Influence of solar activity variations on the day-to-day NmE variability during geomagnetically quiet conditions according to the ground-based Dourbes ionosonde data
- Authors: Pavlov A.V.1, Pavlova N.M.1
-
Affiliations:
- Pushkov Institute of Terrestrial Magnetism, Ionosphere, and Radio Wave Propagation of Russian Academy of Sciences
- Issue: Vol 64, No 3 (2024)
- Pages: 416-432
- Section: Articles
- URL: https://journal-vniispk.ru/0016-7940/article/view/274420
- DOI: https://doi.org/10.31857/S0016794024030087
- EDN: https://elibrary.ru/SMLNND
- ID: 274420
Cite item
Full Text
Abstract
A study of day-to-day variations in the statistical characteristics of the ionospheric E layer electron number density NmE for each month in the year under geomagnetically quiet conditions at low and middle solar activity was carried out according to the hourly ground-based Dourbes ionosonde measurements of the ionospheric E layer critical frequency during the time periods from 1957 to 2023. The NmE statistical parameters under calculations are the mathematical expectation NmEE, the most probable NmEMP, the arithmetical mean monthly median NmEMED, the standard deviations sE, sMP, sMED, and the variation coefficients CVE, CVMP, and CVMED of NmE relative to NmEE, NmEMP, and NmEMED, respectively. It was shown that the value of NmEE provides the best description of a set of observations of NmE by one parameter due to the lower day-to-day variability of NmE compared to NmEMP or NmEMED. It was proven for the first time that the transition from low to middle solar activity leads to significant changes in the day-to-day variability of NmE with the longest periods of increases and decreases in the studied variability in March and December, respectively.
Full Text
1. ВВЕДЕНИЕ
Электронная концентрация NmE максимума слоя E ионосферы, измеренная в геомагнито-спокойных условиях примерно над одной и той же точкой поверхности Земли при одних и тех же или при близких значениях местного времени, номера дня в году и уровня солнечной активности, значительно изменяется от одних суток к другим суткам, формируя межсуточную изменчивость NmE.
Из анализа источников межсуточных вариаций NmE (см., например, обзоры [Moore et al., 2006; Nicolls et al., 2012; Liu et al., 2021; Mendillo, 2021] и далее п. 2 настоящей работы) следует, что данная изменчивость NmE позволяет рассматривать NmE как случайный параметр, для изучения исследуемых вариаций которого можно применять статистические методы, описанные, например, в монографиях [Кремер, 2012; Балдин и др., 2016; Ross, 2004; Gatti, 2005]. Такой статистический подход был использован авторами работ [Павлов и Павлова, 2016; Pavlov and Pavlova, 2017] при изучении межсуточных вариаций NmE средних широт в условиях низкой солнечной активности. Для этого проводились расчеты математического ожидания NmEE, наиболее вероятного значения NmEMP, арифметически средней месячной медианы NmEMED, арифметически средней величины NmEA, стандартных отклонений величины NmE от NmEE, NmEMP и NmEMED и коэффициентов вариаций CVE, CVMP и CVMED значения NmE относительно NmEE, NmEMP и NmEMED соответственно.
Цель настоящей работы – рассчитать для каждого месяца года вариации вышеуказанных статистических характеристик межсуточной изменчивости NmE в геомагнито-спокойных условиях при низкой и средней солнечной активности по данным часовых измерений критической частоты foE наземного ионозонда Dourbes с 1957 по 2023 г., что позволит впервые изучить влияние вариаций солнечной активности на межсуточную изменчивость NmE средних широт для каждого месяца года.
2. ИСТОЧНИКИ МЕЖСУТОЧНОЙ ИЗМЕНЧИВОСТИ NmE
Из теоретических расчетов состава, структуры и динамики области E ионосферы и анализа вариаций скоростей образования и потерь концентраций ионов и электронов на этих высотах ионосферы следует, что при заданных географических координатах, месяце года и местном времени изменения ото дня ко дню концентрации NmE слоя E ионосферы зависят от зенитного угла Солнца, изменений потока рентгеновского и крайнего ультрафиолетового излучения Солнца в цикле солнечной активности и вариаций температуры и концентраций нейтральных компонентов атмосферы с солнечной и геомагнитной активностью (см., например, [Pavlov and Pavlova, 2013; Павлов и Павлова, 2015; Schunk and Nagy, 2009]).
Среднесуточный индекс F10.7 солнечной активности (или среднесуточное число солнечных пятен) и трехчасовой индекс Ap (или Kp) геомагнитной активности широко применяются для описания влияния солнечной и геомагнитной активности на ионосферу (см., например, [Акасофу и Чепмен, 1974; Брюнелли и Намгаладзе, 1988; Schunk and Nagy, 2009] и ссылки в этих монографиях). Как указано ниже, это служит одним из источников неопределенностей расчетов NmE.
Ионы NO+ и O2+ являются основными ионами области E ионосферы [Schunk and Nagy, 2009]. Характерное время достижения фотохимического равновесия этих ионов в реакциях диссоциативной рекомбинации ионов NO+ и O2+ с электронами меньше примерно одной минуты в дневных условиях вблизи максимума слоя E ионосферы [Banks and Kockarts, 1973], т.е. намного меньше трех часов. Поэтому вариации NmE, вызванные изменениями геомагнитной активности за время менее трех часов, не могут быть корректно описаны при использовании трехчасовых индексов Ap или Kp. Кроме того, характерная продолжительность полярной суббури составляет от 1 до 3 ч [Акасофу, 1971]. Поэтому использование трехчасовых индексов геомагнитной активности может привести к некорректной идентификации геомагнито-спокойных условий, так как за это время полярная суббуря может начаться и закончиться. Таким образом, межсуточные вариации NmE можно рассматривать как случайные изменения NmE, если один из трехчасовых индексов Ap или Kp используется при определении уровня геомагнитной активности.
Вариации потока рентгеновского и крайнего ультрафиолетового солнечного излучения с характерными временами менее суток не могут быть описаны при использовании среднесуточного индекса F10.7 или других среднесуточных индексов солнечной активности [Acebal and Sojka, 2011]. Поэтому реакция NmE на такие изменения потока солнечного излучения также не может быть корректно описана при использовании среднесуточных индексов солнечной активности. Следует также отметить, что, согласно исследованию [Manson, 1976], корреляция вариаций индекса F10.7 и потока излучения Солнца в области длин волн от 5.2 до 12 нм, оказывающего существенное влияние на NmE [Sengupta, 1970; Pavlov and Pavlova, 2013; Sojka et al., 2014; Павлов и Павлова, 2015], слабо выражена. Поэтому заметное отличие между вычисленным и измеренным NmE можно объяснить неопределенностями предсказания этого излучения по индексу F10.7 и среднему значению индекса F10.7 за 81 день с центром в рассматриваемый день [Pavlov and Pavlova, 2013; Sojka et al., 2014; Павлов и Павлова, 2015]. Поэтому использование индексов F10.7 и как индикатора солнечной активности является одним из источников исследуемой межсуточной изменчивости NmE, и эти вариации NmE можно рассматривать как случайные изменения NmE.
