывают процессы замещения хлорита гематитом. Рудное вещество, содержащее Au, Pt, Pd и U, переносилось окисленным (низкий pH), соленым и богатым Ca раствором, в виде оксихлоридных, хлоридных комплексов, при Т около 140օC (Wide et al., 1989; Mernagh et al., 1994).
Согласно эмпирическим наблюдениям и экспериментальным данным, селениды Pt, Pd, Ag, Fe, Pb, Cu, Ni, Cd формируются в окислительных условиях при низких температурах (не выше 65–300օC), в растворах соленостью 10–30 мас.% экв. NaCl и высокой фугитивности кислорода (fO2 на 2–10 единиц выше гематит-магнетитового буфера) (Simon et al., 1997; Cabral 2002 1, 2; 2006; Plotinskaya et al., 2006; Belogub et al., 2020; Беляева, Пальянова, 2023).
Ru-Os селенидная ассоциация в хромититах Дунжугурского массива формировалась позже Ru-Os сульфидов, а Au-Ag селенид формировался на самой поздней стадии гидротермального процесса. Ru-Os cелениды образуются в результате гидротермального изменения первичных МПГ. Хромит замещается магнетитом и гематитом, что свидетельствует о высокой фугитивности кислорода, выше магнетит-гематитового буфера log fO2–30.5 ÷ –40. Se мобилен при низких температурах, воздействии соленых растворов с низким pH и в условиях высокоокислительного флюида (окислительные условия) (Simon et al., 1997; Cabral et al., 20021, 2; 2006; Plotinskaya et al., 2006; Smith et al., 2016; Belogub et al., 2020). В Se-содержащих хромититах Дунжугурского массива установлена гидротермальная сульфидная ассоциация: хизлевудит, полидимит, пирит, халькопирит, борнит, фишессерит-науманнит Au-Ag сплавы (от 98.99 до 82.83 мас. % Au), медистое золото (56.0–54.24 мас. % Au и 2.87–2.73 мас. % Cu) и оксидная ассоциация: магнетит, гематит, гетит.
Для оценки физико-химических параметров формирования селенидной минерализации Дунжугурского офиолитового массива был использован диапазон температур 200–300օC (фиг. 13а–г) по линии устойчивости сульфида рутения RuS2/Ru, при Т = 300օC, log fS2 = –20, Р = 0.5 кбар. В системе Ag-Au-Se известны науманнит Ag2Se, фишессерит (Ag, Au)2Se. При температурах выше 133օC существует непрерывный объемно-центрированный кубический твердый раствор Ag2Se – Ag3AuSe2 (Osadchii, Echmaeva, 2007), из чего можно допустить, что нижняя граница формирования нашей селенидной минерализации в хромититах, в системе Au-Ag-Se, составляет 133օC.
Фугитивность серы оценивалась по полям устойчивости сульфидов рутения, железа, никеля и меди; фугитивность кислорода – по ассоциации магнетит-гематит (фиг. 13б, г). Линии устойчивости халькопирита (CuFeS2/Cu5FeS4 + +FeS2), полидимита ограничивают максимальные значения фугитивности серы log fS2 < –4.5 при 300օC и log fS2 < –10.5 при 200օC. Минимальные значения фугитивности серы можно оценить по линии устойчивости лаурита log fS2 = –20, при 300օC. Значение фугитивности кислорода по ассоциации магнетит-гематит оценивается как logfO2 (–30.5) при 300օC и fO2 (–40.5) при 200օC. Для халькогенидов ЭПГ Ir-подгруппы термодинамические данные отсутствуют. По физическим и химическим свойствам рутений ближе всего к железу, поэтому мы предприняли попытку качественно оценить физико-химические параметры образования Ru-Os селенидов на примере ферроселита FeSe2, принимая во внимание, что минимальные значения фугитивности серы для пирротина Fe7S8 (Fe7S8/ FeSe2) и лаурита RuS2 (RuS2/Ru) совпадают и соответствуют log fS2 = (–20), при Т = 300օC (фиг. 13а). Для формирования ферроселита (FeSe2) по линии устойчивости Fe7S8/FeSe2 параметры фугитивностей составляют при T 300օC log f S2 (–11) ÷ (–20) и log Se2 (–8) ÷ (–13) и при T = 200օC log f S2 (–16) ÷ (–25), log fSe2 (–12) до (–17) соответственно.
