Supramolecular Structure of Coals of the Metamorphism Series
- Authors: Kuznetsov P.N.1,2, Obukhova A.V.1,2, Kositsyna S.S.1,2, Kuznetsova L.I.1, Kamenskii E.S.1, Avid B.3
-
Affiliations:
- Institute of Chemistry and Chemical Technology, Federal Research Center Krasnoyarsk Scientific Center, Siberian Branch, Russian Academy of Sciences
- School of Petroleum and Natural Gas Engineering, Siberian Federal University
- Institute of Chemistry and Chemical Technology, Mongolian Academy of Sciences
- Issue: No 4 (2023)
- Pages: 5-15
- Section: Articles
- URL: https://journal-vniispk.ru/0023-1177/article/view/140031
- DOI: https://doi.org/10.31857/S0023117723040060
- EDN: https://elibrary.ru/OMMLQS
- ID: 140031
Cite item
Full Text
Abstract
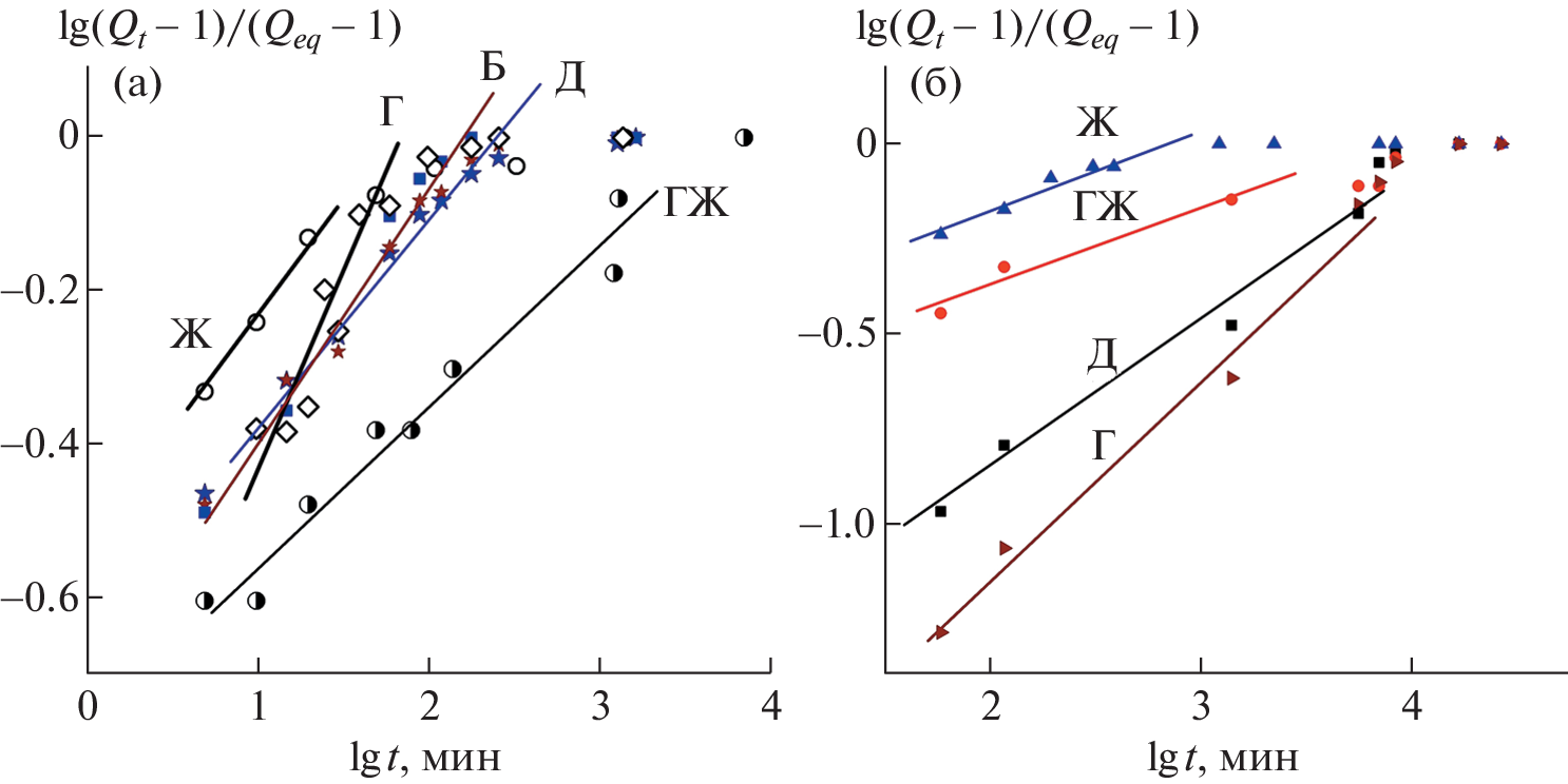
The molecular structure characteristics of brown and hard coals of the metamorphism series were determined using IR spectroscopy. Based on the data of X-ray diffraction analysis and the kinetics of swelling in solvents, their supramolecular structure and the mechanism of molecular diffusion in the organic mass of coals were studied. Relationships between the supramolecular structure and molecular composition indices were established, and the structure evolution in the series of coal metamorphism was considered. It was found that tetrahydrofuran and quinoline molecules penetrated into the bulk of the organic mass of most coals by molecular Fickian diffusion complicated by steric hindrances of the microporous structure.
