Influence of space weather conditions on the intermittency of the Pi3 irregular geomagnetic pulsations
- 作者: Kurazhkovskaya N.А.1, Klain B.I.1, Kurazhkovskii А.Y.1
- 
							隶属关系: 
							- Schmidt Institute of Physics of the Earth, Russian Academy of Sciences
 
- 期: 卷 65, 编号 2 (2025)
- 页面: 179-196
- 栏目: Articles
- URL: https://journal-vniispk.ru/0016-7940/article/view/292393
- DOI: https://doi.org/10.31857/S0016794025020047
- EDN: https://elibrary.ru/CWUQPY
- ID: 292393
如何引用文章
详细
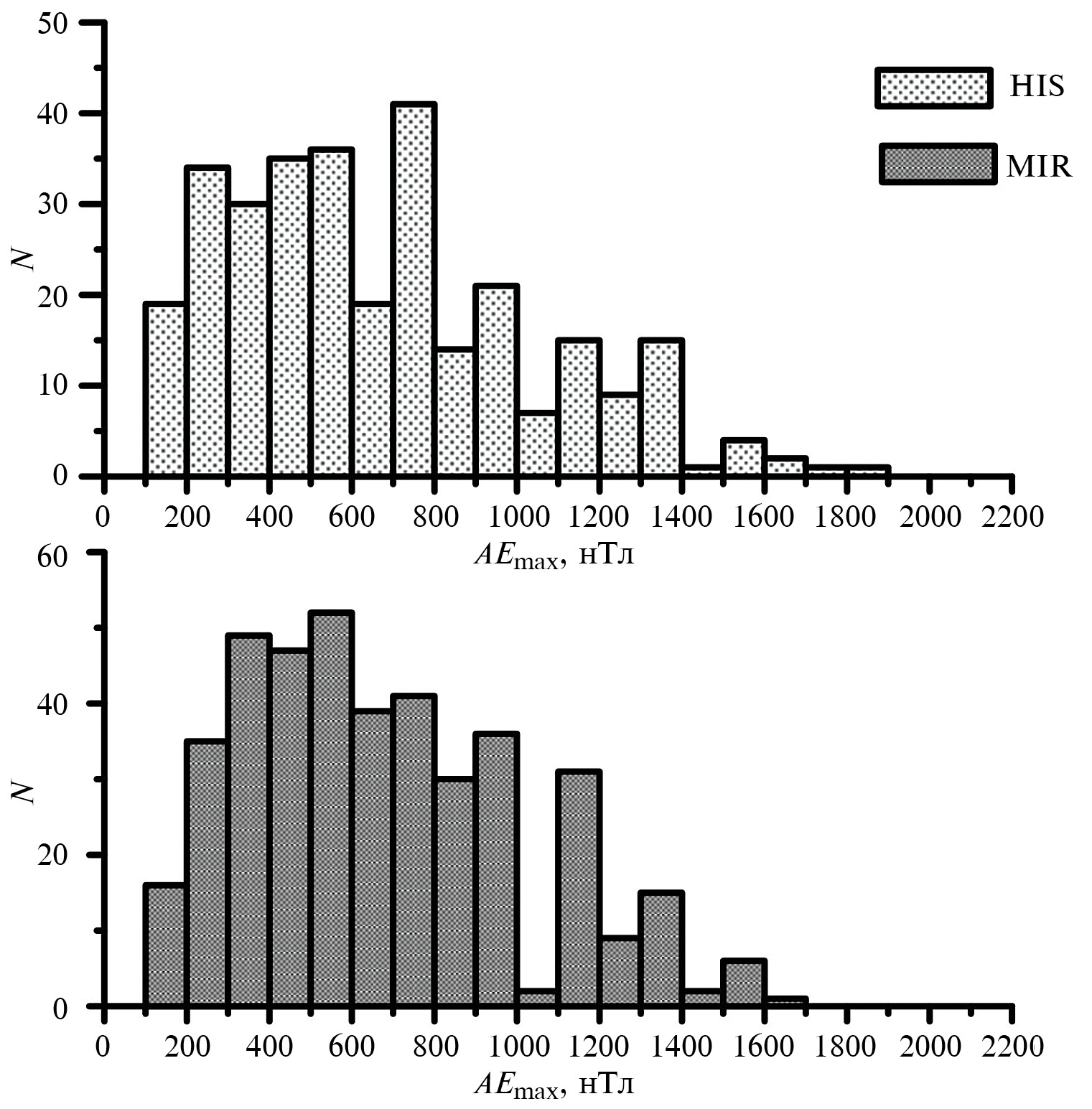
The influence of substorms intensity, solar wind and interplanetary magnetic field (IMF) parameters on the pattern of amplitude distributions (intermittency) of Pi3 pulsation bursts observed in the night sector of the magnetosphere during substorms development was studied. One-minute digital magnetic field observation data from Arctic and Antarctic observatories were used for the analysis (Heiss Island and Mirny). The index α, which reflects the slope of the cumulative distribution function of the Pi3 burst amplitudes, was considered as the main characteristic of the Pi3 pulsation intermittency. It was shown that the distributions of Pi3 burst amplitudes, depending on space weather conditions, obeyed different power laws. It was found that the α value in the northern and southern hemispheres was greater during the development of weak substorms than during the development of strong and moderate substorms. It was shown that the α values in the two hemispheres were comparable when Pi3 bursts were excited against the background of slow solar wind flows, at the northward direction of the IMF Bz component and at a high level of solar wind plasma turbulence. Under other analyzed conditions, an asymmetry in the change in the α index was found. It is assumed that the intermittency index α qualitatively characterizes the level of plasma turbulence in the region of excitation of Pi3 pulsation bursts.
全文:
 