Ru-Os сульфиды под воздействием кислых гидротермальных флюидов становятся неустойчивыми, S выносится флюидом, Se привносится кислыми солеными гидротермальными флюидами из сульфидных руд (в частности, “черных курильщиков”). Значение log fSe2 оценивается в диапазоне от (–17) до (–8). Se замещает S в кристаллической решетке лаурита при температуре 200–300օC.
Как показывают оценки физико-химических параметров по экспериментальным и расчетным данным (Беляева, Пальянова, 2023), ассоциация (Au – Ag) – AuAgSe2 в хромититах Дунжугурского массива могла формироваться при T = 300օC, log fS2 (–4.5) ÷ (–6.5), log fSe2 (–6) до (–16), log fO2 (–30.5), но наиболее вероятная температура формирования составляет около 200օC и условия log fS2 (–9) ÷ (–10.5), log f Se2 (–13.5) до (–20.5), log fO2 (–40) (фиг. 13 а–г).
Фиг. 13. Диаграммы 300 °C (а) log f Se2 – log f S2; (б) log f O2 – log f S2; 200 °C (в) log f Se2 – log f S2; (г) log f O2 – log f S2. Диаграммы построены на основе данных (Беляева, Пальянова, 2023).
Замещение Ru-Os сульфидов селенидами этих металлов в хромититах Дунжугурского массива могло произойти на этапах субдукции, либо обдукции, в условиях высокой фугитивности кислорода, воздействии кислых гидротермальных/метаморфогенных флюидов. При Т = 300օC и фугитивности серы ниже (–20) лаурит становится неустойчивым. В процессе локального повышенного отношения Se/S во флюиде, в окислительной обстановке, сера замещается селеном в кристалличекой решетке Ru-Os сульфидов. Селениды по сравнению с сульфидами более устойчивы в окислительных обстановках при низких температурах. Важными факторами в возможности замещения Ru-Os сульфидов селенидами этих металлов являются окислительные условия и появление селена в системе, что в мантийных перидотитах реализуется редко.
Pt–Pd фазы, переменного нестихиометричного состава с Ir, Ni, Cu, S, As и Sb в ассоциации с сульфидами и арсенидами никеля формировались в результате перераспределения элементов на этапе серпентинизации и лиственитизации ультрамафитов, обогащая хромититы и вмещающие метасоматиты Pt и Pd.
Схема последовательности формирования минеральных ассоциаций в апосерпентинитах, лиственитах и хромититах представлена в табл. 9.
Таблица 9. Стадии формирования минеральных ассоциаций в метасоматитах и хромититах Дунжугурского офиолитового массива
Потенциальный источник селена для формирования Ru-Os селенидов в хромититах Дунжугурского массива
Офиолиты Дунжугурской островной дуги формировались в супрасубдукционной обстановке энсиматической островной дуги (Dobretsov et al., 2003; Kuzmichev, 2015; Скляров и др., 2016). Признано, что дегидратация погружающейся океанической коры с осадками в зоне субдукции имеет большое значение для процессов метасоматоза, транспортировки рудных компонентов мантийными флюидами и гидротермальными растворами, в том числе происходящих и в мантийном клине (Добрецов и др., 2001; Викентьев и др., 2006; Richard, 2011; Patten et al., 2016).
Поскольку Se весьма необычный элемент для мантийных перидотитов и хромититов, возникает вопрос об его источнике. В лауритах из хромититов изученных офиолитовых массивов юго-восточной части Восточного Саяна, Se не фиксировался даже в качестве примеси (Киселева и др., 2014; Kiseleva, Zhmodik, 2017; Kiseleva et al., 2020). Необычная селенидная платинометальная минерализация в хромитовых рудах отражает специфические физико-химические условия, состав флюида/гидротермального раствора, возможное локальное влияние вулканогенно-осадочных и черносланцевых толщ на поступление селена в ходе процессов изменения минералов платиновой группы в субдукционных обстановках, либо на этапе обдукции офиолитов. Были определены концентрации селена в вулканогенно-осадочных породах ильчирской свиты, входящих в состав офиолитовой ассоциации, как вероятный источник селена. Содержание селена в сульфидизированных черных сланцах ильчирской вулканогенно-осадочной толщи составляет 6–18 (max 213) г/т (табл. 2).
Предполагаются следующие источники и механизмы формирования Ru-Os селенидной минерализации:
Селен привносился с гидротермально-метаморфогенными флюидами на этапе лиственизации, при воздействии на серпентиниты углекислых гидротермальных растворов. Источником селена могла быть вулканогенно-осадочная толща ильчирской свиты, подстилающая мантийные перидотиты. Однако изучение гидротермальной рудной минерализации как во вмещающих породах, так и в самих хромититах не подтверждает этого предположения, поскольку если бы селен привносился на этой стадии, то он входил бы в качестве примеси в сульфиды никеля, железа либо формировал собственные фазы с Fe, Pb, Co, Ni в условиях низкой фугитивности серы, как в лиственитах, рудовмещающих кварц-тальк-магнезитовых апосерпентинитах, так и в хромититах. Также не установлены селениды Pt и Pd.
