Oil biomarkers: main types, value and applications fields
- Authors: Babayev E.R.1, Farzaliyev V.М.1, Mammadova P.S.1, Ayyubov I.H.2, Zhagfarov F.G.3, Adigozalova V.А.4, Movsumzade E.M.5, Lapidus А.L.6
-
Affiliations:
- Academician A.M. Guliyev Institute of Additive Chemistry, Ministry of Science and Education of Azerbaijan
- Academician Yu.H. Mammadaliyev Institute of Petrochemical Processes, Ministry of Science and Education of Azerbaijan
- Russian State University of Oil and Gas (National Research University) named after I.M. Gubkin
- Azerbaijan State Academy of Physical Culture and Sports of the Ministry of Science and Education of Azerbaijan
- Ufa State Oil Technological University
- N.D. Zelinsky Institute of Organic Chemistry of the Russian Academy of Sciences (IOC RAS)
- Issue: No 3 (2024)
- Pages: 67-81
- Section: Articles
- URL: https://journal-vniispk.ru/0023-1177/article/view/266914
- DOI: https://doi.org/10.31857/S0023117724030095
- EDN: https://elibrary.ru/NBUGWX
- ID: 266914
Cite item
Full Text
Abstract
Recent advances in modern chemistry provide environmental scientists with the ability to identify and track spilled oil residues in various environments. The compounds commonly used to identify the source of spilled oil are called biomarkers, they are universal in crude oil and petroleum products and are generally more stable to atmospheric environmental influences than most other oil constituents. The distribution of biomarker compounds is unique to each oil. Fingerprint indices calculated from oil fingerprints provide a stable and useful tool for determining the correspondence or non-correspondence of various oil residues present in some environmental samples. This paper highlights the main biomarkers of oil, their role in the study of oil and its deposits, and also shows the results of the authors’ own research.
Keywords
Full Text
Биологические маркеры (биомаркеры) представляют собой обнаруживаемые в нефти, битуме, горных породах сложные органические соединения, производные веществ, продуцированных живыми организмами. Обычно это полициклические углеводороды, но иногда они включают также гетероэлементы. Биомаркеры обычно демонстрируют небольшие изменения в структуре молекул по сравнению с их родительскими органическими молекулами в живых организмах [1, 2]. Биомаркеры можно обнаружить в небольших количествах (на уровне частей на миллион) в присутствии широкого спектра других типов нефтяных углеводородов с помощью газовой хроматографии/масс-спектрометрии (ГХ/МС). По сравнению с другими углеводородными группами нефти, такими как алканы и большинство ароматических соединений, биомаркеры более устойчивы к разложению в окружающей среде.
Биомаркеры играли важную роль в разведке и добыче углеводородов на протяжении большей части последней половины XX столетия [3]. Их эволюцию можно проследить до развития аналитических методов, которые начали становиться коммерчески доступными в конце 1960-х–начале 1970-х гг. Эти методы, основанные на газовой хроматографии и масс-спектрометрии, позволили разделить и идентифицировать постоянно растущее число биомаркеров, ожидающих определения. Разработки в этой области продолжаются и по сей день и дают возможность продемонстрировать присутствие углеводородов в диапазоне до C120 в сырой нефти и широкого спектра полярных соединений, содержащих атомы O, S и/или N. Не все из этих соединений могут быть подлинными биомаркерами, которые можно проследить до функционализированного предшественника, встречающегося в живой системе, но они все же могут предоставить информацию, полезную для разгадки происхождения и истории сырой нефти. Биомаркеры могут предоставить информацию о природе источника, зрелости, условиях отложения, биодеградации, геологическом возрасте и путях миграции. Этот тип информации полезен для геологоразведчиков, когда он получен из сырой нефти, поскольку тогда он позволяет установить природу нефтематеринской породы и разработать структуру нефтяной системы. Кроме того, отпечатки биомаркеров предоставляют важную информацию, используемую при корреляциях нефть/нефть и нефть/материнская порода. В этой работе описаны основные семейства биомаркеров сырой нефти. Преимущества оценки соединений-биомаркеров нефти заключаются в том, что эти соединения устойчивы к обычным процессам выветривания (таким как биоразложение) и типичным процессам переработки нефти. В результате их хроматографические профили пиков обеспечивают важный “отпечаток пальца” исходного сырого сырья, предоставляя важные и зачастую убедительные доказательства при идентификации источника. Химический анализ биомаркеров дает информацию, имеющую большое значение для экологических судебно-медицинских исследований с точки зрения определения источника разлитой нефти, дифференциации и корреляции нефти, а также мониторинга процесса разложения и состояния выветривания нефти в самых разных условиях. Этот анализ может быть использован для более точной характеристики углеводородов в следующих ситуациях: 1) идентификация источников загрязнения в почве, воде и нефти; 2) идентификация источников разливов нефти на море; 3) детальная характеристика воздействий нефти на основе источника сырой нефти; 4) установление приблизительного графика разлива или выброса дизельного топлива и мазута [4].
Накопление экономичных объемов нефти (нефти и/или газа) в недрах требует, чтобы во времени и пространстве присутствовали несколько основных геологических элементов и процессов. Исходные породы генерируют и вытесняют нефть, когда осадочному органическому веществу передается достаточная тепловая энергия для разрыва химических связей. Этот нагрев обычно вызывается заглублением вскрышных пород. После вытеснения нефть мигрирует либо по разломам, либо по высокопроницаемым пластам. Скопления образуются только тогда, когда пласты с высокой пористостью (породы-коллекторы) загружены мигрирующей нефтью и дальнейшая миграция нефти невозможна. Эти нефтяные ловушки образуются только тогда, когда геологические движения приводят к возникновению топографии недр (структурной и стратиграфии), которая блокирует миграцию, и когда породы-коллекторы перекрыты пластами с низкой проницаемостью (покрытыми породами). Одного присутствия этих геологических элементов недостаточно для формирования запасов нефти. Ловушки должны быть доступны в момент выброса нефти, после загрузки их целостность должна сохраняться до момента использования. Эти элементы и процессы составляют нефтяную систему.
В монографии [5] авторы обсуждают следующие вопросы: химию биомаркеров, включая “правило изопрена”, семейства биомаркеров, систему маркировки и номенклатуру биомаркеров; аналитические методологии разделения, анализа и идентификации биомаркеров; распределение биомаркеров в сырой нефти и различных нефтепродуктах, включая сесквитерпановые и алмазоидные биомаркеры в нефти и более легких нефтепродуктах, диагностические соотношения и кросс-графики биомаркеров, а также биомаркеры, специфичные для источника; влияние выветривания на дактилоскопию нефти и биомаркеров; применение биомаркеров для идентификации источников разливов нефти, корреляции и дифференциации нефти.
Ниже кратко охарактеризованы наиболее важные представители биомаркеров.
Стераны представляют cобой класс тетрациклических тритерпанов, которые в природе встречаются в отложениях и осадочных породах (рис. 1). Они являются производными гонана, стероидное ядро которого также называют “циклопентанпергидрофенантрен”. У них есть андростановый скелет с боковой цепью у углерода C-17. Стерановая структура составляет основу всех стеринов. Стераны широко используются в качестве биомаркеров присутствия эукариот в экосистемах прошлого, поскольку стероиды почти исключительно производятся эукариотами. Самая старая запись модифицированных стеранов находится в осадочных породах, отложенных около 720–820 млн лет назад.