В результате взаимодействия метеорного потока с набегающими потоками газа атмосферы происходит разбрызгивание и частичное испарение расплавленного материала метеоров, что приводит к формированию слоев паров атомов металлов (процесс абляции метеорных тел). После абляции концентрации компонентов пара изменяются в процессах его переноса ветром и диффузией и в химических реакциях рассматриваемых атомов с компонентами атмосферы, формируя высотные профили атомов металлов. Ионы атомов металлов образуются в атмосфере при ионизации паров атомов и в химических реакциях рассматриваемых атомов с ионами ионосферы. На средних широтах диффузия и дрейф ионов металлов вдоль магнитного поля приводит к увеличению концентраций ионов металлов на высотах области E ионосферы [Whitehead, 1970; Haldoupis, 2012]. Вышеперечисленные процессы являются источниками ионов металлов на высотах областей D и E ионосферы (см., например, [Pavlov 2012] и ссылки в этом обзоре). Иногда в результате вторжения в атмосферу метеорного потока происходит сильная деформация всей области E ионосферы, приводя к формированию слоя E шириной 30−40 км [Pellinen-Wannberg et al., 2014]. Ветровой сдвиг может привести к формированию спорадического слоя E ионосферы, состоящего в основном из ионов металлов [Whitehead, 1970; Haldoupis, 2012]. Присутствие ионов металлов на всех высотах области E ионосферы приводит к некоторым вариациям концентрации тепловых электронов из-за условия квазинейтральности плазмы. За исключением области спорадического слоя E ионосферы, ионы металлов – малые составляющие ионосферы, и эти вариации электронной концентрации не значительны. Характерное время изменения концентраций металлических ионов в химических реакциях изменяется от нескольких суток до нескольких недель вблизи высоты максимума слоя E ионосферы (см., например, [Pavlov, 2012] и ссылки в этом обзоре), т.е. концентрации ионов металлов оказывают некоторое влияние на NmE в течение длительного времени после взаимодействия метеорного потока с атмосферой. Из-за большого числа неопределенностей невозможно предсказать концентрации металлических ионов на высоте максимума слоя E ионосферы в какой-либо момент времени при заданных географических координатах. Поэтому вариации концентраций ионов металлов метеорного происхождения являются одним из источников исследуемой изменчивости NmE, и эти вариации NmE можно рассматривать как случайные изменения NmE.
При фиксированных значенияx мирового времени UT, месяце года и уровней солнечной и геомагнитной активности переход от одних суток к другим суткам вызывает изменение NmE за счет зависимости NmE от зенитного угла Солнца, величина которого зависит от номера дня в году (см., например, [Павлов и Павлова, 2010]). Изменение номера дня в году в течение рассматриваемого месяца года вызывает соответствующую изменчивость NmE. В условиях низкой солнечной активности преобладающее число измерений геомагнито-спокойных foE, имеющихся в международной базе данных, проводилось при фиксированных UT=0, 1, …, 23 ч с шагом в один час. Поэтому отсутствует возможность выполнить достоверные статистические расчеты статистических параметров NmE, измеренных каким-либо ионозондом в течение месяца при одном и том же зенитном угле Солнца (недостаточно данных). Таким образом, зависимость NmE от зенитного угла Солнца при фиксированном UT и месяце года можно рассматривать как один из источников межсуточной изменчивости NmE.
Ионизация N2 и O2 солнечным излучением и образующимися фотоэлектронами – источник первичных ионов N2+ и O2+ области E ионосферы средних широт, а химические реакции с участием ионов N2+, O2+ и NO+, включающие в себя NO и O2, формируют зависимость NmE от концентраций N2, O2 и NO и температуры нейтральной атмосферы и электронов (см., например, [Брюнелли и Намгаладзе, 1988; Schunk and Nagy, 2009; Pavlov, 2012]). Из теоретических расчетов [Pavlov, 1994] следует, что отличием температуры электронов от температуры нейтральной атмосферы можно пренебречь на высотах областей D и E ионосферы. Таким образом, межсуточная изменчивость концентраций N2, O2 и NO и температуры нейтральной атмосферы (см., например, [Krall et al., 2016; Liu et al., 2021]) ответственна за часть межсуточной изменчивости NmE.
3. ЭКСПЕРИМЕНТАЛЬНЫЕ ДАННЫЕ И МЕТОД ИХ АНАЛИЗА
В работе используются часовые значения foE, измеренные ионозондом Dourbes (50.1° N, 4.6° E, 1957−2023 гг.), где в скобках указаны географические координаты и годы, в течение которых проводились измерения. Величины foE были скопированы с помощью интернета из базы геофизического центра данных Боулдер, США (https://www.ngdc.noaa.gov/stp/iono/ionohome.html) и базы мирового центра данных по солнечно-земной физике Великобритании (https://www.ukssdc.ac.uk/cgi-bin/digisondes/cost_database.pl). Для определения значений NmE используется связь между NmE и foE [Пиггот и Равер, 1978]
NmE =1.24×104 foE2, (1)
где размерности NmE и foE – см-3 и МГц соответственно.
Следуя подходу [Павлов и Павлова, 2016; Pavlov and Pavlova, 2017], значение foE, измеренное в момент мирового времени UT, рассматривается как геомагнито-спокойное значение foE, если Kp ≤ 3 в течение 24-часового периода, предшествующего моменту измерения foE, включая момент измерения foE. Сортировка геомагнито-спокойных foE проводилась по номеру месяца в году и выбирались только часовые измерения foE в моменты мирового времени UT от 07:00 до 17:00. В этом промежутке времени число результатов измерений foE(UT,M) в геомагнито-спокойных условиях и заданном уровне солнечной активности достаточно для проведения статистических исследований (см. п. 4). Величины UT и солнечное местное время SLT связаны соотношением SLT=UT+l/15, где l – географическая долгота в градусах, а единицы измерения SLT и UT – часы.
Значение NmE зависит от потока ионизирующего солнечного излучения в рассматриваемый день, величина которого коррелирует с индексом солнечной активности F10.7 для исследуемого дня и арифметически средним значением индекса F10.7 за 81 день с центром в рассматриваемый день [Richards et al., 1994]. С другой стороны, изменения NmE в цикле солнечной активности также связаны с вариациями температуры и концентраций нейтральных компонентов, зависимость которых от солнечной активности определяется изменениями индексов F10.7p (величина F10.7 в день, предшествующий рассматриваемому дню) и [Hedin, 1987; Picone et al., 2002]. Поэтому зависимость NmE от солнечной активности можно приближенно описать в терминах изменений индексов F10.7, F10.7p и . В настоящей работе рассматриваются NmE, измеренные ионозондом Dourbes при низкой солнечной активности, когда 65≤F10.7≤85, 65≤F10.7p≤85, 65 ≤85 и средней солнечной активности, определяемой изменениями индексов 85<F10.7≤135, 85<F10.7p≤135, 85<≤135, где индексы F10.7, F10.7p и выражены в единицах10-22 Вт м-2 Гц-1.