Источником селена могли быть породы субдуцирующего слэба, вовлеченные в процессы магмогенерации и затем в гидротермальные процессы. Этот источник, с нашей точки зрения, является наиболее вероятным и подходящим для нашего объекта. Об этом свидетельствуют геологические и геохимические данные о субдукционных обстановках формирования Дунжугурских офиолитов (Добрецов и др., 1985; Кузьмичев, 2004; Скляров и др., 2016). Геохимические характеристики вулканитов из сланцев ильчирской свиты показывают их схожесть с надсубдукционными базальтами островных дуг, что позволяет считать эти палеогидротермальные системы продуктами развития Дунжугурской энсиматической островодужной системы (Дамдинов, 2018). Фрагменты субмаринных гидротермально-осадочных сульфидных руд, обогащенных Mn, Ba и Se, присутствуют в составе офиолитовых комплексов юго-восточной части Восточного Саяна (Жмодик и др., 1999; 2006; 2008; Дамдинов, 2018). Замещение Ru-Os сульфидов селенидами происходило в результате извлечения Se из субдуцирующего слэба, с обогащенным селеном осадками, в ходе метасоматических реакций в зоне субдукции (Sillitoe, 1972; Hattori et al., 2002; Richards, 2011). Хромититы, локализованные в перидотитах мантийного клина, подверглись воздействию флюидов, содержащие As, Sb и Se, которые возникли в процессе дегидратации погружающейся вулканогенно-осадочной толщи, и циркулирующие сквозь мантийные перидотиты, хромититы. Совместное нахождение селенидов рутения с Sb-, As- содержащими фазами ЭПГ Ir-подгруппы указывают на возможное их образование в ходе единого гидротермального процесса в субдукционных обстановках.
Извлечение селена из сульфидов вулканогенно-осадочных толщ могло происходить и на стадии обдукции офиолитов, поскольку мантийные перидотиты надвинуты на вулканогенно-осадочную толщу. Гидротермально-метаморфогенные флюиды в условиях высокой фугитивности кислорода также могли мобилизовать Se из сульфидных руд и океанических осадков, и транспортировать его в перекрывающие перидотиты и хромититы. В них взаимодействуя с лауритом замещали Ru-Os сульфиды на селениды этих металлов.
ВЫВОДЫ
В Дунжугурском офиолитовом массиве, в зоне тектонического контакта мантийных перидотитов и вулканогенно-осадочной толщи ильчирской свиты, в катаклазированных рассланцованных зонах лиственитизации локализованы кварц-тальк-магнезитовые апосерпентиниты с телами ЭПГ-содержащих подиформных хромититов. В хромититах установлена “экзотическая” Ru-Os селенидная минерализация.
Os-Ir-Ru интерметаллиды, Ru-Os сульфиды ряда лаурит-эрликманит формировались раньше или близкоодновременно с хромшпинелидами в верхнемантийных условиях в супрасубдукционных обстановках.
При взаимодействии мантийных перидотитов и хромититов с As, Sb-содержащим флюидом, генерирующимся при дегидратации и плавлении субдуцирующей плиты, формируется сульфоарсенид иридия – ирарсит, путем замещения первичных МПГ (лаурита-эрликманита и Os-Ir-Ru интерметаллидов).
При снижении температуры, взаимодействии флюид-порода, с участием восстановленных флюидов и в процессе серпентинизации, первичные фазы МПГ становятся неустойчивыми. При этом происходит десульфуризация ранних Ru-Os сульфидов c формированием микрочастиц самородного осмия в лаурит-эрликманите и полифазных агрегатах с сульфидами и арсенидами никеля.
При воздействии кислых селен-содержащих флюидов в окислительной обстановке Se замещает S в лаурите-эрликманите, формируя Ru-Os селенид. Ru-Os селенид является поздней фазой относительно Os-Ir-Ru интерметаллидов, лаурита-эрликманита и сульфоарсенидов иридия. Источником Se, для формирования Ru-Os селенидов в хромититах Дунжугурского офиолитового массива, являлись океанические вулканогенные гидротермально-осадочные отложения с сульфидными минералами. Циркуляция As, Sb, Se-содержащих флюидов сквозь мантийные перидотиты и хромититы в мантийном клине привела к замещению лаурита-эрликманита селенидом, а ирарсита – сульфоантимонидом.