Рис. 1. Стераны.
Прегнан, также известный как 17β-этиландростан или 10β,13β-диметил-17β-этилгонан, представляет собой стероид C21 и родительский элемент прогестерона. Это исходный углеводород для двух серий стероидов, происходящих от 5α-прегнана (первоначально аллопрегнан) и 5β-прегнана (17β-этилетиохолана) (рис. 2).
Рис. 2. Прегнан.
Пристан — природный насыщенный терпеноидный алкан, получаемый в основном из масла печени акулы, от которого и произошло его название (лат. pristis, “акула”). Также содержится в желудочном жире птиц отряда Procellariiformes, в нефтях и некоторых продуктах питания. Пристан используется в области геологии и науки об окружающей среде в качестве биомаркера для характеристики происхождения и эволюции нефтяных углеводородов и угля:
Рис. 3. Пристан.
Фитан – изопреноидный алкан, образующийся, когда фитол, химический заместитель хлорофилла, теряет свою гидроксильную группу. Когда фитол теряет один атом углерода, образуется пристан (рис. 4). Пристан и фитан являются обычными компонентами нефти и используются в качестве индикаторов окислительно-восстановительных условий осадконакопления, а также для корреляции нефти и ее материнской породы (т.е. выяснения места образования нефти):
Рис. 4. Фитан.
Количественное соотношение ключевых биомаркеров, таких как стераны и гопаны, можно использовать как индивидуальные “отпечатки пальцев” для нефтей. Комплексная двумерная газовая хроматография и масс-спектрометрия (GC×GC-TOFMS) использовалась для оценки соотношений биомаркеров в нескольких сырых нефти из различных регионов, а также в тарболах, выброшенных на побережье Мексиканского залива Флориды спустя год после разлива нефти Deepwater Horizon в 2010 г. [6]. Хотя для этого анализа часто используется одномерный ГХ-МС, возможности GC×GC обеспечивают повышенную специфичность и пиковую мощность с повышенной разрешающей способностью, что позволяет отделить диагностические биомаркеры от потенциальных изобарических помех. Кроме того, GC×GC обеспечивает структурированную хроматограмму, которая позволяет идентифицировать соединения, что невозможно с помощью ГХ-МС из-за сложности сырой нефти. В этом исследовании, используя 43 различных соотношения биомаркеров из анализа GC×GC-TOFMS, авторы идентифицировали один тарбол из пляжа Флориды, который, возможно, соответствовал нефти из сломанной стояковой трубы, собранной с помощью подводного робота во время глубоководной экспедиции.
Гопен – природное химическое соединение, классифицируемое как тритерпен, образует центральное ядро множества других химических соединений, известных под общим названием гопаноиды. Первым соединением семейства гопанов, которое было выделено и охарактеризовано, был гидроксигопанон, обнаруженный в смоле даммара. Название происходит от Hopea – рода деревьев, из которых получают даммар (смола некоторых тропических деревьев) (рис. 5).
Рис. 5. Гопен.
В работе [7] корреляции нефть–нефть и нефть–материнские породы использованы для установления их взаимосвязи, условий осадконакопления и диагенетических процессов в нефтематеринских породах. Три пробы нефти и углеводородные экстракты нефтематеринской породы были проанализированы с помощью относительных геохимических анализов и для этой цели использована газовая хромато-масс-спектрометрия. Результаты показали, что экстракты формаций Алам Эль-Буэйб и Хататба получены из смешанных органических источников, в которых наземные источники преобладают над морскими, и отлагаются в переходных средах в менее бескислородных условиях. Экстракты формации Бахария получены из смешанного морского сырья с ограниченным вкладом наземного происхождения. Нефть Алам-эль-Буэйб демонстрирует больший вклад наземных, чем морских источников. Кроме того, генетическое близкое родство между ними подтверждает наличие местного смешанного источника нефти Алам-эль-Буэйб, который связан с различными источниками, включая формации Хататба, Алам-эль-Буэйб и Бахария.
Нефтяные биомаркеры (гопаны, терпаны и стераны) часто оцениваются в отложениях эстуариев как индикаторы поступления нефти. Чтобы сравнить различные закономерности накопления углеводородов в илистых отмелях, солончаках и мангровых зарослях, в заливе Паранагуа на юго-западе Атлантического океана были отобраны пробы отложений из двух трансектов (контрольного и пострадавшего районов) [8]. Определены концентрации н-алканов, полициклических ароматических углеводородов (ПАУ) и нефтяных биомаркеров (гопанов, терпанов и стеранов), а также объемные параметры (ТОУ, размер зерен и δ13C). Концентрации н-алканов были одинаковыми на контрольных и пострадавших участках и отражали высокий биогенный вклад. И наоборот, концентрации ПАУ и нефтяных биомаркеров были в 3–6 раз выше на пострадавшем участке, чем на контрольном (соответственно 60.4 ± 23.3 и 22.0 ± 25.0 нг/г для ПАУ и 197.7 ± 51.8 и 40.2 ± 32 нг/г для гопанов). Несмотря на эти различия, концентрации были ниже, чем сообщалось в сильно пострадавших районах по всему миру. Диагностические соотношения и параметры углеводородов (например, общее количество ПАУ и общее количество нефтяных биомаркеров) помогли различить антропогенное воздействие в экологических зонах, предполагая различные источники и/или уровни выветривания. Нефтяные биомаркеры могли бы четко указать предпочтительные места отложения и определить различные уровни антропогенного загрязнения углеводородами, предоставляя тем самым четкую информацию о хроническом нефтяном загрязнении прибрежных отложений.
В статье [9] кратко рассматривается химия биомаркеров, их характеристика и количественная оценка, распределение биомаркеров, влияние атмосферных воздействий на их состав, бициклические биомаркеры сесквитерпаны и алмазоиды, диагностические соотношения и кросс-плоты биомаркеров, уникальные биомаркеры, применение методов снятия отпечатков пальцев биомаркеров для идентификации источника разлива и применение многомерного статистического анализа для снятия биомаркерных отпечатков пальцев.
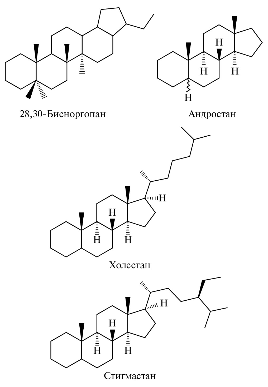
В исследовании [10] представлен метод отличия между различными типами сырой нефти, основанный на анализе биомаркеров 28 сырых нефтей из Западного и Южного Казахстана с использованием газовой хроматографии-масс-спектрометрии. Выявляется набор биомаркеров, включая первичные, фитановые, алканы н-C17 и н-C18, гопаны, изокопаланы, прегнан, аллопрегнан, гомопрегнан, бисноргопаны, андростан, холестан и стигмастан (рис. 6). Изучение соотношений пристан/фитан, пристан/н-C17-алкан, трициклические/пентациклические терпаны и гопан, а также распределение стеранов, позволило авторам сделать вывод, что сырая нефть из Западного Казахстана проявляет устойчивость к биоразложению.
Рис. 6. Некоторые биомаркеры нефтей западного и южного Казахстана [10].
