Change in the Rheological Characteristic Compositions with Two Gel-Forming Components
- Authors: Kozhevnikov I.S.1, Bogoslovsky A.V.1
-
Affiliations:
- Institute of Petroleum Chemistry, Siberian Branch of the Russian Academy of Sciences
- Issue: No 2 (2024)
- Pages: 81-85
- Section: Articles
- URL: https://journal-vniispk.ru/0023-1177/article/view/265452
- DOI: https://doi.org/10.31857/S0023117724020135
- EDN: https://elibrary.ru/OLMAFO
- ID: 265452
Cite item
Full Text
Abstract
The results of rheological measurements of a composition with two gelling components obtained in rotational mode and oscillation mode at different temperatures are presented. The kinetics of the gel formation process was characterized and the strength of the formed structure was assessed. The gelation points and elastic modulus values of the gel were determined.
Full Text
В условиях роста доли трудноизвлекаемых запасов актуальны работы, посвященные физико-химическим методам повышения нефтеотдачи пластов [1–5]. В пласт закачиваются специально разработанные гелеобразующие составы, обеспечивающие ограничение водопритока в добывающие скважины, выравнивание профиля приемистости для нагнетательных скважин, а также создание в пласте гелевых экранов для перераспределения фильтрационных потоков. Эти мероприятия проводятся, как правило, на месторождениях, находящихся на поздней стадии разработки, направлены на повышение коэффициента нефтеизвлечения, приводят к снижению обводненности добываемой продукции [3–9].
Гель-технологии находят применение и в других областях народного хозяйства. Так, разрабатываются составы для укрепления плотин, ликвидации прорывов пара в шахты при добыче полезных ископаемых. Предложены технологии использования криотропных гелей для укрепления многолетнемерзлых грунтов при строительстве дорог и объектов магистральных трубопроводов в условиях Арктики [10], при производстве твердых топливных брикетов [11, 12].
Используемые в нефтедобыче для перераспределения фильтрационных потоков гелеобразующие составы (ГОС) в поверхностных условиях являются маловязкими ньютоновскими жидкостями и теряют текучесть после закачки в пласт. По составу ГОС делятся на неорганические и полимерные, по механизму действия – на бинарные (образуют гель при смешении компонентов), термотропные (образуют гель при изменении температуры) и смешанного типа.
Превращение жидкости в нетекучее твердообразное тело отслеживается, как правило, путем реологических измерений. При этом в ротационном режиме движения пробного тела возможно разрушение формирующейся структуры, при использовании вибрационных вискозиметров, либо реометров, работающих в режиме осцилляции структура формирующегося геля не разрушается [13–16].
В настоящей работе представлены результаты реокинетических измерений разработанной в ИХН СО РАН композиции, в составе которой содержатся два гелеобразующих компонента – полимерный и неорганический. Эта композиция относится к ГОС смешанного типа, полимерный гель образуется при нагревании. Неорганическая составляющая начинает структурироваться сразу после смешения компонентов, с повышением температуры гелеобразование идет быстрее. Такое сочетание компонентов обеспечивает образование наноструктурированной системы “гель в геле” с улучшенными структурно-механическими свойствами [17]. Эксперименты проводили на реометре HAAKE Viscotester IQ с использованием системы коаксиальных цилиндров СС25; поддержание заданной температуры образца осуществлялось встроенным в измерительный блок элементом Пельтье.
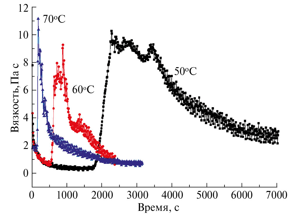
На рис. 1 представлены зависимости вязкости от времени, полученные в ротационном режиме при постоянной скорости сдвига (3 с–1) при 50, 60 и 70°С. Общий вид зависимостей для различных значений температуры идентичен, можно выделить несколько характерных участков: 1 – начальный участок, на котором происходит снижение вязкости, обусловленное прогревом образца от 23°С (температура приготовления раствора) до температуры эксперимента, 2 – участок практически не меняющейся вязкости (наиболее выражен для 70°С), 3 – резкий рост вязкости, связанный с началом в системе процесса образования геля, и 4 – квазипериодический поли экстремальный фрагмент кривой, обусловленный разрушением формирующегося геля вращающимся цилиндром реометра. Время начала гелеобразования, определенное по резкому росту вязкости, при 70°С составляет 190 с, при 60°С – 550 с, при 50°С – 1900 с. С повышением температуры гель образуется быстрее, поскольку в исследуемой системе присутствует термотропный (полимерный) компонент. С другой стороны, скорость гелеобразования компонентов бинарной системы также увеличивается с ростом температуры, т.к. по мере прогрева раствора подвижность молекул повышается.