												
	                        作者简介
N. Kurazhkovskaya
Schmidt Institute of Physics of the Earth, Russian Academy of Sciences
							编辑信件的主要联系方式.
							Email: knady@borok.yar.ru
				                					                																			                								
Borok Geophysical Observatory
俄罗斯联邦, Borok, Yaroslavl oblastB. Klain
Schmidt Institute of Physics of the Earth, Russian Academy of Sciences
														Email: klain@borok.yar.ru
				                					                																			                								
Borok Geophysical Observatory
俄罗斯联邦, Borok, Yaroslavl oblastА. Kurazhkovskii
Schmidt Institute of Physics of the Earth, Russian Academy of Sciences
														Email: ksasha@borok.yar.ru
				                					                																			                								
Borok Geophysical Observatory
俄罗斯联邦, Borok, Yaroslavl oblast参考
- Будаев В.П., Савин С.П., Зеленый Л.М. Наблюдение перемежаемости и обобщенного самоподобия в турбулентных пограничных слоях лабораторной и магнитосферной плазмы: на пути к определению количественных характеристик переноса // УФН. Т. 18. № 9. С. 905–952. 2011. https://doi.org/10.3367/UFNr.0181.201109a.0905
- Воробьев В.Г., Ягодкина О.И., Антонова Е.Е., Зверев В.Л. Влияние параметров плазмы солнечного ветра на интенсивность изолированных магнитосферных суббурь // Геомагнетизм и аэрономия. Т. 58. № 3. С. 311–323. 2018. https://doi.org/10.7868/S001679401803001X
- Дэспирак И.В., Любчич А.А., Клейменова Н.Г. Разные типы потоков солнечного ветра и суббури в высоких широтах // Геомагнетизм и аэрономия. Т. 59. № 1. С. 3–9. 2019. https://doi.org/10.1134/S001679401901005X
- Ермолаев Ю.И., Николаева Н.С., Лодкина И.Г., Ермолаев М.Ю. Каталог крупномасштабных явлений солнечного ветра для периода 1976-2000 гг. // Космич. исслед. Т. 47. № 2. С. 99–113. 2009.
- Захаров В.Е., Пушкарев А.Н., Швец В.Ф., Яньков В.В. О солитонной турбулентности // Письма в ЖЭТФ. Т. 48. Вып. 2. С. 79–82. 1988.
- Клайн Б.И., Куражковская Н.А., Куражковский А.Ю. Перемежаемость в волновых процессах // Физика Земли. № 10. С. 25–34. 2008.
- Клейменова Н.Г., Козырева О.В., Биттерли Ж., Биттерли М. Длиннопериодные (T=8‒10 мин) геомагнитные пульсации в высоких широтах // Геомагнетизм и аэрономия. Т. 38. № 4. С. 38‒48. 1998.
- Клейменова Н.Г., Антонова Е.Е., Козырева О.В., Малышева Л.М., Корнилова Т.А., Корнилов И.А. Волновая структура магнитных суббурь в полярных широтах // Геомагнетизм и аэрономия. Т. 52. № 6. С. 785–793. 2012.
- Козырева О.В., Мягкова И.Н., Антонова Е.Е., Клейменова Н.Г. Высыпания энергичных электронов и геомагнитные пульсации Pi3 в полярных широтах // Геомагнетизм и аэрономия. Т. 49. № 6. С. 777‒785. 2009.
- Куражковская Н.А., Клайн Б.И. Влияние геомагнитной активности, параметров солнечного ветра и межпланетного магнитного поля (ММП) на закономерности перемежаемости геомагнитных пульсаций Pi2 // Солнечно-земная физика. Т. 1. № 3. С. 11–20. 2015. https://doi.org/10.12737/11551