В работе [11] представлена интерпретация результатов биомаркерного анализа и нефти всех добывающих скважин (36 проб) месторождения Нуралы (Казахстан) для генетического типирования и оценки флюидных связей внутри месторождения с последующим прогнозированием путей миграции углеводородов. По данным биомаркерного исследования выявлено, что нефти центрального и западного Нуралы имеют генетическое различное происхождение, а нефтегазонакопление в южной части Западного Нуралы сформировалось за счет непрерывной вторичной миграции углеводородов с северо-восточного и северо-западного направлений. Нефти центрального месторождения Нуралы имеют более высокую термическую зрелость и меньшую плотность, чем нефти западного Нуралы. Термическая зрелость образцов Центрального Нуралы снижается от северо-восточной части Нуралы к юго-западной части, что также может свидетельствовать о путях миграции углеводородов. Наличие газовых шапок в северо-восточной части Центрального Нуралы может быть связано с их высокой термической зрелостью.
Авторы работы [12] исследовали изменения биомаркеров, вызванные естественным выветриванием сырой нефти, выброшенной из скважины Макондо (MW). В поверхностных пятнах, собранных с мая по июнь 2010 года, и других пробах нефти, собранных на пляжах северной части Мексиканского залива с июля 2010 года по август 2012 года, гопаноиды с содержанием углерода до 31, а также стераны и диастераны систематически не подвергались воздействию процессов выветривания. Напротив, TAС и гомогопаны от C32 до C35 были обеднены во всех образцах относительно 17α(H),21β(H)-гопана (C30-гопана). По сравнению с нефтью MW содержание гомогопанов С35 и ТАС в поверхностных пятнах, собранных с мая по июнь 2010 г., обеднилось на 18 ± 10 и 36 ± 20% соответственно. Основываясь на закономерностях относительных потерь отдельных соединений, авторы предполагают, что биоразложение и фотоокисление являются основными процессами разложения гомогопанов и ТАС соответственно. В этом исследовании установлено, что ТАС и гомогопаны могут разлагаться в течение нескольких лет после разлива нефти; использование гомогопанов и ТАС для судебно-медицинской экспертизы разливов нефти должно учитывать их разложение; эти соединения дают возможность проанализировать биоразложение и фотоокисление на поздних стадиях выветривания нефти.
Пытаясь идентифицировать микроорганизмы, ответственные за это разложение, авторы [13] исследовали способность 73 аэробных бактерий разлагать стераны, присутствующие в нефти Розел-Пойнт (штат Юта). Активными оказались семь грамположительных штаммов, принадлежащих к ограниченному числу родов. Используя Nocardia sp. SEBR 16, вызвавшего наиболее обширные изменения, авторы работы определили скорости биодеградации нескольких изомеров стеранов и метилстеранов. Промежуточные продукты разложения можно использовать в качестве индикаторов при анализе степени биоразложения нефти. Кроме того, используемые микроорганизмы могут оказаться эффективными для борьбы с разливами нефти биологическими методами.
В работе [14] авторы используют биомаркеры и изотопный анализ углерода, чтобы установить генетические различия и сходства между образцами нефти, собранными на площади около 50 000 квадратных миль на юго-востоке Техаса. Традиционные подходы к оценке относительного содержания биомаркеров и изотопов углерода включают статистические методы, такие как анализ главных компонентов и кластерный анализ. Учитывая, что пропорции различных молекул углеводородов являются относительными частями лабораторной пробы, данные носят комплексный характер, что требует использования специальных подходов для адекватного математического моделирования. Собранные данные включают 177 проб сырой нефти с добывающих нефтяных месторождений, которые проанализированы на ключевые биомаркеры.
Выветривание биомаркеров – это физический, геохимический и биологический процесс, изменяющий компоненты нефти. Знание механизмов, времени пребывания и химических промежуточных продуктов имеет важное значение для описания научных и технических основ ухудшения качества нефти. Предпринята попытка рассмотреть концепции выветривания нефти и ее биомаркеры, чтобы предоставить информацию для исследований, связанных с воздействием разливов нефти в морской среде [15].
За последнюю четверть века нефтяные биомаркеры сохранились в секвестрированной нефти Exxon Valdez в проливе Принца Уильяма и в заливе Аляска (США), и, следовательно, нефть оставалась поддающейся идентификации [16]. Сопоставление закономерностей показало присутствие сырой нефти Аляски Норт Слоуп (ANSCO) в течение всего периода наблюдений на большинстве участков и позволило отличить этот источник от нескольких других потенциальных источников. Присутствие ANSCO было подтверждено судебно-медицинской экспертизой Nordtest, продемонстрировав достоверность нового метода. Основное его преимущество заключается в том, что он обеспечивает идентификацию конкретных образцов, тогда как подход Nordtest основан на статистике нескольких образцов. Биомаркеры были консервативны по отношению к другим компонентам, концентрации (на грамм нефти) в первоначальных пляжных пробах были выше, чем в свежей нефти, поскольку они терялись медленнее, чем более лабильные компоненты нефти, такие как алканы с прямой цепью и ароматические углеводороды. Однако после этого концентрации биомаркеров последовательно снижались (1989–2014 гг.), хотя потери существенно различались между участками и внутри них. Потеря изопреноидов была значительно больше, чем потеря трициклических тритерпанов, гопанов и стерана [16].
Проведено сравнение распределения биомаркеров в образцах нефти разной степени биодеградации и соответствующих пиролизатах [17]. Результаты показали, что присутствие нормальных алканов в сырой нефти не обязательно исключает возможность предшествующего умеренного или тяжелого биоразложения, поскольку н-алканы могут образовываться в дальнейшем при сильном термическом стрессе. Большинство параметров, связанных с источником, основанных на стеранах и терпанах, кажутся надежными только тогда, когда нефтяной резервуар подвергся биоразложению, не превышающему умеренный уровень, и зрелость сырой нефти ниже 0.91 Easy%Ro. Однако было обнаружено, что соотношение TT23/(TT23 + TT24) остается постоянным даже после серьезного биоразложения и термических изменений, что делает его применимым для корреляции источников нефти в наложенных нефтяных коллекторах. Кроме того, параметры зрелости, основанные на изомеризации, т акие как метилфенантреновый индекс сырой нефти, являются надежными, если последующее термическое изменение достигает уровня выше 0.91 Easy%Ro, несмотря на предшествующую умеренную или сильную биодеградацию, поскольку соответствующие реакции изомеризации будут приближаться к тому же уровню, который наблюдается для небиоразлагаемой нефти. Различные мнения о корреляции источников нефти и миграции блока Мосичжуан-Юнцзин в Джунгарском бассейне на северо-западе Китая серьезно повлияли на разведку нефти и газа в этом районе [18]. Исследование основано на результатах анализа биомаркеров и изотопов углерода мономерного углеводорода в образцах сырой нефти и нефтематеринских пород различных блоков. Два семейства нефтей (A1, A2 и B) классифицируются с помощью кластерного анализа по девяти типичным соотношениям биомаркеров. Обычно нефти подсемейства А1 распространены в блоке скважин Чжуан 102 блока Моксичжуан, и их гаммацерановый индекс является самым высоким. Численность тетрациклических терпанов С24 наименьшая, преобладают регулярные стераны С27, а органическое вещество вносится преимущественно низшими водными организмами. Нефти подсемейства А2 распространены на блоке скважин Чжэн 1-1 блока Моксичжуан. Гаммацерановый индекс нефтей ниже, чем у первых, а содержание тетрациклических терпанов С24 выше. В двойном вкладе низших водных организмов и наземных высших растений большая доля приходится на вклад наземных высших растений. Нефти семейства Б распространены на блоке скважин Юн-2 блока Юнджин, и их гаммацерановый индекс является самым низким. В них наблюдается высокое содержание тетрациклических терпанов С24, при этом преобладают регулярные стераны С29, что отражает особенности вклада терригенного органического вещества. В зависимости от состава биомаркерного соединения указываются как минимум два заряда нефти: нефти подсемейства A1, вероятно, происходят из формации Wuerhe, нефти подсемейства A2 могут представлять собой смесь формации Wuerhe и формации Badaowan, а также нефти семейства B, вероятно, получен из формации Бадаован. Семейства нефти с типичным генетическим родством могут указывать на две основные нефтяные системы или несколько нефтяных систем, существующих в районе исследования.
