Study of the delayed pumping effect in the underground laboratory by the method of correlation analysis of radon and aeroion concentrations
- Authors: Bezrukov L.B.1, Karpikov I.S.1, Kazalov V.V.1, Mezhokh A.K.1, Ingerman S.V.1, Sinev V.V.1,2, Agafonova N.Y.1, Dobrynina E.A.1, Enikeev R.I.1, Shakiryanova I.R.1, Yakushev V.F.1, Eroshenko Y.N.1, Filimonova N.A.1,3
- 
							Affiliations: 
							- Institute for Nuclear Research of the Russian Academy of Sciences
- National Research Nuclear University “MEPhI”
- Moscow Institute of Physics and Technology — State University (MIPT GU)
 
- Issue: Vol 64, No 1 (2024)
- Pages: 122-132
- Section: Articles
- URL: https://journal-vniispk.ru/0016-7940/article/view/260753
- DOI: https://doi.org/10.31857/S0016794024010121
- EDN: https://elibrary.ru/GPQMWP
- ID: 260753
Cite item
Full Text
Abstract
Measurements and correlation analysis of radon and aeroion concentrations in the underground laboratory were carried out. For pairs of variables “pressure — radon” and “pressure — ions”, a delayed pumping effect was found, similar to that previously observed for neutrons and gamma quanta. A simple phenomenological model explaining the results is presented. In this model, the reason for the delay is the gradual accumulation of radon in the room with a decrease in atmospheric pressure. The balance of the radon accumulation rate, the time of its radioactive decay and the characteristic time of pressure variations leads to an effective delay of 2 days between atmospheric pressure variations and radon concentration. Correlation analysis for the variables “pressure — ions” indicates that ions formed in the pores of the soil are already present in the air carrying radon to the laboratory. These ions make up approximately 21% of the total number of ions in the laboratory.
Full Text
1. Введение
Эффект выхода газов из грунта, в том числе радона [Kovach, 1945], при понижении атмосферного давления (пампинг-эффект, или эффект барометрической откачки) был исследован во множестве работ (см. обзоры [Etiope and Martinelli, 2002; Kuang et al., 2013]). При этом чаще всего рассматривалось изменение давления и выход газов в одни и те же моменты времени.
В работе [Стенькин и др., 2017] впервые был обнаружен задержанный барометрический эффект для нейтронов, рождающихся в результате радиоактивного распада радона. В соответствии с положением экстремума корреляционной функции вариации потока нейтронов отстают от вариаций атмосферного давления примерно на 2 сут. Позже был обнаружен аналогичный эффект для гамма-квантов [Стенькин и др., 2020], однако время задержки составило примерно 1 сут. Авторы [Стенькин и др., 2020] объясняют различие времен задержки тем, что нейтроны приходят в детектор с бо́льших глубин грунта, чем гамма-кванты.
В данной работе методом корреляционного анализа обнаружен задержанный пампинг-эффект для пар переменных “давление — радон” и “давление — ионы”. В наблюдениях использовались радиометр радона и счетчик аэроионов, расположенные в подземной лаборатории НИИЯФ МГУ (Москва). Подробности проведения экспериментов и описание модификации приборов приведены в статье [Безруков и др., 2022].
История исследования аэроионов насчитывает более ста лет и тесно связана с открытием электрона и космических лучей [Чижевский, 1989]. Как правило, изучались ионы вблизи поверхности Земли (см., например, [Warden et al., 2019]) или на различных положительных высотах. В работах Л. Б. Безрукова и его коллег начало развиваться новое перспективное направление исследования ионов в изолированных подземных полостях с использованием высокоточных термокорректируемых счетчиков ионов [Безруков и др., 2022]. Одним из главных результатов стало измерение избытка положительных ионов над отрицательными (коэффициент униполярности). В отличие от измерений на поверхности этот избыток нельзя полностью объяснить электродным эффектом.
Обнаруженный задержанный пампинг-эффект для пар переменных “давление — радон” и “давление — ионы” с хорошей точностью объясняется эффектом постепенного накопления радона в невентилируемой подземной лаборатории. Мы показываем, что характерное время задержки можно воспроизвести в рамках простых феноменологических моделей. Эти модели используют простейшее предположение, что поток радона в лабораторию является линейной функцией атмосферного давления. При обычно имеющих место малых изменениях атмосферного давления линейная зависимость является хорошим приближением. Второй возможный механизм задержанного пампинг-эффекта, связанный с постепенным распространением волны разрежения вглубь грунта, может играть определяющую роль для нейтронов [Стенькин и др., 2020], но для радона и ионов в подземной лаборатории он вторичен и не дает заметного вклада в величину задержки пампинг-эффекта.