Keywords
About the authors
P. N. Kuznetsov
Institute of Chemistry and Chemical Technology, Federal Research Center Krasnoyarsk Scientific Center, Siberian Branch, Russian Academy of Sciences; School of Petroleum and Natural Gas Engineering, Siberian Federal University
Email: kuzpn@icct.ru
Krasnoyarsk, 660036 Russia; Krasnoyarsk, 660041 Russia
A. V. Obukhova
Institute of Chemistry and Chemical Technology, Federal Research Center Krasnoyarsk Scientific Center, Siberian Branch, Russian Academy of Sciences; School of Petroleum and Natural Gas Engineering, Siberian Federal University
Email: kuzpn@icct.ru
Krasnoyarsk, 660036 Russia; Krasnoyarsk, 660041 Russia
S. S. Kositsyna
Institute of Chemistry and Chemical Technology, Federal Research Center Krasnoyarsk Scientific Center, Siberian Branch, Russian Academy of Sciences; School of Petroleum and Natural Gas Engineering, Siberian Federal University
Email: skositsyna@sfu-kras.ru
Россия, 660036, Красноярск; Россия, 660041, Красноярск
L. I. Kuznetsova
Institute of Chemistry and Chemical Technology, Federal Research Center Krasnoyarsk Scientific Center, Siberian Branch, Russian Academy of Sciences
Email: kuzpn@icct.ru
Krasnoyarsk, 660036 Russia
E. S. Kamenskii
Institute of Chemistry and Chemical Technology, Federal Research Center Krasnoyarsk Scientific Center, Siberian Branch, Russian Academy of Sciences
Email: kuzpn@icct.ru
Krasnoyarsk, 660036 Russia
B. Avid
Institute of Chemistry and Chemical Technology, Mongolian Academy of Sciences
Author for correspondence.
Email: kuzpn@icct.ru
Ulan Bator, 14200 Mongolia
References
- Speight J.G. Handbook of Coal Analysis, 2nd Ed. John Wiley and Sons, 2015. 368 p.
- Van Krevelen B.D. Coal. Typology-Chemistry-Physics-Constitution. Amsterdam: Elsevier, 1993. 979 p.
- Кричко А.А., Гагарин С.Г., Макарьев С.С. // ХТТ. 1993. № 6. С. 27.
- Скрипченко Г.Б. // ХТТ. 2009. № 6. С. 7. [Solid Fuel Chemistry, 2009, vol. 43. № 6, P. 333. https://doi.org/10.3103/S0361521909060019]
- Walker P.L., Jr., Verma S.K., Rivara-Utrilla J., Davis A. // Fuel. 1988. V. 67. P. 1615. https://doi.org/10.1016/0016-2361(88)90204-9
- Prinz D., Pyckhout-Hintzen W., Littke R. // Fuel 2004. V. 83. P. 547. https://doi.org/10.1016/j.fuel.2003.09.006
- Исмагилов З.Р., Шикина Н.В., Журавлева Н.В., Потокина Р.Р., Теряева Т.Н., Керженцев М.А. // ХТТ. 2014. № 4. С. 3. [Solid Fuel Chemistry. vol. 48, № 4, P. 215. https://doi.org/10.3103/S0361521914040053].https://doi.org/10.7868/S0023117714040057
- Nie B., Liu X., Yang L., Meng J., Li X. // Fuel. 2015. V. 158. P. 908. https://doi.org/10.1016/j.fuel.2015.06.050
- Alexeev A.D., Vasilenko T.A., Ulyanova E.V. // Fuel. 1999. V. 78. P. 635. https://doi.org/10.1016/S0016-2361(98)00198-7
- Liu T., Zhao Y., Noraei D. // Front. Earth Sci. 2021. V. 9. P. 1. https://doi.org/10.3389/feart.2021.785913
- Лапидус А.Л., Гюльмалиев А.М., Жагфаров Ф.Г., Яркова Т.А. // ХТТ. 2022. № 5. С. 32. [Solid Fuel Chemistry. vol. 56, № 5, P. 342. https://doi.org/10.3103/S0361521922330011]https://doi.org/10.31857/S0023117722050061
- Sperling L.H. Introduction to physical polymer science. New Jersey: Wily-InterScience. 2006. 845 p.
