Kinetic parameters of thermal decomposition of biofuels and its oil-containing composites
- Authors: Ponomareva A.A.1,2, Laryushkina D.D.1, Logacheva D.A.1, Sitnikova V.E.1, Mokrin S.N.3, Uspenskaya M.V.1
-
Affiliations:
- Federal State Autonomous Educational Institution of Higher Education “National Research University ITMO” (ITMO University)
- Federal State Autonomous Educational Institution of Higher Education “Far Eastern Federal University” (FEFU)
- 2Federal State Autonomous Educational Institution of Higher Education “Far Eastern Federal University” (FEFU)
- Issue: No 1 (2024)
- Pages: 82-91
- Section: Articles
- URL: https://journal-vniispk.ru/0023-1177/article/view/264460
- DOI: https://doi.org/10.31857/S0023117724010082
- EDN: https://elibrary.ru/oprfpq
- ID: 264460
Cite item
Full Text
Abstract
The kinetic features of the decomposition of fuel pellets formed from birch phloem and its composites with the addition of oil-containing waste (OCW) were studied by methods of thermogravimetric analysis carried out in various atmospheric conditions. The characteristic temperature ranges of thermal decomposition of the materials from which pellets are formed were identified, the rates of mass loss and activation energy at the main stages of thermal decomposition were evaluated, and the combustion indices of composite compositions were determined to identify the possibility of using such compositions as alternative fuels. By evaluation of activation energies for each stage of sample decomposition, the limiting influence of certain stages on the process of thermal destruction was established.
Full Text
ВВЕДЕНИЕ
Одна из современных экологических проблем связана с производствами лесного комплекса и заключается в том, что обработка древесных материалов создает большое количество отходов, включая опилки, щепу, кору и др. По данным Росприроднадзора, отходы с лесопроизводств составили 6.3 млн т за 2020 г., при этом установлено, что 32% древесных отходов лесных предприятий никак не используется [1, 2]. Однако несмотря на то что данная группа отходов относится к практически неопасной, она все же наносит ущерб природе, например необработанная кора, оставленная на несанкционированных свалках на длительное хранение, приводит к загрязнению местной окружающей среды, нарушению санитарного состояния и биологического равновесия между различными звеньями лесной экосистемы [3].
Одним из основных видов сырья для лесопроизводств является береза. Она распространена в северном полушарии, особенно в Евразии, и занимает значительную часть лесных массивов в странах с умеренным климатом, таких как Россия, Финляндия, Швеция и других. Березовый луб является внутренней частью коры [4], занимает небольшую долю в общей массе дерева (8,6%) [5], но именно она имеет ограниченное применение. Березовый луб могут использовать в качестве полидисперсного пористого материала для изготовления удобрений и энтеросорбентов [6]. Полифенолы, выделенные из березового луба, могут быть использованы в роли флокулянтов для очистки воды или для создания адгезионных материалов в основе покрытий [7]. Также имеются последние исследования [8], которые посвящены изучению противовоспалительных и противоопухолевых свойств бетулина, полученного из коры березы. С другой стороны, большое содержание лигнина в березовом лубе и хорошая теплотворная способность (данный показатель составляет в среднем 16.2 МДж/кг [9]) делает данное сырье перспективным для производства топливных пеллет.
Поиск альтернативных источников энергии и увеличение их доли в общем энергетическом балансе является актуальной проблемой. Пеллеты (древесные гранулы цилиндрической формы) из отходов лесных хозяйств и нефтепроизводств могут внести свой вклад в решение этой проблемы, обеспечивая доступный и эффективный источник энергии. Пеллеты используются в качестве топлива для обогрева жилых зданий и промышленных помещений, а также для производства электроэнергии в котельных и теплоэлектростанциях [10, 11]. Утилизация НСО подобным образом позволит снизить воздействие важной экологической и экономической проблемы, решение которой требует новых подходов.
Цель работы – изучить параметры термического разложения пеллет как альтернативного источника энергии на основе березового луба и их композитных составов, включающих нефтесодержащие отходы. Подобный анализ позволяет выявить перспективы и сложности при эксплуатации пеллет в качестве топлив. К тому же это актуально и интересно в целях развития модельных представлений поведения мультитопливных систем для описания процессов горения, газификации и пиролиза органических твердофазных топлив, а также для более глубокого изучения условий формирования и эксплуатации биотоплив.