Выполненные в данной работе измерения положения экстремумов корреляционных функций показали, что максимум в концентрации ионов достигается примерно через 18 ч после понижения давления и тем самым опережает максимум содержания радона, наступающего через 2 сут. Дана следующая интерпретация этого результата. Ионы в подземной лаборатории могут появляться двумя путями: они образуются при распаде радона непосредственно в помещении лаборатории и попадают в лабораторию “в готовом виде” вместе с веществом, которое просачивается в лабораторию из стен. Эти “готовые” ионы ранее образовались в грунте в результате распада радона или другими путями и вместе с газом попали в помещение. Если бы ионы возникали только при распаде радона в лаборатории (первый из указанных механизмов), то запаздывание ионов по сравнению с атмосферным давлением составляло бы около 2 сут (эта величина определяется автокорреляционной функцией атмосферного давления, что подробно объяснено в основном тексте). Во втором механизме запаздывания нет, так как регистрируемые легкие аэроионы — короткоживущие, и падение давления практически сразу ведет к выходу ионов в помещение. Рассчитанная нами корреляционная функция “ионы — давление” показала промежуточный вариант — запаздывание составило ≃18 ч, поэтому имеет место одновременное действие двух указанных процессов, а по времени запаздывания можно оценить относительный вклад этих двух механизмов. Такая оценка является одной из целей данной работы.
2. Измеряемые величины и корреляционные функции
В данной работе для измерений применялись радиометр радона “Альфарад-плюс” и модифицированный счетчик аэроионов “Сапфир-3М” [Безруков и др., 2022], расположенные в подземной лаборатории НИИЯФ МГУ на Воробьевых горах в Москве. Лаборатория объемом примерно 40 м3 находится на глубине 10 м (25 м водного эквивалента). В анализе используются данные измерений за февраль — сентябрь 2022 г. и применяются данные по атмосферному давлению, регистрируемому городской метеостанцией.
Пример измерения концентрации положительных и отрицательных ионов, а также отношения их концентраций в сравнении с атмосферным давлением представлен на рис. 1 для периода 12 марта — 6 апреля 2022 г. Измерения концентрации ионов производились каждые 4 с, на графике приведены данные, усредненные по интервалам 400 с. На рис. 1 хорошо видна антикорреляция хода концентраций ионов и атмосферного давления, поэтому целесообразным представляется провести корреляционный анализ всего набора данных. В нашем случае имеются данные за период февраль — сентябрь 2022 г.
Рис. 1. Вариации концентраций положительных I+и отрицательных I— ионов (в 103 см−3), отношения их концентраций (10 I+/I-) и атмосферного давления, приведенного к уровню моря, за 12 марта — 6 апреля 2022 г. Дни отсчитываются от начала года.
Коэффициент корреляции между концентрацией ионов и атмосферным давлением:
(1)
где , — средние, , —
выборочные дисперсии. В корреляционной функции сравниваемые величины берутся со сдвигом по времени:
(2)
и ясно, что K(0) = K0.
Процесс измерения неизбежно сопровождается стохастическими шумами, связанными с локальными потоками воздуха, дискретностью процесса радиоактивного распада и другими факторами. Будем помечать измеряемые величины звездочками, тогда измеряемая концентрация ионов I∗ = I + i, где предполагается, что стохастическая величина i(t) не коррелирует с давлением ⟨(p(t) − )(i(t) − )⟩ = 0, поэтому дисперсия . Тогда измеряемая корреляционная функция связана с идеальной (которая была бы без помех) следующим образом:
(3)
Эта функция показана на рис. 2. Отметим важное обстоятельство, что наличие случайной помехи i(t) не влияет на форму корреляционной функции, включая положение экстремумов, а только изменяет ее нормировку. Причем по сдвигу величины корреляционной функции можно оценить относительный вклад помехи по сравнению с реальным сигналом, что будет сделано далее.
Рис. 2. Наблюдаемые корреляционные функции концентрации ионов и атмосферного давления. Верхняя кривая — отрицательные ионы, нижняя — положительные.
Измеряемые значения расположены достаточно часто, поэтому хорошим приближением, удобным для теоретического анализа, будет замена в (2) суммирования на интегрирование по времени (с соответствующей нормировкой).
3. Феноменологические модели накопления радона
Радон поступает в помещение лаборатории вместе с грунтовыми газами и, возможно, с водой в процессе адвекции под влиянием разности давлений в грунте и в помещении, а также благодаря диффузии. Стены лаборатории лишь частично покрыты кафельной плиткой, и на больших участках штукатурки заметно просачивание влаги, что свидетельствует о достаточной газопроницаемости стен. При понижении атмосферного давления сразу же начинается выход газов из поверхностных слоев стен и грунта. Одновременно с этим вглубь Земли начинает распространяться область пониженного давления и возникает адвекционное движение газа (пампинг-эффект). Перенос газа в пористой среде описывается законом Дарси [Etiope and Martinelli, 2002], согласно которому скорость фильтрации:
(4)
где p — давление в рассматриваемой точке среды, k — проницаемость среды, η — коэффициент динамической вязкости. На малом масштабе l можно заменить ∇p разностью (p1 — p)/l. Похожий вид имеет и закон Пуазейля для единичного канала [Ландау и Лифшиц, 2001]:
(5)
где r — радиус канала (поры или трещины); l — его длина; p и p1 давление соответственно в лаборатории и в грунте вдали от стен. А для газа в изотермическом процессе:
(6)
Выписанные соотношения дают указание на то, что для потока радона в помещении важна разность давления в грунте и в лаборатории, хотя функциональные формы зависимости потока от разности давлений могут различаться.
