Using the Event Matrix for Chorus from the Lower Frequency Band to Determine Some Characteristics of Their Excitation Mechanism
- Authors: Bespalov P.A.1,2, Savina O.N.2, Neshchetkin G.M.1,2
- 
							Affiliations: 
							- A.V. Gaponov-Grekhov Institute of Applied Physics of the Russian Academy of Sciences
- HSE University
 
- Issue: Vol 64, No 6 (2024)
- Pages: 737-749
- Section: Articles
- URL: https://journal-vniispk.ru/0016-7940/article/view/283257
- DOI: https://doi.org/10.31857/S0016794024060028
- EDN: https://elibrary.ru/QOURUQ
- ID: 283257
Cite item
Abstract
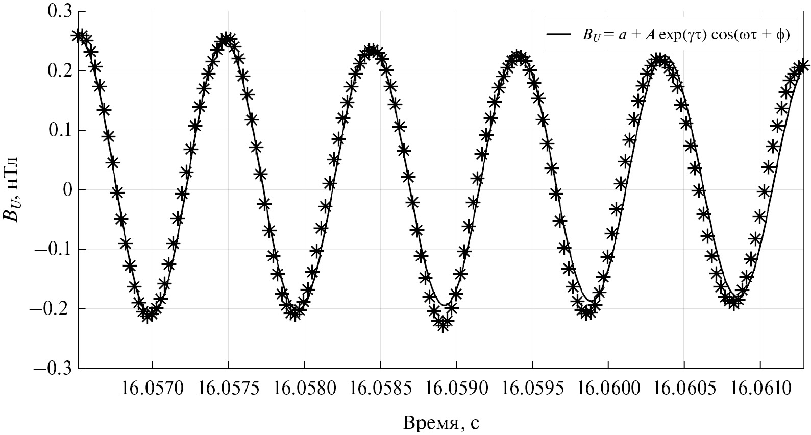
The work is devoted to studying the quantitative characteristics of the mechanism of excitation of VLF chorus emissions by means the analysis of high-resolution data from the Van Allen Probe spacecraft. A typical example of chorus with spectral forms in the lower frequency band (below half the electron cyclotron frequency) in the region of the local minimum of the magnetic field behind the plasmapause in the middle magnetosphere has been chosen. The results of wave field measurements in a high-resolution data channel are presented in the form of a rectangular event matrix, each row of which corresponds to one cycle of the wave process. In the event matrix, rows are selected that correspond to those implementation fragments that clearly characterize the natural source of short electromagnetic pulses origin. This made it possible to determine the complex eigen-values of the characteristic equation of the source at the linear stage of excitation of the chorus. The values of the roots of the characteristic equation, established by analyzing the observation data of chorus, correspond to implementation of the mechanism for exciting chorus by amplifying noise electromagnetic pulses in enhanced ducts.
Full Text
 
