Interpretation of 2D magnetic anomalies using wavelet transform
- Авторлар: Merkuriev S.А.1, Ivanov S.А.1, Demina I.М.1
- 
							Мекемелер: 
							- Pushkov Institute of Terrestrial Magnetism, Ionosphere and Radio Wave Propagation, Russian Academy of Sciences
 
- Шығарылым: Том 65, № 2 (2025)
- Беттер: 241-259
- Бөлім: Articles
- URL: https://journal-vniispk.ru/0016-7940/article/view/292544
- DOI: https://doi.org/10.31857/S0016794025020097
- EDN: https://elibrary.ru/CXXGOO
- ID: 292544
Дәйексөз келтіру
Аннотация
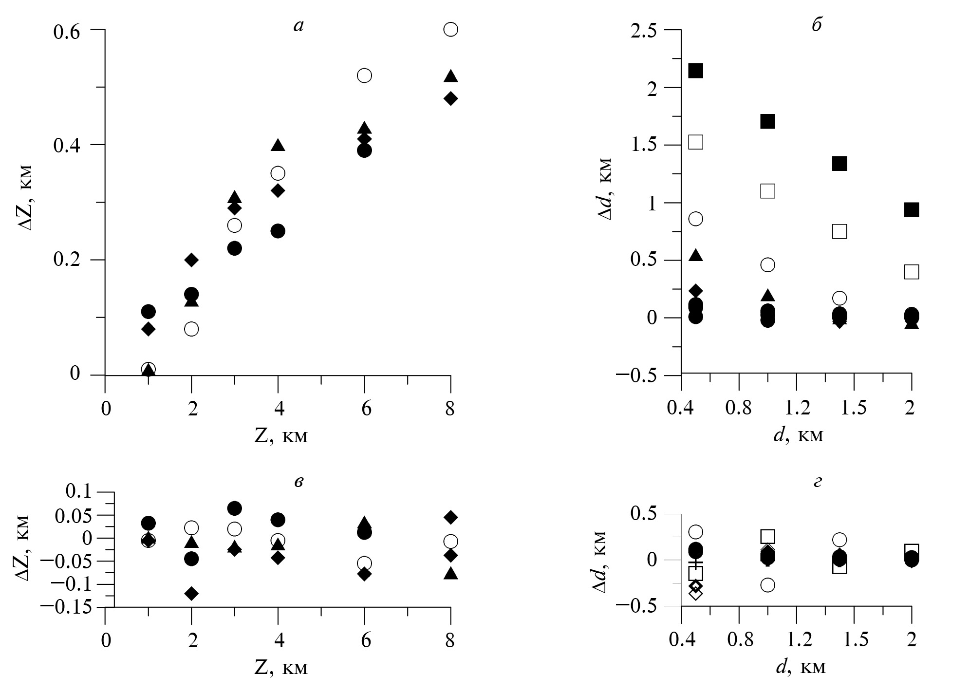
Determination of the boundaries of anomaly-forming bodies (deep sources) is an important step in interpreting potential field anomalies during geophysical research. In this paper, a method based on continuous wavelet analysis of magnetic profiles is proposed to solve this problem. The connection between the parameters of simple bodies and the properties of the wavelet transformation of the field created by these bodies is shown. A technique has been developed for determining the boundaries of blocks of the magnetically active layer. The proposed method was tested on model data of the simplest single bodies and on a spreading model. The high resolution of the method is shown, which makes it possible to determine the boundaries of blocks of the spreading model with an accuracy of up to 400 m. The method was applied to a real magnetic profile crossing a typical oceanic structure: the mid-ocean Reykjanes Ridge. The results obtained confirm that the proposed method has a higher resolution compared to the analytical signal and allows the identification of narrow blocks. To clarify the boundaries of these blocks, it is planned to develop a methodology based on the modeling results.
Негізгі сөздер
Толық мәтін
 