Авторы работы [19] описывают подробный анализ и характеристику необычной голубой сырой нефти и отложений из установки регенерации моноэтиленгликоля (МЭГ) на морской платформе по добыче сырой нефти. Чтобы охарактеризовать месторождение и компоненты сырой нефти, которые придают ей такой отчетливый синий оттенок, авторы исследовали образцы с помощью комплексной двумерной газовой хроматографии (ГХ × ГХ), масс-спектрометрии ионно-циклотронного резонанса с Фурье-спектрометрией (FT-ICR MS) и двумерной (2D) флуоресцентной спектроскопии. Перилен, полициклический ароматический углеводород, известный своей флуоресценцией, был идентифицирован в сырой нефти с помощью всех трех этих методов (рис. 7). На основании его фотохимических свойств и содержания (55 ppm) сделано предположение, что перилен является наиболее вероятным источником синего окрашивания. Кроме того, с помощью GC×GC удалось достоверно идентифицировать набор пентациклических тритерпеноидов, из которых наиболее распространенным видом был 17R(H),21β(H)-25-норгопан. Месторождение значительно обогащено этими видами. Присутствие 25-норгопанов в сырой нефти считается признаком серьезного биоразложения.
Рис. 7. Перилен.
Биодеградированная сырая нефть в Китае широко распространена и составляет определенную часть ресурсов тяжелой нефти [20]. Сложная смесь углеводородов была выделена из трех биоразложившихся сырых нефтей в пласте Гудао нефтяного месторождения Шэнли, Китай. Биомаркерный состав биоразлагаемых нефтей определяли методом ГХ-МС. Результаты показывают, что н-алканы были полностью обеднены, изопреноиды и диастераны практически отсутствовали. Углеводороды, за исключением трициклических терпанов, стеранов, гопана, преимущественно обеднены насыщенной фракцией. Между тем встречается серия 25-норгопана, указывающая на то, что сырая нефть подверглась серьезной деградации, эквивалентной уровням 5–6. На основании показателей биомаркеров, среду отложения нефти Гудао можно разделить на две фазы. В первом случае (GD2-19-55 и GD8-27N12) осаждение происходило полностью в субкислородных условиях с преобладанием морской воды, с первичным попаданием наземных высших растений с обильным притоком водных организмов. Вторая фаза (GD2- 7-41, GD-KD-162, GD-KD-18-168 и GD-KD-45) состояла в основном из морской воды, от бескислородной до субкислородной/кислородной, с небольшим влиянием пресной воды, с разбавленными органическими веществами, полученными из фитопланктона и в меньшей степени от наземных высших растений. Кроме того, коэффициент отражения витринита (Ro) 0.73–0.89% и метилфенантреновый индекс (MPI-1) субок. 0.55–0.82 указывают на зрелость органического вещества.
Присутствие и распределение алифатических биомаркеров в загрязненных нефтью почвах Овазы, дельта реки Нигер (Нигерия), были исследованы методом газовой хроматографии-масс-спектрометрии (ГХ-МС) [21]. Концентрация н-алканов Σ(nC14–nC29) в почвах колебалась от 18 680.4 до 35 615.8 мкг/г (в среднем 24 664.0 мкг/г). Обилие н-алканов в почвенных экстрактах показывает, что влияние экологической деградации на подвергшиеся воздействию почвы было минимальным. Диагностические показатели н-алканов, параметры источника и зрелости, рассчитанные для терпанов и стеранов в экстрактах почв, указывают на нефть дельты Нигера как источник загрязнения. Это исследование раскрывает значение алифатических биомаркеров в качестве индикатора источника органического загрязнения.
В работе [22] описано cочетание газовой хроматографии высокого разрешения и масс-спектрометрии, визуальное сравнение и самонормализующиеся дактилоскопические индексы (SF1) используются для установления восьми нефтяных биомаркеров для идентификации и оценки разливов нефти. Определены восемь нефтяных биомаркеров, выбранных для обнаружения и анализа посредством поиска литературы и предыдущих исследований. SF1 рассчитано на основе анализа тарболов и исследование деградации нефти подтвердили эффективность использования восьми выбранных биомаркеров. Из восьми SF1 четыре остаются стабильными в течение длительного периода времени и лабораторных исследований. Визуальное сравнение отпечатков пальцев биомаркеров сыграло важную роль в различении грубых, а в некоторых случаях и тонких различий между неизвестными образцами окружающей среды.
Двадцать пять образцов сырой нефти из пяти депо поясов бассейна дельты Нигера, Нигерия, были изучены с целью описания их биомаркерных отпечатков, предоставления информации о происхождении органических веществ, поступивших в материнские породы, определения условий окружающей среды осадконакопления и термической зрелости сырой нефти [23]. Исследование было основано на биомаркерах (стеранах и гопанах), нормальных алканах и ациклических изопреноидах (фитан), полученных в результате газовой хроматографии-масс-спектрометрии (ГХ-МС) анализов, выполненных на насыщенных фракциях сырой нефти. Результаты соотношений первичный/фитан (Pr/Ph), соотношений Pr/n-C17, соотношений Ph/n-C18, соотношений стеранов C29/C27, соотношений стеран/гопан, %C27, %C28 и %C29 обычных стеранов, олеанана индекса, индекса воскистости, отношения Ts/Tm и значений индекса предпочтения углерода (CPI), свидетельствовали о том, что анализируемые сырые нефти принадлежат к одному семейству нефтей и происходят из терригенных обломочных материнских пород, содержащих органическое вещество наземных растений с незначительным содержанием морской органики. Взаимосвязь Pr/n-C17 и Ph/n-C18 указывает на тип морских водорослей II и смешанный кероген типа II/III. Значения C32H:22S/(22S+22R) вместе с Ts/(Ts + Tm), C29:20S/20S + 20R, олеанановым индексом и значениями CPI указывают на то, что большая часть сырой нефти достигла термического равновесия с высокими уровнями термической зрелости [23].
Исследование [24] направлено на оценку органической геохимии сырой нефти, добытой на месторождениях Ашрафи и GH в Суэцком заливе, для оценки и исследования характеристик нефти, ее созревания, исходных условий отложения и семейств нефти. Насыщенные углеводороды определяли газовой хроматографией и газовой хроматографией/масс-спектрометрией. Определяли соотношения пристан/фитан, изопреноиды/н-алканы, CPI, гомогопан, диастераны, гаммацерановый индекс, C29 20S/20S+20R, C29/C30 гопан и Ts/Tm. Результаты позволяют предположить, что изученные нефти относятся к морской нефти, характеризуются высоким уровнем зрелости и получены в основном из органических веществ морского происхождения с небольшим привносом с суши.