Таким образом, можно сделать вывод, что для радона существуют два механизма задержанного пампинг-эффекта. Это постепенное накопление радона в помещении лаборатории при понижении атмосферного давления и постепенное распространение вглубь грунта волны разрежения, которая вызывает адвекцию газа в грунте. Далее мы покажем, что задержку по времени можно с хорошей точностью объяснить первым механизмом, а второй механизм существенной роли не играет, хотя в случае задержанного пампинг-эффекта для нейтронов он может быть определяющим [Стенькин и др., 2017].
Известно, что на поверхности Земли поток газа может иметь два направления: при уменьшении атмосферного давления ниже средней величины газ выходит из грунта, а при увеличении, наоборот, всасывается в грунт. За счет пампинг-эффекта и разбавления радона воздухом у поверхности в среднем имеет место положительный выход радона из грунта. Постоянная составляющая потока радона (средний положительный выход из стен) также должна возникать за счет диффузии и, возможно, за счет нелинейного пампинг-эффекта, исследованного в работе [Зырянов, 2013]. Подтверждением этой точки зрения может служить то, что концентрация радона в подземном помещении не спадает до нуля даже при длительном повышении атмосферного давления сверх средней величины. Расчет пампинг-эффекта в случае выхода газа на поверхность Земли был выполнен в работе [Mourzenko et al., 2014], в которой моделировалась геологическая среда, состоящая из пор и трещин, обменивающихся газом. Поток радона через стенки длинных цилиндрических подземных тоннелей был найден численным путем в работе [Eff-Darwich et al., 2002] в рамках более простой модели. Представлял бы интерес расчет, аналогичный [Eff-Darwich et al., 2002; Mourzenko et al., 2014], но для потока через стены подземного ограниченного помещения с учетом реальной геофизической обстановки. В данной работе мы не ставим цели построения точной микроскопической модели просачивания для конкретных геологических условий в лаборатории, а рассматриваем простые феноменологические формулы для потока.
В связи с имеющимися неопределенностями в качестве основной мы выбираем модель (назовем ее “модель I”), в которой имеется постоянный поток радона в помещении подземной лаборатории, но этот поток на некотором уровне промодулирован вариациями атмосферного давления. Также мы кратко рассмотрим вторую модель (“модель II”), предполагающую, что поток радона в помещении имеется лишь при уменьшении атмосферного давления ниже средней величины. При увеличении давления выше среднего в этой модели происходит обратное всасывание воздуха, однако оно практически не влияет на количество радона, поскольку имеющийся в помещении радон уже значительно разбавлен воздухом.
3.1. Модель с постоянной составляющей потока (модель I)
Если закон просачивания квадратичный, как в (6), или более сложный, то при имеющих место небольших относительных изменениях давления его можно приближенно аппроксимировать линейной зависимостью. Поэтому далее мы для оценок предположим, что поток газа из стен в единицу объема лаборатории записывается в виде:
(7)
где α = const; p1 = const. Функциональная зависимость (7) предполагает, что для задержанного пампинг-эффекта наиболее важно изменение давления в самой лаборатории, когда сразу происходит изменение в поступлении радона из стен, а распространение волн разрежения или сжатия вглубь грунта является менее важным эффектом.
Пусть β — масса радона в единице объема просачивающегося газа. Тогда изменение массы радона в единице объема лаборатории R описывается уравнением:
(8)
где τ = T1/2/ ln2 = 5.5 сут. — постоянная распада ядер радона; T1/2 = 3.8 сут. — время полураспада. Предполагаем для оценки, что воздух в лаборатории полностью перемешан. Решение уравнения (8) имеет вид:
(9)
где t1 — момент начала наблюдений; R(t1) = const — начальная плотность радона. При t − t1 ≫ τ первым слагаемым можно пренебречь. Обозначим
(10)
где верхний предел интегрирования при t − t1 ≫ τ ввиду экспоненциального подавления заменен на бесконечность. Тогда:
(11)
Значение функции R(t) в момент времени t зависит от давления в более ранние моменты времени, поскольку концентрация радона определяется с учетом некоторого эффективного времени накопления радона в помещении.
Если бы функция p(t) слабо менялась на интервале времени τ = 5.5 сут, то мы бы имели P(t) ≃ p(t − τ ) (это легко получить, разложив давление в ряд до первой степени по ∆t′ ), т.е. концентрация радона отставала бы от давления в среднем на τ = 5.5 сут. Но поскольку вариации давления на самом деле происходят быстрее (см. далее рис. 5), то выход радона в прошлом в значительной мере усредняется, и основной вклад вносят вариации давления на последних примерно 2 сут. до момента измерения. Таким образом, получается, что эффективная задержка радона по сравнению с давлением составляет не τ = 5.5 сут, а примерно 2 сут.