Рис. 1. Зависимости вязкости от времени, полученные в ротационном режиме при постоянной скорости сдвига (3 с–1) при 50, 60 и 70°С
Для более полной характеристики кинетики процесса и свойств сформировавшегося геля рассмотрим результаты, полученные в режиме осцилляции при частоте 1 Гц. Поскольку мерой разрушения структуры является величина деформации, удобно работать в режиме осцилляции с контролируемой деформацией, когда в результате измерений определяется величина напряжения сдвига и угла смещения фаз.
На рис. 2 приведены результаты амплитудного теста. По горизонтальной оси отложена величина амплитуды деформации в долях от единицы (безразмерная величина), по вертикальной – значения модулей накопления и потерь (Па). По результатам амплитудного теста определен диапазон линейной вязкоупругости, как область значений амплитуды деформации, при которых графики модулей накопления и потерь параллельны оси абcцисс и cоставляет от 0.0045 до 0.12 (выделен на рис. 2). Для дальнейших экспериментов выбрано значение деформации 0.01.
Рис. 2. Результаты амплитудного теста сформировавшегося геля
На рис. 3 представлены временные зависимости модуля упругости Gʹ, модуля потерь (вязкости) Gʹʹ и модуля комплексной вязкости |η*|, зарегистрированные при постоянном значении амплитуды деформации γ = 0.01 для исследуемой композиции при 50, 60 и 70°С. Общий вид кривых с повышением температуры не изменяется, при этом время выхода модуля Gʹ, а также Gʹʹ и модуля комплексной вязкости на максимум сокращается с ростом температуры, так как сокращается время гелеобразования, реакция в системе идет быстрее, а также увеличивается величина регистрируемых максимумов Gʹ (а также Gʹʹ), соответствующих левым горизонтальным участками кривых. В рассматриваемом случае величины модулей Gʹ и Gʹʹ с течением времени изменяются симбатно, для характеристики динамики гелеобразования и оценки структурно-механических свойств формирующегося геля достаточно рассмотреть характер изменения величины модуля упругости. Регистрируемые при частоте 1 Гц и величине деформации 0.01 зависимости модуля упругости Gʹ (наряду с зависимостями Gʹʹ и комплексной вязкости), зафиксированные в режиме контроля деформации, могут быть использованы для оценки динамики реологических свойств образца, для оценки времени гелеобразования, для оценки прочности сформировавшейся структуры.
Рис. 3. Временные зависимости Gʹ, Gʹʹ и модуля комплексной вязкости |η*|, полученные в осцилляционном режиме при частоте 1 Гц, постоянном значении амплитуды деформации (0.01) при 50 (а), 60 (б) и 70°С (в)
На рис. 4 представлены зависимости, отражающие кинетику модуля упругости Gʹ для исследуемого ГОС при 50, 60, 70°С. С повышением температуры сокращается время образования геля, а также повышается прочность сформированной структуры (о чем свидетельствует увеличение максимального значения модуля Gʹ). Индукционный период, зарегистрированный для образца при 50°С, с 650 до 750 с по оси времени, практически полностью исчезает на зависимости, полученной для того же образца при 70°С. Промежуточный экстремум модуля упругости в представленном масштабе отчетливо виден на кривой, соответствующей 50°С, отсутствует на зависимостях, полученных для более высоких температур. Время начала гелеобразования, определенное по резкому росту модуля упругости, при 70°С составляет 200 с, при 60°С – 570 с, при 50°С – 1920 с, эти значения близки к определенным ранее из анализа кривых рис. 1. С учетом погрешности графического метода определенные значения совпадают с независимо полученными результатам определения точки потери текучести визуальным методом по подвижности образца в пробирке. С повышением температуры максимальное значение модуля упругости сформировавшегося геля возрастает, и составляет 8750 Па для 50°С, 11 600 Па – для 60°С, и 14 700 Па – для 70°С. Увеличение Gʹ с ростом температуры может быть связано с упрочнением термотропной составляющей геля.