Высокотемпературная газовая хроматография (HTGC) расширяет возможности по определению характеристик углеводородов до C120 в сырой нефти. В работе [25] было обнаружено, что содержание углеводородов в парафинах (> C20) значительно различается в разных сырых нефтях, даже в тех, которые предположительно происходят из одного и того же источника. До этой разработки микрокристаллические воски, содержащие углеводороды выше C40, не были охарактеризованы на молекулярном уровне из-за аналитических ограничений традиционной газовой хроматографии. Регулярные проверки сырой нефти с высокой температурой застывания с помощью высокотемпературной газовой хроматографии показали, что высокомолекулярные углеводороды (> C40) очень распространены в большинстве нефтей и могут составлять 2% сырой нефти. Точные структуры, происхождение и значение этих высокомолекулярных соединений остаются неясными. В качестве предварительного шага к расширению знаний об этих соединениях в этом исследовании были изучены их общие молекулярные структуры и формулы. Первоначальные результаты позволяют предположить, что основные высокомолекулярные соединения включают гомологический ряд н-алканов, метилразветвленных алканов, алкилциклопентанов, алкилциклогексанов, алкилбензолов и алкилциклоалканов.
Результаты геохимических исследований четырех проб нефтей палеозойских отложений Лабаганского месторождения Тимано-Печорской нефтегазоносной провинции представлены в работе [26]. В ней показано, что органическое вещество, сформировавшее нефть нижнедевонских и турнейских отложений Лабаганского месторождения, является сапропелевым, его накопление происходило в морской субвосстановительной среде. Нефти артинских и уфимских отложений существенно биодеградированы. Тип коллекторов трещинно-поровый, вторично-поровый. Карбонатные коллекторы девонского, каменноугольного и пермского (артинского) возраста характеризуются хорошими и средними коллекторскими свойствами.
Авторы работы [27] анализировали стабильность биомаркеров в сырой нефти, разлитой в морскую воду, в лабораторных условиях в течение одного года с целью проверки их полезности в судебных процессах, связанных с разливами нефти и/или хищениями нефти. С этой целью профили биомаркеров анализировали с помощью газовой хроматографии в сочетании с масс-спектрометрией неочищенных фракций. Конкретные диагностические соотношения, такие как Pr/n-C17 (пристан/гептадекан), 4-MeDBT/1-MeDBT (метилдибензотиофен) и стигмастан C29 αS/гопан C30, изменялись в пределах значений менее 5% с расчетом их относительного стандартного отклонения в течение одного года. Примечательно, что соотношения Pr/Ph (n-C13 + n-C14)/(n-C25 + n-C26) и (N0 + N1)/N2 (N = нафталины) были единственными с процентным содержанием выше 5% и эти результаты были связаны с процессом испарения сырой нефти. С другой стороны, анализ полученных хроматограмм показал, что биоразложение происходит и при выветривании углеводородов. Однако большинство биомаркеров оставались неизменными в условиях испытаний на протяжении всего времени исследования, что демонстрирует их потенциал для решения упомянутых выше проблем.
При обнаружении в отложениях морского дна просачивающихся термогенных углеводородов, биомаркерный анализ дает ценную информацию о содержании подземных скоплений [28]. Аналитический метод обычно состоит из экстракции осадка неполярным растворителем, таким как гексан, с последующим осаждением асфальтенов и разделением фракций насыщенных и ароматических углеводородов перед анализом углеводородов методом газовой хроматографии-масс-спектрометрии (ГХ-МС). Если полученные распределения биомаркеров не изменяются, их можно использовать для корреляции просачивающейся нефти с ранее обнаруженными в бассейне нефтью или для определения характеристик нефтематеринской породы, из которой образовалась нефть, с использованием традиционных схем интерпретации биомаркеров. Если концентрация просачивающейся нефти низка, присутствие фонового органического вещества может маскировать геохимическую информацию, зависящую от источника. Биомаркерный анализ фонового органического вещества вблизи места просачивания важен для того, чтобы отличить термогенный вклад от фонового органического вещества. Иногда переработанное органическое вещество из эродированных нефтематеринских пород, угля или просачивание перенесенных углеводородов в отложениях также может дать вводящую в заблуждение информацию. По мере увеличения концентрации просачивающейся нефти биоразложение обычно усиливается, часто до такой степени, что биомаркеры изменяются. Гопаны и стераны являются биомаркерами, наиболее подверженными микробным изменениям, хотя трициклические терпаны, диастераны и ароматические стероиды более устойчивы и могут предоставить полезную информацию. В некоторых отложениях биоразложение может быть достаточно сильным, чтобы изменить распределение всех типов соединений. Поскольку интенсивность биоразложения может сильно различаться в пределах отдельного объекта просачивания или между группой связанных объектов, биомаркерный анализ нескольких проб просачивающейся нефти обеспечивает наилучшую возможность получить полезные данные [28].
Сжигание на месте (ISB) – это стратегия восстановления, которая используется для борьбы с разливами нефти. При этом образуются тяжелые остатки, которые могут погружаться под воду и оказывать негативное воздействие на бентосную среду. Для отслеживания судьбы токсичных примесей в остатках ISB часто используется C30-αβ гопан. Кроме того, диагностические соотношения различных гопанов используются для идентификации источника нефти. Использование этих биомаркеров предполагает, что при ISB количество С30-αβ гопана будет сохранено и диагностические соотношения различных гопанов будут стабильными. Целью исследования [29] явилась проверка обоснованности этих двух предположений. Авторы провели лабораторные эксперименты по ISB, используя: модельное масло, полученное из коммерческого стандарта гопана C30-αβ и эталонную сырую нефть. Лабораторные данные, собранные в условиях контролируемого горения, показали, что гопан C30-αβ не сохранится; однако диагностические соотношения гопанов все равно остаются достаточно стабильными.
Целью исследования [30] было изучение возможности использования некоторых моно- и полициклических углеводородов нефтей Апшеронского полуострова в качестве генетических индикаторов (биомаркеров). Исследована нефть, добытая из нефтезагрязненных почв Балаханского месторождения на Апшеронском полуострове. Нефтяные загрязнения анализировали методом хромато-масс-спектрометрии. Низкосернистые азербайджанские нефти содержат важные реликтовые углеводороды, такие как порфирины никеля и ванадила. Для нефти Балаханского месторождения выявлено наличие гомологического ряда н-алкилциклогексанов и н-алкилциклопентанов, изучена связь между метилциклогексаном и суммой циклопентановых углеводородов. В исследуемой нефти определены бицикланы С10 и их метильные гомологи. Трициклические насыщенные углеводороды относятся к классу нафтенов, которые составляют значительную часть углеводородов нефти. В исследованной нефти выявлены адамантан и его ближайшие гомологи (1-, 1,3- и 1,3,5-метилзамещенные адамантаны), относящиеся к трициклическим предельным углеводородам. В нефтях Абшеронского полуострова обнаружены также тетрациклические структуры, ядром которых является циклопентанпергидрофенантреновая система, т.е. эти соединения относятся к стерановым углеводородам, соотношение которых для балаханской нефти составляет С27 : С28 : С29 = 28 : 33 : 38. Для нефтяных гопанов выявлен характерный для них фрагментный ион m/z = 191. Для углеводородов ряда гопанов состава С31 и выше, т.е. в случаях, когда атом С-22 становится хиральным, могут существовать два эпимера, отличающиеся R- или S-конфигурацией хирального центра С-22. В исходных биогопанах состава С31 и выше атом С-22 имеет строго определенную R-конфигурацию. Он проявляется в ряде дублетных пиков, характерных для хроматограмм смешанных нефтяных гопанов. Сравнение биомаркерных масс-фрагментограмм исследованных реликтовых углеводородов, в том числе стеранов (m/z 217) и гопанов (m/z 191), показало, что они сохраняют состав, практически идентичный составу исходной нефти в ходе эксперимента.