Pt-Pd-содержащие фазы в ассоциации с сульфидами и арсенидами никеля формировались в результате перераспределения Pt и Pd на этапе серпентинизации и лиственитизации ультрамафитов, обогащая хромититы и вмещающие метасоматиты Pt и Pd.
Широкие вариации состава самородного золота, обнаруженного совместно с минералами платиновой группы, также свидетельствуют о многостадийности процессов изменения пород офиолитового комплекса и формирования благороднометалльной минерализации. Наличие в хромититах Дунжугурского офиолитового массива селенидов Au и Ag вместе с селенидами рутения указывают на низкотемпературные гидротермальные условия минералообразования.
БЛАГОДАРНОСТИ
Авторы благодарят М.В. Хлестова за помощь в исследовании платинометальной минерализации методом сканирующей электронной микроскопии. Выражаем благодарность Г.А. Пальяновой, И.Н. Мягкой за консультации и помощь в подготовке статьи. Выражаем благодарность рецензентам за конструктивные комментарии и замечания, которые позволили значительно улучшить рукопись.
ФИНАНСИРОВАНИЕ
Работа выполнена при финансовой поддержке государственного задания ИГМ СО РАН (№ 122041400193–7), при поддержке Министерства науки и высшего образования (грант РФФИ 19–05–00764а). Работы выполнены в ЦКП Многоэлементных и изотопных исследований СО РАН. Использовано оборудование ЦКП “СЦСТИ” на базе УНУ “Комплекс ВЭПП-4 – ВЭПП-2000” в ИЯФ СО РАН.
Об авторах
О. Н. Киселева
Институт геологии и минералогии СО РАН им. В.С. Соболева
Автор, ответственный за переписку.
Email: kiseleva_on@igm.nsc.ru
Россия, 630090, Новосибирск
Е. В. Айриянц
Институт геологии и минералогии СО РАН им. В.С. Соболева
Email: kiseleva_on@igm.nsc.ru
Россия, 630090, Новосибирск
С. М. Жмодик
Институт геологии и минералогии СО РАН им. В.С. Соболева
Email: kiseleva_on@igm.nsc.ru
Россия, 630090, Новосибирск
Д. К. Белянин
Институт геологии и минералогии СО РАН им. В.С. Соболева
Email: kiseleva_on@igm.nsc.ru
Россия, 630090, Новосибирск
Список литературы
- Блинов И.А. Самородные металлы, селениды, галогениды и ассоциирующие минералы из бурых железняков Амурского и Верхне-Аршинского месторождения (Южный Урал) // Литосфера. 2015. № 1. С. 65–74.
- Беляева Т.В., Пальянова Г.А. Сульфиды и селениды серебра в рудах Au-Ag эпитермальных месторождений Охотско-Чукотского вулканогенного пояса // Геология руд. месторождений. 2023. Т. 65. № 1. С. 74–108.
- Бурьянова Е.З. Термодинамический аспект условий образования селенидов Fe, Pb, Zn, Cd и самородного селена в осадочных породах // Геохимия. 1969. № 12. C. 1451–1464.
- Викентьев И.В., Молошаг В.П., Юдовская М.А. Формы нахождения и условия концентрирования благородных металлов в колчеданных рудах Урала // Геология рудных месторождений. 2006. Т. 48. № 2. С. 91–125.
- Геология и метаморфизм Восточного Саяна / Ред. Добрецов Н.Л., Игнатович В.И. / Новосибирск: Наука, 1988. 192 с.
- Гордиенко И.В., Добрецов Н.Л. Жмодик С.М., Рощектаев П.А. Многоэтапная покровная тектоника юго-восточной части Восточного Саяна и ее роль в формировании золоторудных месторождений // Геология и геофизика. 2021. Т. 62. № 1. С. 134–147.
- https://doi.org/10.15372/GiG2020185
- Дамдинов Б.Б. Нетрадиционные типы благороднометалльной минерализации в офиолитах Восточно-Саянского и Джидинского поясов (минералогия, геохимия, генезис). Дисс… канд. геол.-мин. наук. Улан-Удэ, 2004. 207 с.
- Дамдинов Б.Б. Типы благороднометалльного оруденения юго-восточной части Восточного Саяна: состав, условия формирования и генезис. Дисс… док.геол.-минер.наук. Улан-Удэ, 2018. 480 с.