Рис. 4. Кинетика модуля упругости Gʹ при 50, 60, 70°С
Таким образом, для исследованного ГОС смешанного типа с двумя гелеобразующими агентами в ротационном режиме получены вязкостно-временные зависимости; в осцилляционном режиме по результатам амплитудного теста определен диапазон линейной вязкоупругости, а также получены временные зависимости модуля упругости Gʹ, модуля потерь Gʹʹи модуля комплексной вязкости |η*|. Из анализа указанных реокинетических зависимостей и независимо визуальным методом определены точки гелеобразования при различных температурах. Охарактеризована кинетика процесса и прочность сформировавшейся структуры, определены максимальные значения модуля упругости и их зависимость от температуры.
ФИНАНСИРОВАНИЕ РАБОТЫ
Работа выполнена в рамках государственного задания ИХН СО РАН, финансируемого Министерством науки и высшего образования Российской Федерации (НИОКТР № 121031500048-1).
КОНФЛИКТ ИНТЕРЕСОВ
Авторы данной работы заявляют, что у них нет конфликта интересов.
About the authors
I. S. Kozhevnikov
Institute of Petroleum Chemistry, Siberian Branch of the Russian Academy of Sciences
Author for correspondence.
Email: www.tsu@gmail.com
Russian Federation, Tomsk
A. V. Bogoslovsky
Institute of Petroleum Chemistry, Siberian Branch of the Russian Academy of Sciences
Email: bav@ipc.tsc.ru
Russian Federation, Tomsk
References
- Муслимов Р.Х. Нефтеотдача – прошлое, настоящее, будущее. Казань: Изд-во “ФЭН”. 2012. 664 с.
- Romero-Zeron L. Chemical Enhanced Oil Recovery (cEOR) – a Practical Overview. London: InTechOpen Limited. 2016. 200 p. https://doi.org/10.5772/61394
- Алтунина Л.К., Кувшинов В.А. Успехи химии. 2007. Т. 76. № 10. C. 1034.
- Алтунина Л.К., Кувшинов В.А., Стасьева Л.А., Кувшинов И.В. // Химия в интересах устойчивого развития. 2018. Т. 26. № 3. С. 261–277. https://doi.org/10.15372/KhUR20180303
- Муслимов Р.Х. Повышение нефтеотдачи пластов – приоритетное направление развития нефтяной отрасли современной России. Нефть. Газ. Новации. 2013. № 4 (171). С. 63.
- Рузин Л.М., Морозюк О.А., Дуркин С.М. // Нефтяное хозяйство. 2013. № 8. С. 51.
- Алтунина Л.К., Кувшинов В.А., Стасьева Л.А., Кувшинов И.В. // Георесурсы. 2019. № 21 (4). С. 103. https://doi.org/10.18599/grs.2019.4.103-113
- Кувшинов И.В., Кувшинов В.А., Алтунина Л.К. // Нефтяное хозяйство. 2017. № 1. С. 44.
- Alvarado V., Manrique E. // Energies. 2010. V. 3. № 9. P. 1529–1575. https://doi.org/10.3390/en3091529
- Алтунина Л.К., Бурков В.П., Бурков П.В., Дудников В.Ю., Осадчая Г.Г., Овсянникова В.С., Фуфаева М.С. // Наука и технологии трубопроводного транспорта нефти и нефтепродуктов. 2020. Т. 10. № 2. С. 173. https://doi.org/10.28999/2541-9595-2020-10-2-173-185
- Фуфаева М.С., Алтунина Л.К., Манжай В.Н., Буяков А.С. // ХТТ. 2021. № 3. С. 24. https://doi.org/10.31857/S0023117721030063
- Фуфаева М.С., Манжай В.Н. // ХТТ. 2023. № 2–3. С. 5. https://doi.org/10.31857/S0023117723020032
- Колешко В.М., Сунка В.Я., Полынкова Е.В., Крупская Е.В. Проектирование интеллектуальных сенсорных систем измерения вязкости. Минск: изд-во БНТУ. 2010. 81 с.
- Крутин В.Н. Колебательные реометры. М.: Машиностроение. 1985. 160 с.
- Малкин А.Я. Основы реологии. СПб.: ЦОП “Профессия”. 2018. 336 с.
- Шрамм Г. Основы практической реологии и реометрии. М.: Колосс. 2003. 311 c.
- Чернова У.В., Козлов В.В., Алтунина Л.К., Стасьева Л.А., Кувшинов В.А., Шолидодов М.Р. Низкотемпературные композиции с двумя гелеобразующими компонентами для ограничения водопритока и увеличения нефтеотдачи // Материалы, технологии и техника для освоения Арктики и Сибири: cб. тез. III Междунар. конф. 25–28 сентября 2019 г. Томск: Томск: Изд-во ТГУ, 2019. С. 47.
Supplementary files