Рассмотрим измеренные частоты foEk и соответствующие значения NmЕk при фиксированных значениях UT и месяце M года, где k – положительное целое число. При статистическом определении за вероятность (плотность распределения вероятности) события принимают относительную частоту события [Кремер, 2012; Балдин и др., 2016; Ross, 2004; Gatti, 2005]. Поэтому вероятность Wk измерения NmЕk вычисляется по формуле
Wk(UT,M)=Fk(UT,M)/F(UT,M), (2)
где Fk(UT,M) – число измерений геомагнито-спокойных NmEk для выбранных UT и M; F(UT,M)=Fk (UT,M) – полное число измерений геомагнито-спокойных NmE.
Если событие обязательно произойдёт, то вероятность рассматриваемого события равна 100%. Поэтому для определения выраженной в процентах вероятности Pk измерения NmЕk используется выражение
Pk(UT,M)=100Wk(UT,M). (3)
При заданных значениях UT и M математическое ожидание и арифметически среднее значение NmE определяются по формулам:
, (4)
NmEA= NmEk/F, (5)
а наиболее вероятная величина NmEMP (мода) максимума электронной концентрации слоя Е ионосферы соответствует максимуму вероятности Wk.
Если значения UT и M фиксированы, то арифметически средняя месячная медиана NmEMED электронной концентрации максимума слоя E ионосферы определяется как сумма месячных медиан NmE*, деленная на общее число медиан для данного набора измерений ионозонда. При этом величина NmE* вычисляется из измеренной медианы foE* критической частоты foE слоя E ионосферы, используя связь между NmE и foE (см., например, [Пиггот и Равер, 1978]). Для нахождения foE* значения foE, измеренные ионозондом в течение месяца M при данном UT, сортируются в порядке возрастания их амплитуд, формируя последовательность foE. При нечетном количестве foE медиана foE* равна foE, расположенной в середине этой последовательности. Если количество foE в рассматриваемой последовательности нечетно, то foE* вычисляется как арифметически среднее значение двух серединных величин данной последовательности foE. Значения индексов F10.7, F10.7p и для дня, соответствующего серединной foE, или двух дней в случае двух серединных foE определяют уровень солнечной активности для NmE*. Отметим, что измерения foE отсутствуют для некоторых дней и при малом количестве измерений foE в месяце найденную величину foE* нельзя рассматривать в качестве месячной медианы foE. В настоящей работе и, например, в работах [Павлов и Павлова, 2016; Pavlov and Pavlova, 2017] вычисленная foE* рассматривается как месячная медиана foE, если число измерений foE больше или равно 20.
Для каждого месяца года при заданном UT стандартные (среднеквадратичные) отклонения σE, σMP и σMED величины NmE, соответственно от NmEE, NmEMP и NmEMED, имеют вид
σE=[Wk(NmEk – NmEE )2]0.5, (6)
σMP=[Wk(NmEk – NmEMP)2]0.5, (7)
σMED=[Wk(NmEk – NmEMED)2]0.5, (8)
а выраженные в процентах коэффициенты CVE, CVMP и CVMED вариаций NmE относительно NmEE, NmEMP и NmEMED вычисляются по формулам:
CVE=100σE/NmEE, (9)
CVMP=100σMP/NmEMP, (10)
CVMED=100σMED/NmEMED. (11)
Если параметр A – результат измерения величины В, то относительное отличие А от B (относительная погрешность измерения B) обычно определяется как |1–A/B| (см., например, [Тейлор, 1985]). Следуя этому общепринятому подходу, рассмотрим случай, когда два параметра A и B одинаковой размерности характеризуют один и тот же объект С, причем доказано, что оценка С параметром В – более точная, чем параметром А. В этом случае относительное различие между этими параметрами можно определять как |1–A/B| при В≠0, т.е. как отличие менее точного параметра А от более точного параметра B [Демидович и Марон, 1970; Мак-Кракен и Дорн, 1977]. Поэтому выраженное в процентах отличие Z(A,B) между двумя статистическими параметрами A и B электронной концентрации максимума слоя E ионосферы определяется выражением
Z(A,B)=100|B–A|/B, (12)
где В и А – соответственно, более точная и менее точная характеристики изменчивости NmE одинаковой размерности.
Результаты проведенных измерений NmE могут иногда существенно отличаться от наблюдаемых средних значений NmE. Необходимо быть уверенным, что эти результаты не являются грубой ошибкой измерений (промахом, выбросом, аномальным измерением). Грубые ошибки обычно обусловлены неправильным отсчетом по шкале прибора, ошибкой при записи наблюдений, наличием сильно влияющей величины, неисправностью средств измерений, и эти ошибки влияют на достоверность измерений и величин статистических параметров [Агекян, 1968; Кобзарь, 2006]. Поэтому результаты измерений, содержащие грубые ошибки, необходимо выявлять и исключать из обработки данных.
Промахи обычно приводят к аномально большим или очень малым по абсолютной величине ошибкам измерений, и эти грубые ошибки измерений можно обнаружить по резкому выпадению аномального результата из общего ряда полученных экспериментальных данных (см., например, [Агекян, 1968; Кобзарь, 2006]). Для выявления и удаления аномально низких и аномально высоких значений NmE при произвольном законе распределения плотности распределения вероятности можно использовать неравенство Чебышева [Durivage, 2022], согласно которому любое выборочное значение NmE не может отклоняться от математического ожидания NmE на произвольную величину (см., например, [Дэйвид, 1979; Кобзарь, 2006; Durivage, 2022]):
NmEE(UT,M) − d(UT,M) ≤NmE(UT,M)≤
≤ NmEE(UT,M) + d(UT,M), (13)
где d(UT,M)=σE(UT,M)(1−q)-0.5, q – доверительная вероятность.
Известно (см., например, [Балдин и др., 2016]), что при нормальном (гауссовом) законе распределения случайной величины X вероятность попадания X в интервал (XE − 3σ, XE + 3σ) составляет 0.997, где XE – математическое ожидание X и σ – стандартное отклонение X от XE. Если закон распределения X отличается от нормального (см. п. 4.1), то вероятность данного события будет не ниже 8/9 [Балдин и др., 2016]. Исходя из этого в настоящей работе используется значение q=0.997. Заданная доверительная вероятность и вычисленные значения NmEE и σE позволяют скорректировать выборку с помощью неравенства (13). Применение в расчетах статистических параметров NmE метода последовательных приближений обусловлено зависимостью объема выборки от NmEE и σE. В первом приближении условие (13) не используется.