- Добрецов Н.Л., Конников Э.Г., Медведев В.Н., Скляров Е.В. Офиолиты и олистостромы Восточного Саяна / В кн.: “Рифейско-нижнепалеозойские офиолиты Северной Евразии”. Новосибирск: Наука, 1985. С. 34–58.
- Добрецов Н.Л., Кирдяшкин А.Г., Кирдяшкин А.А. Глубинная геодинамика. Новосибирск: Издательство СО РАН Филиал “ГЕО”. 2001. 409 с.
- Жмодик С.М., Миронов А.Г., Пономарчук В.А., Травин А.В. Pb-S изотопная систематика золоторудных месторождений юго-восточной части Восточного Саяна // Доклады АН. 1999. Т. 366. № 3. С. 392–394.
- Жмодик С.М., Постников А.А., Буслов М.М., Миронов А.Г. Геодинамика Саяно-Байкало-Муйского аккреционно-коллизионного пояса в неопротерозое – раннем палеозое, закономерности формирования и локализации благороднометалльного оруденения // Геология и геофизика. 2006. Т. 47. № 1. С. 183–197.
- Жмодик С.М., Миронов А.Г., Жмодик А.С. Золотоконцентрирующие системы офиолитовых поясов (на примере Саяно-Байкало-Муйского пояса). Новосибирск: Академическое издательство “Гео”, 2008. 304 с.
- Киселева О.Н., Жмодик С.М., Дамдинов Б.Б., Агафонов Л.В., Белянин Д.К. Состав и эволюция платинометальной минерализации в хромитовых рудах Ильчирского офиолитового комплекса (Оспино-Китойский и Харанурский массивы, Восточный Саян) // Геология и геофизика. 2014. Т. 55. № 2. С. 333–349.
- Киселева О.Н., Айриянц Е.В., Жмодик С.М., Белянин Д.К. Селениды рутения в хромититах Дунжугурского офиолитового комплекса // Материалы Всероссийской конференции с международным участием “Проблемы геологии и эксплуатации месторождений платиновых металлов (I научные чтения памяти проф. В.Г. Лазаренкова)”, 25 мая 2016 г., Санкт-Петербург, Горный университет – СПб: Изд-во СПГУ. 2016. С. 71–74.
- Павлов Н.В., Кравченко Г.Г., Чупрынина И.И. Хромиты Кемпирсайского плутона. М.: Наука, 1968. 197 с.
- Полеховский Ю.С., Тарасова И.П., Нестеров А.Р., Пахомовский Я.А., Бахчисарайцев А.Ю. Судовикивит PtSe2 – новый селенид платины из метасоматитов южной Карелии // Доклады АН. 1997. Т. 354. № 1. С. 82–85.
- Петровская Н.В. Самородное золото. Общая характеристика, типоморфизм, вопросы генезиса. М.: Наука, 1973. 347 с.
- Рампилова М.В., Рипп Г.С., Рампилов М.О., Дамдинов Б.Б., Дамдинова Л.Б., Посохов В.Ф. Изотопно-геохимические особенности апогипербазитовых метасоматитов Саяно-Байкальской складчатой области // Геология и геофизика. 2021. Т. 62. № 9. С. 1246–1263.
- Сазонов В.Н. Хром в гидротермальном процессе (на примере Урала). М.: Наука, 1978. 287 с.
- Синдеева Н.Д. Минералогия, типы месторождений и основные черты геохимии селена и теллура. М.: Изд-во АН СССР, 1959. 241 с.
- Скляров Е.В., Ковач В.П., Котов А.Б., Кузьмичев А.Б., Лавренчук А.В., Переляев В.И., Щипанский А.А. Бониниты и офиолиты: проблемы их соотношения и петрогенезиса бонинитов // Геология и геофизика. 2016. Т. 57. № 1. С.163–180
- Толстых Н.Д., Кривенко А.П., Поспелова Н.Л. Необычные соединения иридия, осмия, рутения с селеном, теллуром и мышьяком из россыпей реки Золотой (Западный Саян) // ЗВМО. 1997. Ч. CXXVI. № 6. С. 23–34.
- Эгель Л.Е. Экзогенные месторождения селена. М.: “Госгеолтехиздат”, 1962. 141 с.
- Airiyants E.V., Kiseleva O.N., Zhmodik S.M., Belyanin D.K., Ochirov Y.C. Platinum-Group Minerals in the Placer of the Kitoy River, East Sayan, Russia // Minerals. 2022. 12. 21.
