Verification of the empirical model of ionization of the lower ionosphere during solar flares of different classes
- Autores: Ryakhovsky I.A.1, Poklad Y.V.1, Gavrilov B.G.1
- 
							Afiliações: 
							- Sadovsky Institute of Geospheres Dynamics, Russian Academy of Sciences
 
- Edição: Volume 64, Nº 4 (2024)
- Páginas: 512-518
- Seção: Articles
- URL: https://journal-vniispk.ru/0016-7940/article/view/277440
- DOI: https://doi.org/10.31857/S0016794024040069
- EDN: https://elibrary.ru/RTQHJH
- ID: 277440
Citar
Texto integral
Resumo
Using the results of measurements of VLF signal parameters propagating in the Earth-D-region of the ionosphere waveguide to assess changes in the state of the lower ionosphere as a result of the impact of X-ray radiation of solar flares, allows us to obtain qualitative data on the nature and magnitude of the impact. Obtaining accurate data on the relationship between changes in electron concentration and flare parameters and reliable prediction of the conditions of propagation of LF radio signals in conditions of strong geophysical disturbances is complicated by the lack of complete information on the frequency spectrum of X-ray radiation at a particular flare and data on the ionization rate of the ionosphere at flares of different classes. The technique of determining the X-ray spectrum in a wide range of wavelengths and calculating the ionization coefficients of the lower ionosphere as a function of the ionizing radiation parameters of flares, presented in [Ryakhovsky et al., 2023], makes it possible to improve the accuracy of estimates of variations in the parameters of the lower ionosphere. The present paper is devoted to verifying the performance of the developed empirical model of the lower ionization of the lower ionosphere at the solar flare front and comparing the results obtained with experimental data on the variation of VLF radio parameters.
Palavras-chave
Texto integral
1. ВВЕДЕНИЕ
Результаты многочисленных исследований [Cummer et al., 1998; Thomson, 2010; Thomson et al., 2011; Singh et al., 2013; Hayes et al., 2021; Palit et al., 2013; Гаврилов и др., 2023] показали, что различные гелиогеофизические возмущения приводят к изменению концентрации электронов в нижней ионосфере и как следствие к изменению параметров электромагнитных сигналов очень низкой частоты (ОНЧ 3−30 кГц), распространяющихся в волноводе Земля–ионосфера. Этот факт позволяет использовать ОНЧ-сигналы как эффективный инструмент для оценки состояния и динамики нижней ионосферы в спокойных и возмущенных условиях [Gavrilov et al., 2019; Thomson, 2010; Thomson et al., 2011], а также для разработки новых и верификации существующих моделей нижней ионосферы [Xu et al., 2021; Bekker et al., 2021, 2022; Bekker and Korsunskaya, 2023]. На основе экспериментальных данных ОНЧ-наблюдений в работе [Ряховский и др., 2023] было показано, что если длительность переднего фронта вспышки существенно меньше характерного времени рекомбинации, динамика профиля электронной концентрации в нижней ионосфере на фронте вспышки линейно зависит от энергии потока рентгеновского излучения. Это позволило определить скорости ионизации и спектральные диапазоны излучения, оказывающие наибольшее влияние на динамику электронной концентрации (Ne) во время солнечных вспышек различного класса.
Целью данной работы является верификация эмпирической модели ионизации нижней ионосферы [Ряховский и др., 2023] во время солнечных вспышек различного класса по радиофизическим данным.
2. ИСХОДНЫЕ ДАННЫЕ
Для верификации эмпирической модели ионизации нижней ионосферы во время солнечных вспышек были проанализированы вспышки различного класса, произошедшие 10–11 июня 2014 г. и 6 сентября 2017 г. Список рассмотренных вспышек представлен в табл. 1.