Величина 2 сут получена из измерений корреляционной функции “давление — радон”, показанной на рис. 3, где 2 сут соответствуют минимуму (максимальной антикорреляции). На том же рис. 3 показана корреляционная функция “давление — радон”, вычисленная с помощью формулы (11) с привлечением экспериментальных данных только по давлению (без данных по радону), но умноженная на нормировочный коэффициент 0.8. Мы видим, что у измеренной и рассчитанной корреляционных функций с хорошей точностью совпадают положения минимумов, хотя вдали от минимума простая модель измеренную кривую не воспроизводит. Возможно, это связано с циркуляцией воздуха в лаборатории или с другими процессами, учет которых выходит за рамки данной работы.
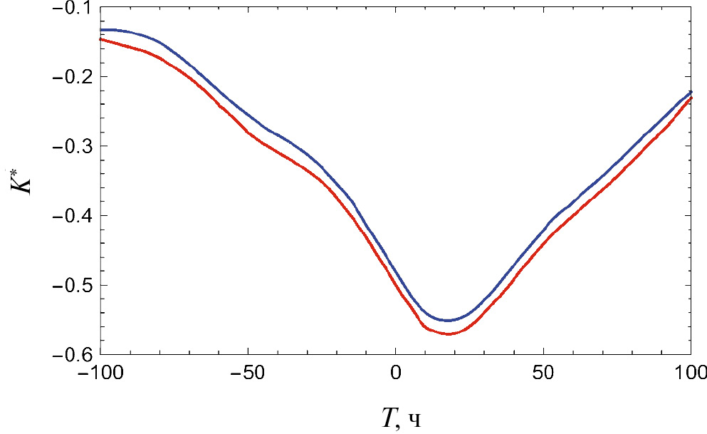
Рис. 3. Корреляционная функция давления и концентрации радона по измерениям радиометром радона Альфарад-плюс (верхняя сплошная кривая), корреляционная функция тех же величин, но полученная путем вычисления по формуле (11) с нормировочным коэффициентом 0.8 для учета шумовой помехи (штрихованная кривая). Точечная кривая с наибольшим значением в максимуме показывает корреляционную функцию положительных ионов с радоном, а вторая точечная кривая — корреляционную функцию отрицательных ионов с радоном. Штрихпунктирная кривая, помеченная символом “n”, показывает корреляционную функцию давление — нейтроны из работы [Стенькин и др., 2017]. Нижняя сплошная кривая показывает корреляционную функцию давления и радона в рамках модели II с умножением на нормировочный коэффициент 0.95.
На рис. 3 показана также корреляционная функция давление — нейтроны из работы [Стенькин и др., 2017], которая также имеет минимум вблизи времени 2 сут. Это соответствует полученному нами характерному времени накопления радона, но в [Стенькин и др., 2017] указано, что нейтроны рождаются преимущественно не в помещении, а в грунте толщиной 2—3 м вокруг стен лаборатории, поэтому накопление радона должно происходить также в слоях, окружающих лабораторию.
При измерении концентрации радона также имеют место стохастические помехи, поэтому измеряемая величина R∗ = R + r и наличие r(t) уменьшает нормировку корреляционной функции, не изменяя ее форму, аналогично формуле (3). На рис. 3 нормировочный коэффициент выбран равным 0.8. Это означает, что помеха составляет примерно 75% величины полезного сигнала.
Интересно отметить, что уравнение (8) математически эквивалентно уравнению:
(12)
описывающему процессы в простом электрическом контуре, изображенном на рис. 4 сверху. Накопление радона в помещении аналогично накоплению заряда q на конденсаторе C от источника тока j(t). В модели (7) имеется постоянная составляющая потока радона. В электрической схеме это соответствует наличию постоянной компоненты тока: j(t) = j0+∆j(t) с нулевым средним ⟨∆j(t)⟩ = 0. Распад радона эквивалентен разряду конденсатора через резистор с сопротивлением R. Если разорвать цепь в точке A, то конденсатор разрядится за характерное время τ = RC по экспоненциальному закону. Рассматриваемая электрическая цепь имеет интегрирующие свойства, поэтому заряд конденсатора (напряжение на конденсаторе) имеет сдвиг по фазе относительно тока на ϕ = −arctg(ν/ν0), где ν — частота сигнала (фурье-моды), а ν0 = 1/(RC). Это отставание по фазе аналогично задержанному пампинг-эффекту в подземной лаборатории.
Рис. 4. Эквивалентные электрические схемы моделей (7) (сверху) и (13) (снизу).