ЭКСПЕРИМЕНТАЛЬНАЯ ЧАСТЬ
В качестве объектов исследования в данной работе выступают топливные пеллеты, произведенные на основе березового луба и их композитного состава с добавлением нефтесодержащих отходов (НСО). Разработка и внедрение новых методов и технологий для утилизации и переработки нефтеотходов является важной задачей современной науки и промышленности, способствующей устойчивому развитию и сохранению окружающей среды [12, 13]. Поскольку нефтеотходы представляют собой сложный и разнообразный класс материалов, которые могут содержать смесь тяжелых углеводородов, металлов, серы и других примесей, то они требуют тщательного и индивидуального подхода к утилизации и переработке [12]. В связи с этим в рамках работы было изучено изменение теплофизических характеристик пеллет при добавлении НСО с перспективой использования нового подхода для утилизации материалов путем формирования композитных энерготоплив.
Перед формированием пеллет дробленый березовый луб просеивался через металлотканые сита для отделения фракций определенного размера. Таким образом, березовый луб был представлен в виде мелких пылевидных, средних и крупных фракций различного размера. Средние и крупные фракции сырья отделялись вручную, для получения более мелких фракций применяли лабораторный вибрационный грохот. Таким образом, в результате сырье было разделено на 10 фракций, размеры которых представлены в табл. 1.
Таблица 1. Фракции березового луба
Условное разделение | Фракция | |||||||||
мелкая | средняя | крупная | ||||||||
Номер | 1 | 2 | 3 | 4 | 5 | 6 | 7 | 8 | 9 | 10 |
Размер, мм | <0.05 | <0.1 | <0.2 | <0.25 | <0.8 | 0.8–1 | 1–1.6 | 1.6–2 | 2–2.5 | 2.5–5 |
Нефтеотход, представляющий собой тяжелый высоковязкий материал, был взят с Западно-Усть-Балыкского месторождения. В лабораторных условиях были определены характеристики: плотность ρ = 953 кг/м3 и кинематическая вязкость v = 1056 мм2/c.
Пеллеты были сформированы с помощью пресса лабораторного гидравлического ПГР-10. Исследования показали, что для формирования пеллет оптимальным давлением является значение Р = 70 бар, которое и было применено для формирования всех образцов. В процессе изготовления пеллет выявлено, что образцы, полученные из крупных и большинства средних фракций луба, уступают по эксплуатационным характеристикам образцам из мелких фракций, поэтому для определения кинетических параметров по данным термогравиметрии были отобраны пеллеты, полученные из фракций до 0.8 мм. Под эксплуатационными характеристиками здесь имеется в виду механическая прочность пеллет и их формуемость в процессе изготовления, а также особенности горения пеллет в реальных условиях.
Термогравиметрическое (ТГ) исследование образцов пеллет осуществлялось с использованием термоанализатора TG 209 F1 Libra (Netzsch). Исследование проводилось в диапазоне температур 25–900°C с постоянной скоростью нагрева 10°C/мин в контролируемой атмосфере, состоящей из 20% кислорода и 80% азота, а также в условиях пиролиза (атмосфера – 100% азот). При этом скорость подачи газов в камеру исследования оставалась постоянной и составляла 50 мл/мин. ТГ-Анализ проводился с целью определения кинетических характеристик процесса сжигания и вычисления характеристических индексов горения твердого топлива.
РЕЗУЛЬТАТЫ И ИХ ОБСУЖДЕНИЕ
Термогравиметрические исследования пеллет из березового луба. Термогравиметрический анализ проводился с использованием образцов пеллет, полученных из пяти малых фракций (№ 1–5, табл. 1). На рис. 1 представлены результаты термогравиметрического исследования разложения луба. Из полученного графика можно сделать вывод о том, что термодеструкция образцов происходит примерно одинаково у всех образцов, независимо от фракционного состава. Ярко видно три выраженных этапа. Первый происходит до температуры 325 К – это удаление воды из образцов. Затем в интервале 500–560 К резкое уменьшение массы – деструкция органической части до легколетучих компонентов. А при дальнейшем повышении температуры идет процесс ароматизации лигнина, разложение термостабильных компонентов и окисление образовавшегося угля [14]. Более подробное описание процессов, происходящих при термическом разложении пеллет из чистого луба, приведено ниже (в следующем подразделе).
Рис. 1. Термогравиметрические исследования пеллет из березового луба в условиях пиролиза (100% N2): ТГА (а); ДТГ (б).
Далее при изучении динамики процесса термического разложения пеллет были определены температуры, при которых происходят изменения скорости убыли массы и максимальные ее значения по ДТГ-кривой (рис. 1, б), иллюстрируемые экстремумом на данной зависимости (табл. 2). В этих точках определены наибольшие скорости потери массы для каждого термического этапа.