4. РЕЗУЛЬТАТЫ И ИХ ОБСУЖДЕНИЕ
Для приведенных в п. 3 промежутков времени часовых измерений foE величина F(UT,M)≥48 в условиях низкой солнечной активности и значение F(UT,M)≥39 при средней солнечной активности. Таким образом, используемые величины F(UT,M)≥30, т.е. достаточно велики для корректного вычисления NmEE, σE и CVE [Gatti, 2005; Verma and Verma, 2020]. Если используются только часовые измерения foE в моменты мирового времени UT от 08:00 до 15:00, то F(UT,M)≥251 и F(UT,M)≥114 в условиях низкой и средней солнечной активности соответственно. В этом случае используемaя величина F≥100, т.е достаточно велика для корректного вычисления всех рассматриваемых статистических параметров NmE [Gatti, 2005; Rumsey, 2022]. Статистическое исследование показало, что арифметически среднее NmE отличается от математического ожидания NmE не более, чем на 7.3% и 9.6% при низкой и средней солнечной активности соответственно.
4.1. Полимодальность Pk
Результаты расчетов вероятности Pk появления NmEk показаны для каждого месяца года вблизи полдня в 12:00 UT (12:18 SLT) на рис. 1 и рис. 2 при низкой и средней солнечной активности соответственно. Видно, что вычисленная вероятность достигает локального максимума в нескольких точках, т.е. распределение вероятности является полимодальным (многомодальным или мультимодальным). Полимодальность рассматриваемого распределения вероятности свидетельствует о существенной неоднородности множества значений исследуемой величины и показывает, что результаты наблюдений NmE состоят из нескольких подмножеств данных с разными законами распределения вероятности [Titterington et al., 1985; Howell, 2013]. Поэтому можно предположить, что полимодальность Pk может возникать благодаря существованию нескольких источников изменчивости NmE, приведенных в п. 2. Следует отметить, что полимодальность распределения вероятности характерна и для межсуточной изменчивости NmF2 низких и средних широт [Pavlov and Pavlova, 2016; Павлов и Павлова, 2023].
Рис. 1. Зависимость Pk от NmE в 12:00 UT (12:18 SLT) при низкой солнечной активности. Сплошные и штриховые кривые соответствуют январю и февралю (верхняя левая панель), марту и апрелю (средняя левая панель), маю и июню (нижняя левая панель), июлю и августу (верхняя правая панель), сентябрю и октябрю (средняя правая панель) и ноябрю и декабрю (нижняя правая панель).
Рис. 2. Зависимость Pk от NmE в 12:00 UT (12:18 SLT) при средней солнечной активности. Соответствие сплошных и штриховых кривых месяцам года тоже, что и на рис. 1.
4.2. Сравнение NmEMED и NmEMP с NmEE
Из проведенных расчетов следует, что при фиксированном значениях UT и M 0%≤Z(NmEMED, NmEE)≤10%, 0%≤Z(NmEMP,NmEE)≤12% в условиях низкой солнечной активности и 0%≤Z(NmEMED, NmEE)≤5%, 0%≤Z(NmEMP, NmEE)≤18% при средней солнечной активности. Таким образом, в соответствии с выводами работ [Павлов и Павлова, 2016; Pavlov and Pavlova, 2017] рассматриваемые количественные статистические характеристики, каждая из которых может обеспечить описание множества наблюдений рассматриваемой случайной величины NmE, заметно отличаются друг от друга и результаты решения задачи с участием статистической характеристики NmE зависят от выбора между NmEE, NmEMED и NmEMP.
4.3. Сравнение σMED и σMP с σE
При выполнении закона больших чисел математическое ожидание квадрата отклонения случайной величины X от любой постоянной величины превосходит или совпадает с математическим ожиданием квадрата отклонения X от математического ожидания X [Кремер, 2012; Балдин и др., 2016; Ross, 2004]. В соответствии с этим общим выводом математической статистики вычисленные значения σE, σMED и σMP удовлетворяют неравенствам
σE ≤ σMED, σE ≤ σMP (14)
как при низкой, так и при средней солнечной активности при заданных значениях UT и M.
Таким образом, абсолютная величина изменчивости NmE минимальна при использовании NmEE. Отметим, что максимальные значения Z(σMED,σE) и Z(σMP,σE) составляют 37 и 42% при низкой солнечной активности соответственно, а при средней солнечной активности эти максимальные значения равны 16 и 56% соответственно. Таким образом, стандартные отклонения σMED и σMP существенно отличатся от σE как при низкой, так и при средней солнечной активности.
Величины σE, σMED и σMP дают абсолютную оценку меры разброса электронной концентрации максимума слоя E ионосферы относительно NmEE, NmEMED и NmEMP соответственно. Чтобы определить, насколько разброс NmE велик или мал независимо от величины NmE, используются коэффициенты вариаций CVE, CVMED и CVMP. Кроме того, статистические параметры NmEE, NmEMED и NmEMP зависят не только от UT и M, но и от уровня солнечной активности и географической широты и долготы. Поэтому коэффициенты вариаций NmE, являющиеся относительными показателями межсуточной изменчивости NmE, также необходимы и для сопоставления степени этой изменчивости при разных значениях уровня солнечной активности, географической широты и долготы, UT и M.