3.2. Модель с выходом радона при низком давлении (модель II)
Во второй модели мы предполагаем, что возможно обратное всасывание воздуха в грунт, но оно не влияет на концентрацию радона в подземной лаборатории из-за его разбавления большим объемом воздуха. Поэтому только эпизоды понижения давления ниже среднего ведут к изменению количества радона в подземной полости. Таким образом, мы предполагаем, что поток радона записывается в виде:
(13)
где θ(x) — тета-функция Хевисайда; θ(x) = 0 при x < 0 и θ(x) = 1 при x ≥ 0. Уравнение вида (8), но с потоком (13) в правой части, имеет решение:
(14)
Использование решения (14) в численном расчете корреляционной функции (2) показывает (см. рис. 3), что результат для модели (13) мало отличается от результата расчета в рамках модели (7). В обоих случаях имеется максимальная антикорреляция при T ∼ 2 сут. При других T корреляционые кривые близки между собой по форме, но во второй модели нормировочный коэффициент на 19% больше, т.е. меньше влияние случайных помех в измерениях.
Таким образом, на данном этапе на основе имеющихся данных корреляционный анализ не позволяет сделать выбор между моделью I или II, которые описываются формулами (7) и (13) соответственно. Отметим также, что обе рассматриваемые модели хорошо описывают положение экстремума корреляционной функции, но не объясняют ее форму вдали от экстремума.
В случае модели II эквивалентная электрическая схема показана на рис. 4 снизу. Здесь отсутствует постоянный поток радона, поэтому j0 = 0. Радон поступает в помещение только при уменьшении давления ниже среднего давления , и поток радона практически нулевой при p > . Это свойство реализуется включением в схему на рис. 4 диода.
4. Корреляционный анализ концентраций аэроионов
Оставаясь в рамках модели I, предположим, что ионы в подземной лаборатории возникают двумя путями: 1-й — при распаде радона в помещении лаборатории; 2-й — ионы попадают в лабораторию “в готовом виде” вместе с веществом, которое просачивается в лабораторию из стен. Например, внутри пузырьков газа. Эти “готовые” ионы ранее образовались в грунте в результате распада радона или другими путями и вместе с газом попали в помещение. Корреляционный анализ позволяет сравнить вклад механизмов 1 и 2.
Пусть при распаде единицы массы радона образуется γ ионов. Тогда количество ионов в единице объема лаборатории изменяется согласно уравнению:
(15)
где αrec — коэффициент рекомбинации легких ионов; αA — коэффициент поглощения легких ионов тяжелыми частицами (аэрозолем); Na — количество тяжелых частиц; δ — число “готовых” ионов, содержащихся в единице объема просачивающегося в лабораторию газа. Полученные результаты примерно одинаковы для положительных и отрицательных ионов, поэтому далее знаки ионов мы не различаем. При небольших относительных изменениях числа ионов I и постоянном Na первые два члена в правой части (15) можно было бы записать в приближенном виде −I/λ, где λ — характерное время жизни иона (порядка несколько минут). Действительно, тогда I2 = I( .+ ∆I) ≈ I . Но поскольку указанные приближения обычно не вполне точны, то дальнейший расчет имеет оценочный характер.
Учитывая (11) и малость λ по сравнению с типичным временем вариаций атмосферного давления, находим приближенное решение уравнения (15) в виде:
(16)
где k1 = λαβγ; k2 = λδα.
Среднее число ионов = (k1 + k2)(p1 — ). Подставляя (16) в (2) и перейдя от суммирования к интегралу по времени, получаем:
(17)
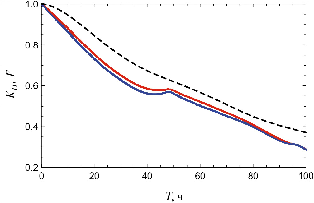
Введем автокорреляционную функцию давления (запись в дискретном виде):
(18)
Эта функция показана на рис. 5. При достаточной статистике F(−T) = F(T). Обозначим G(T) = dF(T)/dT. Подставим (10) в (17), изменим порядок интегрирований и запишем уравнение на минимум для функции (17):
(19)
Из этого уравнения в итоге получаем:
(20)
где точка минимума Tmin берется из корреляционной функции ионы — давление (в случае антикорреляции минимум соответствует наиболее сильной зависимости). В нашем случае, согласно рис. 2, имеем минимум при Tmin = 18 ч. Тогда из (20) находим k2/k1 = 0.272. Это означает, что 79% ионов появляется от распада радона непосредственно в помещении лаборатории, а 21% ионов выходит из стен “в готовом виде”.
Рис. 5. Автокорреляционные функции атмосферного давления (штрихованная кривая). концентраций положительных (верхняя сплошная кривая) и отрицательных (нижняя сплошная кривая) ионов.
Если при изменении давления из стены выходят и ионы, и радон, распадающийся с появлением новых ионов, то первоначальные “готовые” ионы и ионы, появившиеся при распаде, должны на некотором уровне коррелировать. Автокорреляционная функция ионов, полученная в измерениях, показана на рис. 5. На ней действительно видны дополнительные пики на временах порядка 2 сут, хотя эти пики малы. Их малость объясняется тем, что распад радона “размазан” по характерному интервалу времени 5.5 сут и за это время обычно существенно изменяется атмосферное давление, поэтому дополнительные корреляции с моментом выхода радона из стен малы.