Таблица 1. Список солнечных вспышек C-, M-, X-класса
| Дата | Класс вспышки | Время начала | Время максимума | Время окончания | 
| 10.06.2014 | C3.9 | 8:17 | 8:25 | 8:32 | 
| 10.06.2014 | C5.1 | 9:17 | 9:31 | 9:40 | 
| 10.06.2014 | C5.0 | 10:04 | 10:17 | 10:25 | 
| 11.06.2014 | M3.0 | 8:00 | 8:09 | 8:15 | 
| 06.09.2017 | X2.2 | 8:57 | 9:10 | 9:17 | 
| 06.09.2017 | X9.3 | 11:53 | 12:02 | 12:10 | 
В работе [Ряховский и др., 2023] показано, что для типичных вспышек с короткими фронтами, когда характерные времена рекомбинационных процессов существенно больше времени нарастания фронта, для оценки изменения концентрации электронов на переднем фронте вспышки может быть использовано уравнение
, (1)
где Ki – коэффициент скорости ионизации для заданной высоты, а E – энергия излучения в спектральных диапазонах, оказывающих наибольшее влияние на динамику электронной концентрации на заданных высотах. В работе были определены спектральные диапазоны излучения, оказывающие наибольшее влияние на динамику электронной концентрации (Ne) и рассчитаны соответствующие коэффициенты ионизации (табл. 2).
Таблица 2. Значения коэффициентов ионизации нижней ионосферы для различных диапазонов рентгеновского излучения [Ряховский и др., 2023]
| h, км | Диапазон излучения, нм | |
| 52 | 0.01–0.20 | 7.9·104 | 
| 56 | 0.01–0.22 | 2.7·105 | 
| 60 | 0.01–0.24 | 1.3·106 | 
| 64 | 0.01–0.26 | 4.1·106 | 
Для расчета потока ионизирующего излучения в спектральных диапазонах, указанных в табл. 2, использовались данные измерений спутником GOES в каналах 0.05‒0.4 и 0.1‒0.8 нм в предположении, что источник излучения при рентгеновской вспышке является черным телом [Levine et al., 2019; Gavrilov et al., 2022] и его спектральная плотность подчиняется закону Планка
, (3)
где ℏ – постоянная Планка; с – скорость света; k – постоянная Больцмана; λ – длина волны; T – температура черного тела. Результаты расчета потоков рентгеновского излучения в диапазонах, указанных в табл. 2 для шести солнечных вспышек (табл. 1), показаны на pис. 1.
Как было показано в работе [Корсунская, 2019], для оценки энергии потоков рентгеновского излучения в определенных нами спектральных диапазонах можно использовать температурный спектр для модели абсолютно черного тела как первое приближение. Для ее применения достаточно данных спутников GOES, которые непрерывны и имеют хорошее временное разрешение. Более сложные модели требуют дополнительных данных с других спутников, например RHESSI. Эти данные, как правило, являются фрагментарными и имеют низкое временное разрешение.