Таблица 2. Результаты анализа ДТГ термического разложения луба в зависимости от размера фракций
Размер фракции, мм | Термическое разложение | |||||
1 ступень | 2 ступень | 3 ступень | ||||
температура максимума, К | скорость потери массы, мг/К | температура максимума, К | скорость потери массы, мг/К | температура максимума, К | скорость потери массы, мг/К | |
<0.05 | 326 | 13.5 | 570 | 12.0 | 617 | 14.9 |
<0.1 | 330 | 11.8 | 570 | 12.4 | 619 | 15.6 |
<0.2 | 333 | 10.2 | 570 | 12.7 | 625 | 16.0 |
<0.25 | 335 | 10.3 | 570 | 13.3 | 638 | 18.8 |
<0.8 | 346 | 5.3 | 572 | 14.4 | 638 | 22.1 |
Согласно приведенным на рис. 1 и в табл. 2 данным, можно отметить зависимость процессов разложения от фракционного состава: 1) с уменьшением размера фракции максимумы скорости потери массы сдвигаются в более низкотемпературную область; 2) на первой ступени ТГА (рис. 1) скорости потери массы увеличиваются с уменьшением размера частиц; 3) для второй и третьей стадии потери массы обнаружена зависимость скорости потери массы в обратном направлении, то есть чем больше частица, тем больше скорость потери массы. Полученные данные частично согласуются с данными, приведенными в работе [15], в которой показано увеличение скорости потери массы у биоматериала с увеличением размера частиц. Данный эффект иногда объясняется локальным проявлением каталитических процессов за счет наличия и распределения по объему биомассы неорганических компонентов [16]. Однако это объяснение является спорным, так как данные не коррелируют со значениями зольности [15]. В нашем случае для образцов различных фракций получены схожие значения зольности ~2%. Увеличение скорости потери массы с увеличением размера частиц, возможно, связано с особенностями их разогрева и с процессами расщепления отдельных гранул на более мелкие, с последующим отделением легколетучих компонентов, которые находились в связанном состоянии.
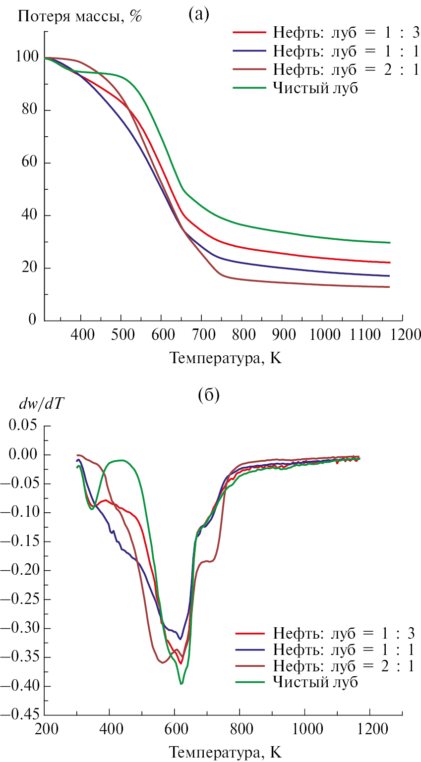
Термогравиметрические исследования пеллет из березового луба c добавлением нефтесодержащих материалов. Для анализа использовали пеллеты, изготовленные из фракции березового луба <0.05 мм с добавлением нефтесодержащего материала в соотношении НСО : луб = 1 : 3; 1 : 1; 2 : 1. Эксперимент проводился в условиях пиролиза (бескислородная среда). Результаты ТГА представлены на рис. 2, из которого видно, что процесс уменьшения массы пеллет проходит в несколько стадий. Для пеллет с наименьшим содержанием НСО (1 : 3), как и для пеллет из чистого луба, можно выделить три ступени деструкции, которые имеют схожую природу за счет преимущественного содержания луба.
Рис. 2. Термогравиметрические исследования пеллет из березового луба с добавлением НСО в условиях пиролиза (100% N2): ТГА (а); ДТГ (б).
На первой ступени (температурный интервал 310–400 К) происходят процессы удаления свободной и связанной влаги (в обоих типах образцов: с НСО и без НСО). Также возможно параллельное протекание дополнительных реакций, в частности, легкие фракции нефтематериала, например ароматические углеводороды и алкил-содержащие соединения, могут улетучиваться при повышении температуры.
На второй ступени термодеструкции (температурный интервал 400–590 К) в целлюлозе протекают реакции расщепления цепей по гликозидным связям, которые сопровождаются реакциями дегидратации. Гликозидные связи – это ковалентные связи между остатками моносахаридов в полисахаридных молекулах, таких как целлюлоза. При нагревании целлюлозы происходит разрушение гликозидных связей, что ведет к образованию меньших фрагментов и продуктов деградации, таких как вода, углекислый газ и другие низкомолекулярные соединения.
На третьей ступени, начиная с 590 К, происходит значительная потеря массы в результате полной аморфизации целлюлозы, сопровождающаяся переходом аморфизированной структуры целлюлозы в карбонизованную, а также постепенное упорядочивание атомов углерода, водорода и кислорода, что приводит к образованию сложных графитоподобных структур, т.е. формированию структуры угля [17].