В работе [31] показано, что стерановые и тритерпановые биомаркеры становятся все более важными в применении геохимии в геологоразведочных программах. Эти соединения часто используются для определения зрелости нефти и экстрактов, а также для сопоставления нефти друг с другом или с экстрактами горных пород. Стераны производятся из молекул-предшественников стероидов, присутствующих как в высших растениях, так и в водорослях. Обычные стераны могут быть полезны при оценке типов фотосинтетического материала в отложениях. Концентрация диастерана определяется главным образом зрелостью и литологией и, таким образом, дает дополнительную фациальную информацию. Тритерпаны, полученные в основном из бактерий, могут указывать на диагенетические состояния и, таким образом, дополнять информацию, полученную на основе распределения стеранов. Гопаны являются доминирующими тритерпанами. Присутствие необычных соединений, таких как 28,30-бисноргопан, или необычных концентраций обычных соединений, таких как гомогопаны, гаммацеран и олеанан, может указывать на определенные условия отложения. Изменения в определенных соотношениях стеранов и тритерпанов использовались в качестве индикаторов зрелости сырой нефти. Однако многие соотношения биомаркеров зависят как от типа нефти, так и от зрелости.
В работе [32] методом ГХ-МС определено распределение стерановых и терпановых биомаркеров в наборе из 25 нефтей из береговых и морских районов бассейна Таранаки в Новой Зеландии. Особенности этих распределений включают наличие относительно высоких концентраций ряда тетрациклических терпанов С24, фактическое отсутствие трициклических терпанов, преобладание нормальных, изо- и диастеранов С29 и наличие ряда негопаноидных тритерпанов. На основании распределения 18α(H)олеанана можно выделить семейства нефтей Макки и Мотуроа. Эти распределения терпанов качественно аналогичны тем, которые встречаются в нефтях ряда Дальневосточных бассейнов и месторождения Хандил в дельте Махакама (Индонезия). Нефти Таранаки имеют примерно одинаковую термическую зрелость. Параметры зрелости, рассчитанные по распределениям стеранов C29 и 17β(H),21α(H)- и 17α(H),21β(H)-гопанов, подтверждают недавние открытия о неполной ядерной изомеризации в нефтях, полученных из третичных отложений.
В бассейне Гуаймас гидротермальные отложения, богатые органическими веществами, образуют сложные смеси углеводородов, включающие насыщенные, ароматические и алкилированные ароматические соединения [33]. Авторы исследовали отложения из кернов с участков Гуямаса с различными температурными и геохимическими профилями, чтобы лучше понять абиотические и биологические изменения углеводородов. Авторы работы приводят доказательства биоразложения гопаноидов с образованием насыщенных углеводородов, таких как дриман и гомодриман, в качестве промежуточных продуктов (рис. 8).
Рис. 8. Дриман.
Эти побочные продукты сесквитерпена присутствуют в более холодных отложениях, но их относительное содержание резко снижается в более горячих гидротермальных отложениях, вероятно, из-за гидротермальной мобилизации. В пуле стеранов авторы обнаруживают тенденцию к ароматизации стероидных соединений в более горячих отложениях. Изменения в составе биомаркеров гопана и стерана на разных участках отражают температурные различия в геохимических и микробных изменениях углеводородов. В отличие от традиционно наблюдаемых закономерностей микробного биоразложения, которые могут простираться на сотни метров в подземных нефтяных резервуарах, в бассейне Гуаймас наблюдаются сильно сжатые изменения в поверхностных отложениях [33].
В работе [34] деградацию нефтяных биомаркеров исследовали с использованием смешанных культур микроорганизмов, выделенных из поверхностных почв на четырех различных участках, загрязненных углеводородами. Эти культуры разлагали 17альфа(Н),21бета(Н)-гопан C30 и удлиненные гопаны C31–C34 в сырой нефти Bonny Light после 21 дня инкубации при 30˚C. Удлиненные гопаны C35 сохранялись, а 25-норгопаны не обнаруживались, но выявляются во время инкубации. Анализ накопительных культур с помощью денатурирующего градиентного гель-электрофореза (DGGE) продемонстрировал различные профили микробного сообщества. Дополнительные исследования с культурой LC продемонстрировали последовательную картину деградации биомаркеров после роста на трех сырых нефтях: нигерийской сырой нефти Bonny Light, венесуэльской сырой нефти и аляскинском North Slope 521. Начало деградации биомаркеров наблюдалось между 14 и 21 днями, но только при 30˚С и концентрации нефти ниже 6 мг/мл. Профили биомаркеров после разложения этими накопительными культурами аналогичны данным многочисленных полевых наблюдений и могут представлять собой доминирующий образец биоразложения, обнаруженный во многих аэробных поверхностных средах, загрязненных углеводородами.
Показано [35], что сырая нефть, добытая на шельфе Адриатического моря, состоит на 78% из алифатических соединений, циклических алканов и насыщенных полициклических углеводородов, на 9% из ароматических соединений, полициклических ароматических углеводородов (ПАУ) и алкилированных производных и на 13% из смол/асфальтенов. Анализ почвы после 10 лет естественного ослабления выявил полное обеднение линейными (n-C9–C24), легкими ароматическими соединениями (C1–C3/бензолы) и ПАУ (C2/нафталин, C1/фенантрен); кроме существенной деградации изопреноидов пристана и фитана, разветвленных и циклических алканов. Оставшимися примесями, не поддавшимися естественному разложению, были насыщенные полициклические углеводороды (производные пергидроПАУ), ненасыщенные полициклические углеводороды (тетрагидро-, дигидропроизводные ПАУ), терпаны, стераны и неидентифицированные соединения. Наличие таких остатков привело к снижению его концентрации на 80% после двух месяцев лабораторной обработки. Образцы экстрагировали органическими растворителями, разделяли хроматографией на колонке с силикагелем/оксидом алюминия и анализировали с помощью газовой хроматографии-масс- селективного детектора (ГХ-МСД). Идентификацию и количественное определение алифатических, циклических алканов, типичных ПАУ, терпанов и стеранов проводили по хроматограммам M/Z = 85, 83, индивидуальных M/Z, M/Z = 191 и 217 соответственно. Настоящая работа показывает, что среди многочисленных биомаркеров, присутствующих в исходной нефти, стигмастан и два изомера гопана показали неизменные концентрации после лабораторных экспериментов, которые имитируют естественное биоразложение в полевых условиях, поэтому их можно использовать в качестве консервативных внутренних биомаркеров. Это очень полезные инструменты для оценки изменений в менее стабильных классах насыщенных соединений, содержащихся в нефти. Отмечена выраженная деградация пергидро-, тетрагидро-, дигидропроизводных ПАУ при лабораторной обработке.