4.4. Сравнение CVMED и CVMP с CVE
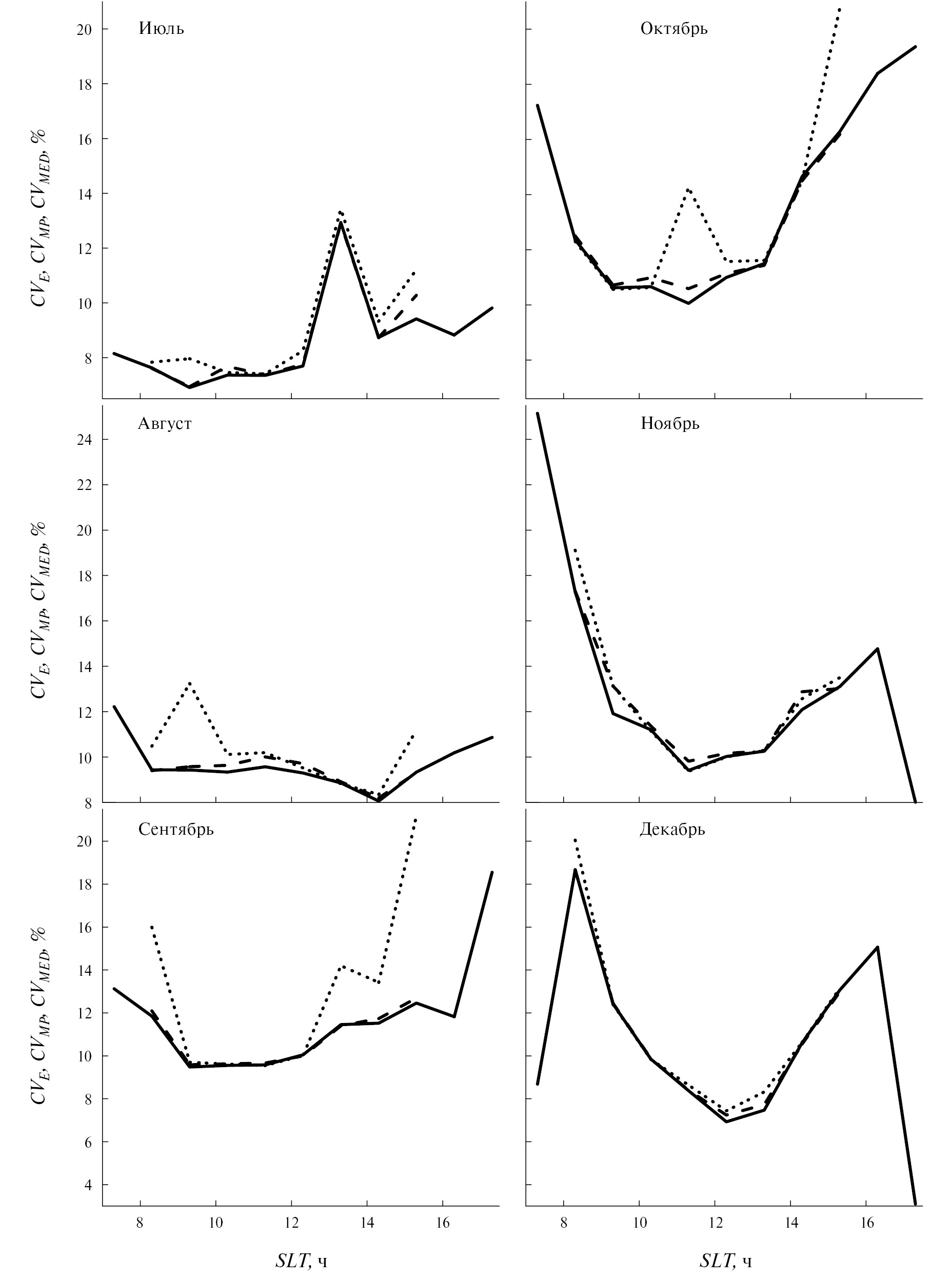
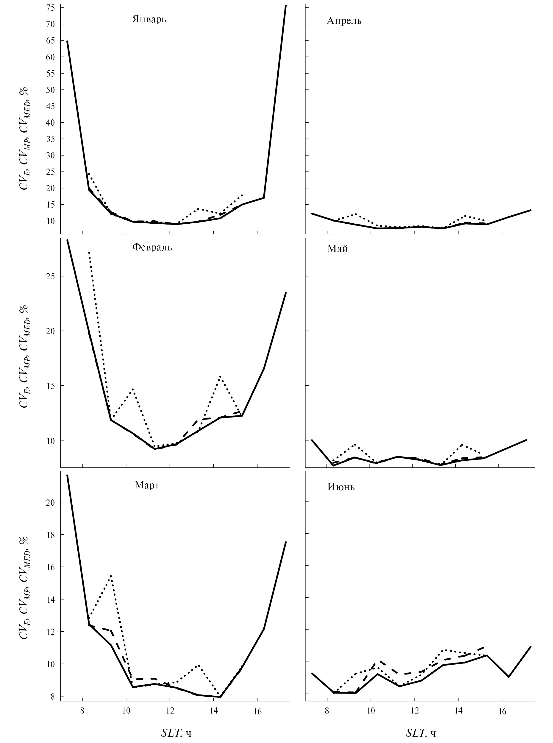
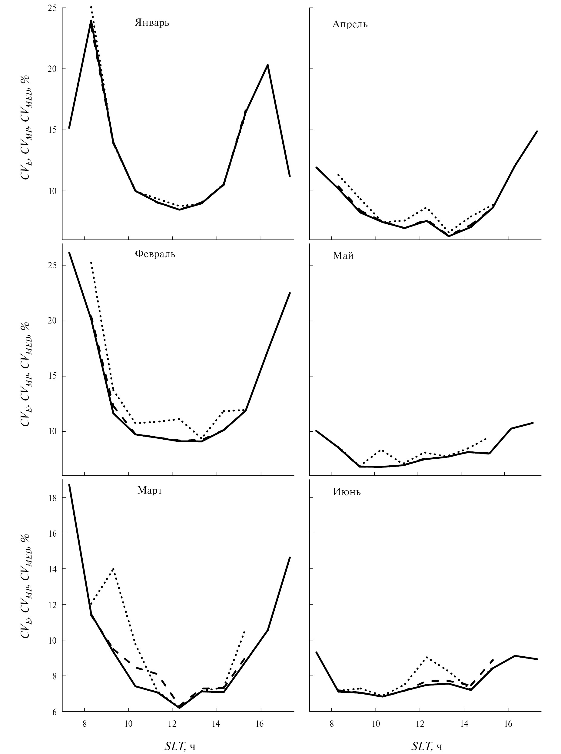
Результаты расчетов суточных вариаций CVE, CVMED и CVMP представлены на рисунках 3−6 для условий низкой (рис. 3 и 4) и средней (рис. 5 и 6) солнечной активности. Рассматриваемые статистические характеристики NmE изменяются в промежутках 4% ≤ CVE ≤ 26%, 5% ≤ CVMED ≤ 26% и 6% ≤ CVMP ≤ 26% при низкой солнечной активности, а при средней солнечной активности 3% ≤ CVE ≤ 76%, 7% ≤ CVMED ≤ 20% и 7% ≤ CVMP ≤ ≤ 27%. Из рис. 3−6 видно, что коэффициенты вариаций CVE, CVMED и CVMP отличаются друг от друга как при низкой (см. также работы [Павлов и Павлова, 2016; Pavlov and Pavlova, 2017]), так и при средней солнечной активности. При этом, в преобладающем большинстве случаев значение CVE меньше, чем величина CVMED или CVMP.
Рис. 3. Суточные вариации CVE (сплошные кривые), CVMP (пунктирные кривые) и CVMED (штриховые кривые) для января (верхняя левая панель), февраля (средняя левая панель), марта (нижняя левая панель), апреля (верхняя правая панель), мая (средняя правая панель) и июня (нижняя правая панель) при низкой солнечной активности.
Рис. 4. Суточные вариации CVE (сплошные кривые), CVMP (пунктирные кривые) и CVMED (штриховые кривые) для июля (верхняя левая панель), августа (средняя левая панель), сентября (нижняя левая панель), октября (верхняя правая панель), ноября (средняя правая панель) и декабря (нижняя правая панель) при низкой солнечной активности.
Рис. 5. Суточные вариации CVE (сплошные кривые), CVMP (пунктирные кривые) и CVMED (штриховые кривые) для января (верхняя левая панель), февраля (средняя левая панель), марта (нижняя левая панель), апреля (верхняя правая панель), мая (средняя правая панель) и июня (нижняя правая панель) при средней солнечной активности.