												
	                        About the authors
P. A. Bespalov
A.V. Gaponov-Grekhov Institute of Applied Physics of the Russian Academy of Sciences; HSE University
							Author for correspondence.
							Email: pbespalov@mail.ru
				                					                																			                												                	Russian Federation, 							Nizhny Novgorod; Nizhny Novgorod						
O. N. Savina
HSE University
														Email: onsavina@mail.ru
				                					                																			                												                	Russian Federation, 							Nizhny Novgorod						
G. M. Neshchetkin
A.V. Gaponov-Grekhov Institute of Applied Physics of the Russian Academy of Sciences; HSE University
														Email: gmheschetkin@edu.hse.ru
				                					                																			                												                	Russian Federation, 							Nizhny Novgorod; Nizhny Novgorod						
References
- Арцимович Л.А., Сагдеев Р.З. Физика плазмы для физиков. М.: Атомиздат, 313 с. 1979.
- Agapitov O., Blum L.W., Mozer F.S., Bonnell J.W., Wygant J. Chorus whistler wave source scales as determined from multipoint Van Allen Probe measurements // Geophys. Res. Lett. V. 44. N 6. P. 2634–2642. 2017. https://doi.org/10.1002/2017GL072701
- Bell T.F., Inan U.S., Hague N., Pickett J.S. Source regions of banded chorus // Geophys. Res. Lett. V. 36. N 11. ID L11101. 2009. https://doi.org/10.1029/2009GL037629
- Bespalov P., Savina O. An excitation mechanism for discrete chorus elements in the magnetosphere // Ann. Geophys. V. 36. N 5. P. 1201–1206. 2018. https://doi.org/10.5194/angeo-36-1201
- Bespalov P.A., Savina O.N. Excitation of chorus with small wave normal angles due to beam pulse amplifier (BPA) mechanism in density ducts // Ann. Geophys. V. 37. N 5. P. 819–824. 2019. https://doi.org/10.5194/angeo-37-819-2019
- Bespalov P.A., Savina O.N. Electromagnetic pulse amplification in a magnetized nearly stable plasma layer // Results Phys. V. 28. ID 104607. 2021. https://doi.org/10.1016/j.rinp.2021.104607
- Bespalov P.A., Savina O.N., Neshchetkin G.M. Hausdorf dimension of electromagnetic chorus emissions in their excitation region according to Van Allen probe data // Results Phys. V. 35. ID 105295. 2022. https://doi.org/10.1016/j.rinp.2022.105295
- Bortnik J., Thorne R.M., Meredith N.P. The unexpected origin of plasmaspheric hiss from discrete chorus emissions // Nature. V. 452. N 7183. P. 62–66. 2008. https://doi.org/10.1038/nature06741
- Chen H., Wang X., Chen L., Omura Y., Lu Q., Chen R., Xia Z., Gaoet X. Simulation of downward frequency chirping in the rising tone chorus element // Geophys. Res. Lett. V. 50. N 9. ID e2023GL103160. 2023. https://doi.org/10.1029/2023GL103160
- Fu X., Cowee M.M., Friedel R.H., Funsten H.O., Gary S.P., Hospodarsky G.B., Kletzing C., Kurth W., Larsen B.A., Liu K., MacDonald E.A., Min K., Reeves G.D., Skoug R.M., Winske D. Whistler anisotropy instabilities as the source of banded chorus: Van Allen Probes observations and Particle-in-Cell simulations // J. Geophys. Res. – Space. V. 119. N 10. P. 8288–8298. 2014. https://doi.org/10.1002/2014JA020364
- Gao X., Lu Q., Bortnik J., Li W., Chen L., Wang S. Generation of multiband chorus by lower band cascade in the Earth’s magnetosphere // Geophys. Res. Lett. V. 43. N 6. P. 2343–2350. 2016. https://doi.org/10.1002/2016GRL068313
- Haque N., Inan U.S., Bell T.F., Pickett J.S., Trotignon J.G., Facsko G. Cluster observations of whistler mode ducts and banded chorus // Geophys. Res. Lett. V. 38. N 18. ID L18107. 2011. https://doi.org/10.1029/2011GL049112
- Helliwell R.A. Whistlers and related ionospheric phenomena. Stanford, CA: Stanford University Press, 349 p. 1965.
- Helliwell R.A. The role of the Gendrin mode of VLF propagation in the generation of magnetospheric emissions // Geophys. Res. Lett. V. 22. N 16. P. 2095–2098. 1995. https://doi.org/10.1029/95GL02003
- Karpman V.I., Kaufman R.N. Whistler wave propagation in magnetospheric ducts (in the equatorial region) // Planet. Space Sci. V. 32. N 12. P. 1505–1511. 1984. https://doi.org/10.1016/0032-0633(84)90017-5
- Katoh Y., Omura Y. Electron hybrid code simulation of whistler mode chorus generation with real parameters in the Earth’s inner magnetosphere // Earth Planets Space. V. 6. N 1. ID 192. 2016. https://doi.org/10.1186/s40623-016-0568-0
- Kletzing C.A., Kurth W.S., Acuna M., et al. The Electric and Magnetic Field Instrument Suite and Integrated Science (EMFISIS) on RBSP // Space Sci. Rev. V. 179. N 1–4. P. 127–181. 2013. https://doi.org/10.1007/s11214-013-9993-6
- Kurita S., Katoh Y., Omura Y., Angelopoulos V., Cully C.M., Le Conte O., Misawa H. THEMIS observation of chorus elements without a gap at half the gyrofrequency. J. Geophys. Res. – Space. V. 117. N 11. ID A11223. 2012. https://doi.org/10.1029/2012JA018076
- Meredith N.P., Cain M., Horne R.B., Thorne R.M., Summers D., Anderson R.R. Evidence for chorus-driven electron acceleration to relativistic energies from a survey of geomagnetically disturbed periods // J. Geophys. Res. – Space. V. 108. N 6. ID 1248. 2003. https://doi.org/10.1029/2002JA009764.
- Omura Y., Katoh Y., Summers D. Theory and simulation of the generation of whistler-mode chorus // J. Geophys. Res. – Space. V. 113. N 4. ID A04223. 2008. https://doi.org/10.1029/2007JA012622
- Summers D., Thorne R.M., Xiao F. Relativistic theory of wave-particle resonant diffusion with application to electron acceleration in the magnetosphere // J. Geophys. Res. – Space. V. 103. N 9. P. 20487–20500. 1998. https://doi.org/10.1029/98JA01740
- Trakhtengerts V.Y. Magnetosphere cyclotron maser: Backward wave oscillator generation regime // J. Geophys. Res. – Space. V. 100. N 9. P. 17205–17210. 1995. https://doi.org/10.1029/95JA00843
- Zhou C., Li W., Thorne R.M., Bortnik J., Ma Q., An X., Zhang X.-J., Angelopoulos V., Ni B., Gu X., Fu S., Zhao Z. Excitation of dayside chorus waves due to magnetic field line compression in response to interplanetary shocks // J. Geophys. Res. – Space. V. 120. N 10. P. 8327–8338. 2015. https://doi.org/10.1002/2015JA021530
Supplementary files
 
				
			 
					 
						 
						 
						 
						 
				
 
  
  
  Email this article
			Email this article 

 Open Access
		                                Open Access Access granted
						Access granted