На рис. 3 также была приведена корреляционная функция радон — ионы, которая показывает, что максимум выхода ионов примерно на сутки опережает максимум концентрации радона. Эта картина подтверждает наш вывод о том, что вместе с радоном из стен лаборатории выходят “готовые” ионы. Поскольку в помещении нет других источников ионизации и поступления воздуха через дверь или вентиляцию, то объяснить указанное опережение ионов какими-либо другими причинами не представляется возможным. Таким образом, “готовые” ионы присутствуют в тех же порциях воздуха, с которыми радон выходит из стен лаборатории.
Также нами были построены корреляционные функции для отношения числа положительных ионов к отрицательным и давления (I+/I− — p) и для отношения числа положительных ионов к отрицательным и концентрации радона (I+/I− — R), см. рис. 6. В первом случае корреляции малы (на уровне погрешностей), а во втором случае наблюдается некоторая корреляция, которая требует теоретического объяснения. Поскольку вариации отношения на двое суток опережают максимумы накопления радона, то эти вариации могут быть связаны с эпизодами понижения давления. Но при этом сложно объяснить малость корреляционной функции I+/I− — p. Более детальное исследование отличий в поведении положительных и отрицательных ионов мы планируем выполнить в будущих работах, специально посвященных измерению коэффициента униполярности в зависимости от различных внешних условий. Объяснение показанных на рис. 6 зависимостей будет одной из дальнейших целей.
Рис. 6. Корреляционные функции отношения числа положительных ионов к отрицательным и давления (штриховая кривая) и отношения числа положительных ионов к отрицательным и концентрации радона (сплошная кривая).
5. Заключение
В данной работе был выполнен корреляционный анализ данных в рамках простых феноменологических моделей выхода радона и аэроионов, показавший хорошее согласие в положении экстремумов рассчитанной и измеренной корреляционной функций. Соответствующая задержка по времени, измеренная в нейтронных измерениях [Стенькин и др., 2017], была названа термином “задержанный барометрический эффект”. В данной работе обнаружена новая форма данного эффекта для корреляций давление — радон и давление — ионы. Более детальное понимание может быть достигнуто в будущем путем исследования окружающей геологической среды и построения модели просачивания газов в лабораторию под влиянием разности давлений. Многие факторы, влияющие на этот процесс, уже были рассмотрены в [Etiope and Martinelli, 2002; Mourzenko et al., 2014] и других работах, хотя полная картина еще не полностью ясна.
Рассматриваемый задержанный пампинг-эффект для ионов и гамма-квантов должен действовать только в закрытом помещении, так как он связан с накоплением радона. Если в лаборатории работает вентиляция, выдувающая радон, то концентрация ионов и скорость счета гамма-квантов лаборатории будут меняться синхронно с выходом радона (без задержки), т.е. синхронно с изменением атмосферного давления. Действительно, в измерениях в тоннелях с естественной вентиляцией [Eff-Darwich et al., 2002], в которых эффективность природного воздухообмена с внешней средой сравнима с эффективностью работы принудительной вентиляции, задержанный пампинг-эффект не виден, хотя имеется хорошая корреляция радона с давлением в одни и те же моменты времени. Таким образом, наличия задержанного пампинг-эффекта в вентилируемых помещениях можно ожидать лишь для нейтронов, которые приходят в детектор из слоя грунта толщиной 2—3 м и поэтому не подвержены влиянию вентиляции [Стенькин и др., 2017].
Согласно выполненному в данной работе корреляционному анализу можно представить следующую картину процессов в подземной лаборатории. Выходящий из стен газ в некоторых пропорциях содержит как радон, так и легкие аэроионы, образовавшиеся в порах грунта. При понижении атмосферного давления выход газа из грунта более эффективен, поэтому с понижением давления радон в невентилируемом помещении начинает накапливаться. Максимальное содержание радона достигается спустя примерно 2 сут. после начала понижения давления. Численное значение этой задержки объясняется формой автокорреляционной функции атмосферного давления: давление в типичной ситуации изменяется быстрее, чем распадается радон (его постоянная распада τ = 5.5 сут.). Поскольку ионы поступали в помещение в повышенном количестве и в начале эпизода понижения давления, и в период максимального накопления радона, то экстремум их корреляционной функции с давлением находится при меньших временах, чем время максимального накопления радона, а именно: при 18 ч. Эта величина позволяет оценить, что 79% ионов появляется от распада радона непосредственно в помещении лаборатории, а 21% ионов выходит из стен “в готовом виде”.
Необходимо отметить, что корреляционный анализ описывает только наиболее типичные характеристики процессов. Длительные измерения показали, что имеются особые эпизоды, когда содержание ионов изменяется аномально при изменении окружающих условий. Например, есть эпизоды, когда концентрация ионов продолжала расти при увеличении давления. Аномалии могут быть связаны с потоками воздуха в лаборатории, с появлением аэрозоля или другими факторами. Роль аэрозоля состоит в том, что легкие ионы становятся недоступны для регистрации после прилипания к частицам аэрозоля.