Для пеллет с большим массовым содержанием нефтеотходов (1 : 1 и 2 : 1) характерны некоторые отличия в стадиях деструкции. Во-первых, начальная ступень потери массы происходит на температурном интервале 310–450 К в основном за счет улетучивания моно-, ди- и трициклических ароматических углеводородов, а также высших ароматических соединений [18]. Во-вторых, появляется четвертая ступень деструкции в высокотемпературном интервале (675–780 К), которая указывает на крекинг тяжелых углеводородов, содержащихся в нефтематериале. Крекинг приводит к образованию более легких углеводородных соединений, таких как алканы, алкены и ароматические углеводороды с меньшим числом циклов.
Расчет кинетических параметров термического разложения. При выполнении данного исследования использовался динамический (неизотермический) подход к оценке кинетики термолиза пеллет, согласно которому параметр энергии активации определяется при условии непрерывного изменения температуры процесса [19]. Расчет энергий активаций основывался на модельном методе Аррениуса [20, 21]. Численное определение энергии активации базируется на фундаментальном уравнении скорости твердофазной реакции при неизотермических условиях и имеет классический вид (1), а также логарифмическую форму в виде уравнения (2):
(1)
(2)
где A и K0 – предэкспоненты, размерности которых совпадают с размерностью константы скорости; β – скорость нагрева, K/мин; Е – энергия активации, Дж/моль; R – универсальная газовая постоянная, Дж/моль·К; Т – температура, К; f(α)− математическая модель кинетической функции, зависящая от типа и механизма реакции. Степень превращения вещества равна:
где m0 и mf – исходная и конечная масса вещества соответственно; m – масса вещества в точке измерения.
Задавая различные значения функции f(α) в уравнении (3), получили соответствующие уравнения (3) и (4):
уравнение первого порядка имеет вид [22, 23]:
(3)
уравнение Проута–Томпкинса [23]:
(4)
Графическая интерпретация экспериментальных данных согласно уравнению (2) в координатах дает прямую. Тангенс угла наклона этой прямой к оси абсцисс дает возможность определения энергии активации процесса, в то время как пересечение с осью ординат предоставляет информацию о предэкспоненциальном множителе.
Расчет параметров процесса горения пеллет осуществляется на основе данных, полученных с использованием термогравиметрического анализа. Это дает возможность получить детальное представление о динамике и особенностях процесса горения, а также предоставляет возможность оптимизировать параметры процесса для повышения эффективности использования пеллет с нефтесодержащими материалами в качестве источника тепловой энергии.
Рассмотрим более подробно каждый характеристический индекс [24]:
- индекс воспламенения (Di)
где (dw/dt)макс – максимальная скорость горения, %/мин; Ti и Tb – температуры воспламенения и выгорания соответственно, °C.
Данный показатель характеризует динамику воспламенения углеродного остатка [23], то есть показывает, насколько хорошо топливо возгорается и поддерживает горение. Более высокое значение индекса воспламенения указывает на лучшие характеристики возгорания топлива, что способствует более эффективному использованию топлива в процессе горения.
- Индекс воспламеняемости (С)
где (dw/dt)макс – максимальная скорость горения, %/мин; Ti – соответствующая температура воспламенения, °C.
Индекс воспламеняемости отражает тенденцию изменения термогравиметрической кривой от точки воспламенения до максимального значения потери массы. Он указывает на то, как легко и быстро топливо воспламеняется [25]. Более высокий индекс воспламеняемости свидетельствует о лучшей горючести топлива, что указывает на его повышенную эффективность.
- Индекс выгорания (Cb)
где τ0 – время выгорания; f1 – начальная скорость горения: f1 = (m0 – m1)/∆m, f2 – скорость изменения массы после выгорания: f1 = (m0 – m2)/∆m, m0 – исходная масса навески исследуемого образца, г; m1 – масса образца при воспламенении, г; m2 – масса образца после выгорания, г; ∆m = m1 – m2 – разница массы до и после выгорания, г.
Индекс выгорания Cb объединяет факторы, влияющие на стабильность горения топлива и выгорания топлива в пламени. Чем больше значение этого индекса, тем лучше характеристики горения топлива.
- Комплексный индекс горения (S)
где (dw/dt)макс и (dw/dt)ср – максимальная и средняя скорости горения соответственно, %/мин; Ti и Tb – температуры воспламенения и выгорания соответственно, °C.