Стероиды с нетрадиционными боковыми цепями все чаще применяются в качестве диагностических маркеров для оценки геологического происхождения и возраста [36]. Однако одна из наиболее отличительных особенностей – аномальное содержание прегнана и гомопрегнана в древних отложениях и нефти – остается невыясненной. Более высокие значения прегнана и гомопрегнана, а также 20-н-алкилпрегнанов С23–С26 по сравнению с обычными стеранами наблюдались в пробах, собранных из различных нефтяных бассейнов Китая. К ним относятся докембрийская нефть, полученная из морских карбонатов (северо-западный бассейн Сычуани), сырая нефть, полученная из морского мергеля нижнего палеозоя (бассейн Тарим), а также эоценовые гиперсоленые озерные карбонатные материнские породы и попутная нефть (бассейн Бохайского залива). Однако все образцы имеют много общих биомаркерных характеристик, таких как соотношение пристан/фитан <1, низкие количества диастеранов и высокий уровень гопана C29/C30 (~0.6–1), гопана C35/C34 (в основном ≥ 1) и дибензотиофена. Авторы предполагают, что 5α,l4β,l7β-прегнан и гомопрегнан, а также их высшие гомологи C23–C26 являются геологическими продуктами, полученными из стероидов, связанных с керогеном сульфурированной боковой цепью. Углеродные или карбонатные минералы считаются естественными катализаторами этой реакции крекинга за счет преимущественного разрыва связи между C-20 и C-22. Аналогичные распределения наблюдаются в короткоцепочечных аналогах 4-метилстерана, триароматических стероидных и метилтриароматических стероидных углеводородах, что является косвенным доказательством этого предположения. Отношение прегнана и гомопрегнана к общему количеству регулярных стеранов и соотношение диастеранов C27 к холестанам могут быть чувствительными индикаторами осадочных сред и фаций. В целом, высокие диастераны и низкие прегнаны (с гомологами) указывают на кислородную толщу воды или значительное поступление терригенного органического вещества в богатые глиной материнские породы и некоторые органические обедненные карбонатные породы. Низкие диастераны с высоким содержанием прегнанов подразумевают ограниченные, богатые серой условия, типичные для бескислородных карбонатных нефтематеринских пород. Кроме того, эти два соотношения могут быть полезны для оценки изменений минералогии и открытости условий отложения нефтематеринских пород.
В работе [37] распределение восьми трициклических и восьми пентациклических терпанов было определено для 216 сырых нефтей, расположенных по всему миру, с последующим одновременным факторным анализом в режиме RQ и поэтапным дискриминационным анализом с целью прогнозирования особенностей нефтематеринских пород или условий отложения. Выделяются пять категорий нефтематеринских пород: прибрежно-морские (т.е. паралитические/дельтовые), глубоководный морской; озерный, богатые фосфатами материнские пласты и материнские породы ордовикского возраста. Первые два фактора анализа в режиме RQ описывают 45% вариаций в наборе данных; трициклические терпаны, по-видимому, в два раза более значимы, чем пентациклические терпаны, при определении различий между образцами. Озерные нефти характеризуются большим относительным содержанием дитерпана С21 и гаммацерана; прибрежные морские источники дитерпанов С19 и С20 и олеанана; глубоководные морские фации трициклических C24 и C25 и расширенных гопанов C31 плюс C32; и нефти ордовикского возраста пентациклическими терпанами C27 и C29. Хотя тенденции термической зрелости можно наблюдать в факторном пространстве, эти тенденции не обязательно затмевают интерпретацию нефтематеринской породы. Кроме того, поскольку бактериальная деградация сырой нефти редко затрагивает трициклические терпаны, биоразлагаемые нефти можно использовать для прогнозирования особенностей нефтематеринских пород. Точность определения условий отложения нефтематеринских пород может быть повышена за счет добавления других биомаркеров (например, стеранов) и данных о стабильных изотопах с использованием многомерных статистических методов.
В экологических исследованиях пристан и фитан являются целевыми соединениями при расследовании разливов нефти [38]. О применении терпанов в качестве биомаркеров также сообщается в работе [39], в которой в качестве биомаркеров использовали трициклические терпаны ряда С20, С21 и С23
Таким образом, биомаркеры нефти представляют собой вещества, которые образуются в нефти в процессе ее формирования в земной коре. Состав и соотношение биомаркеров находятся в прямой зависимости от условий формирования нефти, т.е. типа сырья, условий (температура, давление, присутствие определенных микроорганизмов и других факторов). Эти показатели являются уникальными для отдельных нефтей и могут использоваться для их идентификации. Наиболее часто используемыми методами для определения биомаркеров является хромато-масс-спектрометрия. Выяснение генетической природы нефтей является одной из важнейших задач современной геохимии. Критерием решения этой проблемы является корреляция между составом нефти и нефтематеринской породы. Для решения этой задачи используют сопоставлением состава углеводородных биомаркеров, содержащихся в нефти и органическом веществе нефтематеринских пород. В этом отношении роль биомаркеров исключительна и исследования в этой области химии продолжают интенсивно развиваться.
About the authors
E. R. Babayev
Academician A.M. Guliyev Institute of Additive Chemistry, Ministry of Science and Education of Azerbaijan
Author for correspondence.
Email: elbeibabaev@yahoo.de
Azerbaijan, Baku, Beyukshor highway, 2062
V. М. Farzaliyev
Academician A.M. Guliyev Institute of Additive Chemistry, Ministry of Science and Education of Azerbaijan
Email: aki05@mail.ru
Azerbaijan, Baku, Beyukshor highway, 2062
P. Sh. Mammadova
Academician A.M. Guliyev Institute of Additive Chemistry, Ministry of Science and Education of Azerbaijan
Email: pervin_mammadova@mail.ru
Azerbaijan, Baku, Beyukshor highway, 2062
I. H. Ayyubov
Academician Yu.H. Mammadaliyev Institute of Petrochemical Processes, Ministry of Science and Education of Azerbaijan
Email: ilgar.ayyubov@mail.ru
Azerbaijan, Baku, Khodjaly ave, 30
F. G. Zhagfarov
Russian State University of Oil and Gas (National Research University) named after I.M. Gubkin
Email: firdaus_jak@mail.ru
Russian Federation, Moscow, 119991
V. А. Adigozalova
Azerbaijan State Academy of Physical Culture and Sports of the Ministry of Science and Education of Azerbaijan
Email: Vkar22@yandex.ru
Azerbaijan, Baku, F. Khoyskiy 98
E. M. Movsumzade
Ufa State Oil Technological University
Email: eldarmm@yahoo.com
Russian Federation, Ufa, 450062
А. L. Lapidus
N.D. Zelinsky Institute of Organic Chemistry of the Russian Academy of Sciences (IOC RAS)
Email: albert@ioc.ac.ru
Russian Federation, Москва, 119991
References
- Meng H., Moldowan M., Kenneth P. Biomarkers: Petroleum // Part 1 in book Encyclopedia of Geochemistry. 2017. P. 1.