Повышение точности измерений ионов в подземных лабораториях позволит в будущем выделять тонкие эффекты, связанные с неравенством количества положительных и отрицательных ионов. В том числе можно будет исследовать источники этого неравенства в близлежащем грунте и на большой глубине. Примером являются процессы дегидрирования соединений в недрах Земли [Ларин, 1973, 1980; Безруков и др., 2018]. При дегидрировании выделяются протоны, которые могут эффективно переноситься на большие расстояния в земную кору. Возникновение неравенства в близлежащем грунте, может быть понято из-за механизма Гротгуса, который описывает скачки положительного заряда через сеть водородных связей, значительно увеличивающих коэффициент диффузии положительного заряда во влажном грунте по сравнению с коэффициентом диффузии отрицательных ионов. Благодаря этому протоны могут более эффективно распространяться в грунте и образуемые ими положительные ионы могут выходить в повышенном количестве. Протон в воде образует ион гидроксония H3O+, а молекулы воды выстраиваются вокруг него определенным образом с формированием, в частности, катионов Цунделя H5O2+ и Эйгена H9O4+ (по фамилиям исследовавших их ученых).
Отметим также, что эксперименты в подземных лабораториях могут иметь важные практические применения, например для задачи прогнозирования землетрясений. Измерение концентрации ионов на поверхности Земли для цели прогнозирования землетрясений проводилось в работе [Warden, 2019]. Вариации атмосферного давления p приводят к изменению потока Q согласно выражению (7). В случае подготовки землетрясения изменение Q может происходить под влиянием вариаций давления в геологической среде p1, если перед землетрясением до места наблюдения дошли упругие сдвиги, причем достаточно, вероятно, микроскопических смещений. Либо эти сдвиги могли повлиять на эффективную структуру пор и трещин, на их размеры r и l. Такое же влияние может происходить под действием лунных приливов в грунте, что уже было отмечено в измерениях потока нейтронов [Алексеенко и др., 2007; 2009]. Но эти вопросы требуют дополнительного исследования.
Благодарности
Авторы благодарят рецензента за ряд замечаний, способствующих улучшению статьи, и выражают признательность Ю.В. Стенькину за полезные обсуждения.
Финансирование работы
Исследование выполнено частично за счет гранта Российского научного фонда №23-22-00048 (https://rscf.ru/project/23-22-00048/).
About the authors
L. B. Bezrukov
Institute for Nuclear Research of the Russian Academy of Sciences
							Author for correspondence.
							Email: bezrukov@inr.ac.ru
				                					                																			                												                	Russian Federation, 							Moscow						
I. S. Karpikov
Institute for Nuclear Research of the Russian Academy of Sciences
														Email: bezrukov@inr.ac.ru
				                					                																			                												                	Russian Federation, 							Moscow						
V. V. Kazalov
Institute for Nuclear Research of the Russian Academy of Sciences
														Email: bezrukov@inr.ac.ru
				                					                																			                												                	Russian Federation, 							Moscow						
A. K. Mezhokh
Institute for Nuclear Research of the Russian Academy of Sciences
														Email: bezrukov@inr.ac.ru
				                					                																			                												                	Russian Federation, 							Moscow						
S. V. Ingerman
Institute for Nuclear Research of the Russian Academy of Sciences
														Email: bezrukov@inr.ac.ru
				                					                																			                												                	Russian Federation, 							Moscow						
V. V. Sinev
Institute for Nuclear Research of the Russian Academy of Sciences; National Research Nuclear University “MEPhI”
														Email: vsinev@inr.ru
				                					                																			                												                	Russian Federation, 							Moscow; Moscow						
N. Yu. Agafonova
Institute for Nuclear Research of the Russian Academy of Sciences
														Email: bezrukov@inr.ac.ru
				                					                																			                												                	Russian Federation, 							Moscow						
E. A. Dobrynina
Institute for Nuclear Research of the Russian Academy of Sciences
														Email: bezrukov@inr.ac.ru
				                					                																			                												                	Russian Federation, 							Moscow						
R. I. Enikeev
Institute for Nuclear Research of the Russian Academy of Sciences
														Email: bezrukov@inr.ac.ru
				                					                																			                												                	Russian Federation, 							Moscow						
I. R. Shakiryanova
Institute for Nuclear Research of the Russian Academy of Sciences
														Email: bezrukov@inr.ac.ru
				                					                																			                												                	Russian Federation, 							Moscow						
V. F. Yakushev
Institute for Nuclear Research of the Russian Academy of Sciences
														Email: bezrukov@inr.ac.ru
				                					                																			                												                	Russian Federation, 							Moscow						
Yu. N. Eroshenko
Institute for Nuclear Research of the Russian Academy of Sciences
														Email: eroshenko@inr.ac.ru
				                					                																			                												                	Russian Federation, 							Moscow						
N. A. Filimonova
Institute for Nuclear Research of the Russian Academy of Sciences; Moscow Institute of Physics and Technology — State University (MIPT GU)
														Email: bezrukov@inr.ac.ru
				                					                																			                												                	Russian Federation, 							Moscow; Dolgoprudny						
References
- Алексеенко В.В., Джаппуев Д.Д., Козяривский В.А., Куджаев А.У., Кузьминов В.В., Михайлова О.И., Стенькин Ю.В. Анализ вариаций потока тепловых нейтронов на высоте 1700 м над уровнем моря // Изв. РАН. Сер. физическая. Т. 71. № 7. С. 1075—1078. 2007.