Используется для сравнения горючести различных образцов топлива, учитывая процессы воспламенения, горения и выгорания углеродного остатка. Топлива с высоким значением индекса горения обладают оптимальными характеристиками горения углеродного остатка, что указывает на их способность к эффективному использованию в процессе сгорания. Применение индекса горения позволяет оценить относительную горючесть, обеспечивая возможность выбора наиболее подходящего варианта для конкретных условий и целей.
Расчет кинетических параметров процесса разложения пеллет. На основании анализа термогравиметрических данных оценены энергии активации для каждой ступени деструкции пеллет соответствующей фракции. Для расчета использовались две различные модели – уравнение первого порядка, а также уравнение Проута–Томкинса. Результаты представлены в табл. 3 и 4. Анализируя данные из табл. 3, видно, что лимитирующей стадией процесса деструкции древесных пеллет из чистого луба является вторая стадия, во время которой происходят расщепление цепей по гликозидным связям. Из табл. 4 следует, что c увеличением содержания НСО в пеллетах смещается лимитирующие влияние стадий в сторону последнего этапа. Таким образом, лимитирующей стадией процесса деструкции древесных пеллет с наибольшим содержанием нефтесодержащего материала (2 : 1) является четвертая стадия, характерная для крекинга тяжелых углеводородов. Для остальных пеллет с добавлением НСО наибольшая энергия активации наблюдается на третьей ступени разложения, где происходит формирование структуры угля.
Таблица 3. Результаты расчета энергий активации для пеллет из чистого луба фракции <0,05 мм
Фракция, мм | Модель | Термическое разложение | |||||
1 ступень | 2 ступень | 3 ступень | |||||
Ea, кДж/моль | R2 | Ea, кДж/моль | R2 | Ea, кДж/моль | R2 | ||
Чистый луб, <0.05 | Уравнение первого порядка | 39.29 | 0.95 | 61.32 | 0.99 | 8.76 | 0.99 |
Проута–Томкинса | 41.27 | 0.93 | 66.04 | 0.99 | 9.65 | 0.94 | |
Таблица 4. Результаты расчета энергий активации для пеллет из луба фракции <0,05 мм с добавлением нефтеотходов
Образец | Модель | Термическое разложение | |||||||
1 ступень | 2 ступень | 3 ступень | 4 ступень | ||||||
Ea, кДж/моль | R2 | Ea, кДж/моль | R2 | Ea, кДж/моль | R2 | Ea, кДж/моль | R2 | ||
НСО : луб 1 : 3 | Уравнение первого порядка | 26.71 | 0.83 | 28.77 | 0.98 | 33.31 | 0.98 | 14.35 | 0.85 |
Проута–Томкинса | 27.38 | 0.84 | 43.35 | 0.99 | 46.45 | 0.99 | 12.95 | 0.80 | |
НСО : луб 1 : 1 | Уравнение первого порядка | 12.05 | 0.96 | 22.11 | 0.99 | 26.65 | 0.98 | 20.29 | 0.88 |
Проута–Томкинса | 14.72 | 0.98 | 35.48 | 0.99 | 47.79 | 0.99 | 29.86 | 0.80 | |
НСО : луб 2 : 1 | Уравнение первого порядка | 21.37 | 0.95 | 29.10 | 0.99 | 49.25 | 0.99 | 123.3 | 0.89 |
Проута–Томкинса | 22.66 | 0.96 | 32.35 | 0.99 | 52.74 | 0.99 | 121.9 | 0.90 | |
Также стоит отметить, что уравнение Проута–Томкинса в большинстве серий экспериментов больше подходит для описания кинетики разложения пеллет с добавлением нефтеотходов, чем для пеллет из чистого березового луба. Это может объясняться тем, что в отличие от уравнения первого порядка, уравнение Проута–Томкинса включает слагаемое [α(1–α)], которое отражает изменение скорости реакции с изменением степени конверсии, что позволяет модели учесть взаимодействия между твердым телом и продуктами разложения. Такая модель особенно полезна для сложных мультитопливных систем, таких как пеллеты с нефтесодержащими материалами, где происходят многочисленные взаимодействия и механизмы разложения. Также известно [26], что, в отличие от уравнения первого порядка, в уравнении Праута–Томкинса лежит представление о цепном механизме реакции в твердом веществе, обусловленном растрескиванием кристаллов в ходе реакции на границе с продуктом разложения. Это предположение дает основания полагать, что модель Праута–Томкинса является более подходящей для описания разложения сложных систем.
Исследование параметров горения пеллет. На основании десяти кривых термогравиметрии (ТГ) и дифференциальной̆ термогравиметрии (ДТГ) горения образцов из различных фракций луба с одинаковым соотношением НСО : луб = 1 : 3 определили показатели температуры воспламенения (Ti) и времени реагирования (τi), температуру сгорания (Tb) и время выгорания (τ0), время горения (Δτ), а также максимальную скорость потери веса (dw/dt)макс и температуру реакции (Tмакс) при (dw/dt)макс. Полученные результаты представлены в табл. 5.