- Airiyants E.V., Belyanin D.K., Zhmodik S.M., Agafonov L.V., Romashkin P.A. Chemical composition and origin of platinum group minerals from placers of the Aunik River, Buryatia, Russia // Ore Geol. Rev. 2020. V. 120. 103453.
- Andrews D.R.A., Brenan J.M. Phase-equilibrium constraints of the magmatic origin of laurite and Os–Ir alloy // Can.Mineral. 2002. V. 40. P. 1705–1716.
- Barkov A.Y., Nikiforov A.A., Tolstykh N.D., Shvedov G.I., Korolyuk V.N. Compounds of Ru–Se–S, alloys of Os–Ir, framboidal Ru nanophases and laurite–clinochlore intergrowths in the Pados-Tundra complex, Kola Peninsula, Russia // Eur. J. Mineral. 2017. V. 29. P. 613–622.
- https://doi.org/10.1127/ejm/2017/0029–2666
- Barkov A.Y., Shvedov G.I., Silyanov S.A., Martin R.F. Mineralogy of platinum-group elements and gold in the ophiolite-related placer of the river Bolshoy Khailyk, Western Sayan, Russia // Minerals. 2018. 8. 247.
- Barnes S.-J., Mansur E.T. Distribution of Te, As, Bi, Sb, and Se in mid-ocean ridge basalt and komatiites and in picrites and basalts from large igneous provinces: implication for the formation of magmatic Ni-Cu-platinum group element deposits // Econ. Geol. 2022. V 117 (8). P. 1919–1933.
- Belogub E.V., Ayupova N.R., Krivovichev V.G., Novoselov K.A., Blinov I.A., Charykova M.V. Se minerals in the continental and submarine oxidation zones of the South Urals volcanogenic-hosted massive sulfide deposits: A review // Ore Geol. Rev. 2020. V. 122. 103500.
- Bockrath C., Ballhaus C., Holzheid A. Fractionation of the platinum-group elements during mantle melting // Science. 2004. V. 305. P. 1951–1953.
- Barnes S.J., Naldrett A.J., Gorton M.P The origin of the fractionation of platinum-group elements in terrestrial magmas // Chem. Geol. 1985. V. 53. P. 303–323.
- Cabral A.R., Lehmann B. Palladium and platinum minerals from the Serra Pelada Au-Pd-Pt deposit, Carajas mineral province, northern Brazil // Canad. Mineral. 20021. V. 40. P. 1451–1463.
- Cabral A.R., Lehmann B., Kwitko R., Galbiatti H.F., Fereira M.C. Palladseite and its oxidation: evidence from Au-Pd vein-type mineralization (jacutinga), Cauê iron-ore mine, Quadrilâtero Ferrífero, Minas Gerais, Brazil // Miner. Mag. 20022. V. 66 (2). P. 327–336.
- Cabral A.R., Beaudoin G., Kwitko-Ribeiro R., Lehmann B., Polônia J.C., Choquette M. Platinum-palladium nuggets and mercury-rich palladiferous platinum from Serro, minas Gerais, Brazil // Canad. Mineral. 2006. V. 44. P. 385–397.
- Cabri L.J. The platinum group minerals / In the Geology, Geochemistry, Mineralogy and Mineral Beneficiation of Platinum Group Elements. Published for the Geological Society of CIM. Canadian Institute of Mining, Metallurgy and Petroleum: Montreal, QC, Canada. 2002. V. 54. P. 13–131.
- Dey By.S., Jain V.K. Platinum Group Metal Chalcogenides. Their syntheses and application in catalysis and materials science // Platinum Metals Review. 2004. V. 48 (1). P. 16–29.
- Dreibus G., Palme H., Spettek B., Zipfel J., Wänke H. Sulfur and selenium in chondritic meteorites // Meteoritics. 1995. V. 30. P. 439–445.
- Dobretsov N.L., Buslov M.M., Vernikovsky V.A. Neoproterozoic to Early Ordovician evolution of the Paleo-Asian ocean: Implications to the break-up of Rodinia // Gondwana Res. 2003. V.6. P. 143–159.
- Garuti G., Zaccarini F. In situ alteration of platinum-group minerals at low temperature evidence from serpentinized and weathered chromitites of the Vourinos complex (Greece) // Can. Mineral. 1997. V. 35. P. 611–626.
- González-Jiménez J.M., Griffin W.L., Gervilla F., Proenza J.A., O’Reilly S.Y., Pearson N.J. Chromitites in ophiolites: How, where, when, why? Part I. A review and new ideas on the origin and significance of platinum-group minerals // Lithos. 2014. V. 189. P. 127–139.
