СИНТЕЗ И ИССЛЕДОВАНИЕ СВОЙСТВ ПОРИСТЫХ УГЛЕРОД-УГЛЕРОДНЫХ НАНОКОМПОЗИТОВ С АЗОТСОДЕРЖАЩИМИ УГЛЕРОДНЫМИ НАНОВОЛОКНАМИ
- Авторы: Кряжев Ю.Г.1, Подъячева О.Ю.2, Тренихин М.В.1, Гуляева Т.И.1, Аникеева И.В.1, Вольфкович Ю.М.3, Рычагов А.Ю.3
-
Учреждения:
- Центр новых химических технологий ФГБУН “ФИЦ Институт катализа им. Г.К. Борескова СО РАН” (Омский филиал) (Центр новых химических технологий ИК СО РАН)
- ФГБУН “ФИЦ Институт катализа им. Г.К. Борескова СО РАН” (Институт катализа СО РАН)
- ФГБУН Институт физической химии и электрохимии им. А.Н. Фрумкина РАН (ИФХЭ РАН)
- Выпуск: № 1 (2023)
- Страницы: 4-12
- Раздел: Статьи
- URL: https://journal-vniispk.ru/0023-1177/article/view/140029
- DOI: https://doi.org/10.31857/S0023117723010048
- EDN: https://elibrary.ru/IOXOTA
- ID: 140029
Цитировать
Полный текст
Аннотация
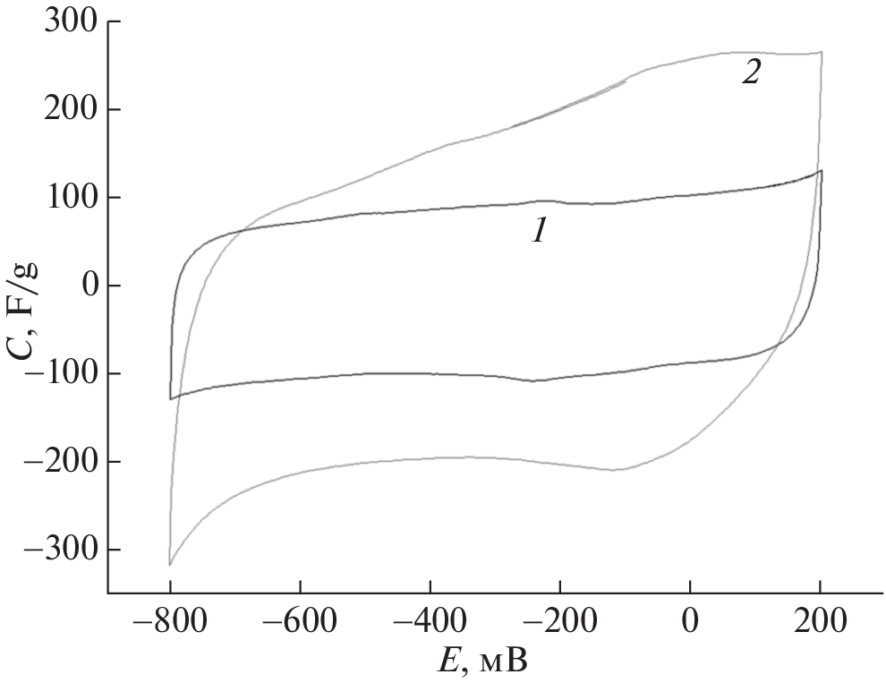
Показана возможность синтеза углерод-углеродных нанокомпозитов со встроенными в углеродную матрицу нановолокнами путем двухступенчатого дегидрохлорирования (под действием щелочи с последующей карбонизацией) карбоцепного хлорполимера. В качестве исходного хлорполимера использовался хлорированный поливинилхлорид, в качестве наноразмерного компонента – азотсодержащие углеродные нановолокна (N-УНВ). Структура полученных нанокомпозитов исследована методами электронной микроскопии, текстурные параметры – методом низкотемпературной адсорбции-десорбции азота. Введение N-УНВ в углеродную матрицу и активация полученного углерод-углеродного нанокомпозита в среде CO2 способствовали формированию микро-, мезопористого материала с площадью удельной поверхности ~1100 м2/г. Показано, что полученные нанокомпозиты характеризуются высокой энергетической емкостью и КПД по энергии при испытаниях в качестве электродов электрохимических суперконденсаторов.