												
	                        Авторлар туралы
S. Merkuriev
Pushkov Institute of Terrestrial Magnetism, Ionosphere and Radio Wave Propagation, Russian Academy of Sciences
							Хат алмасуға жауапты Автор.
							Email: sam_hg@hotmail.com
				                					                																			                								
St. Petersburg Branch
Ресей, St. PetersburgS. Ivanov
Pushkov Institute of Terrestrial Magnetism, Ionosphere and Radio Wave Propagation, Russian Academy of Sciences
														Email: sergei.a.ivanov@mail.ru
				                					                																			                								
St. Petersburg Branch
Ресей, St. PetersburgI. Demina
Pushkov Institute of Terrestrial Magnetism, Ionosphere and Radio Wave Propagation, Russian Academy of Sciences
														Email: dim@izmiran.spb.ru
				                					                																			                								
St. Petersburg Branch
Ресей, St. PetersburgӘдебиет тізімі
- Астафьева Н.М. Вейвлет-анализ: основы теории и примеры применения // УФН. Т. 166. № 11. С. 1145–1170. 1996.
- Воскобойников Ю.Е. Вейвлет-фильтрация сигналов и изображений (с примерами в пакете MathCAD). Новосиб. гос. архитектур.-строит. ун-т (Сибстрин). Новосибирск: НГАСУ (Сибстрин). 188 с. 2015.
- Захаров В.П., Логачев А.А. Магниторазведка. Изд.2. Л.: Недра. 351 с. 1979.
- Иванов В.В., Ротанова Н.М., Ковалевская Е.В., Цветков Ю.П. Использование результатов вейвлет-анализа для оценки глубин магнитных источников // Геомагнетизм и аэрономия. Т. 42. № 4. С. 569–576. 2002.
- Иванов С.А., Меркурьев С.А. Интерпретация морских магнитных аномалий. Часть 1. Обзор существующих методов и анализ метода аналитический сигнал // Геомагнетизм и аэрономия. Т. 54. № 3. С. 420–428. 2014, https://doi.org/10.7868/S0016794014030080
- Иванов С.А., Меркурьев С.А. Возможности палеомагнитного и геоисторического анализа короткопериодных морских магнитных аномалий типа “tiny wiggles” // Геомагнетизм и аэрономия. Т. 56. № 3. С. 393–406. 2016. https://doi.org/10.7868/S0016794016030081
- Глазнев В.Н. Комплексные геофизические модели литосферы Фенноскандии. // Апатиты. “КаэМ”. 252 с. 2003.
- Глазнев В.Н., Муравина О.М. Использование вейвлет-преобразований для анализа и интерпретации потенциальных полей / Вопросы теории и практики геологической интерпретации геофизических полей. Материалы 47-й сессии Международного научного семинара Д.Г. Успенского - В.Н. Страхова. Воронеж: ИПЦ “Научная книга” 2020. С. 89–93.
- Кузнецов К.М., Булычев А.А. Вейвлеты Пуассона в задачах обработки площадных потенциальных полей // Вестн. КРАУНЦ. Сер.: Науки о Земле. Вып. 36. № 4. С. 72–78. 2017.
- Кузнецов К.М., Оболенский И.В., Булычев А.А. Трансформации потенциальных полей на основе непрерывного вейвлет-преобразования // Вестн. МГУ. Сер. 4. Геология. № 6. С. 61–70. 2015.
- Никитский В.Е., Глебовский Ю.С. Магниторазведка. Изд.2. М.: Недра. 470 с. 1990.
- Оболенский И.В., Булычев А.А. Применение комплексного непрерывного вейвлет-преобразования Пуассона для определения источников аномалий потенциальных полей // Геофизич. исслед. Т. 12. № 3. С. 5–21. 2011.
- Трошков Г.А., Шалаев C.B. Применение преобразования Фурье для решения обратной задачи гравиразведки и магниторазведки // Прикладная геофизика. Вып. 30. С. 162–178. 1961.
