Исследование медленного пиролиза лигнина, гемицеллюлозы, целлюлозы и эффекта их взаимодействия в растительной биомассе
- Авторы: Зайченко В.М.1, Лавренов В.А.1, Фалеева Ю.М.1
-
Учреждения:
- ФГБУН Объединенный институт высоких температур РАН (ОИВТ РАН)
- Выпуск: № 6 (2023)
- Страницы: 66-74
- Раздел: Статьи
- URL: https://journal-vniispk.ru/0023-1177/article/view/232860
- DOI: https://doi.org/10.31857/S0023117723060105
- EDN: https://elibrary.ru/BSGBTS
- ID: 232860
Цитировать
Полный текст
Аннотация
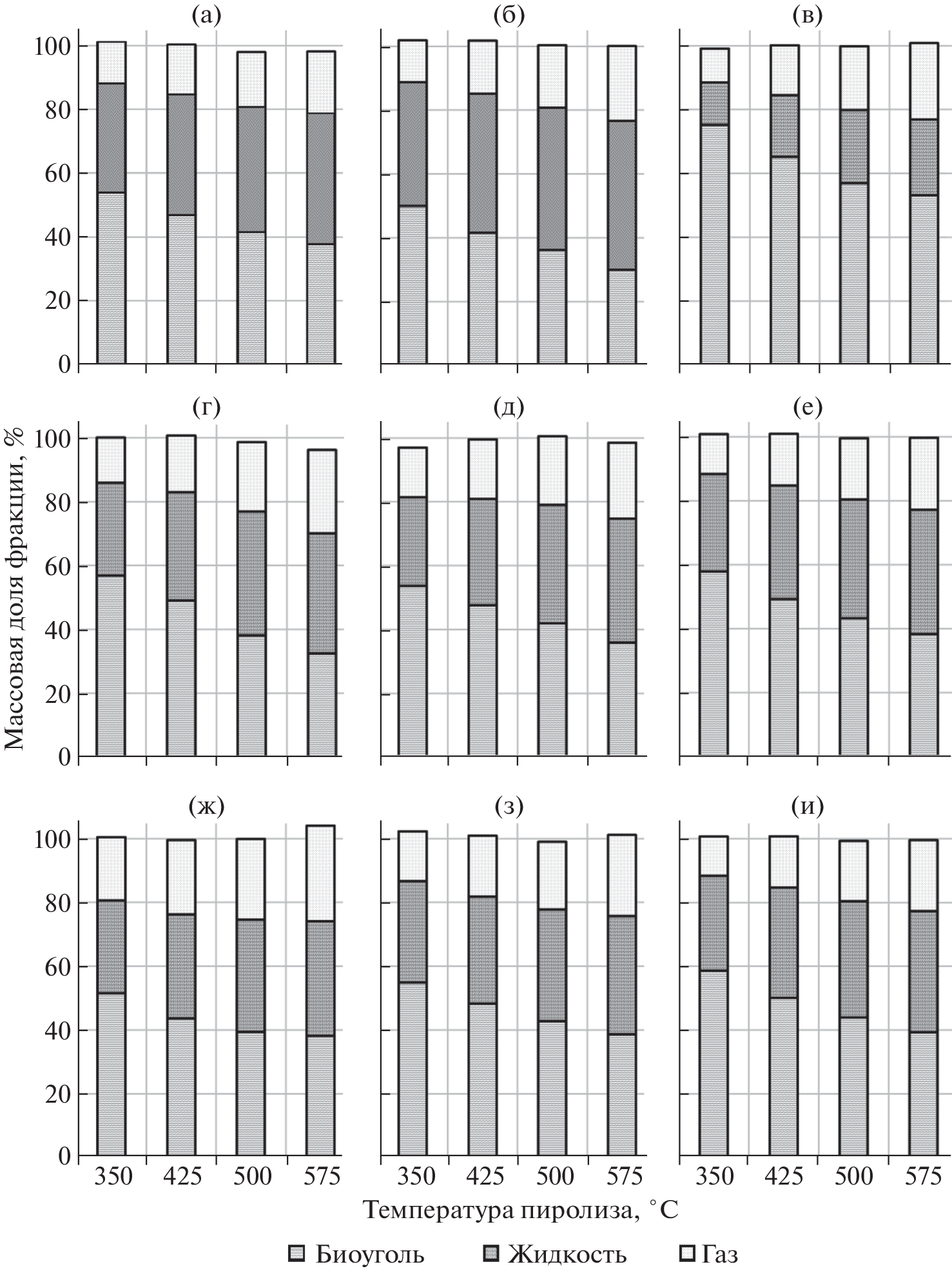
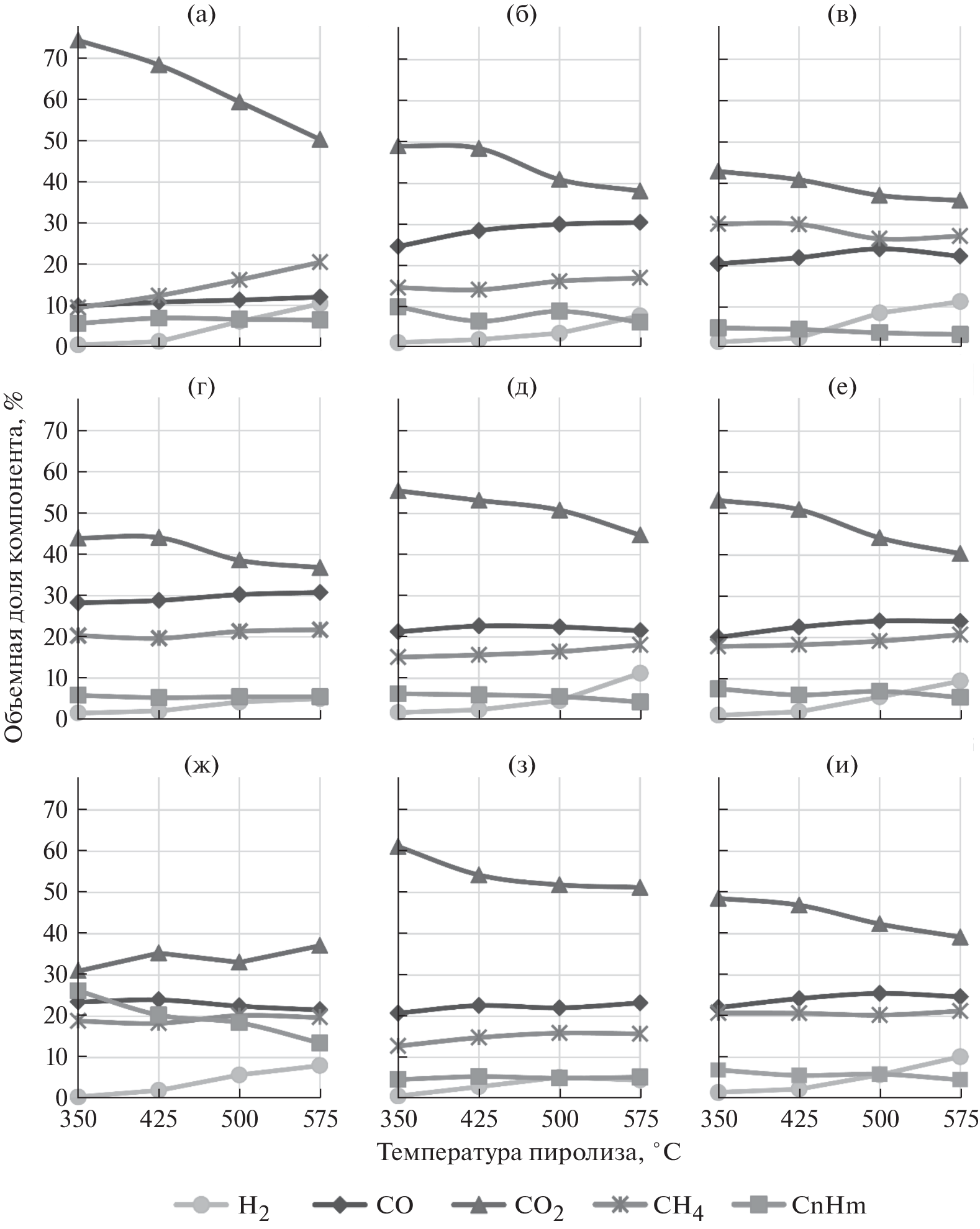
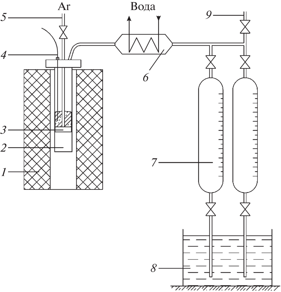
Проведены исследования пиролиза двух видов сырья растительного происхождения (древесные опилки и лузга подсолнечника), компонентов органической части биомассы (гемицеллюлоза, целлюлоза и лигнин), а также модельных смесей, приготовленных из компонентов в соответствии с их пропорциями в сырье. Пиролиз материалов выполнен с использованием ТГА и лабораторной установки, включающей реактор с неподвижным слоем. Распределение и состав продуктов определяли при температурах пиролиза 350, 425, 500 и 575°С. Экспериментальные данные для образцов биомассы и модельных смесей сравнивали с расчетными значениями, полученными на основе пиролиза компонентов по отдельности и их пропорций в биомассе. Исследована возможность прогнозировать распределение продуктов пиролиза в зависимости от компонентного состава. Выявлено влияние межкомпонентного взаимодействия в биомассе на выход и состав продуктов пиролиза.