Об авторах
Ю. Г. Кряжев
Центр новых химических технологий ФГБУН “ФИЦ Институт катализа им. Г.К. Борескова СО РАН”(Омский филиал) (Центр новых химических технологий ИК СО РАН)
Email: carbonfibre@yandex.ru
Россия, 644040, Омск
О. Ю. Подъячева
ФГБУН “ФИЦ Институт катализа им. Г.К. Борескова СО РАН” (Институт катализа СО РАН)
Email: pod@catalysis.ru
Россия, 630090, Новосибирск
М. В. Тренихин
Центр новых химических технологий ФГБУН “ФИЦ Институт катализа им. Г.К. Борескова СО РАН”(Омский филиал) (Центр новых химических технологий ИК СО РАН)
Email: tremv@yandex.ru
Россия, 644040, Омск
Т. И. Гуляева
Центр новых химических технологий ФГБУН “ФИЦ Институт катализа им. Г.К. Борескова СО РАН”(Омский филиал) (Центр новых химических технологий ИК СО РАН)
Email: tangul-8790@ihcp.ru
Россия, 644040, Омск
И. В. Аникеева
Центр новых химических технологий ФГБУН “ФИЦ Институт катализа им. Г.К. Борескова СО РАН”(Омский филиал) (Центр новых химических технологий ИК СО РАН)
Email: irina_anikeeva@inbox.ru
Россия, 644040, Омск
Ю. М. Вольфкович
ФГБУН Институт физической химии и электрохимии им. А.Н. Фрумкина РАН (ИФХЭ РАН)
Email: yuvolf40@mail.ru
Россия,
119071, Москва
А. Ю. Рычагов
ФГБУН Институт физической химии и электрохимии им. А.Н. Фрумкина РАН (ИФХЭ РАН)
Автор, ответственный за переписку.
Email: rychagov69@mail.ru
Россия,
119071, Москва
Список литературы
- Sanjines R., Abad M.D., Vâju Cr., Smajda R., Mionic M., Magrez A. // Surf. and Coat. Techn. 2011. V. 206. I. 4. P. 727. https://doi.org/10.1016/j.surfcoat.2011.01.025
- Zhong R., Sels B. // Appl. Cat. B: Env. 2018. V. 236. P. 518.https://doi.org/10.1016/j.apcatb.2018.05.012
- Zou W., Gao B., Ok Yo., Dong L. // Chemosphere. 2019. V. 218. P. 845.https://doi.org/10.1016/j.chemosphere.2018.11.175
- Peng Y., Chen Sh. // Green Ener.&Envir.2018. V. 3. I. 4. P. 335.https://doi.org/10.1016/j.gee.2018.07.006
- Koyama S., Haniu H., Osaka K., Koyama H., Kuroiwa N., Endo M., Kim Y. A., Hayashi T. // Small. 2006. V. 2. I. 12. P. 1406.https://doi.org/10.1002/smll.200500416
- Patel D., Kim H.-B., Dutta S. D., Ganguly K., Lim K.-T. // Materials. 2020. V. 13. I. 7. P. 1679.https://doi.org/10.3390/ma13071679
- Vijaya Bhaskar Reddy A., Madhavi V., Ahmad, A., Madhavi G. // Green Energy and Technology. 2021. Springer. Singapore. P. 246. https://doi.org/10.1007/978-981-15-6699-8_1
- Noamani S., Niroomand S., Rastgar M., Sadrzadeh M. // Npj Clean Water. 2019. V. 2. № 20.https://doi.org/10.1038/s41545-019-0044-z
- Jiang X., Wu Y., MaoX., Cui X., Zhu L. // Sensors and Actuators. B: Chemical. V. 153. I. 1. P. 158. https://doi.org/10.1016/j.snb.2010.10.023
- Su D.S., Schlogl R. // Chem. Eur. Spec. Iss.: MPI EnerChem. V. 3. I. 2. P. 136. https://doi.org/10.1002/cssc.200900182
- Dresselhaus M., Terrones M. // Proc. IEEE. 2013. V. 101. P. 1522.https://doi.org/10.1109/JPROC.2013.2261271
- Li Q., Chen L., Li X., Zhang J., Zhang X., Zheng K., Fang F., Zhou H., Tian X. // Compos. A Appl. Sci. Manuf. 2016. V. 82. P. 214. https://doi.org/10.1016/j.compositesa.2015.11.014
- An H., Feng B., Su S. // Carbon. 2009. V. 47. I. 10. P. 2396. https://doi.org/10.1016/j.carbon.2009.04.029
- Li X., Li X., Zhou J., Dong Y., Xie Zh, Caia W., Zhang Ch. // RSC Adv. 2017. I. 69. P. 43965. https://doi.org/10.1039/C7RA08602D
- Zhang Y., Sun J., Tan J., Ma Ch.-H., Luo Sh., Li W., Liu Sh. // Fuel. 2021. V. 305. P. 121622. https://doi.org/10.1016/j.fuel.2021.121622
- Zhang B., Chen R., Yang Z., Chen Y., Zhou L., Yuan Y. // Intern. J. Hydr. Ener. 2019. V. 44. I. 59. P. 31094. https://doi.org/10.1016/j.ijhydene.2019.10.045