- Алексеенко В.В., Гаврилюк Ю.М., Громушкин Д.М., Джаппуев Д.Д., Куджаев А.У., Кузьминов В.В., Михайлова O.И., Стенькин Ю.В., Степанов В.И. Связь вариаций потока тепловых нейтронов из земной коры с лунными периодами и сейсмической активностью // Физика Земли. Т. 8. С. 91—100. 2009.
- Безруков Л.Б., Заварзина В.П., Курлович А.С., Лубсандоржиев Б.К., Межох А.К., Моргалюк В.П., Синёв В.В. Об отрицательно заряженном слое электрического поля Земли // ДАН. Т. 480. № 2. С. 155—157. 2018. https://doi.org/10.7868/S0869565218140050
- Безруков Л.Б., Громцева A.Ф., Заварзина В.П., Карпиков И.С., Курлович А.С., Лебедев Д.А., Межох А.К., Наумов П.Ю., Силаева С.В., Синёв В.В. Наблюдение избытка положительных аэроионов в подземных полостях // Геомагнетизм и аэрономия. T. 62. № 6. С. 755—768. 2022. https://doi.org/10.31857/S0016794022060025
- Зырянов В.Н. Нелинейный пампинг-эффект в колебательных процессах в геофизике // Водные ресурсы. Т. 40. № 3. С. 227—239. 2013.
- Ландау Л.Д., Лифшиц Е.М. Теоретическая физика. В 10 т. Т. VI. Гидродинамика. М.: Физматлит, 736 с. 2001.
- Ларин В.Н. Планетохимическое следствие современной космогонии // ДАН. Т. 210. № 5. С. 1193—1196. 1973.
- Ларин В.Н. Гипотеза изначально гидридной Земли. М.: Недра, 215 c. 1980.
- Стенькин Ю.В., Алексеенко В.В., Громушкин Д.М., Сулаков В.П., Щеголев О.Б. Подземная физика и эффект влияния барометрического давления на подземный фоновый поток тепловых нейтронов // ЖЭТФ. Т. 151. № 5. С. 845—849. 2017.
- Стенькин Ю.В., Алексеенко Ю.В., Игошин А.В., Кулешов Д.А., Левочкин К.Р., Степанов В.И., Сулаков В.П., Щеголев О.Б. Подземная физика и нелинейный задержанный барометрический эффект гамма-фона // ЖЭТФ. Т. 158. № 3 (9). С. 469—473. 2020. https://doi.org/10.31857/S0044451020090059
- Чижевский А.Л. Аэроионификация в народном хозяйстве. М.: Стройиздат, 1989. 488 с.
- Etiope G., Martinelli G. Migration of carrier and trace gases in the geosphere: an overview // Phys. Earth Planet. In. V. 129. № 3—4. P. 185—204. 2002. https://doi.org/10.1016/S0031-9201(01)00292-8
- Eff-Darwich A., Martin-Luis C., Quesada M., de la Nuez J., Coello J. Variations on the concentration of 222Rn in the subsurface of the volcanic island of Tenerife, Canary Islands // Geophys. Res. Lett. V. 29. № 22. ID 2069. 2002. https://doi.org/10.1029/2002GL015387
- Kovach E.M. Meteorological influences upon the radon-content of soil-gas // Eos Trans. AGU. V. 26. № 2. P. 241—248. 1945. https://doi.org/10.1029/TR026i002p00241
- Kuang X., Jiao J.J., Li H. Review on airflow in unsaturated zones induced by natural forcings // Water Resour. Res. V. 49. № 10. P. 6137—6165. 2013. https://doi.org/10.1002/wrcr.20416
- Mourzenko V.V., Varloteaux C., Guillon S., Thovert J.-F., Pili E., Adler P.M. Barometric pumping of a fractured porous medium // Geophys. Res. Lett. V. 41. № 19. P. 6698—6704. 2014. https://doi.org/10.1002/2014GL060865
- Warden S., Bleier T., Kappler K. Long term air ion monitoring in search of pre-earthquake signals // J. Atmos. Sol.-Terr. Phy. V. 186. P. 47—60. 2019. https://doi.org/10.1016/j.jastp.2019.01.009
Supplementary files
 
				
			 
					 
						 
						 
						 
						 
				
 
  
  
  Email this article
			Email this article 