Таблица 5. Расчет характеристик процесса горения пеллет
Фракция луба, мм | Ti, °С | Tмакс, °С | Tb, °С | Δτ, мин | (dw/dt)макс, %/мин | Di × 10–4 | C × 10–4 | Cb × 10–3 | S × 10–5 |
<0.05 | 227 | 327 | 472 | 24 | 40 | 3.73 | 7.76 | 8.05 | 4.01 |
<0.1 | 232 | 327 | 467 | 23 | 41 | 3.74 | 7.53 | 9.17 | 4.06 |
<0.2 | 217 | 342 | 467 | 25 | 38 | 3.75 | 8.07 | 8.20 | 3.87 |
<0.25 | 222 | 347 | 482 | 26 | 42 | 3.97 | 8.61 | 7.70 | 3.92 |
<0.8 | 232 | 352 | 482 | 25 | 45 | 4.04 | 8.39 | 9.55 | 3.82 |
0.8–1.0 | 227 | 352 | 487 | 26 | 47 | 4.27 | 9.17 | 7.84 | 4.07 |
1.0–1.6 | 222 | 352 | 487 | 27 | 49 | 4.46 | 9.79 | 7.15 | 4.31 |
1.6–2.0 | 210 | 355 | 502 | 29 | 46 | 4.36 | 10.43 | 5.80 | 4.22 |
2.0–2.5 | 217 | 355 | 499 | 28 | 48 | 4.44 | 10.20 | 5.79 | 4.32 |
2.5–5.0 | 223 | 356 | 538 | 32 | 43 | 3.60 | 9.01 | 3.67 | 3.69 |
Анализируя табл. 5, можно отметить, что индекс воспламеняемости (Di) примерно одинаков для всех образцов (~4 × 10–4). Такие данные могут быть объяснены тем, что исследование проводилось на образцах с одинаковым соотношением компонентов луб/НСО (1 : 3). Индекс возгораемости (С) меньше у пеллет, сформированых из больших фракций. Этот результат можно объяснить противоборствованием двух эффектов. С одной стороны, чем меньше частица, тем быстрее происходит ее прогрев (рис. 1, б), а также больше поверхность раздела фаз у пеллет, сформированных из частиц меньшего размера, а значит реакции на такой поверхности идут быстрее внутри пеллеты. Это касается, например, десорбции и выхода из объема частиц молекул воды. Известно [27], что этот процесс может сдерживать процесс возгорание частиц топлива. С другой стороны, как показали исследования, у более мелких фракций луба лучше впитываемость НСО. К тому же, чем мельче размеры частиц сырья, тем более плотную упаковку с меньшим поровым пространством они могут формировать, а это, в свою очередь, сказывается на реакционной способности системы в целом [28]. Из табл. 5 также видно, что индекс выгорания у пеллет из больших фракций меньше, чем у пеллет из более мелких фракций.
Раннему воспламенению пеллет (в среднем при температуре Tiср = 223°C) способствуют содержание летучих веществ в отработанной нефти и, возможно, благоприятные текстурные характеристики углеродистого вещества (высокая пористость). Однако для образца пеллет >2.5 мм наблюдается низкая скорость и высокая температура выгорания углеродного остатка. Это говорит о том, что данная фракция подвержена неполному выгоранию и спеканию, отсюда следует низкий индекс выгорания по сравнению с другими образцами Cb = 3.67 ×10–3.
Эти нежелательные явления могут быть связаны с недостаточной подачей воздуха, медленным сгоранием или неравномерным распределением тепла в процессе горения. Одним из возможных решений данной проблемы может являться смешивание фракций разных размеров для обеспечения более равномерного сгорания. Также возможно применение специальных горелок или модификаций котельных и газогенераторных установок, которые обеспечивают более интенсивное перемешивание пеллет и воздуха, а также равномерное распределение тепла в процессе сжигания [29]. Внедрение этих мер может повысить эффективность сжигания пеллет, полученных из фракций большего размера, и уменьшить риск образования спеканий и неполного выгорания.
Тем не менее из табл. 5 видно, что комплексные показатели горения каждого образца имеют близкие друг к другу значения и в среднем индекс составляет S = 4.03 × 10–5, что соответствует высокому показателю горения. Например, в работе [30], используя идентичный метод расчета комплексного индекса горения, получили значение для древесных сосновых опилок равное S = 4.4 × 10–6.
