Effects of electromagnetic wave propagation over the Caribbean from satellite broadband data
- Authors: Kapustina О.V.1, Gydook V.I.1
- 
							Affiliations: 
							- Pushkov Institute of Terrestrial Magnetism, Ionosphere and Radio Waves Propagation, Russian Academy of Sciences
 
- Issue: Vol 65, No 2 (2025)
- Pages: 197-205
- Section: Articles
- URL: https://journal-vniispk.ru/0016-7940/article/view/292527
- DOI: https://doi.org/10.31857/S0016794025020054
- EDN: https://elibrary.ru/CXCYAH
- ID: 292527
Cite item
Abstract
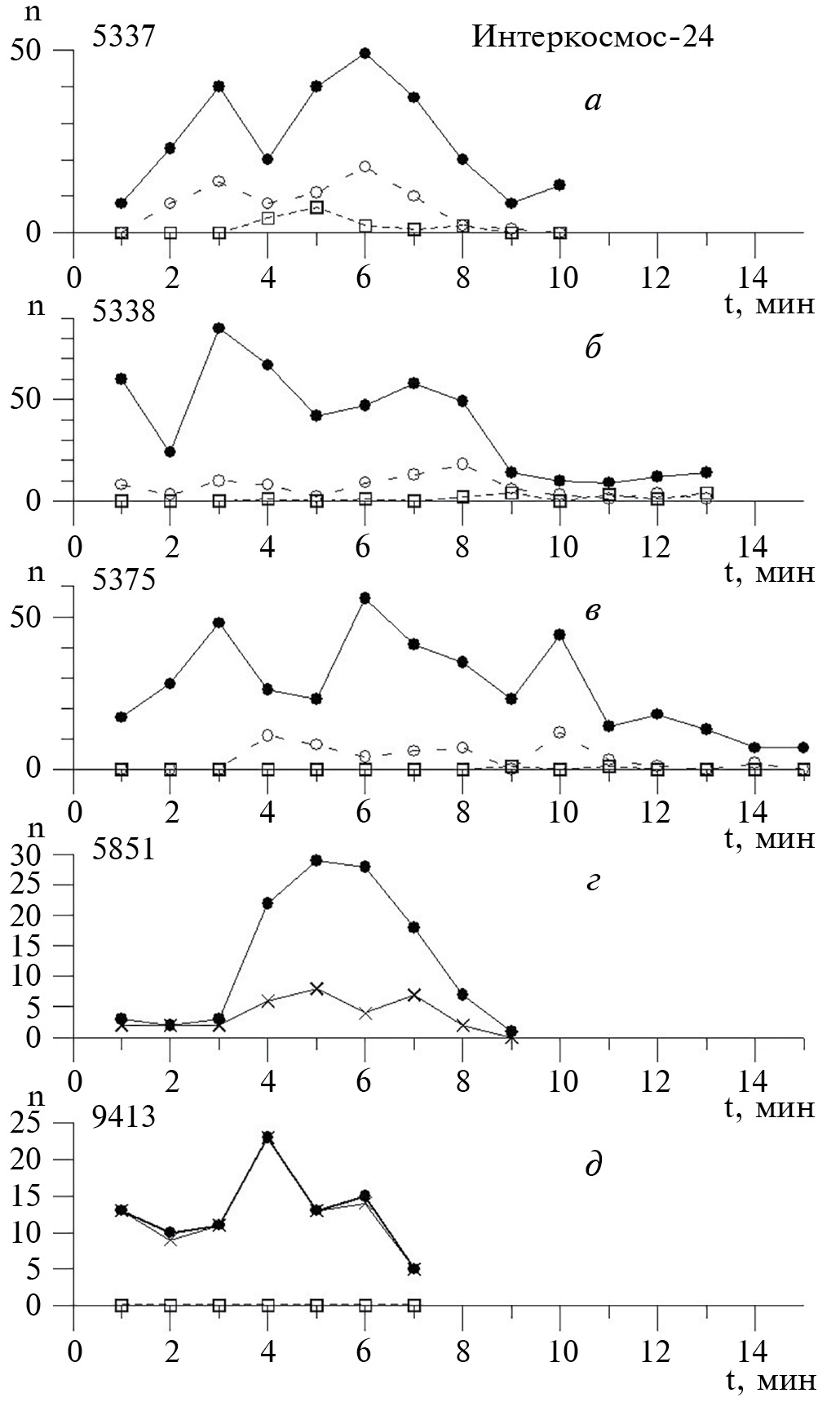
To study electromagnetic signals and search for functional connections with sources of disturbances of natural and anthropogenic origin, digital equivalents of recording observations in the frequency range from 20 Hz to 20 kHz on satellites over the Caribbean are used. Graphs of the dependence of the number of signals per minute on time along the satellite orbit are plotted. Fractionally dispersed whistlers at frequencies below 1 kHz (ELF fdw) ranged from 30 to 100% of the total number of fdw. This estimate coincides with the results of ground-based observations of the ELF atmospherics (“tails”) under different conditions. There was an increased frequency of occurrence of fdw and ELF fdw during the action of typhoons in the Pacific Ocean, especially at the stage of depression, and hurricanes in the Atlantic, in the area located on both sides of the meridian passing through the Brazilian anomaly. These results are confirmed by the work of other researchers.
Full Text
 