- Куражковская Н.А., Клайн Б.И. Поляризационные характеристики высокоширотных геомагнитных пульсаций Pi3 // Геомагнетизм и аэрономия. Т. 61. № 2. С. 195–210. 2021. https://doi.org/10.31857/S0016794021010107
- Левашов Н.Н., Попов В.Ю., Малова Х.В., Зеленый Л.М. Моделирование турбулентности с перемежаемостью в космической плазме // Космич. исслед. Т. 60. № 1. С. 11–16. 2022. https://doi.org/10.31857/S0023420622010083
- Малинецкий Г.Г., Потапов А.Б. Современные проблемы нелинейной динамики. М.: Эдиториал УРСС, 335с. 2000.
- Моисеев А.В., Стародубцев С.А., Мишин В.В. Особенности возбуждения и распространения по азимуту и меридиану длиннопериодных Pi3 колебаний геомагнитного поля 8 декабря 2017 г. // Солнечно-земная физика. Т. 6. № 3. С. 56–72. 2020. https://doi.org/10.12737/szf-63202007
- Пудовкин М.И., Распопов О.М., Клейменова Н.Г. Возмущения электромагнитного поля Земли. Часть II. Короткопериодические колебания геомагнитного поля. Л.: Изд-во ЛГУ, 271 с. 1976.
- Akasofu S.I. Roles of north-south component of interplanetary magnetic-field on large-scale auroral dynamics observed by DMSP satellite // Planetary and Space Science. V. 23. № 10. P. 1349–1354. 1975. https://doi.org/10.1016/0032-0633(75)90030-6
- Bartucelli M., Constantin P., Doering C.R., Gibbon J.D., Gisselfält M. On the possibility of soft and hard turbulence in the complex Ginzburg-Landau equation // Physica D. V. 44. P. 421–444. 1990. https://doi.org/10.1016/0167-2789(90)90156-J
- Consolini G., De Michelis P. Fractal time statistics of AE index burst waiting times: evidence of metastability // Nonlinear Processes in Geophysics. V. 9. P. 419–423. 2002. https://doi.org/10.5194/npg-9-419-2002
- Dobias P., Wanliss J.A. Intermittency of storms and substorms: is it related to the critical behaviour? // Ann. Geophys. V. 27. P. 2001–2018. 2009. https://doi.org/10.5194/angeo-27-2011-2009
- Fu H., Yue C., Zong Q.-G., Zhou X.-Z., Fu S. Statistical characteristics of substorms with different intensity // J. Geophys. Res.: Space Physics. V. 126, e2021JA029318. 2021. https://doi.org/10.1029/2021JA029318
- Han D.-S., Yang H.-G., Chen Z.-T., Araki T., Dunlop M.W., Nosé M., Iyemori T., Li Q., Gao Y.-F., Yumoto K. Coupling of perturbations in the solar wind density to global Pi3 pulsations: A case study // J. Geophys. Res. V. 112. A05217. 2007. https://doi.org/10.1029/2006JA011675
- Hsu T.-S., McPherron R.L. A statistical study of the relation of Pi2 and plasma flows in the tail // J. Geophys. Res. V. 112. A05209. 2007. https://doi.org/10.1029/2006JA011782
- Kubyshkina M., Semenov V., Erkaev N., Gordeev E., Dubyagin S., Ganushkina N., Shukhtina M. Relations between vz and Bx components in solar wind and their effect on substorm onset // GRL. V. 45. 2018. https://doi.org/10.1002/2017GL076268