ЗАКЛЮЧЕНИЕ
В данной работе исследованы различные характеристики нового альтернативного вида топлива – пеллет из березового луба и его композитов с добавлением нефтесодержащих материалов. Применение метода термогравиметрического анализа в инертной атмосфере позволило оценить особенности пиролиза пеллет в широком температурном интервале. Выявили, что процесс деструкции пеллет из березового луба имеет выраженные три этапа потери массы. При этом скорость потери массы на второй и третьей ступени разложения тем выше, чем больше фракция, из которой изготовлены пеллеты. Эксперименты показали, что образцы с добавлением нефти могут обладать дополнительным высокотемпературным этапом разложения, а весь процесс сопровождается реакциями дегидратации, улетучивания ароматических углеводородов, карбонизации и крекинга тяжелых углеводородов. При выполнении кинетического анализа выяснилось, что модель Проута–Томкинса лучше описывает кинетику разложения сложных систем, какими являются пеллеты с добавлением нефтеотходов, в отличие от уравнения первого порядка, которое показало лучшую применимость для анализа термогравиметрических данных, полученных для пеллет из березового луба.
Оценка индексов горения позволила выявить тенденции их зависимости от фракционного состава биоматериала. На основе анализа рассчитанных комплексных индексов горения установлено, что исследуемые пеллеты с композитным составом НСО : луб = 1 : 3 в целом обладают хорошими характеристиками горения (вне зависимости от фракционного состава), что делает их подходящими для использования в качестве твердого топлива. Однако выявлено, что фракция пеллет размером более 2.5 мм склонна к неполному выгоранию и спеканию в процессе сжигания. Значения комплексных индексов горения у исследуемых пеллет показали, что, в целом, образцы обладают хорошими характеристиками горения, сравнимыми с другими видами биотоплив.
Полученные в этом исследовании данные могут быть полезными при разработке автономных энергетических систем небольшой мощности, например на основе газогенераторных установок, в которых пеллеты используются в качестве топлива.
ФИНАНСИРОВАНИЕ РАБОТЫ
Работа выполнена при финансовой поддержке Министерства науки и высшего образования Российской Федерации (проект FZNS-2023-0031).
About the authors
A. A. Ponomareva
Federal State Autonomous Educational Institution of Higher Education “National Research University ITMO” (ITMO University); Federal State Autonomous Educational Institution of Higher Education “Far Eastern Federal University” (FEFU)
Author for correspondence.
Email: ap_k@inbox.ru
Russian Federation, St. Petersburg, 197101; Vladivostok, 690922
D. D. Laryushkina
Federal State Autonomous Educational Institution of Higher Education “National Research University ITMO” (ITMO University)
Email: ddl@niuitmo.ru
Russian Federation, St. Petersburg, 197101
D. A. Logacheva
Federal State Autonomous Educational Institution of Higher Education “National Research University ITMO” (ITMO University)
Email: 337829@niuitmo.ru
Russian Federation, St. Petersburg, 197101
V. E. Sitnikova
Federal State Autonomous Educational Institution of Higher Education “National Research University ITMO” (ITMO University)
Email: kresenka@gmail.com
Russian Federation, St. Petersburg, 197101
S. N. Mokrin
2Federal State Autonomous Educational Institution of Higher Education “Far Eastern Federal University” (FEFU)
Email: mokrin.sn@dvfu.ru
Russian Federation, Vladivostok, 690922
M. V. Uspenskaya
Federal State Autonomous Educational Institution of Higher Education “National Research University ITMO” (ITMO University)
Email: mv_uspenskaya@itmo.ru
Russian Federation, St. Petersburg, 197101
References
- Основные показатели охраны окружающей среды. 2021 [Электронный ресурс]: Сб.статей. М.: Росстат. 2021. 109 c. https://rosstat.gov.ru/compendium/document/13294
- Графова Е.О., Сюнёв В.С. // Res. and Technol. 2022. Т. 19. №. 3. С. 101. https://doi.org/10.15393/j2.art.2022.6543
- Володин В. В., Шубаков А. А., Володина С. О., Шергина Н. Н., Василов Р. Г. // Аграрная наука Евро-Северо-Востока. 2022. Т. 23(5). С. 611. https://doi.org/10.30766/2072-9081.2022.23.5.611-632
- Коровкин О.А. Ботаника. М.: ООО «Издательство «КноРус». 2021. 2-е изд. 436 с.
- Ведерников Д.Н., Шабанова Н.Ю., Рощин В.И. // Химия растительного сырья. 2010. №. 2. С. 43.
- Белаш М.Ю., Веприкова Е.В., Иванов И.П., Кузнецов Б.Н., Чесноков Н.В. // Химия в интересах устойчивого развития. 2019. Т. 27. №. 5. С. 453.
- Коптелова Е.Н., Кутакова Н.А., Третьяков С.И. // Новая наука: история становления, современное состояние, перспективы развития. Сб. статей Международной научно-практической конференции. 2022. С. 21.