												
	                        About the authors
О. V. Kapustina
Pushkov Institute of Terrestrial Magnetism, Ionosphere and Radio Waves Propagation, Russian Academy of Sciences
							Author for correspondence.
							Email: olkap@izmiran.ru
				                					                																			                												                	Russian Federation, 							Moscow, Troitsk						
V. I. Gydook
Pushkov Institute of Terrestrial Magnetism, Ionosphere and Radio Waves Propagation, Russian Academy of Sciences
														Email: olkap@izmiran.ru
				                					                																			                												                	Russian Federation, 							Moscow, Troitsk						
References
- Будько Н.И. Об амплитудном спектре ионно-циклотронных свистящих атмосфериков вблизи ионной гирочастоты // Геомагнетизм и аэрономия. Т. 19. № 2. С. 363−365. 1979.
- Будько Н.И. Амплитудный спектр ионно-циклотронных свистящих атмосфериков вблизи ионной гирочастоты в верхней ионосфере. В сборнике: Низкочастотные волны и сигналы в магнитосфере Земли. Сборник статей. ответственный редактор: Я.И. Лихтер; АН СССР. ИЗМИР. Москва, 1980. С. 81−87.
- Будько Н.И., Рябов Б.С. О трансформации электронной волны в ионную в многокомпонентной плазме при квазипродольном распространении // Геомагнетизм и аэрономия. Т. 17. № 4. С. 751–753. 1977.
- Дружин Г.И., Малкин Е.И., Капустина О.В. Атмосферики, связанные со спрайтами, по КНЧ/ОНЧ-наблюдениям на п-ове Камчатка // Геомагнетизм и аэрономия. Т. 63. № 5. С. 657–666. 2023. https://doi.org/10.31857/S001679402260051X
- Кузнецов В.Д., Боднар Л., Гарипов Г.К., Данилкин В.А., Дегтярь В.Г., Докукин В.С., Корепанов В.Е., Михайлов Ю.М. и др. Орбитальный мониторинг ионосферы и аномальных явлений // Геомагнетизм и аэрономия. Т. 51. № 3. С. 333−345. 2011.
- Лихтер Я.И., Гульельми А.В., Ерухимов Л.М., Михайлова Г.А. Волновая диагностика приземной плазмы. М.: Наука. С. 86–122. 1988.
- Михайлов Ю.М. Экспериментальные исследования генерации и распространения ультра-крайне-очень низкочастотных электромагнитных волн в околоземном космическом пространстве. В сборнике Электромагнитные и плазменные процессы от недр Солнца до недр Земли. Юбилейный сборник ИЗМИРАН-75. Москва. С. 185−200. 2015.
- Михайлов Ю.М. Низкочастотные электромагнитные волны. Космические и наземные эксперименты / LAP LAMBERT Academic Publishing RU. 91 c. 2018.
- Михайлова Г.А., Капустина О.В. Определение температуры протонов во внешней ионосфере по амплитудным спектрам протонных свистящих атмосфериков (ИСЗ Интеркосмос-5). Геомагнетизм и аэрономия. Т. 19. № 3. С. 564. 1979.
- Соболев Я.П., Михайлов Ю.М. Регистрация на ИСЗ “Космос-1809” и “Интеркосмос-24” ОНЧ явлений, вызванных циклонами в Карибском районе. Четвертая всероссийская открытая ежегодная конференция Современные проблемы дистанционного зондирования из космоса. ИКИ РАН. Тезисы докладов. IV.D.17.2006.
- Шкляр Д.Р., Иржичек Ф., Немец Ф., Парро М., Сантолик О., Стори Л.Р.О., Титова Е.Е., Хум Я. Спектральные характеристики ионно-циклотронных волн, возбуждаемых молниевыми разрядами на низких широтах. Наблюдения на спутнике DEMETER и численное моделирование. Физика плазмы в солнечной системе, 6−10 февраля 2012 г. ИКИ РАН, Москва.