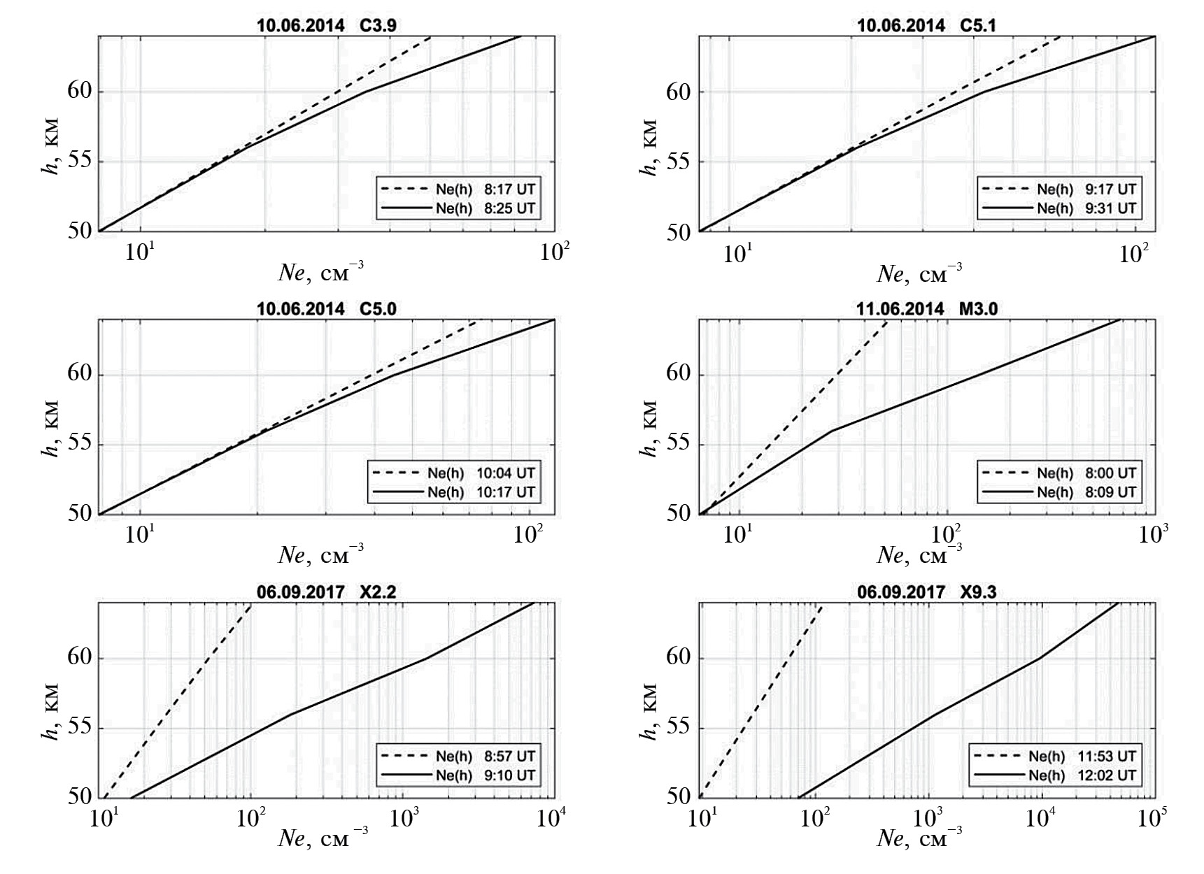
Коэффициенты ионизации Ki (табл. 2) и энергии потоков излучения (рис. 1), нормированные на солнечно-зенитный угол, позволили оценить временную динамику высотного профиля Ne в нижней среднеширотной ионосфере для всех вспышек. Пример расчета высотных профилей Ne для среднеширотной ионосферы в спокойных (предвспышечных) условиях и во время максимума потока рентгеновского излучения для всех рассмотренных вспышек показан на pис. 2. Отличие в характере и величине влияния различных вспышек объяснятся отличием энергии, спектра излучения и предвспышечным состоянием ионосферы.
Рис. 1. Потоки рентгеновского излучения в различных спектральных диапазонах во время вспышек из табл. 1.
Из рис. 2 явно видно, что во время солнечных вспышек концентрация Ne в нижней ионосфере может увеличиваться на несколько порядков, что в свою очередь может существенно влиять на условия распространения сигналов ОНЧ-диапазона. Таким образом, использование полученных согласно уравнению (1) высотных профилей Ne (рис. 2) может позволить оценить вариации амплитуды и фазы сигналов во время солнечных вспышек различного класса.
Рис. 2. Изменение высотного профиля Ne вовремя 6 вспышек (табл. 1). Штриховыми линиями показаны профили Ne до вспышки, сплошными линиями – во время максимума потока рентгеновского излучения.
3. ВЕРИФИКАЦИЯ МЕТОДИКИ ОЦЕНКИ ВЫСОТНЫХ ПРОФИЛЕЙ Ne
В отсутствии возможности проведения непрерывных непосредственных измерений в нижней ионосфере радиофизические данные являются одним из наиболее эффективных инструментов для оценки высотных профилей Ne. Для верификации эмпирической модели ионизации нижней ионосферы во время солнечных вспышек, описанной в работе [Ряховский и др., 2023], использовались данные измерений амплитудно-фазовых характеристик сигналов от станций GQD (19.6 кГц), зарегистрированных в обсерватории ИДГ РАН “Михнево”. Схема расположения трассы распространения сигнала от передатчика GQD до приемника ГФО “Михнево” представлена на рис. 3.
Рис. 3. Схема трассы распространения сигнала от передатчика GQD до приемника ГФО “Михнево”.
Высотные профили Ne, рассчитанные для трассы GQD – “Михнево” в соответствии с методикой, описанной в главе 2, использовались в программном комплексе LWPC [Ferguson, 1995] для расчета вариаций амплитуды и фазы сигналов на этой трассе.