- Tuli H.S., Sak K., Gupta D.S., Kaur G., Aggarwal D., Chaturvedi Parashar N.Э., Choudhary R., Yerer M.B., Kaur J., Kumar M., Grag V.K., Sethi G. // Plants. 2021. V. 10. № 12. P. 2663. https://doi.org/10.3390/plants10122663
- Федосенко И.Г. // Тр. БГТУ. Сер. 1: Лесное хозяйство, природопользование и переработка возобновляемых ресурсов. №. 2 (246). 2021. С. 284.
- Laschi A., Marchi E., Gonzales-Garcia S. // Energy. 2016. V. 103. P. 469.
- Александров Н.П., Андросов Ю.А., Соколов Д.А., Охлопкова М.К., Спиридонова А.В., Тарабукина О.К. // Научно-технический вестник Поволжья. 2020. № 12. С. 86.
- Хуснутдинов И.Ш., Сафиулина А.Г., Заббаров Р.Р., Хуснутдинов С.И. // Химия и химическая технология. 2015. Т. 58. № 10. С. 3.
- Alao M.A., Popoola O.M., Ayodele T.R. // Cleaner Energy Systems. 2022. V. 3. P. 100034. https://doi.org/10.1016/j.cles.2022.100034
- Петрунина Е.А., Лоскутов С.Р., Рязанова Т.В., Анискина А.А., Пермякова Г.В., Стасова В.В. // Сиб. лесной журн. 2022. № 4. С. 35.
- Marcilla A., Garcia A.N., Pastor M.V., Leon M., Sanchez A.J., Gomez D.M. Thermochimica Acta. 2013. V. 564. P. 24. https://doi.org/10.1016/j.tca.2013.04.019
- Várhegyi G., Szabó P., Antal M. J. Jr. Reaction kinetics of the thermal decomposition of cellulose and hemicellulose in biomass materials. In Advances in Thermochemical Biomass Conversion (Ed. by A.V. Bridgwater). V. 2. London: Blackie Academic and Professional. 1994. P. 760–771. https://doi.org/10.1007/978-94-011-1336-6_59
- Утгоф С.С., Игнатович Л.В. // Веснік Гродзенскага дзяржаўнага ўніверсітэта імя Янкі Купалы. Сер. 6. Тэхніка. 2013. № 3. С. 70.
- Alvarez E., Marroquin G., Trejo F., Centeno G., Ancheyta J., Diaz J. // Fuel. V. 90. 2011. P. 3602.
- Фетисова О.Ю., Микова Н.М., Таран О.П. // Кинетика и катализ. Т. 61. №. 6. 2020. С. 804.
- Munir S., Sattar H., Nadeem A., Azam M. // Energy Sources, Part A: Recovery, Utilization, and Environmental Effects. 2017. V. 39. №. 8. P. 775. https://doi.org/10.1080/15567036.2016.1263254
- Ashraf A., Sattar H., Munir S. // Fuel. 2019. V. 240. P. 326.
- Новоженов В.А., Стручева Н.Е. Термический анализ. М.: Изд-во Юрайт. 2023. 440 с.
- Петрюк И.П., Гайдадин А.Н., Ефремова С.А. Определение кинетических параметров термодеструкции полимерных материалов по данным динамической термогравиметрии. Волгоград: Изд-во ВолгГТУ. 2010. 12 с.
- Song Ch.-Zh., Wen J.-H., Li Y.-Y., Dan H., Shi X.-Y., Xin S. Adv. Enng Res. (AER). 2017. V. 105. P. 490. https://doi.org/10.2991/mme-16.2017.67
- Жуйков А.В., Матюшенко А.И., Логинов Д.А., Жижаев А.М., Кузнецов П.Н., Тарасова Л.С., Монгуш Г.Р. // Журн. Сиб. фед. ун-та. Техника и технологии. 2021. Т. 14. №. 1. С. 106.
- Пушкин А.А., Римкевич В.С. // Междунар. научн.-исслед. журн. 2018. №. 5 (71). С. 25.
- Lili Li, Xinge Bai, Chao Qu, Kexian Zhou, Yupeng Sun // ACS Omega. 2022. V. 7 (39). P. 34912. https://doi.org/10.1021/acsomega.2c03462
- Александрова Т.Н., Николаева Н.В., Артамонов И.С. // ГИАБ. 2022. № 6−2. С. 149. https://doi.org/10.25018/0236_1493_2022_62_0_149.
- Передерий С. // ЛесПромИнформ. 2011. №4 (78). C. 146.
- Жуйков А.В., Матюшенко А.И., Кузнецов П.Н., Стебелева О.П., Самойло А.С. // Журн. Сиб. фед. ун-та. Техника и технологии. 2021. Т. 14(6). С. 611.
Supplementary files