- Hattori K.H., Arai S., Clarke D.B. Selenium, tellurium, arsenic and antimony contents of primary mantle sulfides // Can. Mineral. 2002. V. 40. P. 637–650.
- Holwell D.A., Keays R.R., McDonald I., Williams M.R. Extreme enrichment of Se, Te, PGE and Au in Cu sulfide microdroplets: evidence from LA-ICP-MS analysis of sulfides in the Skaergaard Intrusion, east Greenland // Contrib. Mineral. Petrol. 2015. 170:53.
- Howard J.H. Geochemistry of selenium: Formation of ferroselite and selenium behavior in the vicinity of oxidizing sulfide and uranium deposits // Geochim. Cosmochim. Acta. 1977. V. 41. 1665–1678.
- Jedwab J., Cervelle B., Gouet G., Hubaut X., Piret P. The new platinum selenide luberoite Pt5Se4 from the Lubero Region (Kivu-province, Zaire) // Eur. J. Mineral. 1992. V. 4. № 4. P. 683–692.
- Johannes W. An experimental investigation of the system MgO-SiO2-H2O-CO2 // Amer. J. Sci. 1969. V.267. № 9. P. 1087–1104.
- Khain E.V., Bibikova E.V., Kröner A., Zhuravlev D.Z., Sklyarov E.V., Fedotova A.A., Kravchenko-Berezhnoy I.R. The most ancient ophiolite of the Central Asian fold belt: U–Pb and Pb–Pb zircon ages for the Dunzhugur Complex, Eastern Sayan, Siberia, and geodynamic implications // Earth Planet. Sci. Lett. 2002. V. 199. P. 311–325.
- Kiseleva O., Zhmodik S. PGE mineralization and melt composition of chromitites in Proterozoic ophiolite complexes of Eastern Sayan, Southern Siberia // Geoscience Frontiers. 2017. V. 8. P. 721–731.
- Kiseleva O., Airiyants E., Belyanin D., Zhmodik S. Hydrothermal remobilization platinum group elements and their secondary minerals in chromitite deposits of the Eastern Sayan ophiolites (Russia) / E3S Web Conf., 98. 2019. 08014.
- Kiseleva O. N, Airiyants E.V., Belyanin D.K., Zhmodik S.M. Podiform chromitites and PGE mineralization in the Ulan-Sar’dag ophiolite (East Sayan, Russia) // Minerals. 2020. 10. 141.
- https://doi.org/10.3390/min10020141
- Kiseleva O., Ochirov Yu., Zhmodik S., Nharara B. Platinum-group minerals from alluvial placers of the Kitoy river (south-east part of East Sayan, Russia) / Geophysical Research Abstracts EGU21–14020. EGU General Assembly. 2021.
- https://doi.org/10.5194/egusphere-egu21–14020
- Kuzmichev A.B. Neoproterozoic accretion of the Tuva-Mongolian massif, one of the Precambrian terranes in the Central Asian Orogenic Belt. In Composition and Evolution of Central Asian Orogenic Belt: Geology, Evolution, Tectonics, and Models; Kroner, A., Ed.; Borntraeger Science Publishers: Stuttgart, Germany, 2015. P. 66–92.
- Lorand J.-P., Alard O., Luguet A., Keays R.R. Sulfur and selenium systematics of the subcontinental lithospheric mantle: Inferences from the Massif Central xenolith suite (France) // Geochim. Cosmochim. Acta. 2003. V. 67. P. 4137–4151.
- Leblanc M., Nicolas A. Ophiolitic chromites // Int. Geol. Rev. 1992. V. 34. P. 653–686.
- Mernagh T.P., Heinrich C.A., Leckie J.F., Carville D.P., Gilbert D.J., Valenta R.K., Wyborn L.A.I. Chemistry of low-temperature hydrothermal gold, platinum, and palladium (±uranium) mineralization at Coronation Hill, northern territory, Australia // Econ. Geol. 1994. V. 89. P. 1053–1073.
- Naldrett A.J., Duke J.M. Platinum metalls in magmatic sulfide ores // Science. 1980. V. 208 (4451) P. 1417–1424.
- Nickel E.H. An unusual occurrence of Pd, Pt, Au, Ag and Hg minerals in the Pilbara region of Western Australia // Can. Mineral. 2002. V. 40. P. 419–433.