Сравнение экспериментальных значений амплитуды и фазы сигналов с результатами расчета для 6 вспышек представлено на рис. 4 и рис. 5. Экспериментальные данные вариации амплитуды и фазы сигналов от станции GQD представлены штриховыми линиями, а результаты расчета амплитуды показаны кружками.
Рис. 4. Сравнение экспериментальных (штриховые линии) и расчетных (кружки) изменений амплитуды сигнала от передатчиков GQD для 6 вспышек различного класса.
Рис. 5. Сравнение экспериментальных (штриховые линии) и расчетных (кружки) изменений фазы сигнала от передатчиков GQD для 6 вспышек различного класса.
Можно видеть, что ход экспериментальных и расчетных кривых изменения амплитуды и фазы сигналов для первых пяти вспышек (табл. 1) практически совпадает (коэффициенты корреляции между расчетными и экспериментальными значениями превышают значение 0.9). Различия в экспериментальных и расчетных значениях амплитуд сигналов для вспышек X2.2 (коэффициент корреляции 0.82) и X9.3 (коэффициент корреляции 0.58) обусловлены близостью интерференционного минимума к пункту измерения [Bekker et al., 2022]. Таким образом, полученные результаты верификации высотных профилей Ne свидетельствуют о справедливости оценок коэффициентов ионизации и спектральных диапазонах, оказывающих наибольшее влияние на динамику Ne, представленных в работе [Ряховский и др., 2023].
4. ЗАКЛЮЧЕНИЕ
Результаты работы [Ряховский и др., 2023] позволили оценить диапазоны длин волн рентгеновского излучения, оказывающие наибольшее влияние на параметры нижней ионосферы, и оценить коэффициенты, характеризующие скорость ионизации на фронте вспышек. Логическим продолжением этой работы является исследование возможности прогнозирования изменений условий распространения радиосигналов ОНЧ-диапазона в нижней ионосфере при известных параметрах воздействия.
Полученные в настоящей работе результаты сравнения экспериментальных результатов и расчетных оценок для шести независимых солнечных рентгеновских вспышек С-, М- и Х- классов подтвердили эту возможность. Высокие значения коэффициентов корреляции экспериментальных и теоретических кривых вариаций амплитуды и фазы радиосигнала свидетельствуют о работоспособности представленной Ряховским и др. [2023] методики.
Результаты верификации подтверждают, что модель может быть использована для оценки высотных профилей Ne и прогнозирования условий распространения ОНЧ-радиосигналов при солнечных вспышках разных энергетических классов.
ФИНАНСИРОВАНИЕ РАБОТЫ
Работа выполнена при поддержке Российского научного фонда (проект РНФ № 22-77-00051). Экспериментальные данные получены в рамках госзадания № 122032900175-6.
Sobre autores
I. Ryakhovsky
Sadovsky Institute of Geospheres Dynamics, Russian Academy of Sciences
							Autor responsável pela correspondência
							Email: ryakhovskiy88@yandex.ru
				                					                																			                												                	Rússia, 							Moscow						
Y. Poklad
Sadovsky Institute of Geospheres Dynamics, Russian Academy of Sciences
														Email: poklad@mail.ru
				                					                																			                												                	Rússia, 							Moscow						
B. Gavrilov
Sadovsky Institute of Geospheres Dynamics, Russian Academy of Sciences
														Email: boris.gavrilov34@gmail.com
				                					                																			                												                	Rússia, 							Moscow						
Bibliografia
- Гаврилов Б.Г., Ряховский И.А., Поклад Ю.В. Воздействие солнечного рентгеновского излучения и протонных высыпаний на амплитуду ОНЧ сигналов // Динамические процессы в геосферах. Т. 15. № 2. С. 81−88. 2023. https://doi.org/10.26006/29490995_2023_15_2_81
