Индуцированные высыпания электронов из внутреннего радиационного пояса, зарегистрированные в Океании
- Авторы: Гинзбург Е.А.1, Зинкина М.Д.1, Писанко Ю.В.1,2
-
Учреждения:
- Институт прикладной геофизики им. акад. Е.К. Федорова Росгидромета
- Московский физико-технический институт (национальный исследовательский университет)
- Выпуск: Том 63, № 6 (2023)
- Страницы: 751-763
- Раздел: Статьи
- URL: https://journal-vniispk.ru/0016-7940/article/view/232913
- DOI: https://doi.org/10.31857/S0016794023600072
- EDN: https://elibrary.ru/GSKPZL
- ID: 232913
Цитировать
Полный текст
Аннотация
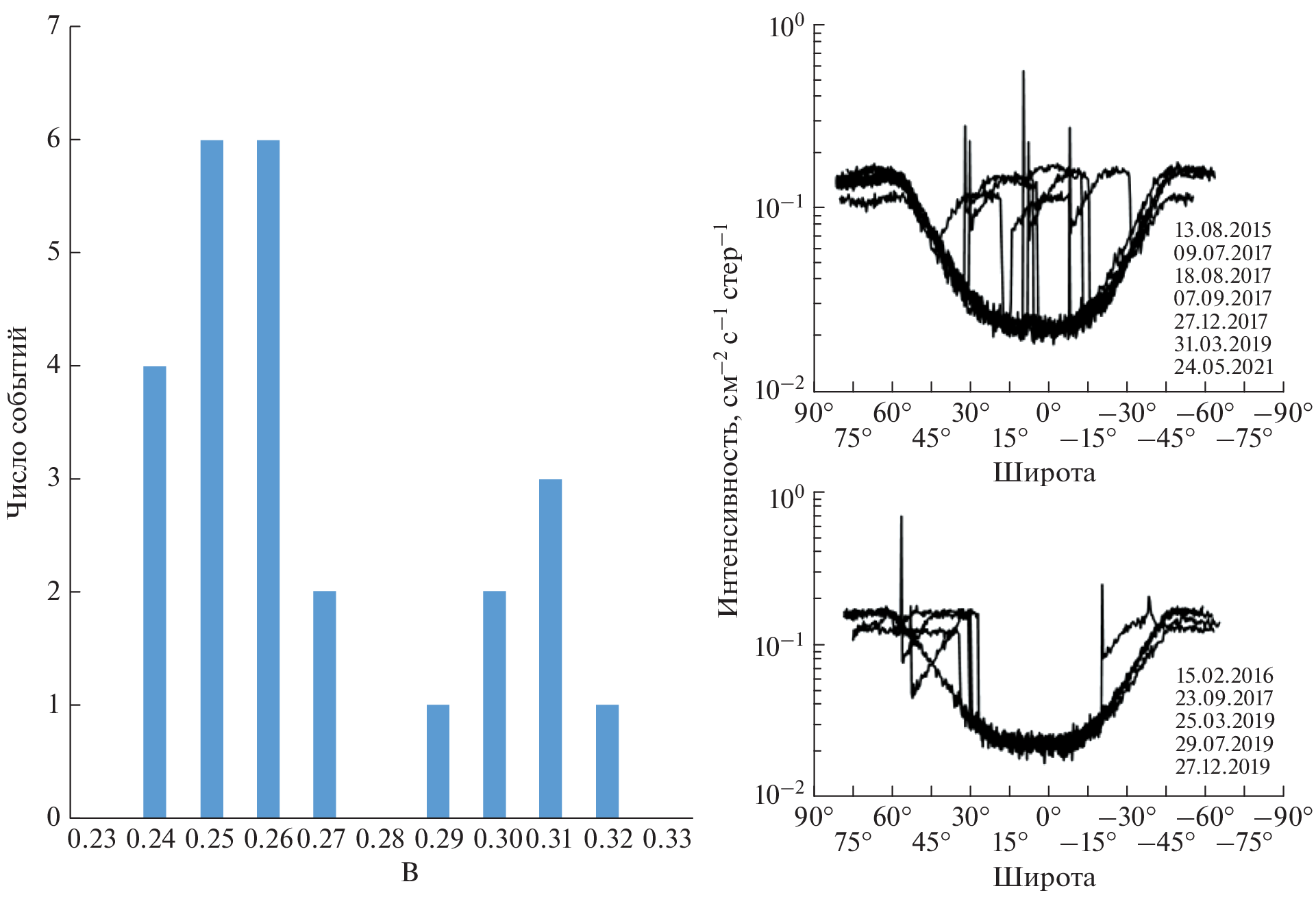
По данным наблюдений радиационной обстановки в космосе с борта ИСЗ “Метеор-М № 2”, находящегося на солнечно-синхронной круговой орбите высотой ~832 км, выявлено 25 аномальных возрастаний потоков электронов длительностью ~6–8 мин каждое. Эти редкие события зарегистрированы в 2014–2022 гг., в Океании, в низких широтах в утренние часы местного времени в спокойных геомагнитных условиях, в энергиях от ~100 кэВ до нескольких МэВ. Потоки электронов в канале черенковского счетчика наблюдались на уровне потоков галактических космических лучей в полярных шапках, а в каналах других счетчиков – на уровне потоков в максимуме внешнего радиационного пояса. Предполагается, что наблюдались высыпания электронов из внутреннего радиационного пояса: при баунс-колебаниях электроны попадали в циклотронный резонанс с радиоизлучением, инициированным наземными и/или судовыми передатчиками в утренние часы местного времени.
Об авторах
Е. А. Гинзбург
Институт прикладной геофизикиим. акад. Е.К. Федорова Росгидромета
Автор, ответственный за переписку.
Email: e_ginzburg@mail.ru
Россия, Москва
М. Д. Зинкина
Институт прикладной геофизикиим. акад. Е.К. Федорова Росгидромета