- Budko N.I., Kapustina O.V., Mikhailova G.A. Determination of the proton temperature in the outer ionosphere from the amplitude spectra of proton whistling atmospherics (Intercosmos-5) // Artificial Satellites. V. 15. № 3. P. 194‒198. 1980.
- Gurnett D.A. Shawhan S.D., Brice N.H., Smith R.L. Ion Cyclotron Whistlers // J.Geophys. Res. 70. № 7. 1665. 1965.
- Gurnett D.A., Shawhan S.D. Determination of Hydrogen Ion Concentration, Electron Density, and Proton Gyrofrequency from the Dispersion of Proton Whistlers // J.Geoph.Res. 71. № 3. 741. 1966.
- Helliwell R.A. Whistlers and related ionospheric phenomena. Palo Alto Calif. Stanford Univ.Press. 1965. 350 p.
- Hepburn F. Atmospheric waveforms with very low-frequency components below 1 kc/s known as slow tails. J. Atm. Terr. Phys. V/10. № 5. P. 266−287. 1957.
- Larkina V.I., Migulin V.V., Mogilevsky M.M., Molchanov O.A., Galperin Yu.I., Jorjio N.V., Gokhberg M.B., Lefeuvre F. Earthquake effects in the ionosphere according to Intercosmos 19 and Aureol 3 satellite data // Results of THE ARCAD 3 PROJECT and of the recent programmes in magnetospheric and ionospheric physics Toulouse 84 CNES CEPADUES-EDITIONS. France, Toulouse. P. 685−699. 1984.
- Mikhailov Yu. Low frequency electromagnetic waves. Space and ground experiments. Second edition / LAP LAMBERT Academic Publishing RU. 91 p. 2020.
- Mikhailova G.A., Mikhailov Yu.M., Kapustina O.V. ULF-VLF electric fields in the external ionosphere over powerful typhoons in Pacific Ocean // International Journal of Geomagnetism and Aeronomу. V. 2. № 2. P. 153‒158. 2000.
- Molchanov O.A., Mazhaeva O.A., Golyavin A.N., Hayakava M. Observation by the Intercosmos-24 satellite of ELF/VLF electromagnetic emission associated with earthquakes // Annales Geophysicae. V. 11. P. 431−440. 1993.
- Rauch J.L., Boud’ko N.I., Mikhailova G.A., Kapustina O.V. Attenuation bands and cut off frequencies for ELF electromagnetic waves // Results of the ARCAD 3 PROJECT and of recent programmes in magnetosphere and ionosphere physics. Toulouse 1984. Toulouse: Cepadues-editions. P. 465−483. 1985.
- Shklyar D.R., Storey L.R.O., Chum J., Jirícek F., Nemec F., Parrot M., Santolik O., and Titova E.E. Spectral features of lightning-induced ion cyclotron waves at low latitudes: DEMETER observations and simulation, J. Geophys. Res. 117. A12206. 2012. https://doi.org/10.1029/2012JA018016
- Sobolev Ya.P., Mikhailov Yu.M. Typhoons in Caribbean region registered on satellites in VLF band // Geomagnetic field and ionosphere variations. Proc. of Second INDO-RUSSIAN Symposium on Nature and Variations of the Geomagnetic Field. Moscow, 28–31 July 1997 / Ed. Kanonidi Kh., Ruzhin Yu.Ya: IZMIRAN. P. 230−231. 1998.
- Tepley L.R. A comparison of sferics as observed in the VLF and ELF bands // J. Geophys. Research. V.64. № 12. P. 2315−2329. 1959.
Supplementary files
 
				
			 
					 
						 
						 
						 
						 
				
 
  
  
  Email this article
			Email this article 

 Open Access
		                                Open Access Access granted
						Access granted