- Корсунская Ю.А Эвристическая модель для восстановления рентгеновской части солнечного спектра по спутниковым данным в интересах геофизических приложений // Солнечно-земная физика. Т. 5. № 3. С. 89−101. 2019. https://doi.org/10/12737/szf-53201909
- Ряховский И.А., Поклад Ю.В., Гаврилов Б.Г. Оценка ионизации нижней ионосферы во время солнечных вспышек Х-класса по данным ОНЧ-наблюдений // Геомагнетизм и аэрономия. T. 63. № 4. С. 422−428. 2023. https://doi.org/10.31857/S0016794022600648
- Bekker S.Z., Ryakhovsky I.A., Korsunskaya J.A. Modeling of the lower ionosphere during solar X-ray flares of different classes // J. Geophys. Res. − Space. V.126. e2020JA028767. 2021. https://doi.org/10.1029/2020JA028767
- Bekker S.Z., Korsunskaya J.A. Influence of the neutral atmosphere model on the correctness of simulation the electron and ion concentrations in the lower ionosphere // J. Geophys. Res. − Space. 128 (12). e2023JA032007. 2023.https://doi.org/10.1029/2020JA028767
- Bekker S.Z., Kozlov S.I., Kudryavcev V.P. Comparison and verification of the different schemes for the ionization-recombination cycle of the ionospheric D-region. // J. Geophys. Res. − Space. 27 (10). e2022JA030579. 2022.https://doi.org/10.1029/2022JA030579
- Cummer S.A., Inan U.S., Bell T.F. Ionospheric D region remote sensing using VLF radio atmospherics // Radio Sci. V. 33. № 6. P. 1781−1792. 1998. https://doi.org/10.1029/98RS02381
- Ferguson J. A. Ionospheric model validation at VLF and LF // Radio Sci. V. 30. № 3. 775−782. 1995. https://doi.org/10.1029/94RS03190
- Gavrilov B.G., Ermak V.M., Poklad Y.V., Ryakhovskii I.A. Estimate of variations in the parameters of the midlatitude lower ionosphere caused by the solar flare of September 10. 2017 // Geomagn. Aeronomy. V. 59. № 5. P. 587−592. 2019. https://doi.org/10.1134/S0016793219050049
- Gavrilov B.G., Poklad Y.V., Ryakhovsky I.A., Ermak V.M. Dependence of D-region perturbations of the midlatitude ionosphere on the spectral composition of the X-ray radiation of solar flares according to experimental data // Geomagn. Aeronomy. V. 62. № 1. P. 98−103. 2022. https://doi.org/10.1134/S0016793222020086
- Hayes L.A., O’Hara O.S.D., Murray S.A., Gallagher P.T. Solar flare effects on the earth’s lower ionosphere // Solar Phys. V. 296. № 11. 2021. https://doi.org/10.1007/s11207-021-01898-y
- Levine E.V., Sultan P.J., Teig L.J. A parameterized model of X-ray solar flare effects on the lower ionosphere and HF propagation // Radio Sci. V. 54. № 2. P. 168−180. 2019. https://doi.org/10.1029/2018RS006666
- Palit S., Basak T., Mondal S. K., Pal S., Chakrabarti S.K. Modeling of very low frequency (VLF) radio wave signal profile due to solar flares using the GEANT4 Monte Carlo simulation coupled with ionospheric chemistry // Atmos. Chem. Phys. V. 13. № 18. P. 9159–9168. 2013. https://doi.org/10.5194/acp-13-9159-2013.
- Singh A.K., Singh A.K., Singh R., Singh R.P. Solar flare induced region ionospheric perturbations evaluated from VLF measurements // Astrophys. Space Sci. V. 350. № 1. P. 1–9. 2013. https://doi.org/10.1007/s10509-013-1699-4
- Thomson N.R. Daytime tropical D region parameters from short path VLF phase and amplitude // J. Geophys. Res.− Space. 115. № A9. 2010. https://doi.org/10.1029/2010JA015355
- Thomson N.R., Rodger C.J., Clilverd M.A. Daytime D region parameters from long-path VLF phase and amplitude // J. Geophys. Res −Space. V.116. № A11. 2011. https://doi.org/10.1029/2011JA016910.
- Xu W., Marshall R.A., Bortnik J., Bonnell J.W. An electron density model of the D- and E-region ionosphere for transionospheric VLF propagation. // J. Geophys. Res. − Space. V. 126. № 7. e2021JA029288. 2021. https://doi.org/10.1029/2021JA029288
Arquivos suplementares
 
				
			 
						 
						 
					 
						 
						 
				
 
  
  
  Enviar artigo por via de e-mail
			Enviar artigo por via de e-mail 