- Хвастунов М.С. Вейвлет-анализ: применение к сигналам гауссовой формы. // JINR Rapid Comm. Т. 92. № 6. С. 63–74. 1998.
- Catalán M., Martos Y.M., Galindo-Zaldivar J., Perez L.F. and Bohoyo F. Unveiling Powell Basin’s. Tectonic Domains and Understanding Its Abnormal Magnetic Anomaly Signature. Is Heat the Key? // Front. Earth Sci. V. 8:580675. 2020. https://doi.org/10.3389/feart.2020.580675580675
- Chaubey A.K., Dyment J., Bhattacharya G.C., Royer J.Y., Srinivas K., Yatheesh V. Paleogene magnetic isochrons and palaeo-propagators in the Arabian and Eastern Somali basins, NW Indian Ocean. In: The Tectonic and Climatic Evolution of the Arabian Sea Region. Clift P.D., Croon D., Gaedicke C., Craig J. (Eds.). Geological Society. London. Special Publication. V. 195. P. 71–85. 2002.
- Cooper G.R.J, Cowan D.R. Enhancing potential field data using filters based on the local phase. // Computers & Geoscience. V. 32. P. 1585–1591. 2006. https://doi.org/10.1016/j.cageo.2006.02.016
- Cooper G.R.J, Cowan D.R. A Generalized Derivative Operator for Potential Field Data // Geophysical Prospecting. V. 59. № 1. P. 188–194. 2011. https://doi.org/10.1111/j.1365-2478.2010.00901.x
- DeMets C. and Merkouriev S. Eurasia-North America Chrons 1-6 plate reconstruction data: Arctic and north Atlantic basins. // MGDS. 2020. https://doi.org/10.1111/j.1365-246X.2008.03761.x
- Ferreira F.J.F., de Souza1 J., de B. e S. Bongiolo A., and de Castro L.G. Enhancement of the total horizontal gradient of magnetic anomalies using the tilt angle // Geophysics. V. 78. № 3. J33–J41. 2013. https://doi.org/10.1190/geo2011-0441.1
- Gay S.P. Standard curves for the interpretation of magnetic anomalies over long tabular bodies // Geophysics. V. 28. P. 161–200. 1963. https://doi.org/10.1111/j.1365-2478.2010.00901.x
- Gradstein F.M., Ogg J.G., Schmitz M.B., Ogg G.M. Geologic Time Scale 2020. V. 2. Amsterdam. Oxford. Cambridge: Elsevier. 1357 p. 2020.
- Gunn P.J. A Quantitative methods for interpreting aeromagnetic data: a subjective review. // Journal of Australian Geology and Geophysics. V. 17. № 2. P. 105–113. 1997.
- Hey R. Magnetometer (Geometrics G-882) data as collected during the cruise MGL1309, North Atlantic Seafloor Spreading Geometry Reorganization. // Rolling Deck to Repository (R2R). 2013. https://doi.org/10.7284/112257
- Issachar R., Ebbing J. and Dilixiati Y. New magnetic anomaly map for the Red Sea reveals transtensional structures associated with rotational rifting. // Scientific Report. V. 12. Article number 5757. 2022. https://doi.org/10.1038/s41598-022-09770-0
- Kumar P., Foufoula-Georgiou E. Wavelet analysis for geophysical applications // Reviews of Geophysics. V. 35. № 4. P. 385–412. 1997. https://doi.org/10.1029/97RG00427
- MacLeod I.N., Jones K. and Dai T.F. 3-D Analytic Signal in the Interpretation of Total Magnetic Field Data at Low Magnetic Latitudes. // Exploration Geophysics. V. 24. P. 679–688. 1993. https://doi.org/10.1071/EG993679
- Miller H.G. and Singh V. Potential field tilt a new concept for location of potential field sources. // J. Appl. Geophys. V. 32. P. 213–217. 1994. https://doi.org/10.1016/0926-9851(94)90022-1