- Hall P.J., Thomas K.M., Marsh H. // Fuel. 1992. V. 71. P. 1271. https://doi.org/10.1016/0016-2361(92)90053-Q
- Ndaji F.E., Thomas K.M. // Fuel. 1995. V. 74. P. 842. https://doi.org/10.1016/0016-2361(95)00011-S
- Ndaji F.E., Thomas K.M. // Fuel. 1993. V. 72. P. 1525. https://doi.org/10.1016/0016-2361(93)90010-Y
- Aida T. // Energy and Fuels. 1991. V. 5. P. 79. https://doi.org/10.1021/ef00025a013
- Кузнецов П.Н. // ХТТ. 2013. № 6. С. 19. [Solid Fuel Chemistry, 2013, vol. 47, No. 6, P. 329. https://doi.org/10.3103/S0361521913060062]https://doi.org/10.7868/S0023117713060066
- Кузнецов П.Н. // ХТТ. 1998. № 3. С. 53.
- Кузнецов П.Н., Кузнецова Л.И. // ХTТ. 2008. № 6. С. 57. [Solid Fuel Chemistry, 2008, vol. 42, No. 6, P. 373. https://doi.org/10.3103/S0361521913060062]
- Саранчук В.И., Айруни А.Т., Ковалев К.Е. Надмолекулярная организация, структура и свойства угля. Киев: Наук. думка. 1988. 192 с.
- Lu L., Sahajwalla V., Kong C., Harris D. // Carbon. 2001. V. 39. P. 1821. https://doi.org/10.1016/S0008-6223(00)00318-3
- Королев Ю.М., Гладун Т.Г., Гагарин С.Г. // ХТТ. 2003. № 2. С. 14.
- Sobkowiak M., Painter P. // Fuel. 1992. V. 71. P. 1105. https://doi.org/10.1016/0016-2361(92)90092-3
- Alcaniz-Monge J., Cazorla-Amoros D., Linares-Solano A. // Fuel. 2001. V. 80. P. 41. https://doi.org/10.1016/S0016-2361(00)00057-0
- Solomon P.R., Carangelo R.M. // Fuel. 1988. V. 67. P. 949. https://doi.org/10.1016/0016-2361(88)90095-6
- Supalukhari S., Larkins F.P., Redlich P., Jackson W.R. // Fuel Process. Technol. 1989. V. 23. P. 47. https://doi.org/10.1016/0378-3820(89)90043-X
- Guillén M.D., Iglesias M.J., Domínguez A., Blanco C.G. // Fuel. 1995. V. 74. P. 1595. https://doi.org/10.1016/0016-2361(95)00139-V
- Li K., Khanna R., Zhang J., Barati M., Liu Z., Xu T., Yang T. // Energy & Fuels. 2015. V. 29. P. 7178. https://doi.org/10.1021/acs.energyfuels.5b02064
- Sfihi H., Legrand A.P. In: Advanced Methodologies in Coal Characterization. Amsterdam: Elsevier, 1990. P. 115.
- Кузнецов П.Н., Avid Budeebazar // Информ. Бюлл. Международное сотрудничество: Россия-Монголия о деятельности Российского фонда фундаментальных исследований Специальный выпуск. 2022. № 2. С. 36. URL: https://www.rfbr.ru/rffi/ru/ books/o_2130405 (дата обращения: 20.12.2022).
- Yoshida T., Maekawa Y. // Fuel Proc. Tech. 1987. V. 15. P. 385. https://doi.org/10.1016/0378-3820(87)90060-9
- Журавлева Н.В., Хабибулина Е.Р., Исмагилов З.Р., Потокина Р.Р., Созинов С.А. // ХИУР. 2016. Т. 24. С. 355. https://doi.org/10.15372/KhUR20160310
- Korolev Yu.M., Gagarin S.G. // Solid Fuel Chemistry. 2003. № 3. P. 11.
- Haenel M.W. // Fuel. 1992. V. 71. I. 11. P. 1211. https://doi.org/10.1016/0016-2361(92)90046-Q
- Popova A.N., Fedorova N.I., Ismagilov Z.R. // Coke and Chemistry. 2020. V. 63. P. 57. https://doi.org/10.3103/S1068364X20020088
- Скрипченко Г.Б., Никифорова Д.В. // ХТТ. 1996. № 3. С. 31.
- Solum M.S., Pugmire R.J., Grant D.M. // Energy & Fuels. 1989. V. 3. P. 187. https://doi.org/10.1021/ef00014a012
Supplementary files