Ключевые слова
Об авторах
В. М. Зайченко
ФГБУН Объединенный институт высоких температур РАН (ОИВТ РАН)
Email: zaitch@oivtran.ru
Россия, 125412, Москва
В. А. Лавренов
ФГБУН Объединенный институт высоких температур РАН (ОИВТ РАН)
Email: v.a.lavrenov@gmail.com
Россия, 125412, Москва
Ю. М. Фалеева
ФГБУН Объединенный институт высоких температур РАН (ОИВТ РАН)
Автор, ответственный за переписку.
Email: faleeva.julia@mail.ru
Россия, 125412, Москва
Список литературы
- Bhattacharjee N., Biswas A.B.J. // Environ. Chem. Eng. 2019. V. 7. № 1. P. 102903. https://doi.org/10.1016/j.jece.2019.102903
- Diblasi C. // Prog. Energy Combust. Sci. 2008. V. 34. № 1. P. 47. https://doi.org/10.1016/j.pecs.2006.12.001
- Wu Y., Gui Q., Zhang H., Li H., Li B., Liu M., Chen Y., Zhang S., Yang H, Chen H. // J. Anal. Appl. Pyrolysis. 2023. V. 173. P. 106039. https://doi.org/10.1016/j.jaap.2023.106039
- Demirbaş A. // Energy Convers. Manag. 2000. V. 41. № 6. P. 633. https://doi.org/10.1016/s0196-8904(99)00130-2
- Lam M.K., Khoo C.G., Lee K.T. // Biofuels from Algae. Elsevier, 2019. Ch. 19. P. 475. https://doi.org/10.1016/b978-0-444-64192-2.00019-6
- Zhou H., Long Y., Meng A., Li Q., Zhang Y. // Thermochim. Acta. 2013. № 566. P. 36. https://doi.org/10.1016/j.tca.2013.04.040
- Yu J., Paterson N., Blamey J. Millan M. // Fuel. 2017. V. 191. P. 140. https://doi.org/10.1016/j.fuel.2016.11.057
- Burhenne L., Messmer J., Aicher T., Laborie M.-P. // J. Anal. Appl. Pyrolysis. 2013. V. 101. P. 177. https://doi.org/10.1016/j.jaap.2013.01.012
- Chua Y.W., Wu H., Yu Y. // Proc. Combust. Inst. 2021. V. 38. № 3. P. 3977. https://doi.org/10.1016/j.proci.2020.08.014
- Anwar Z., Gulfraz M., Irshad M. // J. Radiat. Res. Appl. Sci. 2014. V. 7. № 2. P. 163. https://doi.org/10.1016/j.jrras.2014.02.003
- Raveendran K., Ganesh A., Khilar K.C. // Fuel. 1996. V. 75. P. 987. https://doi.org/10.1016/0016-2361(96)00030-0
- Senneca O., Cerciello F., Russo C., Wütscher A., Muhler M., Apicella B. // Fuel. 2020. V. 271. P. 117656. https://doi.org/10.1016/j.fuel.2020.117656
- Yang H., Yan R., Chen H., Lee D.H., Zheng C. // Fuel. 2007. V. 86. № 12–13. P. 1781. https://doi.org/10.1016/j.fuel.2006.12.013
- Orfão J.J.M., Antunes F.J.A., Figueiredo J.L. // Fuel. 1999. V. 78. № 3. P. 349. https://doi.org/10.1016/s0016-2361(98)00156-2
- Wu Y., Zhao Z., Li H., He F. // J. Fuel Chem. Technol. 2009. V. 37. P. 427. https://doi.org/10.1016/s1872-5813(10)60002-3
- Reyes L., Abdelouahed L., Mohabeer C., Buvat J.C., Taouk B. // Energy Convers. Manag. 2021. V. 244. P. 114459. https://doi.org/10.1016/j.enconman.2021.114459
- Couhert C., Commandre J.-M., Salvador S. // Fuel. 2009. V. 88. № 3. P. 408. https://doi.org/10.1016/j.fuel.2008.09.019
- Sun C., Tan H., Zhang Y. // Renew. Energy. 2023. V. 205. P. 851. https://doi.org/10.1016/j.renene.2023.02.015
- Gani A., Naruse I. // Renew. Energy. 2007. V. 32. № 4. P. 649. https://doi.org/10.1016/j.renene.2006.02.017
- Zhu X., Liu M., Sun Q., Ma J., Xia A., Huang Y., Zhu X., Liao Q. // Fuel. 2022. V. 327. P. 125141. https://doi.org/10.1016/j.fuel.2022.125141
- Батенин В.М., Бессмертных А.В., Зайченко В.М., Косов В.Ф., Синельщиков В.А. // Теплоэнергетика. 2010. № 11. С. 36. [Thermal Engineering, 2010, vol. 57, no. 11, p. 946. https://doi.org/10.1134/S0040601510110066]
Дополнительные файлы









