Composition of the Organic Compounds of Different Peat Types from the Southern Taiga Subzone of Western Siberia
- Authors: Serebrennikova O.V.1, Russkikh I.V.1, Strel’nikova E.B.1, Kharanzhevskaya Y.A.2, Fedorov D.V.1
-
Affiliations:
- Institute of Petroleum Chemistry, Siberian Branch, Russian Academy of Sciences
- Siberian Research Institute of Agriculture and Peat–Branch of the Siberian Federal Scientific Centre of Agro-BioTechnologies, Russian Academy of Sciences
- Issue: No 2-3 (2023)
- Pages: 26-34
- Section: Articles
- URL: https://journal-vniispk.ru/0023-1177/article/view/140045
- DOI: https://doi.org/10.31857/S0023117723020135
- EDN: https://elibrary.ru/BPPXAE
- ID: 140045
Cite item
Full Text
Abstract
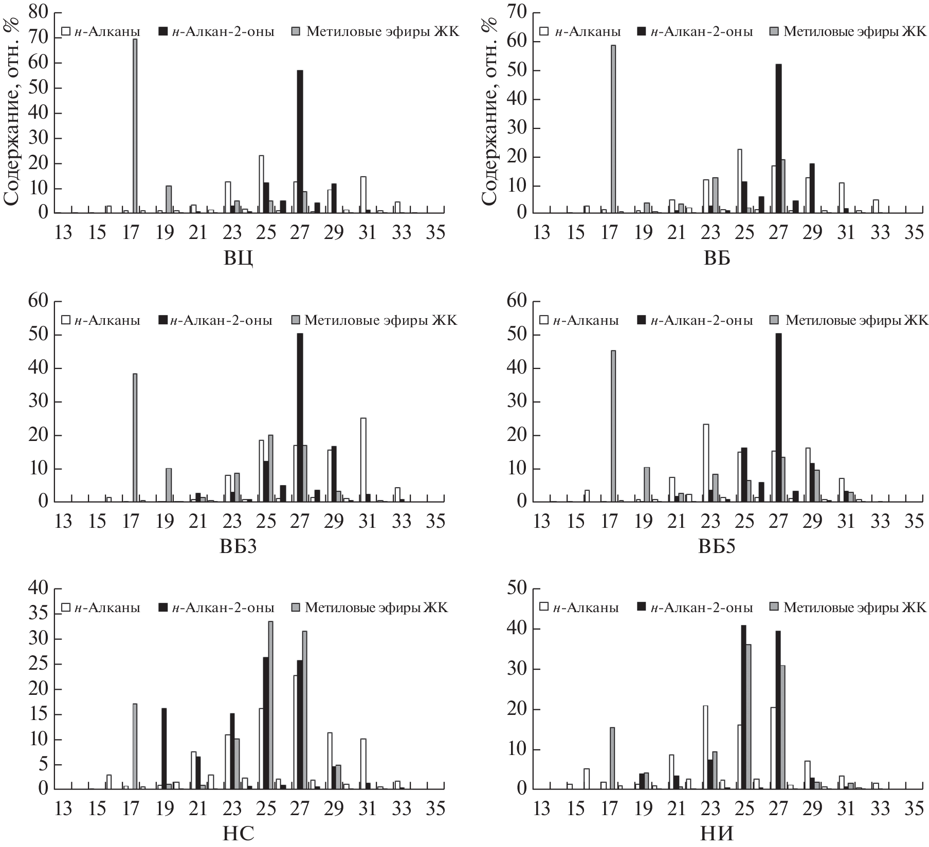
Acyclic (n-alkanes, n-alkan-2-ones, fatty acids, methyl esters of fatty acids, n-aldehydes, squalene, phyton, and phytol isomers) and cyclic (series of di- and triterpenoids, steroids, and tocopherols, phytonadione, and dihydroactinidiolide) organic compounds, many of which are biologically active, in peat samples raised bogs and fens of the southern taiga subzone of Western Siberia were studied using gas chromatography–mass spectrometry. Acyclic structures, among which n-alkan-2-ones were predominant, dominated in sedge and sedge-hypnum peat in contrast to Sphagnum peat, in which n-alkanes predominated. The distribution of pentacyclic triterpenoids, n-alkanes, n-alkan-2-ones, and methyl esters of fatty acids was largely determined by the botanical composition of peat.