Рис. 6. Суточные вариации CVE (сплошные кривые), CVMP (пунктирные кривые) и CVMED (штриховые кривые) для июля (верхняя левая панель), августа (средняя левая панель), сентября (нижняя левая панель), октября (верхняя правая панель), ноября (средняя правая панель) и декабря (нижняя правая панель) при средней солнечной активности.
Чем меньше коэффициент вариации случайной величины NmE относительно статистического параметра Y=NmEE, NmEMP, NmEMED, тем более точной является оценка NmE параметром Y при заданных величинах UT и M. Если условия минимизации стандартного отклонения и коэффициента вариации NmE принимаются в качестве критерия наилучшего описания множества измерений NmE одним статистическим параметром NmE, то согласно результатам настоящей работы использование в ионосферных исследованиях математического ожидания NmE в наилучшей степени обеспечивает выполнение этого критерия в геомагнито-спокойных условиях при низкой и средней солнечной активности. Таким образом, использование σMED и CVMED или σMP и CVMP вместо σE и CVE приводит к неточным выводам о межсуточной изменчивости NmE при низкой и средней солнечной активности. Такое же заключение было сделано в работах [Павлов и Павлова, 2016; Pavlov and Pavlova, 2017], использовавших результаты измерений foE наземными ионозондами средних широт в условиях низкой солнечной активности.
Вычисленные в моменты мирового времени UT от 07:00 до 17:00 коэффициенты CVE позволили определить арифметически средний по времени коэффициент CV0 межсуточных вариаций NmE относительно математического ожидания NmE, т.е. арифметически среднюю межсуточную изменчивость NmE для каждого месяца года при заданном уровне солнечной активности. Расчеты показали, что величина CV0 изменяется от 7.8% в июне до 14.3% в феврале при низкой солнечной активности и от 8.6% (май) до 23.0% (январь) в условиях средней солнечной активности.
Из выражения (6) следует, что значение σE зависит от типа данных, краткой характеристикой которого является NmEE. Поэтому сравнение σE(UT,M) при низкой и средней солнечной активности отсутствует в настоящей работе, т.к. такое сравнение не является мерой влияния солнечной активности на межсуточную изменчивость NmE. Коэффициент вариации – это относительная мера изменчивости или разброса данных в статистике и этот коэффициент используется для сравнения степени изменчивости между разными наборами данных, учитывая отличия их средних значений (см., например, [Chattamvelli and Shanmugam, 2015]).
4.5. Сравнение коэффициента CVE, определяющего межсуточную изменчивость NmE при низкой и средней солнечной активности
Из проведенных расчетов следует, что максимальная межсуточная изменчивость NmE составляет 26% в феврале в 7:18 SLT при низкой солнечной активности и 76% в январе в 17:18 SLT в условиях средней солнечной активности. Минимальная межсуточная изменчивость NmE, составляющая 4% при низкой солнечной активности и 3% в условиях средней солнечной активности, реализуется в декабре в 17:18 SLT. Таким образом, переход от низкой к средней солнечной активности приводит к существенным изменениям максимальной межсуточной изменчивости NmE.
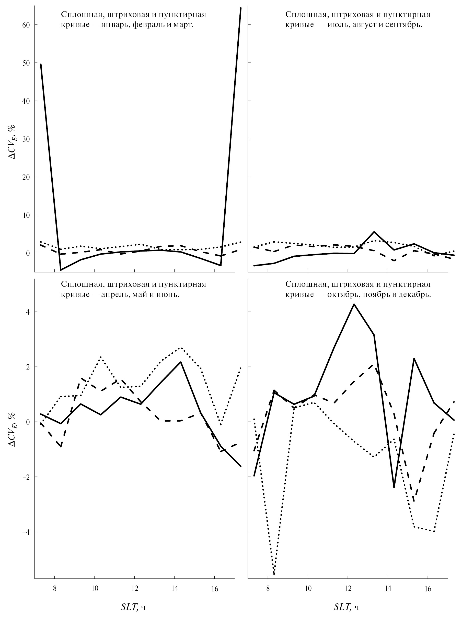
Исследуемое влияние солнечной активности на межсуточную изменчивость NmE определяется параметром
∆ CVE=CVAV −CVL, (15)
где CVAV и CVL – значения коэффициента CVE(UT,M) при средней и низкой солнечной активности соответственно.
На рис. 7 представлены результаты расчетов суточных вариаций ∆ CVE для каждого месяца года. Можно сделать вывод, что рассматриваемое в работе изменение солнечной активности приводит к увеличению или уменьшению межсуточной изменчивости NmE в диапазоне изменения ∆ CVE от −4.0% в декабре в 16:18 SLT до 64.4% в январе в 17:18 SLT. Из рисунка 7 видно, что при возрастании солнечной активности наибольшая продолжительность периодов увеличения межсуточной изменчивости NmE (∆ CVE >0) реализуется в марте, а периодов уменьшения рассматриваемой изменчивости NmE (∆ CVE <0) − в декабре. При возрастании солнечной активности продолжительность периодов уменьшения межсуточной изменчивости NmE наибольшая в зимних условиях (декабрь, январь и февраль) и наименьшая в осенних условиях (сентябрь, октябрь и ноябрь) в сравнении с каждым из других сезонов года.
Рис. 7. Суточные вариации ∆ CVE в январе, феврале и марте (сплошные, штриховые и пунктирные кривые соответственно на верхней левой панели), в апреле, мае и июне (сплошные, штриховые и пунктирные кривые соответственно на нижней левой панели), в июле, августе и сентябре (сплошные, штриховые и пунктирные кривые соответственно на верхней правой панели), в октябре, ноябре и декабре (сплошные, штриховые и пунктирные кривые соответственно на нижней правой панели).
Исследование относительной роли процессов формирования вариаций статистических характеристик межсуточной изменчивости NmE выходит за рамки целей настоящей работы.
5. ЗАКЛЮЧЕНИЕ
Проведено исследование межсуточных вариаций статистических характеристик NmE для каждого месяца года в геомагнито-спокойных условиях при низкой и средней солнечной активности по данным часовых (UT=7, 8,…, 17 ч) измерений foE наземным ионозондом Dourbes с 1957 по 2023 г. Выполнены расчеты следующих статистических параметров NmE: математическое ожидание NmEE, арифметически среднее NmE, наиболее вероятное NmEMP, арифметически средняя месячная медиана NmEMED, стандартные отклонения σE, σMP и σMED величины NmE от NmEE, NmEMP и NmEMED и коэффициенты вариаций CVE, CVMP и CVMED значения NmE относительно NmEE, NmEMP и NmEMED соответственно.
Найдено, что вычисленное распределение вероятности результатов наблюдений NmE является полимодальным (многомодальным или мультимодальным) как при низкой, так и при средней солнечной активности. Этот результат свидетельствует о существенной неоднородности множества значений исследуемой величины и показывает, что результаты наблюдений NmE состоят из нескольких подмножеств данных с разными законами распределения вероятности, которые могут формироваться разными источниками межсуточной изменчивости.