Автор, ответственный за переписку.
Email: marinaantipina20@mail.ru
Россия, Москва
Ю. В. Писанко
Институт прикладной геофизикиим. акад. Е.К. Федорова Росгидромета; Московский физико-технический институт (национальный исследовательский университет)
Автор, ответственный за переписку.
Email: pisanko@ipg.geospace.ru
Россия, Москва; Россия, (Московская обл.), Долгопрудный
Список литературы
- − Голубков М.Г., Дмитриев А.В., Суворова А.В., Голубков Г.В. Пространственное распределение высыпаний интенсивных потоков быстрых электронов в ионосферу в 23-м и 24-м солнечных циклах // Химич. физика. Т. 41. № 5. С. 84–89. 2022. https://doi.org/10.31857/S0207401X22050065
- − Денисенко В.В., Ляхов А.Н. Сравнение наземных и спутниковых данных о пространственно-временнóм распределении грозовых разрядов при низкой солнечной активности // Солнечно-земная физика. Т. 7. № 4. 2021. https://doi.org/10.12737/szf-74202112
- − Космический комплекс гидрометеорологического и океанографического обеспечения “Метеор-3М” с космическим аппаратом “Метеор-М” № 1 (Справочные материалы) (Под редакцией: д. т. н. Макриденко Л.А., д. т. н. Волкова С.Н., д. т. н. Трифонова Ю.В., к. т. н. Горбунова А.В.), Москва, ФГУП “НПП ВНИИЭМ”. С. 142. 2008.
- − Ковтюх А.С., Панасюк М.И. Радиационные пояса Земли. В: коллективной монографии “Плазменная гелиогеофизика” (под ред. Л.М. Зеленого и И.С. Веселовского) // Физматлит, М. Т. 1. С. 510–534. 2008.
- − Петров В.Л., Богомолов А.В., Богомолов В.В., Калегаев В.В., Панасюк М.И., Свертилов С.И., Косенко А.А. Пространственные и временны́е характеристики потоков электронов субрелятивистских энергий в околоземном космическом пространстве по данным спутника Вернов // Геомагнетизм и аэрономия. Т. 60. № 2. С. 152–163. 2020.