- Osadchii E.G., Echmaeva E.A. The system Ag-Au-Se: Phase relations below 405օ K and determination of standard thermodynamic properties of selenides by solid-state galvanic cell technique // Amer. Mineral. 2007. V. 92. № 4. P. 640–647
- Patten C.J.C., Pitcairn I.K., Teagle D.A.H., Harris M. Mobility of Au and related elements during the hydrothermal alteration of the oceanic crust: implications for the sources of metals in VMS deposits // Miner. Depos. 2016. V. 51. P. 179–200.
- Piminov P.A., Baranov G.N., Bogomyagkov A.V., Berkaev D.E., Borin V.M., Dorokhov V.L., Karnaev S.E., Kiselev V.A., Levichev E.B., Meshkov O.I., Mishnev S.I., Nikitin S.A., Nikolaev I.B., Sinyatkin S.V., Voblya P.D., Zolotarev K.V., Zhuravlev A.N. Synchrotron Radiation Research and Application at VEPP-4 // Physics Procedia. 2016. V. 84. P. 19–26.
- https://doi.org/10.1016/j.phpro.2016.11.005
- Plotinskaya O. Yu., Kovalenker V.A., Seltmann R., Stanley C.J. Te and Se mineralogy of the high-sulfidation Kochbulak and Kairagach epithermal gold telluride deposits (Kurama Ridge, Middle Tien Shan, Uzbekistan) // Mineral. Petrol. 2006. V. 87. P. 187–207.
- Richards J.P. Magmatic to hydrothermal metal fluxes in convergent and collided margins // Ore Geol. Rev. 2011. V. 40. I. 1. P. 1–26.
- Sideridis A., Koutsovitis P., Tsikouras B., Karkalis C., Hauzenberger C., Zaccarini F., Tsitsanis P., Lazaratou C.V., Skliros V., Panagiotaras D. Pervasive listwaenitization: the role of subducted sediments within mantle wedge, W. Chalkidiki ophiolites, N. Greece // Minerals. 2022. 12. 1000.
- Sillitoe R.L. A plate tectonic model for the origin of porphyry copper deposits. // Economic Geology. 1972. V.67. P. 184–197.
- Simon G., Kesler S.E., Essene E.J. Phase relations among selenides, sulfides, tellurides and oxides: II. Aplication to selenide-bearing ore deposits // Econ. Geol. 1997. V. 92. P. 468–484.
- Smith J.W., Holwell D.A., McDonald I., Boyce A.J. The application of S isotopes and S/Se ratios in determining ore-forming processes of magmatic Ni–Cu–PGE sulfide deposits: A cautionary case study from the northern Bushveld Complex // Ore Geol. Rev. 2016. V. 73. P. 148–174.
- Stockman H.W., Hlava P.F. Platinum-group minerals in Alpine chromitites from southwestern Oregon // Econ. Geol. 1984. V. 79. P. 492–508.
- Tredoux M., Lindsay N.M., Davies G., McDonald J. The fractionation of platinum-group elements inmagmatic systems, with the suggestion of a novel causal mechanism // S. Afr. J. Geol. 1995. V. 98. P. 157–167.
- Wilde A.R., Bloom M.S., Wall V.J. Transport and deposition of gold, uranium and platinum-group elements in unconformity-related uranium deposits // Econ. Geol. Monograph. 1989. V. 6. P. 637–650.
- Windley B.F., Alexeiev D., Xiao W.J., Kröner A., Badarch G. Tectonic models for accretion of the Central Asian Orogenic Belt // J. Geol. Soc. Lond. 2007. V. 164. P. 31–47.
- Yudovskaya M.A., Distler V.V., Chaplygin I.V., Mokhov A.V., Trubkin N.V., Gorbacheva S.A. Gaseous transport and deposition of gold in magmatic fluid: evidence from the active Kudryavy volcano, Kurile Islands // Miner. Depos. 2006. V. 40. P. 828–848.
- Zaccarini F., Proenza J.A., Ortega-Gutiérrez F., Garuti G. Platinum group minerals in ophiolitic chromitites from Tehuitzingo (Acatlán complex, southern Mexico): Implications for postmagmatic modification // Miner. Petrol. 2005. V. 84. P. 147–168.
- Zhmodik S.M., Buslov M.M., Damdinov B.B., Mironov A.G., Khubanov V.B., Buyantuyev M.G., Damdinova L.B., Airiyants E.V., Kiseleva O.N., Belyanin, D.K. Mineralogy, geochemistry and geochronology of the Yehe-Shigna ophiolitic massif, Tuva-Mongolian microcontinent, southern Siberia: evidence for a back-arc origin and geodynamic implications // Minerals. 2022. no 390. pp 1–19.
Дополнительные файлы

