Из проведенного исследования следует, что арифметически среднее NmE отличается от математического ожидания NmE не более, чем на 7.3% и 9.6% при низкой и средней солнечной активности соответственно. Как при низкой, так и при средней солнечной активности величины NmEE, NmEMED и NmEMP, каждая из которых может обеспечить описание множества наблюдений рассматриваемой случайной величины NmE, существенно отличаются друг от друга, и результаты решения задач с участием статистической характеристики NmE зависят от выбора между NmEE, NmEMED и NmEMP.
Показано, что в преобладающем большинстве случаев коэффициент вариации NmE относительно математического ожидания NmE меньше или близок к значениям коэффициентов вариации NmE относительно арифметически средней месячной медианы NmE или наиболее вероятного значения NmE. Если величина CVE больше, чем значение CVMED или CVMP, то отличие между коэффициентами CVE и CVMED или между CVE и CVMP не значительно в сравнении с их величинами. Кроме того, величина σE меньше, чем σMP или σMED как при низкой, так и при средней солнечной активности. Таким образом, в геомагнито-спокойных условиях при низкой и средней солнечной активности следует использовать математическое ожидание NmE в качестве количественной характеристики, обеспечивающей наилучшее описание множества измерений NmE одним статистическим параметром NmE. Из проведенных ранее исследований [Павлов и Павлова, 2016; Pavlov and Pavlova, 2017] и результатов настоящей работы следует, что использование σMED и CVMED или σMP и CVMP вместо σE и CVE приводит к не точным выводам о межсуточной изменчивости NmE при низкой и средней солнечной активности.
Найдено, что коэффициент CVE изменяется в пределах 4−26% и 3−76% при низкой и средней солнечной активности соответственно. Таким образом, переход от низкой к средней солнечной активности приводит к существенным изменениям максимальной межсуточной изменчивости NmE. Показано, что арифметически средняя межсуточная изменчивость NmE изменяется от 7.8% в июне до 14.3% в феврале при низкой солнечной активности и от 8.6% (май) до 23.0% (январь) в условиях средней солнечной активности.
Выполненные расчеты изменения величины коэффициента CVE при переходе от низкой к средней солнечной активности позволили впервые определить влияние солнечной активности на межсуточную изменчивость NmE. Доказано, что рассматриваемая вариация солнечной активности приводит как к увеличению исследуемой изменчивости NmE (например, на 64.4% в январе в 17:18 SLT), так и к уменьшению данной изменчивости NmE (например, на 4.0% в декабре в 16:18 SLT). При переходе от низкой к средней солнечной активности наибольшая продолжительность периодов увеличения межсуточной изменчивости NmE реализуется в марте, а периодов уменьшения рассматриваемой изменчивости NmE − в декабре. Кроме того, продолжительность периодов уменьшения межсуточной изменчивости NmE наибольшая в зимних условиях (декабрь, январь и февраль) и наименьшая в осенних условиях (сентябрь, октябрь и ноябрь) в сравнении с каждым из других сезонов года. Насколько известно авторам, сравнение коэффициента CVE при низкой и средней солнечной активности и приведенные выше результаты этого сравнения − первое исследование влияния солнечной активности на межсуточную изменчивость NmE.
About the authors
A. V. Pavlov
Pushkov Institute of Terrestrial Magnetism, Ionosphere, and Radio Wave Propagation of Russian Academy of Sciences
Author for correspondence.
Email: pavlov@izmiran.ru
Russian Federation, Moscow, Troitsk
N. M. Pavlova
Pushkov Institute of Terrestrial Magnetism, Ionosphere, and Radio Wave Propagation of Russian Academy of Sciences
Email: pavlov@izmiran.ru
Russian Federation, Moscow, Troitsk
References
- Агекян Т.А. Основа теории ошибок для астрономов и физиков. М.: Наука, 148 с. 1968.
- Акасофу С.И. Полярные и магнитосферные суббури. М.: Мир, 316 с. 1971.
- Акасофу С.И., Чепмен С. Солнечно-земная физика. Ч. 1. М.: Мир, 384 с. 1974.
- Балдин К.В., Башлыков В.Н., Рукосуев А.В. Основы теории вероятностей и математической статистики. М.: ФЛИНТА, 489 с. 2016.
- Брюнелли Б.Е., Намгаладзе А.А. Физика ионосферы. М.: Наука, 527 с. 1988.
- Демидович Б.П., Марон И.А. Основы вычислительной математики. М.: Наука, 664 с. 1970.
- Дэйвид Г. Порядковые статистики. М.: Наука, 336 с. 1979.
- Кобзарь А.И. Прикладная математическая статистика. Для инженеров и научных работников. М.: ФИЗМАТЛИТ, 816 с. 2006.
- Кремер Н.Ш. Теория вероятностей и математическая статистика. М.: ЮНИТИ-ДАНА, 551 с. 2012.
- Мак-Кракен Д., Дорн У. Численные методы и программирование на ФОРТРАНе. М: Мир, 584 с. 1977.
- Павлов А.В., Павлова Н.М. Влияние рефракции солнечного излучения на зенитный угол и времена восхода и захода Солнца в атмосфере // Геомагнетизм и аэрономия. Т. 50. № 2. С. 228–233. 2010.
- Павлов А.В., Павлова Н.М. Сравнение измеренных ионозондом Москвы и вычисленных концентраций электронов максимума слоя E ионосферы в весенних условиях // Геомагнетизм и аэрономия. Т. 55. № 2. С. 247–257. 2015. https://doi.org/10.7868/S0016794015020145.
- Павлов А.В., Павлова Н.М. Зависимости от месяца года статистических характеристик NmE средних и низких широт в дневных геомагнито-спокойных условиях при низкой солнечной активности // Геомагнетизм и аэрономия. Т. 56. № 4. С. 431–436. 2016. https://doi.org/10.7868/S0016794016040167
- Павлов А.В., Павлова Н.М. Суточные вариации статистических характеристик изменчивости NmF2 по данным наземных ионозондов низких широт в геомагнито-спокойных условиях при низкой солнечной активности // Геомагнетизм и аэрономия. Т. 63. № 4. С. 429–440. 2023. https://doi.org/10.31857/S0016794022600685
- Пиггот В.П., Равер К. Руководство URSI по интерпретации и обработке ионограмм. М.: Наука, 342 с. 1978.
- Тейлор Д. Введение в теорию ошибок. М.: Мир, 272 с. 1985.
- Acebal A.O., Sojka J.J. A flare sensitive 3 h solar flux radio index for space weather applications // Space Weather. V. 9. № 7. ID S07004. 2011. https://doi.org/10.1029/2010SW000585
- Banks P.M., Kockarts G. Aeronomy. Part B. New York and London: Academic Press, 355 p. 1973.