- − Таблица распределения полос частот между радиослужбами Российской Федерации в диапазоне частот от 3 кГц до 400 ГГц (Утверждена решением ГКРЧ России от 8.04.1996) https://digital.gov.ru/opendata/7710474375-trpch/table/?utm_referrer=https%3a%2f%2fwww.google. com%2f.
- − Akala A.O., Adeloye A.B., Somoye E.O. Ionospheric foF2 variability over the Southeast Asian sector // Journal of Geophysical Research, V. 115. A09329. 2010. https://doi.org/10.1029/2010JA015250.
- − Bortnik J., Inan U.S., Bell T.F. L dependence of energetic electron precipitation driven by magnetospherically reflecting whistler waves // Journal of Geophysical Research. V. 107. № A8. 1150. 2002. http://doi:.https://doi.org/10.1029/2001JA000303
- − Derblom H., Thide B., Leyser T.B., Nordling J.A., Hedberg A., Stubbe P., Kopka H., Rietveld M. Tromso heating experiments: stimulated emission at HF pump harmonic and subharmonic frequencies // J. Geophysical Research. V. 94. Issue A8. P. 10.111–10.120. 1989. https://doi.org/10.1029/JA094iA08p10111
- − Grachev E.A., Grigoryan O.R., Klimov S.I., Kudela K., Petrov A.N., Schwingenschuh K., Sheveleva V.N., Stetiarova J. Altitude distribution analysis of electron fluxes at L = 1.2–1.8 // Advances in Space Research. V. 36. P. 1992–1996. 2005.
- − Gradov O.M., Stenflo L. Nonlinear subharmonic generation in nonuniform plasmas // Plasma Physics. V. 22. Issue 7. P. 727–732. 1980.
- − Grigoryan O.R., Panasyuk M.I., Petrov V.L., Sheveleva V.N., Petrov A.N. Spectral characteristics of electron fluxes at L < 2 under the Radiation Belts // Advances in Space Research. V. 42. P. 1523–1526. 2008.
- − Inan U.S., Carpenter D.L., Helliwell R.A., Katsufrakis J.P. Sunionospheric VLF/LF phase perturbations produced by lightning-induced particle precipitation // J. Geophysical Research. V. 90. P. 7457–7469. 1985.
- − Ma Q., Li W., Thorne R.M., Bortnik J. et al. Diffusive transport of several hundred keV electrons in the Earth’s slot region // J. Geophysical Research: Space Physics. V. 122. P. 10 235–10 246. 2017. https://doi.org/10.1002/2017JA024452
- − Meredith N.P., Horne R.B., Clilverd M.A., Ross J.P. An investigation of VLF transmitter wave power in the inner radiation belt and slot region // J. Geophysical Research: Space Physics. V. 124. P. 5246–5259. 2019. https://doi.org/10.1029/2019JA026715
- − Rastogi R.G. The diurnal development of the anomalous equatorial belt in the F2 region of the ionosphere // J. Geophysical Research. V. 64. № 7. P. 727–732. 1959.
- − Scali J.L., Dyson P.L. Behavior of the F2 layer at mid-latitudes. in: Solar-Terrestrial Predictions: Proceedings of a Workshop at Leura, Australia October 16–20, Volume 2: geomagnetic and space environment papers and ionospheric papers (ed. R.J. Thompson, D.G. Cole, P.J. Wilkinson, M.A. Shea, D. Smart, G. Heckman), Air Force Geophysics Laboratory, Bedford, Massachusetts, IPS Radio and Space Services, Chatswood, NSW 2057, Australia, U.S. Department of Commerce, National Oceanic and Atmospheric Administration, Environmental Research Laboratories, Boulder, Colorado, P. 352–366. 1989.
- − Suvorova A.V., Dmitriev A.V., Parkhomov V.A. Energetic electron enhancements under the radiation belt (L < 1.2) during a non-storm interval on 1 August 2008 // Annales Geophysicae. V. 37. P. 1223–1241. 2019. https://doi.org/10.5194/angeo-37-1223-2019
Дополнительные файлы