- Krasnikova I., Mishakov I., Vedyagin A., Krivoshapkin P., Korneev D. // Comp. Comm. 2018. V. 7. P. 65–68. https://doi.org/10.1016/j.coco.2018.01.002
- Yang Y.-S., Wang C.-Y., Chen M.-M., Shi Zh.-Q., Zheng J.-M. // J. Solid St. Chem. 2010. V. 183. I. 9. P. 2116. https://doi.org/10.1016/j.jssc.2010.07.011
- Khan M., Tiehu L., Hussain A., Raza A. // Diam. And Rel. Mater. 2022. V. 126. P. 109077. https://doi.org/10.1016/j.diamond.2022.109077
- Аникеева И.В., Кряжев Ю.Г., Солодовниченко В.С., Дроздов В.А. // ХТТ. 2012. № 4. С. 70. [Solid Fuel Chemistry. 2012. V. 46. № 4. P. 271. doi: 10.3103/S0361521912040039]
- Кряжев Ю.Г., Вольфкович Ю.М., Мельников В.П., Рычагов А.Ю., Тренихин М.В., Солодовниченко В.С., Запевалова Е.С., Лихолобов В.А. // Физ. хим. поверхности и защиты материалов. 2017. Т. 53. № 3. С. 266. [Prot. of Met. and Phys. Chem. of Surf. 2017. V. 53. № 2. С. 268. doi: 10.1134/s2070205117020150] href='https://doi.org/10.7868/s0044185617030111' target='_blank'>https://doi.org/10.7868/s0044185617030111
- Кряжев Ю.Г., Солодовниченко В.С. // ХТТ. 2012. № 5. С. 54. [Solid Fuel Chemistry. 2012. V. 46. № 5. P. 330. doi: 10.3103/S0361521912050060]
- Podyacheva O.Yu., Ismagilov Z.R. // Catal. Today. 2015. V. 249. P. 12. https://doi.org/10.1016/j.cattod.2014.10.033
- Shalagina A.E., Ismagilov Z.R., Podyacheva O.Yu., Kvon R.I., Ushakov V.A. // Carbon. 2007. V. 45. P. 1808–1820. https://doi.org/10.1016/j.carbon.2007.04.032
- Podyacheva O.Y., Cherepanova S.V., Romanenko A.I., Kibis L.S., Svintsitskiy D.A., Boronin A.I., Stonkus O.A., Suboch A.N., Puzynin A.V., Ismagilov Z.R. // Carbon. 2017. V. 122. P. 475. https://doi.org/10.1016/j.carbon.2017.06.094
- Thommes M., Kaneko K., Neimark A.V., Olivier J.P., Rodriguez-Reinoso F., Rouquerol J., Sing K.S.W. // Pure Appl. Chem. IUPAC Technical Report.2015. V. 89. I. 9–10. P. 1051. https://doi.org/10.1515/pac-2014-1117
- Inagaki M., Konno H., Tanaike O. // J. of Pow. Sour. 2010. V. 195. I. 24. P. 7880. https://doi.org/10.1016/j.jpowsour.2010.06.036
- Conway B. // Electrochemical Supercapacitors: Scientific Fundamentals and Technological Applications. Springer Science & Business Media. 1999. 685 p. https://doi.org/10.1007/978-1-4757-3058-6
- Bagotsky V.S., Skundin A.M., Volfkovich Yu.M. // Electrochemical Power Sources. Batteries, Fuel Cells, Supercapacitors.JhonWiely& Sons Inc. Publisher. N.J. USA. 2015. 372 p.
- Volfkovich Yu.M., Bograchev D.A., Rychagov A.Yu., Sosenkin V.E., Chaika M.Yu. // J. Solid State Electrochem. 2015. V. 19. P. 19: 2771–2779. https://doi.org/10.1007/s10008-015-2804-0
- Volfkovich Yu.M., Bograchev D.A., Mikhalin A.A., Ba-gotsky V.S. // Solid State Electrochem.2014. V. 18. P. 1351. https://doi.org/10.1007/s10008-013-2271-4
- Подъячева О.Ю., Субоч А.Н., Яшник С.А., Сальников А.В., Черепанова С.В., Кибис Л.С., Сименюк Г.Ю., Романенко А.И., Исмагилов З.Р. // Журн. структурной химии. 2021. Т. 62. № 5. С. 827. https://doi.org/10.26902/JSC_id72907
- Langendahl P.-A., Roby H., Potter S., Cook M. // EnergyRes. Soc. Sci. 2019. V. 58. P. 101277. https://doi.org/10.1016/j.erss.2019.101277
- Chapaloglou S., Nesiadis A., Iliadis P., Atsoniosa K., Nikolopoulosa N., Grammelisa P., Yiakopoulosb Ch., Antoniadisb I., Kakaras E. // Appl. Energy. 2019. V. 238. https://doi.org/10.1016/j.apenergy.2019.01.102
- Вольфкович Ю.М. // Электрохимия. 2021. Т. 57. № 4. С. 197–238. https://doi.org/10.31857/S0424857021040101
- Volfkovich Yu.M., Filippov A.N., Bagotsky V.S. // Springer Publisher. London. 2014. https://doi.org/10.1007/978-1-4471-6377-0
- Volfkovich Yu.M., Sakars A.V., Volinsky A.A. // Int. J. Nanotechnology. 2005. V. 2. P. 292. https://doi.org/10.1504/IJNT.2005.008066
Дополнительные файлы