Keywords
About the authors
O. V. Serebrennikova
Institute of Petroleum Chemistry, Siberian Branch, Russian Academy of Sciences
Email: ovs49@yahoo.com
Tomsk, 634055 Russia
I. V. Russkikh
Institute of Petroleum Chemistry, Siberian Branch, Russian Academy of Sciences
Email: rus@ipc.tsc.ru
Tomsk, 634055 Russia
E. B. Strel’nikova
Institute of Petroleum Chemistry, Siberian Branch, Russian Academy of Sciences
Email: seb@ipc.tsc.ru
Tomsk, 634055 Russia
Yu. A. Kharanzhevskaya
Siberian Research Institute of Agriculture and Peat–Branch of the Siberian Federal Scientific Centre of Agro-BioTechnologies, Russian Academy of Sciences
Email: kharan@yandex.ru
Tomsk, 634050 Russia
D. V. Fedorov
Institute of Petroleum Chemistry, Siberian Branch, Russian Academy of Sciences
Author for correspondence.
Email: kharan@yandex.ru
Tomsk, 634055 Russia
References
- Материалы Всероссийской с международным участием X школы молодых ученых “Болота и биосфера”. Тверь, 2018. 311 с.
- Анисимова О.В., Никитина Н.Ю., Маслов С.Г. // Матер. XIX Междунар. научн.-практ. конф. студентов и молодых ученых имени профессора Л.П. Кулева “Химия и химическая технология в XXI веке”. Томск, 2018. С. 343.
- Анисимова О.В., Денисенко Д.А., Маслов С.Г. // Матер. Всерос. с международным участием X школы молодых ученых “Болота и биосфера”. Тверь, 2018. С. 115.
- ГОСТ 28245.2-89. Торф. Методы определения ботанического состава и степени разложения. М.: Стандартинформ, 2006. 7 с.
- ГОСТ 31859-2012. Вода. Метод определения химического потребления кислорода. М.: Стандартинформ, 2014. 8 с.
- Сукачев В.Н. Проблемы фитоценологии. Избр. тр. в 3 томах. Л.: Наука, 1975. Т. 3. 543 с.
- Pancost R.D., Baas M., van Geel B., Sinninghe Damste J.S. // Org. Geochem. 2002. V. 33. P. 675.
- Bingham E.M., McClymont E.L., Valiranta M., Mauquoy D., Roberts Z., Chambers F.M., Pancost R.D., Evershed R.P. // Org. Geochem. 2010. V. 41. P. 214.
- Серебренникова О.В., Дучко М.А., Коронатова Н.Г., Стрельникова Е.Б. // ХТТ. 2018. № 1. С. 38. [Solid Fuel Chemistry, 2018, vol. 52, no. 1, p. 36. https://doi.org/10.7868/S00231177180185].https://doi.org/10.3103/S0361521918010081
- Стрельникова Е.Б., Русских И.В., Прейс Ю.И. // ХТТ. 2021. № 5 С. 56. [Solid Fuel Chemistry. 2021, vol. 55, no. 5, p. 321. https://doi.org/10.3103/S0361521921040066]https://doi.org/10.31857/S002311772104006X
- Серебренникова О.В., Стрельникова Е.Б., Русских И.В. // Химия растительного сырья. 2019. № 3. С. 225. https://doi.org/10.14258/jcprm.2019034558
- Naafsa B.D.A., Inglisa G.N., Blewetta J., McClymontc E.L., Lauretanoa V., Xied S., Eversheda R.P., Pancosta R.D. // Glob. Planet. Change. 2019. V. 179. P. 57. https://doi.org/10.1016/j.gloplacha.2019.05.006
- Cheng J.T., Chang S.S., Hsu F.L. // J. Pharm. Pharmacol. 1994. №. 46. C. 469.
- Wafa N., Sofiane G., Ouarda D. // Int. J. Pharma Res. Health Sci. 2017. V. 5. № 3. P. 1698.
- Серебренникова О.В., Гулая Е.В., Стрельникова Е.Б., Кадычагов П.Б., Прейс Ю.И., Дучко М.А. // Химия растительного сырья. 2014. № 1. С. 257. https://doi.org/10.14258/jcprm.1401257
- Donadio G., Chini M.G., Parisi V., Mensitieri F., Malafronte N., Bifulco G., Bisio A., De Tommasi N., Bader A. // J. Nat. Products. 2022. V. 85. № 7. P. 1667. https://doi.org/10.1021/acs.jnatprod.1c01093
- Kudryavtseva A., Krasnov G., Lipatova A., Alekseev B., Maganova F., Shaposhnikov M., Fedorova M., Snezhkina A., Moskalev A. // Oncotarget. 2016. V. 50. № 7. P. 83744. https://doi.org/10.18632/oncotarget.13467