- Merkouriev S. and DeMets C. A high‐resolution model for Eurasia–North America plate kinematics since 20 Ma, // Geophys. J. Int. V. 173. P. 1064–1083. 2008. https://doi.org/10.1111/j.1365-246X.2008.03761.x
- Moreau F., Gibert D., Holschneider M., Saracco G. Wavelet analysis of potential fields. // Inverse Problems. V. 13. № 1. P. 165–178. 1997.
- Nabighian M.N. The analytical signal of two-dimensional magnetic bodies with polygonal cross-section: its properties and use for automated anomaly interpretation // Geophysics. V. 37. № 3. P. 507–517. 1972.
- Nabighian M.N. Additional comments on the analytic signal of two-dimensional magnetic bodies with polygonal cross-section // Geophysics. V. 39. № 1. P. 85–92. 1974.
- Nabighian M.N., Grauch V.J.S., Hansen R.O., Lafehr T.R., Li Y., Peirce J.W., Phillips J.D., Ruder M.E. The historical development of the magnetic method in exploration // Geophysics. V. 70. № 6. P. 33–61. 2005.
- Parnell-Turner R., Schouten H. and Smith D.K. Tectonic Structure of the Mid-Atlantic Ridge near 16◦30’N // Geochemistry, Geophysics, Geosystems. V. 17. Is. 10. P. 39934010. 2016. https://doi.org/10.1002/2016GC006514
- Reid A.B., Allsop J.M., Granser H., Millet A.J., and Somerton I.W. Magnetic interpretation in three dimensions using Euler deconvolution. // Geophysics. V. 55. P. 180–191. 1990. https://doi.org/10.1190/1.1442774
- Roest W.R., Verhoef J., and Pilkington M. Magnetic interpretation using the 3-D analytic signal. // Geophysics. V. 57. P. 116–125 1992.
- Saihac P., Galdeano A., Gibert D., Moreau F., Delor C. Identification of sources of potential fields with the continuous wavelet transform: Complex wavelets and application to aeromagnetic profiles in French Guiana. // JGR Solid Earth. V. 105. Is. B8. P. 19455–19475. 2000. https://doi.org/10.1029/2000JB900090
- Salem A., Ravat D., Gamey T.J., and Ushijima K. Analytic signal approach and its applicability in environmental magnetic investigations. // J. Appl. Geophys. V. 49. P. 231–244. 2002. https://doi.org/10.1016/S0926-9851(02)00125-8
- Schouten H., McCamy K. Filtering marine magnetic anomalies // J. Geophys. Res. V. 77. P. 7089–7099. 1972.
- Spector A. and Grant F.S. Statistical models for interpreting aeromagnetic data. // Geophysics. V. 35. P. 293–302. 1970.
- Talwani M. and Heirtzler J. Computation of magnetic anomalies caused by two dimensional bodies of arbitrary shape / Computers in Mineral Industries, Parks, G.A. Ed. Stanford Univ. Publ. Geol. Sci. V. 9. P. 464–480. 1964.
- Thompson D.T. EULDPH: a new technique for making depth estimates from magnetic data computer-assisted. // Geophysics. V. 47. P. 31–37. 1982.
- Verduzco B., Fairhead J.D., Green C.M., and Mackenzie C. New insights into magnetic derivatives for structural mapping // Leading Edge. V. 23. P. 116–119. 2004. https://doi.org/10.1190/1.1651454
- Wijns C., Pere C. and Kowalczyk P. Theta map: edge detection in magnetic data. // Geophysics. V. 70. P. L39–L43. 2005.
- Werner. S. Interpretation of magnetic anomalies at sheet_like bodies // Norstedt. Sveriges Geolologiska Undersok. Ser. C. 1953.
Қосымша файлдар
 
				
			 
						 
					 
						 
						 
						 
									
 
  
  
  Мақаланы E-mail арқылы жіберу
			Мақаланы E-mail арқылы жіберу 
 Ашық рұқсат
		                                Ашық рұқсат Рұқсат берілді
						Рұқсат берілді