- Martines-Bedenko V.A., Pilipenko V.A., Hartinger M., Partamies N. Conjugate properties of Pi3/Ps6 pulsations according to Antarctica-Greenland observations // Russian Journal of Earth Sciences. V. 22. ES4006. 2022. https://doi.org/10.2205/2022ES000805
- Matsuoka H., Takahashi K., Yumoto K., Anderson B.J., Sibeck D.G. Observation and modeling of compressional Pi3 magnetic pulsations // J. Geophys. Res. V. 100. № A7. P. 12103–12115. 1995. https://doi.org/10.1029/94JA03368
- Nagano H., Suzuki A., Kim J. S. Pi3 magnetic pulsations associated with substorms // Space Sci. V. 29. №. 5. P. 529‒553. 1981. https://doi.org/10.1016/0032-0633(81)90067-2
- Newell P.T., Gjerloev J.W., and Mitchell E.J. Space climate implications from substorm frequency // J. Geophys. Res. Space Physics. V. 118. P. 6254–6265. 2013. https://doi.org/10.1002/jgra.50597
- Newell P.T., Liou K., Gjeroev J.W., Sotirelis T., Wing S., Mitchell E.J. Substorm probabilities are best predicted from solar wind speed // J. Atmos. Solar-Terr. Phys. V. 146. P. 28–37. 2016. https://doi.org/10.1016/j.jastp.2016.04.019
- Phan T.D., Gosling J.T., Paschmann G., Pasma C., Drake J.F, Øieroset M., Larson D., Lin R.P., Davis M.S. The dependence of magnetic reconnection on plasma β and magnetic shear evidence from solar wind observation // Astrophys J. Lett. V. 719:L199˗L203. 2010. https://doi.org/10.1088/2041-8205/719/2/L199
- Pilipenko V., Kozyreva O., Hartinger M., Rastaetter L., Sakharov Y. Is the global MHD modeling of the magnetosphere adequate for GIC prediction: the May 27–28, 2017 storm // Cosmic Research. V. 61. № 2. P. 120–132. 2023. https://doi.org/10.1134/S0010952522600044
- Saito T. Long period irregular magnetic pulsations Pi3 // Space Sci. Rev. V. 21. P. 427‒467. 1978. https://doi.org/10.1007/BF00173068
- Suzuki A., Nagano H., Kim J.S. A statistical study on characteristics of high latitude Pi3 pulsations // J. Geophys. Res. V. 86. № A3. P. 1345–11354. 1981. https://doi.org/10.1029/JA086iA03p01345
- Tanskanen E.I., Pulkkinen T.I., Viljanen A., Mursula K., Partamies N., Slavin J.A. From space weather toward space climate time scales: Substorm analysis from 1993 to 2008 // J. Geophys. Res. V. 116. A00I34. 2011. https://doi.org/10.1029/2010JA015788
- Yagova N.V., Pilipenko V.A., Lanzerotti L.J., Engebretson M.J., Rodger A.S., Lepidi S., Papitashvili V.O. Two-dimensional structure of long-period pulsations at polar latitudes in Antarctica // J. Geophys. Res. V. 109. A03222. 2004. https://doi.org/10.1029/2003JA010166
- Wang X., Tu C.-Y., He J.-S., Wang L.-H. Ion-scale spectral break in the normal plasma beta range in the solar wind turbulence // J. Geophys. Res.: Space Physics. V. 123. P. 68–75. 2018. https://doi.org/10.1002/2017JA024813
补充文件
 
				
			 
						 
						 
						 
						 
					 
				
 
  
  
  电邮这篇文章
			电邮这篇文章 
 开放存取
		                                开放存取 ##reader.subscriptionAccessGranted##
						##reader.subscriptionAccessGranted##