- Peters K., Walters C., Moldowan J.M. Biomarkers: Assessment of Petroleum Source-Rock Age and Depositional Environment // Chapter in book Encyclopedia of Petroleum Geoscience. 2917. Р. 1–11.https://doi.org/10.1007/978-3-319-02330-4_9-1
- Philip P., Connock G. 10 Biomarkers in crude oils // Part in book The Chemistry of Oil and Petroleum Products. 2022. Р. 449–518.https://doi.org/10.1515/9783110694529-010
- Chang H., Walters C., Isaksen G., Scharps M. Biomarker Analysis in Petroleum Exploration // Part 2 in book Analytical Advances for Hydrocarbon Research. 2003. Р. 223–245.https://doi.org/10.1007/978-1-4419-9212-3_9
- Wang Z., Yang Ch., Zeyu Y., Brown C., Hollebone B., Stou S. Petroleum biomarker fingerprinting for oil spill characterization and source identification // Standard Handbook Oil Spill Environmental Forensics. Second Edition. 2016. Р. 131–254.https://doi.org/10.1016/B978-0-12- 803832-1.00004-0
- Misselwitz M., Cochran J., English Ch., Burger B. // Environmental Science Chemistry. 2013. № 2. Р. 1
- El Nady M., Naglan S., Sharaf L. // Egyptian Journal of Petroleum. 2016. V. . 25. № 2. P. 263.https://doi.org/10.1016/j.ejpe.2015.06.009
- Garcia R., Cattani A.P., Cunha P., Figueira R., Martins C. // Environmental Pollution. 2019. V. 249. № 6. P. 1060. https://doi.org/10.1016/j.envpol.2019.03.006
- Wang Zh., Stout S., Fingas M. // Environmental Forignsics. 2006. V. 7. № 2. P. 105.https://doi.org/10.1080/15275920600667104
- Alimzhanova M., Abdykarimov B. // Separations. 2023. V. 10. № 11. P. 561.https://doi.org/10.3390/separations10110561
- Seitkhaziyev Y. Sh., Uteyev R.N., Mustafayev M.K., Liu Sh. // Kazakhstan Journal for oil and gas industry. 2021. V. 3. № 2. P. 61.https://doi.org/10.54859/kjogi89490
- Aeppli Ch., Nelson R., Radovic J., Carmichael C.A., Valentine D., Reddy Ch. // Environ. Sci. Technol. 2014. V. 48. № 12. P. 6726.https://doi.org/10.1021/es500825q
- Chosson P., Lanau C., Connan J., Dessort D. // Nature. 1991. V. 351. № 6. P. 640.https://doi.org/10.1038/351640a0
- Olea R., Martin-Fernandez J.A., Craddock W. Multivariate Classification of the Crude Oil Petroleum Systems in Southeast Texas, USA, Using Conventional and Compositional Data Analysis of Biomarkers // Chapter in book Advances in Compositional Data Analysis, Festschrift in Honour of Vera Pawlowsky-Glahn. 2021. P. 303–327.https://doi.org/10.1007/978-3-030-71175-7_16
- Reyes C., Moreira I., Oliveura D.F., Medeiros N. // Open Access Library Journal. 2014. V. 1. № 9. P. 1.https://doi.org/10.4236/oalib.1101004
- Garls M., Holland L., Irvine G., Mann D., Linderbero M. // Environ. Toxicol. Chem. 2016. V. 35. № 11. P. 2683.https://doi.org/10.1002/etc.3454
- Liu W., Jiang C., Liao Y., Pan Y., Huang Y. // Abstracts of 30-th International Meeting on Organic Geochemistry. IMOG. 2021. P. 1–2.https://doi.org/10.3997/2214-4609.202134155
- Bocai L., Daxiang H., Meijun L., Chen L., Yan K. // ACS Omega. 2022. V. 7. № 50. P. 47317.https://doi.org/10.1021/acsomega.2c06628
- Juval P., Mckenna A.M., Yen A., Rodgers R. // Energy and Fuels. 2010. V. 25. № 1. P. 172.https://doi.org/10.1021/ef1012243
- Yingqin W., Xia Y., Wang Y., Lei T., Chang L. // Journal of Petroleum Science and Engineering. 2013. V. 103. № 3. P. 97. https://doi.org/10.1016/j.petrol.2013.02.003 21
- Faboya O., Sojinu S., Sonibare O., Falodun O., Liao Z. // Environmental Forensics. 2016. V. 17. № 1. P. 27.https://doi.org/10.1080/15275922.2015.1091400
- Ashton B., East R., Walsh M., Miles S., Overton R. Studying and Verifying the Use of ChemicalBiomarkers for Identifying and QuantitatingOil Residues in the Environment // Papers of Coastal Marine Institute. Baton Rouge. USA. 2000. 77 p.
- Anyanwu T., Ekpo B., Oriji A. // Iranian Journal of Earth Sciences. 2022. V. 14. № 1. P. 33.https://doi.org/10.30495/IJES.2022.1943029.1664
- El Nady M., Harb F., Naglaa M. // Egyptian Journal of Petroleum. 2014. V. 23. № 4. P. 455.https://doi.org/10.1016/j.ejpe.2014.11.002
- Hsieh M., Philp R., del Rio J.C. // Organic Geochemistry. 2000. V. 31. № 12. P. 1581.https://doi.org/ 10.1016/S0146- 6380(00)00085-1
- Valvayeva O.V., Ryabinkina N.N., Boushuev D.A. // Georesursy. 2020. V. 22. № 1. P. 46.https://doi.org/10.18599/grs.2020.1.46-5427.
- Tomas J., Acuna A. // Rev. Int. Contam. Ambient. 2023. V. 39. P. 54799.
- Dembicki H. Chapter 9: Analysis and Interpretation of Biomarkers from Seafloor Hydrocarbon Seeps // Hydrocarbon seepage – from source to surface. 2013.https://doi.org/10.1190/1.9781560803119.ch9
- Gerald J., Yuling H., Prabhakar C. Fate of hopane biomarkers during in-situ burning of crude oil – A laboratory-scale study // Papers of Auburn University. USA. 2018. 24 p.https://www.sciencedirect.com/science/article/pii/S0025326X18304338
- Babayev E.R., Mammadova P.Sh., Hashimova U.F., Adigozalova V.A. // Macroheterocycles. 2018. V. 11. № 1. P. 111.https://doi.org/10.6060/mhc171262b
- Waples D.W., Machihara T. // Bulletin of Canadian Petroleum Geology. 1990. V. 38. № 3. P. 357–380. https://doi.org/10.35767/gscpgbull.38.3.357
- Czochanska Z., Gilbert T.D., Philp R.P., Sheppard C.M. // Organic Geochemistry. 1988. V. 12. № 2. P. 123–135.https://doi.org/10.1016/0146-
- Paraskevi M., Nelson R., Reddy Ch., Teske A. // Communications Earth and Environment. 2022. V. 3. P. 250–257.
- Frontera-Suau R., Bost F.D., McDonald Th.J., Morris P. // Environ. Sci. Technol. 2002. V. 36. № 21. P. 4585–4592. https://doi.org/10.1021/es025894x
- Gagni S., Cam D. // Chemosphere. 2007. V. 67. № 10. P. 1975–1981.https://doi.org/10.1016/j.chemosphere.2006.11.062
- Wang G., Chang X., Wang T-G., Simoneit R.T. // Organic Geochemistry. 2015. V. 78. P. 110–120.https://doi.org/10.1016/j.orggeochem.2014.11.004
- Zumberge J.E. // Geochimica and Cosmochimica Acta. 1987. V. 51. № 6. P. 1625–1637.
- Burhanuddan M.S., Maulana A., Jaya A. // IOP Conference Series. Environmental and Earth Sciences. 2021. V. 921. P. 12026–12031.https://doi.org/10.1088/1755-1315/921/1/012026
- Wang A., Chunyu L., Long L., Renhai P. // Front. Earth Sci. 2023. V. 11. P. 324–329.https://doi.org/10.3389/feart.2023.1128692.40
Supplementary files