- Chattamvelli R., Shanmugam R. Statistics for scientists and engineers. Hoboken, NJ: John Wiley & Sons Inc., 467 p. 2015.
- Durivage M.A. Practical engineering, process, and reliability statistics. Milwaukee, WA: ASQ Quality Press, 260 p. 2022.
- Gatti P.L. Probability theory and mathematical statistics for engineers. London and New York: Spon Press of Taylor & Francis Group, 356 p. 2005.
- Haldoupis C. Midlatitude sporadic E. A typical paradigm of atmosphere-ionosphere coupling // Space Sci. Rev. V. 168. № 1–4. P. 441–461. 2012. https://doi.org/10.1007/s11214-011-9786-8
- Hedin A.E. MSIS-86 thermospheric model // J. Geophys. Res. – Space. V. 92. № 5. P. 4649–4662. 1987. https://doi.org/10.1029/JA092iA05p04649
- Howell D.C. Statistical Methods for Psychology. Belmont, CA: Wadsworth Cengage Learning, 771 p. 2013.
- Krall J., Emmert J.T., Sassi F., McDonald S.E., Huba J.D. Day-to-day variability in the thermosphere and its impact on plasmasphere refilling // J. Geophys. Res. – Space. V. 121. № 7. P. 6889–6900. 2016. https://doi.org/10.1002/2015JA022328
- Liu H., Yamazaki J., Lei J. Day-to-day variability of the thermosphere and ionosphere / Upper atmosphere dynamics and energetics / Geophysical Monograph Series, 261 / Eds. W. Wang, Y. Zhang, L.J. Paxton / Space Physics and Aeronomy Collection. V. 4, Hoboken, NJ: John Wiley and Sons Inc. P. 275–300. 2021. https://doi.org/10.1002/9781119815631.ch15
- Manson J.E. The solar extreme ultraviolet between 30 and 205 Å on November 9, 1971, compared with previous measurements in this spectral region // J. Geophys. Res. V. 81. № 10. P. 1629–1635. 1976. https://doi.org/10.1029/JA081i010p01629
- Mendillo M. Day-to-day variability of the ionosphere / The Dynamical Ionosphere. A Systems Approach to Ionospheric Irregularity / Eds. M. Materassi, B. Forte, A.J. Coster, S. Skone, Amsterdam, The Netherlands: Elsevier. P. 7–11. 2021. https://doi.org/10.1016/B978-0-12-814782-5.00002-9
- Moore L., Mendillo M., Martinis C., Bailey S. Day-to-day variability of the E layer // J. Geophys. Res. – Space. V. 111. № 6. ID A06307. 2006. https://doi.org/10.1029/2005JA011448
- Nicolls M.J., Rodrigues F.S., Bust G.S. Global observations of E region plasma density morphology and variability // J. Geophys. Res. – Space. V. 117. № 1. ID A01305. 2012. https://doi.org/10.1029/2011JA017069
- Pavlov A.V. The role of vibrationally excited oxygen and nitrogen in the D and E regions of the ionosphere // Ann. Geophys. V. 12. № 10–11. P. 1085−1090. 1994. https://doi.org/10.1007/s00585-994-1085-1
- Pavlov A.V. Ion chemistry of the ionosphere at E- and F-region altitudes: A review // Surv. Geophys. V. 33. № 5. P. 1133–1172. 2012. https://doi.org/10.1007/s10712-012-9189-8
- Pavlov A.V., Pavlova N.M. Comparison of NmE measured by the Boulder ionosonde with model predictions near the spring equinox // J. Atmos. Sol.-Terr. Phy. V. 102. № 1. P. 39–47. 2013. https://doi.org/10.1016/j.jastp.2013.05.006
- Pavlov A.V., Pavlova N.M. Long-term monthly statistics of mid-latitudinal NmF2 in the northern geographic hemisphere during geomagnetically quiet and steadily low solar activity conditions // J. Atmos. Sol.-Terr. Phy. V. 142. № 5. P. 83–97. 2016. https://doi.org/10.1016/j.jastp.2016.03.001
- Pavlov A.V., Pavlova N.M. Long-term monthly statistics of the mid-latitude ionospheric E-layer peak electron density in the Northern geographic hemisphere during geomagnetically quiet and steadily low solar activity conditions // Ann. Geophys. – Italy. V. 60. № 2. ID A0327. 2017. https://doi.org/10.4401/ag-6969
- Pellinen-Wannberg A.K., Häggström I., Sánchez J.D.C., Plane J.M.C., Westman A. Strong E region ionization caused by the 1767 trail during the 2002 Leonids // J. Geophys. Res. – Space. V. 119. № 9. P. 7880–7888. 2014. https://doi.org/10.1002/2014JA020290
- Picone J.M., Hedin A.E., Drob D.P., Aikin A.C. NRLMSISE-00 empirical model of the atmosphere: statistical comparisons and scientific issues // J. Geophys. Res. – Space. V. 107. № 12. ID 1468. 2002. https://doi.org/10.1029/2002JA009430
- Ross S.M. Introduction to probability and statistics for engineers and scientists. Amsterdam: Elsevier Academic Press, 624 p. 2004.
- Rumsey D.J. Statistics II. Hoboken, NJ: John Wiley & Sons, Inc., 423 p. 2022.
- Richards P.G., Fennelly J.A., Torr D.G. EUVAC: A solar EUV flux model for aeronomical calculations // J. Geophys. Res. – Space. V. 99. № 5. P. 8981–8992. 1994. https://doi.org/10.1029/94JA00518
- Schunk R.W., Nagy A.F. Ionospheres. Physics, plasma physics, and chemistry. Cambridge, UK: Cambridge University Press, 628 p. 2009.
- Sengupta P.R. Solar X-ray control of the E-layer of the ionosphere // J. Atmos. Sol.-Terr. Phy. V. 32. № 7. P. 1273–1282. 1970. https://doi.org/10.1016/0021-9169(70)90057-7
- Sojka J.J., Jensen J.B., David M., Schunk R.W., Woods T., Eparvier F., Sulzer M.P., Gonzalez S.A., Eccles J.V. Ionospheric model-observation comparisons: E layer at Arecibo incorporation of SDO-EVE solar irradiances // J. Geophys. Res. – Space. V. 119. № 5. P. 3844−3856. 2014. https://doi.org/10.1002/2013JA019528
- Titterington D.M., Smith A.F.M., Makov U.E. Statistical analysis of finite mixture distributions. Chichester, UK: John Wiley & Sons Ltd., 243 p. 1985.
- Verma J.P., Verma P. Determining sample size and power in research studies. Singapore: Springer, 127 p. 2020. https://doi.org/10.1007/978-981-15-5204-5
- Whitehead J.D. Production and prediction of sporadic E // Rev. Geophys. V. 8. № 1. P. 65–144. 1970. https://doi.org/10.1029/RG008i001p00065
Supplementary files










